Variability in Sperm DNA Fragmentation in Men with Mild/Unexplained Subfertility in a Prospective Longitudinal Intrauterine Insemination Trial
Abstract
1. Introduction
2. Materials and Methods
2.1. Study Design and Participants
2.2. Semen Analysis and Semen Processing
2.3. SDF Testing
2.4. Intrauterine Insemination
2.5. Treatment Outcome
2.6. Statistical Analysis
3. Results
3.1. Participants
3.2. Pregnancy Outcome
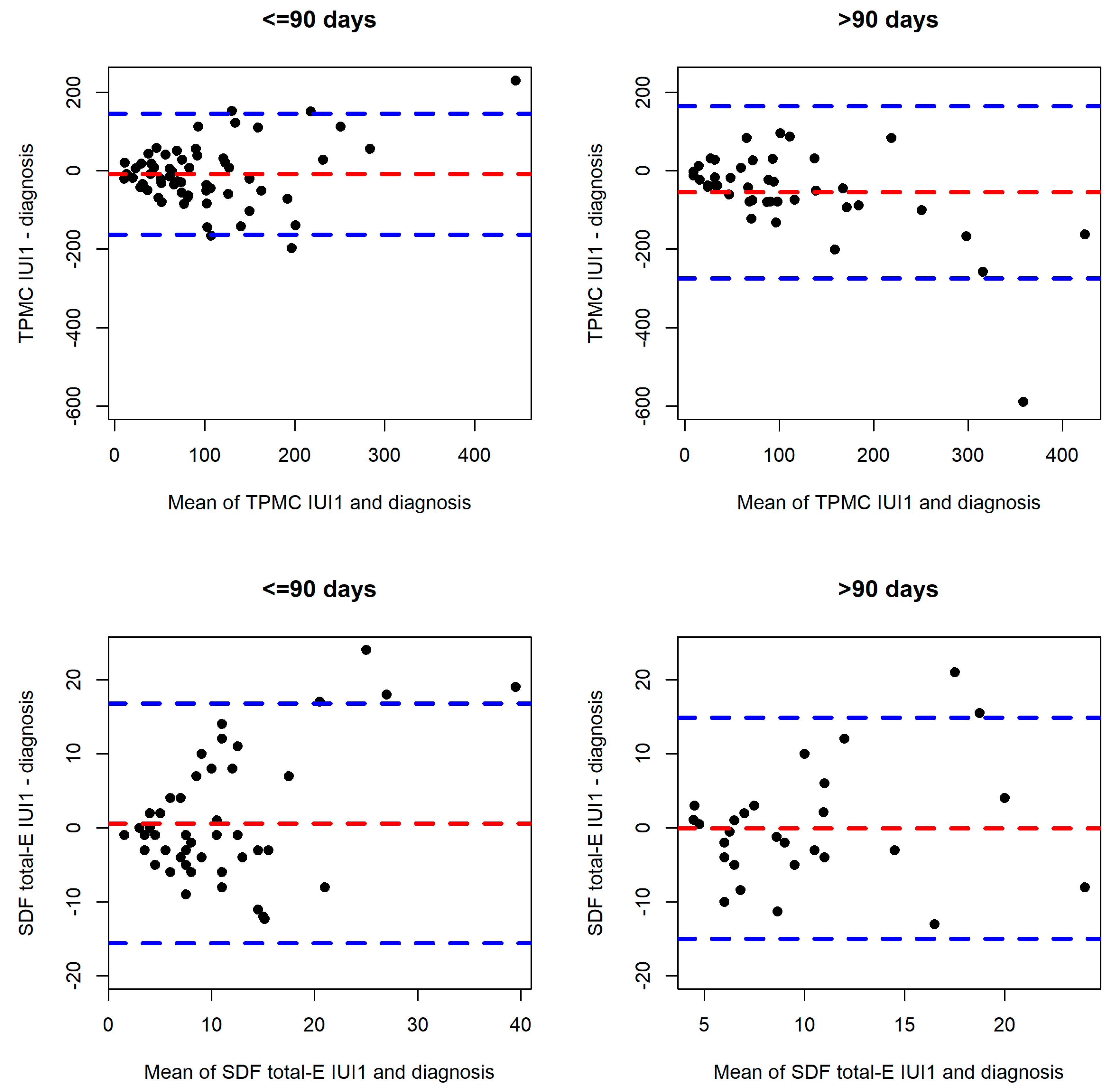
3.3. Parameters Influencing Biological Variability
3.4. SDF Variability Influencing IUI Outcome
4. Discussion
- ➢
- SDF is ‘high’ in the ejaculate or
- ➢
- SDF is ‘low’ in the ejaculate but, ‘high’ after the gradient
Author Contributions
Funding
Institutional Review Board Statement
Informed Consent Statement
Data Availability Statement
Acknowledgments
Conflicts of Interest
References
- Alvarez, C.; Castilla, J.A.; Martínez, L.; Ramírez, J.P.; Vergara, F.; Gaforio, J.J. Biological variation of seminal parameters in healthy subjects. Hum. Reprod. 2003, 18, 2082–2088. [Google Scholar] [CrossRef]
- Filimberti, E.; Degl’Innocenti, S.; Borsotti, M.; Quercioli, M.; Piomboni, P.; Natali, I.; Fino, M.G.; Caglieresi, C.; Criscuoli, L.; Gandini, L.; et al. High variability in results of semen analysis in andrology laboratories in Tuscany (Italy): The experience of an external quality control (EQC) programme. Andrology 2013, 1, 401–407. [Google Scholar] [CrossRef]
- Aitken, R.J.; De Iuliis, G.N.; McLachlan, R.I. Biological and clinical significance of DNA damage in the male germ line. Int. J. Androl. 2009, 32, 46–56. [Google Scholar] [CrossRef]
- Barratt, C.L.; Aitken, R.J.; Björndahl, L.; Carrell, D.T.; de Boer, P.; Kvist, U.; Lewis, S.E.; Perreault, S.D.; Perry, M.J.; Ramos, L.; et al. Sperm DNA: Organization, protection and vulnerability: From basic science to clinical applications—A position report. Hum. Reprod. 2010, 25, 824–838. [Google Scholar] [CrossRef]
- Evenson, D.P.; Kasperson, K.; Wixon, R. Analysis of sperm DNA fragmentation using flow cytometer and other techniques. Soc. Reprod. Fertil. Suppl. 2007, 65, 93–113. [Google Scholar]
- Muriel, L.; Garrido, N.; Fernández, J.L.; Remohí, J.; Pellicer, A.; de los Santos, M.J.; Meseguer, M. Value of the sperm DNA fragmentation level, measured by the sperm chromatin dispersion (SCD) test, in the IVF and ICSI outcome. Fertil. Steril. 2006, 85, 371–383. [Google Scholar] [CrossRef]
- Chohan, K.R.; Griffin, J.T.; Lafromboise, M.; De Jonge, C.J.; Carell, D.T. Comparison of chromatin assays for DNA fragmentation evaluation in human sperm. J. Androl. 2006, 27, 53–59. [Google Scholar] [CrossRef]
- Lewis, S.E.; Agbaje, I.M. Using the alkaline comet assay in prognostic tests for male infertility and assisted reproductive technology outcomes. Mutagenesis 2008, 28, 163–170. [Google Scholar] [CrossRef]
- Björndahl, B.; Barratt, C.L.; Mortimer, D.; Jouannet, P. ‘How to count sperm properly’: Checklist for acceptability of studies based on human semen analysis. Hum. Reprod. 2016, 31, 227–232. [Google Scholar] [CrossRef]
- Aitken, R.J.; Bakos, H.W. Should we be measuring DNA damage in human spermatozoa? New light on an old question. Hum. Reprod. 2021, 36, 1175–1185. [Google Scholar] [CrossRef]
- Tamburrino, L.; Marchiani, S.; Montoya, M.; Elia Marino, F.; Natali, I.; Cambi, M.; Forti, G.; Baldi, E.; Muratori, M. Mechanisms and clinical correlates of sperm DNA damage. Asian J. Androl. 2012, 14, 24–31. [Google Scholar] [CrossRef]
- Punjabi, U.; Van Mulders, H.; Goovaerts, I.; Peeters, K.; Roelant, E.; De Neubourg, D. DNA fragmentation in concert with the simultaneous assessment of cell viability in a subfertile population: Establishing thresholds of normality both before and after density gradient centrifugation. J. Assist. Reprod. Genet. 2019, 36, 1413–1421. [Google Scholar] [CrossRef]
- Evgeni, E.; Charalabopoulos, K.; Asimakopoulos, B. Human sperm DNA fragmentation and its correlation with conventional semen parameters. J. Reprod. Infertil. 2014, 15, 2–14. [Google Scholar]
- Punjabi, U.; Van Mulders, H.; Goovaerts, I.; Peeters, K.; Clasen, K.; Janssens, P.; Zemstova, O.; De Neubourg, D. Sperm DNA fragmentation in the total and vital fractions before and after density gradient centrifugation: Significance in male fertility diagnosis. Clin. Biochem. 2018, 62, 47–54. [Google Scholar] [CrossRef]
- Oshio, S.; Ashizawa, Y.; Yotsukura, M.; Tohyama, Y.; Iwabuchi, M.; Adachi, Y.; Matsuda, H.; Tomomasa, H.; Yoshida, S.; Takeda, K.; et al. Individual variation in semen parameters of healthy young volunteers. Arch. Androl. 2004, 50, 417–425. [Google Scholar] [CrossRef]
- Evenson, D.P.; Jost, L.K.; Baer, R.K.; Turner, T.W.; Schrader, S.M. Individuality of DNA denaturation patterns in human sperm as measured by the sperm chromatin structure assay. Reprod. Toxicol. 1991, 5, 115–125. [Google Scholar] [CrossRef]
- Zini, A.; Kamal, K.; Phang, D.; Willis, J.; Jarvi, K. Biologic variability of sperm DNA denaturation in infertile men. Urology 2001, 58, 258–261. [Google Scholar] [CrossRef]
- Erenpreiss, J.; Bungum, M.; Spano, M.; Elzanaty, S.; Orbidans, J.; Giwercman, A. Intra-individual variation in sperm chromatin structure assay parameters in men from infertile couples: Clinical implications. Hum. Reprod. 2006, 21, 2061–2064. [Google Scholar] [CrossRef]
- Oleszczuk, K.; Augustinsson, L.; Bayat, N.; Giwercman, A.; Bungum, M. Prevalence of high DNA fragmentation index in male partners of unexplained infertile couples. Andrology 2013, 1, 357–360. [Google Scholar] [CrossRef]
- Sergerie, M.; Laforest, G.; Boulanger, K.; Bissonnette, F.; Bleau, G. Longitudinal study of sperm DNA fragmentation as measured by terminal uridine nick end-labelling assay. Hum. Reprod. 2005, 20, 1921–1927. [Google Scholar] [CrossRef]
- Muratori, M.; Marchiani, S.; Tamburrino, L.; Cambi, M.; Lotti, F.; Natali, I.; Filimberti, E.; Noci, I.; Forti, G.; Maggi, M.; et al. DNA fragmentation in brighter sperm predicts male fertility independently from age and semen parameters. Fertil. Steril. 2015, 104, 582–590. [Google Scholar] [CrossRef]
- Esteves, S.C.; Zini, A.; Coward, R.M.; Evenson, D.P.; Gosálvez, J.; Lewis, S.E.M.; Sharma, R.; Humaidan, P. Sperm DNA fragmentation testing: Summary evidence and clinical practice recommendations. Andrologia 2021, 53, e13874. [Google Scholar] [CrossRef]
- World Health Organization. WHO Laboratory Manual for the Examination of Human Semen and Semen-Cervical Mucus Interaction, 5th ed.; Cambridge University Press: Cambridge, UK, 2010. [Google Scholar]
- Punjabi, U.; Spiessens, C. Basic semen analysis courses: Experience in Belgium. In Modern ART in the 2000′s—Andrology in the Nineties; Ombelet, W., Bosmans, E., Vandeput, H., Vereecken, A., Renier, M., Hoomans, E., Eds.; The Parthenon Publishing Group: London, UK, 1998; pp. 107–113. [Google Scholar]
- Björndahl, L.; Barratt, C.L.; Fraser, L.R.; Kvist, U.; Mortimer, D. ESHRE basic semen analysis courses 1995–1999: Immediate beneficial effects of standardized training. Hum. Reprod. 2002, 17, 1299–1305. [Google Scholar] [CrossRef]
- Punjabi, U.; Wyns, C.; Mahmoud, A.; Vernelen, K.; China, B.; Verheyen, G. Fifteen years of Belgian experience with external quality assessment of semen analysis. Andrology 2016, 4, 1084–1093. [Google Scholar] [CrossRef]
- Punjabi, U.; Gerris, J.; Van Bijlen, J.; Delbeke, L.; Buytaert, P. Comparison between different pre-treatment techniques for sperm recovery prior to IUI-GIFT-IVF. Hum. Reprod. 1990, 5, 75–83. [Google Scholar] [CrossRef]
- Mitchell, L.A.; De Iuliis, G.N.; Aitken, R.J. The TUNEL assay consistently underestimates DNA damage in human spermatozoa and is influenced by DNA compaction and cell vitality: Development of an improved methodology. Int. J. Androl. 2010, 34, 2–13. [Google Scholar] [CrossRef]
- Punjabi, U.; De Neubourg, D.; Van Mulders, H.; Cassauwers, W.; Peeters, K. Validating semen processing for an intrauterine program should take into consideration the inputs, actions and the outputs of the process. Andrologia 2018, 50, e12977. [Google Scholar] [CrossRef]
- Punjabi, U.; Van Mulders, H.; Van de Velde, L.; Goovaerts, I.; Peeters, K.; Cassauwers, W.; Lyubetska, T.; Clasen, K.; Janssens, P.; Zemtsova, O.; et al. Time intervals between semen production, initiation of analysis, and IUI significantly influence clinical pregnancies and live births. J. Assist. Reprod. Genet. 2021, 38, 421–428. [Google Scholar] [CrossRef]
- Mallidis, C.; Howard, E.J.; Baker, H.W. Variation of semen quality in normal men. Int. J. Androl. 1991, 14, 99–107. [Google Scholar] [CrossRef]
- Smit, M.; Dohle, G.R.; Hop, W.C.; Wildhagen, M.F.; Weber, R.F.; Romijn, J.C. Clinical correlates of the biological variation of sperm DNA fragmentation in infertile men attending an andrology outpatient clinic. Int. J. Androl. 2007, 30, 48–55. [Google Scholar] [CrossRef]
- Morrison, C.D.; Brannigan, R.E. Metabolic syndrome and infertility in men. Best Pract. Res. Clin. Obstet. Gynaecol. 2015, 29, 507–515. [Google Scholar] [CrossRef]
- Jeng, H.A.; Pan, C.H.; Chao, M.R.; Chiu, C.C.; Zhou, G.; Chou, C.K.; Lin, W.Y. Sperm quality and DNA integrity of coke oven workers exposed to polycyclic aromatic hydrocarbons. Int. J. Occup. Med. Environ. Health 2016, 29, 915–926. [Google Scholar] [CrossRef]
- Agarwal, A.; Majzoub, A.; Baskaran, S.; Panner Selvam, M.K.; Cho, C.L.; Henkel, R.; Finelli, R.; Leisegang, K.; Sengupta, P.; Barbarosie, C.; et al. Sperm DNA Fragmentation: A New Guideline for Clinicians. World J. Mens. Health 2020, 38, 412–471. [Google Scholar] [CrossRef]
- Teixeira, T.A.; Oliveira, Y.C.; Bernardes, F.S.; Kallas, E.G.; Duarte-Neto, A.N.; Esteves, S.C.; Drevet, J.R.; Hallak, J. Viral infections and implications for male reproductive health. Asian J. Androl. 2021, 23, 335–347. [Google Scholar]
- Esteves, S.C.; López-Fernández, C.; Martínez, M.G.; Silva, E.A.; Gosálvez, J. Reliability of the sperm chromatin dispersion assay to evaluate sperm deoxyribonucleic acid damage in men with infertility. Fertil. Steril. 2022, 117, 64–73. [Google Scholar] [CrossRef]
- Print, C.G.; Loveland, K.L. Germ cell suicide: New insights into apoptosis during Spermatogenesis. Bioassays 2000, 22, 423–430. [Google Scholar] [CrossRef]
- Pasqualotto, F.F.; Sharma, R.K.; Potts, J.M.; Nelson, D.R.; Thomas, A.J.; Agarwal, A. Seminal oxidative stress in patients with chronic prostatitis. Urology 2000, 55, 881–885. [Google Scholar] [CrossRef]
- Cocuzza, M.; Athayde, K.S.; Agarwal, A.; Sharma, R.; Pagani, R.; Lucon, A.M.; Srougi, M.; Hallak, J. Age-related increase of reactive oxygen species in neat semen in healthy fertile men. Urology 2008, 71, 490–494. [Google Scholar] [CrossRef]
- Tirado, E. Concurrent sperm DNA fragmentation and oxidative stress assessment on 2281 male semen samples. Fertil. Steril. 2012, 98, S149. [Google Scholar] [CrossRef]
- Alshahrani, S.; Agarwal, A.; Assidi, M.; Abuzenadah, A.M.; Durairajanayagam, D.; Ayaz, A.; Sharma, R.; Sabanegh, E. Infertile men older than 40 years are at higher risk of sperm DNA damage. Reprod. Biol. Endocrinol. 2014, 12, 103–111. [Google Scholar] [CrossRef]
- Morrell, J.M.; Moffatt, O.; Sakkas, D.; Manicardi, G.C.; Bizzaro, D.; Tomlinson, M.; Nilsson, H.; Holmes, P.V. Reduced senescence and retained nuclear DNA integrity in human spermatozoa prepared by density gradient centrifugation. J. Assist. Reprod. Genet. 2004, 21, 217–222. [Google Scholar] [CrossRef] [PubMed]
- Aitken, R.J.; Clarkson, J.S. Significance of reactive oxygen species and antioxidants in defining the efficacy of sperm preparation techniques. J. Androl. 1988, 9, 367–376. [Google Scholar] [CrossRef]
- Muratori, M.; Tarozzi, N.; Cambi, M.; Boni, L.; Iorio, A.L.; Passaro, C.; Luppino, B.; Nadalini, M.; Marchiani, S.; Tamburrino, L.; et al. Variation of DNA fragmentation levels during density gradient sperm selection for assisted reproductive techniques—A possible new male predictive parameter of pregnancy? Medicine 2016, 95, e3624. [Google Scholar] [CrossRef]



| Variables/Parameters (n) | Mean (SD) | Median (IQR) | Range |
|---|---|---|---|
| Male variables: | |||
| Age, years (112) | 33.0 (5.2) | 32.5 (7.0) | 21.0–49.0 |
| BMI, kg/m2 (85) | 25.3 (3.5) | 24.7 (4.1) | 18.4–36.1 |
| Smokers, cigarettes/day (110) | 2.4 (5.4) | 0.0 (0.0) | 0.0–20.0 |
| Diagnostic variables: | |||
| Semen parameters: | |||
| Abstinence, days (99) | 3.9 (1.6) | 4.0 (2.0) | 1–7 |
| Sperm concentration, M/mL (104) | 66.4 (67.9) | 44.2 (58.2) | 6.8–512.5 |
| Total sperm count, M (104) | 214.3 (197.1) | 153.6 (183.1) | 14.6–1332.5 |
| Progressive motility, % (104) | 52.7 (12.9) | 54.0 (16.2) | 3–89 |
| Total progressive motile count, M (104) | 116.7 (107.4) | 85.7 (107.1) | 0.4–652.9 |
| Sperm morphology, % (101) | 5.2 (3.4) | 4.0 (4.0) | 0–15 |
| SDF parameters: | 10.5 (7.2) | ||
| SDF total in ejaculate, % (104) | 1.1 (1.1) | 9.0 (7.2) | 1.0–42.3 |
| SDF vital in ejaculate, % (104) | 13.9 (11.9) | 1.0 (0.9) | 0–7.0 |
| SDF total after gradient, % (102) | 0.8 (0.7) | 9.6 (15.5) | 0.3–54.6 |
| SDF vital after gradient, % (102) | 0.6 (0.8) | 0–3.6 | |
| IUI cycle variables: | 4.4 (2.1) | 1–14 | |
| Semen parameters: | 59.4 (38.9) | 4.0 (2.0) | 6.1–225.0 |
| Abstinence, days (211) | 220 (163.4) | 50.9 (50.1) | 22.4–1365.0 |
| Sperm concentration, M/mL (211) | 47.0 (13.3) | 178.9 (153.7) | 14–96 |
| Total sperm count, M (211) | 108.0 (92.4) | 46.0 (18.0) | 6.3–587.0 |
| Progressive motility, % (211) | 6.0 (3.3) | 79.9 (92.5) | 0.5–17.2 |
| Total progressive motile count, M (211) | 9.9 (8.4) | 5.3 (4.5) | |
| Density gradient parameters: | 1.4 (2.2) | 8.0 (7.0) | 1.0–54.0 |
| Inseminating progressive motile count, M (211) | 12.1 (12.7) | 1.0 (2.0) | 0–24.0 |
| SDF parameters: | 0.6 (0.8) | 8.3 (10.0) | 0.8–67.2 |
| SDF total ejaculate, % (209) | 0.4 (0.8) | 0–7.2 | |
| SDF vital ejaculate, % (209) | |||
| SDF total gradient, % (210) | |||
| SDF vital gradient, % (210) |
| SDF Total-E (p Value) | SDF Vital-E (p Value) | |
|---|---|---|
| Male age | 0.24 (0.014) | 0.11 (0.259) |
| Body mass index | 0.06 (0.597) | −0.07 (0.525) |
| Alcohol (units/week) | −0.05 (0.614) | −0.06 (0.543) |
| Smoking (cigarettes/day) | −0.15 (0.132) | −0.06 (0.547) |
| Abstinence | 0.04 (0.721) | −0.06 (0.562) |
| Volume | −0.08 (0.427) | −0.14 (0.165) |
| Concentration | 0.01 (0.917) | 0.13 (0.202) |
| Total sperm count | −0.03 (0.739) | 0.05 (0.603) |
| Progressive motility | −0.25 (0.010) | −0.02 (0.856) |
| Total progressive motile count | −0.10 (0.325) | 0.03 (0.799) |
| Morphology | 0.04 (0.675) | −0.06 (0.520) |
| Variables | p Value Male Age | ICC | Between SD | Within SD | Estimate Age Effect on Log Scale [95% CI] | Estimate Age Effect Back-Transformed [95% CI] |
|---|---|---|---|---|---|---|
| SDF total-E | 0.020 | 0.33 | 0.42 | 0.60 | 0.025 [0.004, 0.046] | 1.025 [1.004, 1.047] |
| SDF vital-E | 0.952 | 0.06 | 0.37 | 1.49 | 0.001 [−0.035, 0.038] | 1.001 [0.965, 1.038] |
| SDF total-G | 0.002 | 0.54 | 0.70 | 0.64 | 0.047 [0.017, 0.077] | 1.048 [1.018, 1.08] |
| SDF vital-G | 0.572 | 0.13 | 0.40 | 1.03 | 0.008 [−0.02, 0.037] | 1.008 [0.98, 1.037] |
| Concentration | 0.400 | 0.62 | 0.60 | 0.47 | −0.011 [−0.035, 0.014] | 0.989 [0.965, 1.014] |
| Total sperm count | 0.408 | 0.50 | 0.54 | 0.54 | −0.010 [−0.033, 0.014] | 0.990 [0.967, 1.014] |
| Progressive motility | 0.368 | 0.42 | 8.71 | 10.22 | −0.185 [−0.584, 0.215] | |
| TMPC | 0.325 | 0.58 | 0.70 | 0.60 | −0.015 [−0.044, 0.015] | 0.985 [0.957, 1.015] |
| SDF Total-G | ||||
|---|---|---|---|---|
| High | Fluctuaters | Low | Total | |
| SDF total-E | ||||
| High | 10 (66.7%) | 3 (20.0%) | 2 (13.3%) | 15 |
| Fluctuaters | 18 (56.3%) | 11 (34.4%) | 3 (9.4%) | 32 |
| Low | 19 (29.7%) | 21 (32.8%) | 24 (37.5%) | 64 |
| Total | 47 (42.3%) | 35 (31.5%) | 29 (26.1%) | 111 |
| SDF Parameters | No. of Couples (% within 112) | Live Births (% within SDF Category) | p Value |
|---|---|---|---|
| SDF total-E | |||
| High (>13%) | 15 (13.4%) | 1 (6.7%) | |
| Fluctuaters | 32 (28.6%) | 6 (18.8%) | 0.472 (C) |
| Low (≤13%) | 65 (58.0%) | 13 (20.0%) | |
| SDF vital-E | |||
| High (>2%) | 2 (1.8%) | 1 (50.0%) | |
| Fluctuaters | 28 (25.0%) | 4 (14.3%) | 0.363 (F) |
| Low (≤2%) | 82 (73.2%) | 15 (18.3%) | |
| SDF total-G | |||
| High (>8%) | 47 (42.3%) | 6 (12.8%) | |
| Fluctuaters | 35 (31.5%) | 7 (20.0%) | 0.272 (C) |
| Low (≤8%) | 29 (26.1%) | 8 (27.6%) | |
| SDF vital-G | |||
| High (>1%) | 5 (4.5%) | 1 (20.0%) | |
| Fluctuaters | 35 (31.5%) | 8 (22.9%) | 0.762 (F) |
| Low (≤1%) | 71 (64.0%) | 12 (16.9%) |
Publisher’s Note: MDPI stays neutral with regard to jurisdictional claims in published maps and institutional affiliations. |
© 2022 by the authors. Licensee MDPI, Basel, Switzerland. This article is an open access article distributed under the terms and conditions of the Creative Commons Attribution (CC BY) license (https://creativecommons.org/licenses/by/4.0/).
Share and Cite
Punjabi, U.; Roelant, E.; Peeters, K.; Goovaerts, I.; Van Mulders, H.; De Neubourg, D. Variability in Sperm DNA Fragmentation in Men with Mild/Unexplained Subfertility in a Prospective Longitudinal Intrauterine Insemination Trial. Life 2022, 12, 1826. https://doi.org/10.3390/life12111826
Punjabi U, Roelant E, Peeters K, Goovaerts I, Van Mulders H, De Neubourg D. Variability in Sperm DNA Fragmentation in Men with Mild/Unexplained Subfertility in a Prospective Longitudinal Intrauterine Insemination Trial. Life. 2022; 12(11):1826. https://doi.org/10.3390/life12111826
Chicago/Turabian StylePunjabi, Usha, Ella Roelant, Kris Peeters, Ilse Goovaerts, Helga Van Mulders, and Diane De Neubourg. 2022. "Variability in Sperm DNA Fragmentation in Men with Mild/Unexplained Subfertility in a Prospective Longitudinal Intrauterine Insemination Trial" Life 12, no. 11: 1826. https://doi.org/10.3390/life12111826
APA StylePunjabi, U., Roelant, E., Peeters, K., Goovaerts, I., Van Mulders, H., & De Neubourg, D. (2022). Variability in Sperm DNA Fragmentation in Men with Mild/Unexplained Subfertility in a Prospective Longitudinal Intrauterine Insemination Trial. Life, 12(11), 1826. https://doi.org/10.3390/life12111826

