Photoelectric Dye, NK-5962, as a Potential Drug for Preventing Retinal Neurons from Apoptosis: Pharmacokinetic Studies Based on Review of the Evidence
Abstract
1. Introduction
2. Photoelectric Dye NK-5962
3. Cytotoxicity Assay Using Mixed Culture of Retinal Neurons and Glial Cells
3.1. Methods
3.2. Results
4. Cytotoxicity Assay Using Retinal Pigment Epithelial Cells
4.1. Methods
4.2. Results
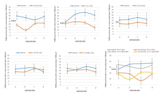
5. Intravitreous Injection of NK-5962 in RCS Rats
5.1. Methods
5.2. Results
6. Designing of Pharmacokinetic Studies
7. In Vitro ADME Assay
7.1. Solubility Assay
7.2. PAMPA (Parallel Artificial Membrane Permeability Assay)
7.3. Hepatic Microsomal Stability Assay
7.4. Determination of the Unbound Fraction in Plasma and Medium
7.5. Results of In Vitro ADME Assays
8. In Vivo Pharmacokinetics Assay
8.1. Intravenous and Oral Administration
8.2. Topical Application as Eye Drops and Intravitreous Injection
8.3. LC-MS/MS Quantification Method for NK-5962
8.4. Results of Pharmacokinetic Studies
9. Reactive Oxygen Species (ROS) Assay
9.1. Methods
9.2. Results
10. Conclusions and Future Perspectives
Author Contributions
Funding
Institutional Review Board Statement
Data Availability Statement
Conflicts of Interest
References
- Matsuo, T. A simple method for screening photoelectric dyes towards their use for retinal prostheses. Acta Med. Okayama 2003, 57, 257–260. [Google Scholar] [PubMed]
- Matsuo, T.; Dan-oh, Y.; Suga, S. Agent for Inducing Receptor Potential. U.S. Patent US7,101,533 B2, 5 September 2006. [Google Scholar]
- Uchida, T.; Matsuo, T. Method for Producing Artificial Retina. U.S. Patent US10,039,861 B2, 7 August 2018. [Google Scholar]
- Uchida, T.; Ishimaru, S.; Shimamura, K.; Uji, A.; Matsuo, T.; Ohtsuki, H. Immobilization of photoelectric dye on the polyethylene film surface. In Memoirs of the Faculty of Engineering Okayama University; Okayama University: Okayama, Japan, 2005; Volume 39, pp. 16–20. [Google Scholar]
- Uji, A.; Matsuo, T.; Ishimaru, S.; Kajiura, A.; Shimamura, K.; Ohtsuki, H.; Dan-oh, Y.; Suga, S. Photoelectric dye-coupled polyethylene film as a prototype of retinal prostheses. Artif. Organs 2005, 29, 53–57. [Google Scholar] [CrossRef] [PubMed]
- Uji, A.; Matsuo, T.; Uchida, T.; Shimamura, K.; Ohtsuki, H. Intracellular calcium response and adhesiveness of chick embryonic retinal neurons to photoelectric dye-coupled polyethylene films as prototypes of retinal prostheses. Artif. Organs 2006, 30, 695–703. [Google Scholar] [CrossRef]
- Matsuo, T.; Uchida, T.; Takarabe, K. Safety, efficacy, and quality control of a photoelectric dye-based retinal prosthesis (Okayama University-type retinal prosthesis) as a medical device. J. Artif. Organs 2009, 12, 213–225. [Google Scholar] [CrossRef] [PubMed]
- Matsuo, T.; Sakurai, M.; Terada, K.; Uchida, T.; Yamashita, K.; Tanaka, T.; Takarabe, K. Photoelectric dye-coupled polyethylene film: Photoresponsive properties evaluated by Kelvin probe and in vitro biological response detected in dystrophic retinal tissue of rats. Adv. Biomed. Eng. 2019, 8, 137–144. [Google Scholar] [CrossRef]
- Matsuo, T.; Hosoya, O.; Tsutsui, K.M.; Uchida, T. Behavior tests and immunohistochemical retinal response analyses in RCS rats with subretinal implantation of Okayama University-type retinal prosthesis. J. Artif. Organs 2013, 16, 343–351. [Google Scholar] [CrossRef]
- Matsuo, T.; Hosoya, O.; Tsutsui, K.M.; Uchida, T. Vision maintenance and retinal apoptosis reduction in RCS rats with Okayama University-type retinal prosthesis (OURePTM) implantation. J. Artif. Organs 2015, 18, 264–271. [Google Scholar] [CrossRef]
- Matsuo, T.; Hosoya, O.; Uchida, T. Visual evoked potential in RCS rats with Okayama University-type retinal prosthesis (OURePTM) implantation. J. Artif. Organs 2017, 20, 158–165. [Google Scholar] [CrossRef]
- Matsuo, T.; Uchida, T.; Yamashita, K.; Takei, S.; Ido, D.; Fujiwara, A.; Iino, M.; Oguchi, M. Vision evaluation by functional observational battery, operant behavior test, and light/dark box test in retinal dystrophic RCS rats versus normal rats. Heliyon 2019, 5, e01936. [Google Scholar] [CrossRef]
- Matsuo, T.; Uchida, T.; Sakurai, J.; Yamashita, K.; Matsuo, C.; Araki, T.; Yamashita, Y.; Kamikawa, K. Visual evoked potential recovery by subretinal implantation of photoelectric dye-coupled thin film retinal prosthesis (OURePTM) in monkey eyes with macular degeneration. Artif. Organs 2018, 42, E186–E203. [Google Scholar] [CrossRef]
- Matsuo, T.; Terada, K.; Sakurai, M.; Liu, S.; Yamashita, K.; Uchida, T. Step-by-step procedure to test photoelectric dye-coupled polyethylene film as retinal prosthesis to induce light-evoked spikes in isolated retinal dystrophic tissue of rd1 mice. Clin. Surg. 2020, 5, 2903. [Google Scholar]
- Huang, F.; Bladon, J.; Lagoy, R.C.; Shorrock, P.N., Jr.; Hronik-Tupaj, M.; Zoto, C.A.; Connors, R.E.; McGimpsey, W.G.; Molnar, P.; Lambert, S.; et al. A photosensitive surface capable of inducing electrophysiological changes in NG108-15 neurons. Acta Biomater. 2015, 12, 42–50. [Google Scholar] [CrossRef]
- Matsuo, T.; Uchida, T.; Nitta, M.; Yamashita, K.; Takei, S.; Ido, D.; Tanaka, M.; Oguchi, M.; Furukawa, T. Subretinal implantation of Okayama University-type retinal prosthesis (OURePTM) in canine eyes by vitrectomy. J. Vet. Med. Sci. 2017, 79, 1939–1946. [Google Scholar] [CrossRef][Green Version]
- Matsuo, T.; Uchida, T.; Yamashita, K.; Takei, S.; Ido, D.; Tanaka, M.; Oguchi, M.; Furukawa, T. Visual evoked potential in rabbits’ eyes with subretinal implantation by vitrectomy of Okayama University-type retinal prosthesis (OURePTM). J. Vet. Med. Sci. 2018, 80, 247–259. [Google Scholar] [CrossRef]
- Matsuo, T.; Uchida, T.; Yamashita, K.; Matsuo, C.; Kawakami, Y.; Hitomi, T.; Taga, K.; Sanada, T.; Yamashita, Y.; Kuramoto, K. Novel disposable injector (OUReP Injector) tested in rabbits’ eyes for subretinal implantation of Okayama University-type retinal prosthesis (OUReP). Anim. Eye Res. 2018, 37, 1–12. [Google Scholar]
- Matsuo, T.; Matsuo, C.; Uchida, T.; Yamashita, K.; Tanaka, T.; Kawakami, Y.; Hitomi, T.; Taga, K.; Sanada, T.; Yamashita, Y. Curved-tip disposable injector (OUReP Injector) to insert photoelectric dye-coupled polyethylene film (OUReP) as retinal prosthesis into subretinal space of rabbit eyes. J. Surg. Tech. Proc. 2020, 4, 1040. [Google Scholar]
- Tamaki, T.; Matsuo, T.; Hosoya, O.; Tsutsui, K.M.; Uchida, T.; Okamoto, K.; Uji, A.; Ohtsuki, H. Glial reaction to photoelectric dye-based retinal prostheses implanted in the subretinal space of rats. J. Artif. Organs 2008, 11, 38–44. [Google Scholar] [CrossRef] [PubMed][Green Version]
- Okamoto, K.; Matsuo, T.; Tamaki, T.; Uji, A.; Ohtsuki, H. Short-term biological safety of a photoelectric dye used as a component of retinal prostheses. J. Artif. Organs 2008, 11, 45–51. [Google Scholar] [CrossRef] [PubMed]
- Liu, S.; Matsuo, T.; Hosoya, O.; Uchida, T. Photoelectric dye used for Okayama University-type retinal prosthesis reduces the apoptosis of photoreceptor cells. J. Ocul. Pharmacol. Ther. 2017, 33, 149–160. [Google Scholar] [CrossRef] [PubMed]
- Chen, X.; Murawski, A.; Patel, K.; Crespi, C.L.; Balimane, P.V. A novel design of artificial membrane for improving the PAMPA model. Pharm. Res. 2008, 25, 1511–1520. [Google Scholar] [CrossRef]
- Shah, P.; Kerns, E.; Nguyen, D.T.; Obach, R.S.; Wang, A.Q.; Zakharov, A.; McKew, J.; Simeonov, A.; Hop, C.E.C.A.; Xu, X. An Automated high-throughput metabolic stability assay using an integrated high-resolution accurate mass method and automated data analysis software. Drug Metab. Dispos. 2016, 44, 1653–1661. [Google Scholar] [CrossRef]
- Organisation for Economic Co-operation and Development. Reactive oxygen species (ROS) assay for photoreactivity. In OECD Guidelines for the Testing of Chemicals; Test Guideline No. 495; OECD: Paris, France, 2019; Volume 495, pp. 1–16. [Google Scholar]
- Onoue, S.; Tsuda, Y. Analytical studies on the prediction of photosensitive/phototoxic potential of pharmaceutical substances. Pharm Res. 2006, 23, 156–164. [Google Scholar] [CrossRef]
- Onoue, S.; Hosoi, K.; Toda, T.; Takagi, H.; Osaki, N.; Matsumoto, Y.; Kawakami, S.; Wakuri, S.; Iwase, Y.; Yamamoto, T.; et al. Intra-/inter-laboratory validation study on reactive oxygen species assay for chemical photosafety evaluation using two different solar simulators. Toxicol. In Vitro 2014, 28, 515–523. [Google Scholar] [CrossRef] [PubMed]
- Koya-Miyata, S.; Ohta, H.; Akita, K.; Arai, S.; Ohta, T.; Kawata, T.; Fukuda, S. Cyanine dyes attenuate cerebral ischemia and reperfusion injury in rats. Biol. Pharm. Bull. 2010, 33, 1872–1877. [Google Scholar] [CrossRef] [PubMed][Green Version]
- Ohta, H.; Arai, S.; Akita, K.; Ohta, T.; Fukuda, S. Neurotrophic effects of a cyanine dye via the PI3K-Akt pathway: Attenuation of motor discoordination and neurodegeneration in a ataxic animal model. PLoS ONE 2011, 6, e17137. [Google Scholar] [CrossRef] [PubMed]
- Uchida, S.; Endo, S.; Akita, K.; Ohta, T.; Fukuda, S. The cyanine dye NK-4 improves scopolamine-induced memory impairments in mice. Biol. Pharm. Bull. 2012, 35, 1831–1835. [Google Scholar] [CrossRef] [PubMed][Green Version]
- Ohta, H.; Arai, S.; Akita, K.; Ohta, T.; Fukuda, S. Effects of NK-4 in a transgenic mouse model of Alzheimer’s disease. PLoS ONE 2012, 7, e30007. [Google Scholar] [CrossRef]
- Kohno, K.; Koya-Miyata, S.; Harashima, A.; Ariyasu, T.; Ushio, S. NK-4 exerts selective regulatory effects on the activation and function of allergy-related Th2 cells. PLoS ONE 2018, 13, e0199666. [Google Scholar] [CrossRef]
- Matsuo, T.; Morimoto, N. Visual acuity and perimacular retinal layers detected by optical coherence tomography in patients with retinitis pigmentosa. Br. J. Ophthalmol. 2007, 91, 888–890. [Google Scholar] [CrossRef] [PubMed][Green Version]
- Tamaki, M.; Matsuo, T. Optical coherence tomographic parameters as objective signs for visual acuity in patients with retinitis pigmentosa, future candidates for retinal prostheses. J. Artif. Organs 2011, 14, 140–150, Erratum in 2011, 14, 385. [Google Scholar] [CrossRef]
- Matsuo, T.; Uchida, T. Photoelectric dye-based retinal prosthesis (OUReP) as a novel type of artificial retina. Int. Med. Rev. 2021, 7, 916. [Google Scholar]








| The Number of Dead Cells/The Number of Live Cells (The Percentage of Dead Cells in Total Cells) | ||||||||||
|---|---|---|---|---|---|---|---|---|---|---|
| NK-5962 Concentration | Light Exposure | Well No. 1 | Well No. 2 | Well No. 3 | Well No. 4 | Well No. 5 | Well No. 6 | Well No. 7 | Well No. 8 | Well No. 9 |
| 0 | Yes | 13/242(5.0) | 6/214(2.7) | 9/257(3.3) | 5/85(5.5) | 2/138(1.4) | 2/129(1.5) | 3/133(2.2) | 1/186(0.5) | 8/272(2.9) |
| 0 | No | 0/576(0) | 17/457(3.5) | 12/239(4.7) | 4/166(2.3) | 12/224(5.0) | 1/247(0.4) | 3/171(1.7) | 10/253(3.8) | 3/117(2.5) |
| 1.6 × 10−5 M | Yes | 0/254(0) | 2/400(0.5) | 1/397(0.3) | 0/460(0) | 4/207(1.9) | 1/292(0.3) | 5/153(3.2) | 5/164(3.0) | 2/152(1.3) |
| 1.6 × 10−5 M | No | 3/694(0.4) | 0/287(0) | 4/412(0.9) | 9/584(1.5) | 7/412(1.7) | 4/533(0.7) | 1/168(0.6) | 3/141(2.1) | 9/201(4.3) |
| 1.6 × 10−6 M | Yes | 1/185(0.5) | 13/749(1.7) | 1/478(0.2) | 2/173(1.1) | 5/239(2.0) | 5/233(2.1) | 6/148(3.9) | 2/139(1.4) | 6/140(4.1) |
| 1.6 × 10−6 M | No | 2/559(0.4) | 7/552(1.3) | 10/415(2.4) | 2/240(0.8) | 5/289(1.7) | 2/150(1.3) | 3/152(1.9) | 2/138(1.4) | 3/115(2.5) |
| 1.6 × 10−7 M | Yes | 11/231(4.5) | 12/374(3.1) | 0/247(0) | 2/223(0.9) | 3/123(2.4) | 9/292(3.0) | 10/167(5.6) | 2/192(1.0) | 10/158(5.9) |
| 1.6 × 10−7 M | No | 11/547(2.0) | 2/652(0.3) | 11/541(2.0) | 3/241(1.2) | 0/238(0) | 7/294(2.3) | 3/135(2.2) | 2/153(1.3) | 11/203(5.1) |
| Solubility (µM) | Membrane Permeability (×10−6 cm/s) | Microsome Metabolic Stability (mL/min/kg) | Protein-Binding (Non-Binding Ratio) | ||||
|---|---|---|---|---|---|---|---|
| JP1 (pH 1.2) | JP2 (pH 6.8) | PAMPA (pH 6.5) | Human | Rat | Human Plasma | Rat Plasma | 10% Fetal Bovine Serum |
| 79 | 0.2 | 0.31 | 68.3 (54.5 µL/min/mg) | 272.2 (151.9 µL/min/mg) | 0.028 | 0.022 | 0.34 |
| Route of Administration | Concentration (Dose) | Rat ID-Eye | Time after Administration (Hour) | Eye Ball Concentration (nM) | Mean Eye Ball Concentration (nM) | Plasma Concentration (nM) | Eye Ball/ Plasma Ratio |
|---|---|---|---|---|---|---|---|
| Intravitreous | 16 µM (3 µL) | 1-left | 0.083 | 9.23 | 7.25 | ||
| 1-right | 0.083 | 5.27 | |||||
| 6-left | 2 | 1.19 | 1.49 | ||||
| 6-right | 2 | 1.78 | |||||
| Topical (Eye drop) | 16 µM (10 µL) | 2-left | 0.5 | 0.067 | 0.14 | ||
| 2-right | 0.5 | 0.211 | |||||
| 3-left (*dead) | 0.5 | 0.222 | |||||
| 3-right (*dead) | 0.5 | 0.044 | |||||
| Topical (Eye drop) | 39.7 µM (10 µL) | 4-left | 0.5 | 1.55 | 0.96 | ||
| 4-right | 0.5 | 0.510 | |||||
| 5-left | 0.5 | 1.19 | |||||
| 5-right | 0.5 | 0.592 | |||||
| Intravenous | 1 mg/kg body | 1-iv | 0.083 | 779 | |||
| 2-iv | 0.083 | 648 | |||||
| 1-iv | 0.25 | 511 | |||||
| 2-iv | 0.25 | 342 | |||||
| 1-iv | 0.5 | 34.1 | 29.8 | 661 | 0.052 | ||
| 2-iv | 0.5 | 25.5 | 569 | 0.045 | |||
| 3-iv | 1 | 49.9 | |||||
| 4-iv | 1 | 34.6 | |||||
| 3-iv | 2 | 4.16 | 3.79 | 24.3 | 0.17 | ||
| 4-iv | 2 | 3.42 | 22.0 | 0.16 |
| Oral Dose (mg/kg Body) | Rat ID | Time after Administration (Hour) | Plasma Concentration (nM) | Eye Ball Concentration (nM) | Eye Ball/Plasma Ratio(Kp) |
|---|---|---|---|---|---|
| 10 | 1-po | 0.25 | 2.42 | ||
| 2-po | 0.25 | 1.71 | |||
| 1-po | 0.5 | 1.51 | |||
| 2-po | 0.5 | 1.90 | |||
| 1-po | 1 | 2.11 | |||
| 2-po | 1 | 2.26 | |||
| 1-po | 2 | 1.51 | |||
| 2-po | 2 | 1.76 | |||
| 1-po | 4 | 0.80 | |||
| 2-po | 4 | 1.20 | |||
| 1-po | 8 | * 56.8 | <0.1 | Not calculated | |
| 2-po | 8 | 1.69 | <0.1 | <0.059 | |
| 100 | 3-po | 0.25 | 11.70 | ||
| 4-po | 0.25 | 6.17 | |||
| 3-po | 0.5 | 14.58 | |||
| 4-po | 0.5 | 11.15 | |||
| 3-po | 1 | 16.98 | |||
| 4-po | 1 | 17.43 | |||
| 3-po | 2 | 17.22 | |||
| 4-po | 2 | 11.51 | |||
| 3-po | 4 | 11.52 | |||
| 4-po | 4 | 5.75 | |||
| 3-po | 8 | 4.57 | 0.33 | 0.072 | |
| 4-po | 8 | * 44.4 | 0.40 | Not calculated |
| Compound | Reactive Oxygen Species Generation | |
|---|---|---|
| Singlet oxygen (ΔA440 × 1000) | Superoxide (ΔA560 × 1000) | |
| mean ± standard deviation (n = 3) | ||
| Quinine 200 µM (Positive control) | 602 ± 7 | 348 ± 12 |
| Sulisobenzone 200 µM (Negative control) | Not detected | Not detected |
| NK-4 20 µM | 26 ± 2 | 42 ± 6 |
| NK-5962 20 µM | 93 ± 14 | Not detected |
Publisher’s Note: MDPI stays neutral with regard to jurisdictional claims in published maps and institutional affiliations. |
© 2021 by the authors. Licensee MDPI, Basel, Switzerland. This article is an open access article distributed under the terms and conditions of the Creative Commons Attribution (CC BY) license (https://creativecommons.org/licenses/by/4.0/).
Share and Cite
Matsuo, T.; Liu, S.; Uchida, T.; Onoue, S.; Nakagawa, S.; Ishii, M.; Kanamitsu, K. Photoelectric Dye, NK-5962, as a Potential Drug for Preventing Retinal Neurons from Apoptosis: Pharmacokinetic Studies Based on Review of the Evidence. Life 2021, 11, 591. https://doi.org/10.3390/life11060591
Matsuo T, Liu S, Uchida T, Onoue S, Nakagawa S, Ishii M, Kanamitsu K. Photoelectric Dye, NK-5962, as a Potential Drug for Preventing Retinal Neurons from Apoptosis: Pharmacokinetic Studies Based on Review of the Evidence. Life. 2021; 11(6):591. https://doi.org/10.3390/life11060591
Chicago/Turabian StyleMatsuo, Toshihiko, Shihui Liu, Tetsuya Uchida, Satomi Onoue, Shinsaku Nakagawa, Mayumi Ishii, and Kayoko Kanamitsu. 2021. "Photoelectric Dye, NK-5962, as a Potential Drug for Preventing Retinal Neurons from Apoptosis: Pharmacokinetic Studies Based on Review of the Evidence" Life 11, no. 6: 591. https://doi.org/10.3390/life11060591
APA StyleMatsuo, T., Liu, S., Uchida, T., Onoue, S., Nakagawa, S., Ishii, M., & Kanamitsu, K. (2021). Photoelectric Dye, NK-5962, as a Potential Drug for Preventing Retinal Neurons from Apoptosis: Pharmacokinetic Studies Based on Review of the Evidence. Life, 11(6), 591. https://doi.org/10.3390/life11060591

