Relative Risk Prediction of Norovirus Incidence under Climate Change in Korea
Abstract
:1. Introduction
2. RCP Scenarios
3. Data Descriptions
4. Methods
5. Results
6. Discussion and Conclusions
Author Contributions
Funding
Institutional Review Board Statement
Informed Consent Statement
Acknowledgments
Conflicts of Interest
References
- Troeger, C.; Colombara, D.V.; Rao, P.C.; Khalil, I.A.; Brown, A.; Brewer, T.G.; Guerrant, R.L.; Houpt, E.R.; Kotloff, K.L.; Misra, K.; et al. Global disability-adjusted life-year estimates of long-term health burden and undernutrition attributable to diarrhoeal diseases in children younger than 5 years. Lancet Glob. Health 2018, 6, e255–e269. [Google Scholar] [CrossRef] [Green Version]
- WHO (World Health Organization). Quantitative Risk Assessment of the Effects of Climate Change on Selected Causes of Death, 2030s and 2050s; Hales, S., Kovats, K., Lloyd, S., Campbell-Lendrum, D., Eds.; World Health Organization: Geneva, Switzerland, 2014. [Google Scholar]
- Kotloff, K.L.; Nataro, J.P.; Blackwelder, W.C.; Nasrin, D.; Farag, T.H.; Panchalingam, S.; Wu, Y.; Sow, S.O.; Sur, D.; Breiman, R.F.; et al. Burden and aetiology of diarrhoeal disease in infants and young children in developing countries (the Global Enteric Multicenter Study, GEMS): A prospective, case-control study. Lancet 2013, 382, 209–222. [Google Scholar] [CrossRef]
- Walker, C.L.F.; Rudan, I.; Liu, L.; Nair, H.; Theodoratou, E.; Bhutta, Z.A.; O’Brien, K.; Campbell, H.; Black, R.E. Global burden of childhood pneumonia and diarrhoea. Lancet 2013, 381, 1405–1416. [Google Scholar] [CrossRef]
- Guerrant, R.L.; DeBoer, M.D.; Moore, S.; Scharf, R.; Lima, A. The impoverished gut—a triple burden of diarrhoea, stunting and chronic disease. Nat. Rev. Gastroenterol. Hepatol. 2013, 10, 220–229. [Google Scholar] [CrossRef] [PubMed]
- Prüss, A.; Kay, D.; Fewtrell, L.; Bartram, J. Estimating the burden of disease from water, sanitation, and hygiene at a global level. Environ. Health Perspect. 2002, 110, 537–542. [Google Scholar]
- Hall, A.J.; Glass, R.I.; Parashar, U.D. New insights into the global burden of noroviruses and opportunities for prevention. Expert Rev. Vaccines 2016, 15, 949–951. [Google Scholar] [CrossRef] [Green Version]
- Havelaar, A.H.; Kirk, M.D.; Torgerson, P.R.; Gibb, H.J.; Hald, T.; Lake, R.J.; Praet, N.; Bellinger, D.C.; de Silva, N.R.; Gargouri, N.; et al. World Health Organization global estimates and regional comparisons of the burden of foodborne disease in 2010. PLoS Med. 2015, 12, e1001923. [Google Scholar] [CrossRef] [PubMed] [Green Version]
- Lopman, B.A. Global burden of norovirus and prospects for vaccine development. In CDC Foundation Global Burden Report; CDC: Atlanta, GA, USA, 2015; pp. 1–44. [Google Scholar]
- Mead, P.S.; Slutsker, L.; Griffin, P.M.; Tauxe, R.V. Food-related illness and death in the United States reply to Dr. Hedberg. Emerg. Infect. Dis. 1999, 5, 607–625. [Google Scholar] [CrossRef] [PubMed]
- Lopman, B.A.; Reacher, M.; Gallimore, C.; Adak, G.K.; Gray, J.J.; Brown, D.W. A summertime peak of “winter vomiting disease”: Surveillance of noroviruses in England and Wales, 1995 to 2002. BMC Public Health 2003, 3, 13. [Google Scholar] [CrossRef] [PubMed] [Green Version]
- Verhoef, L.; Depoortere, E.; Boxman, I.; Duizer, E.; Van Duynhoven, Y.; Harris, J.; Johnsen, C.; Kroneman, A.; Le Guyader, S.; Lim, W.; et al. Emergence of new norovirus variants on spring cruise ships and prediction of winter epidemics. Emerg. Infect. Dis. 2008, 14, 238–243. [Google Scholar] [CrossRef] [PubMed]
- McSwiggan, D.A.; Cubitt, D.; Moore, W. Calicivirus associated with winter vomiting disease. Lancet 1978, 311, 1215. [Google Scholar] [CrossRef]
- Kim, J.G.; Kim, J.S.; Kim, J.G. Characteristics of Norovirus Food Poisoning Outbreaks in Korea in the 2000s. J. Food Prot. 2021, 84, 472–480. [Google Scholar] [CrossRef] [PubMed]
- Ahmed, S.M.; Lopman, B.A.; Levy, K. A systematic review and meta-analysis of the global seasonality of norovirus. PLoS ONE 2013, 8, e75922. [Google Scholar]
- Stegmaier, T.; Oellingrath, E.; Himmel, M.; Fraas, S. Differences in epidemic spread patterns of norovirus and influenza seasons of Germany: An application of optical flow analysis in epidemiology. Sci. Rep. 2020, 10, 1–14. [Google Scholar] [CrossRef]
- Onozuka, D.; Gasparrini, A.; Sera, F.; Hashizume, M.; Honda, Y. Modeling future projections of temperature-related excess morbidity due to infectious gastroenteritis under climate change conditions in Japan. Environ. Health Perspect. 2019, 127, 077006. [Google Scholar] [CrossRef] [PubMed]
- Moss, R.H.; Babiker, M.; Brinkman, S.; Calvo, E.; Carter, T.; Edmonds, J.A.; Elgizouli, I.; Emori, S.; Lin, E.; Hibbard, K.; et al. Towards New Scenarios for Analysis of Emissions, Climate Change, Impacts, and Response Strategies; Intergovernmental Panel on Climate Change Secretariat (IPCC): Geneva, Switzerland, 2008; ISBN 978-92-9169-125-8. [Google Scholar]
- Juang, H.M.H.; Hong, S.Y.; Kanamitsu, M. The NCEP Regional Spectral Model: An update. Bull. Am. Meteorol. Soc. 1997, 78, 2125–2143. [Google Scholar] [CrossRef] [Green Version]
- Kang, H.S.; Cha, D.H.; Lee, D.K. Evaluation of the mesoscale model/land surface model (MM5 = LSM) coupled model for East Asian summer monsoon simulations. J. Geophys. Res. 2005, 110, D10. [Google Scholar] [CrossRef] [Green Version]
- Skamarock, W.C.; Klemp, J.B.; Dudhia, J.; Gill, D.O.; Barker, D.M.; Wang, W.; Powers, J.G. A Description of the Advanced Research WRF Version 2; National Center For Atmospheric Research Boulder Co Mesoscale and Microscale Meteorology Div: Boulder, CO, USA, 2005; 100p. [Google Scholar]
- Giorgi, F.; Coppola, E.; Solmon, F.; Mariotti, L.; Sylla, M.B.; Bi, X.; Elguindi, N.; Diro, G.T.; Nair, V.; Giuliani, G.; et al. RegCM4: Model description and preliminary tests over multiple CORDEX domains. Clim. Res. 2012, 52, 7–29. [Google Scholar] [CrossRef] [Green Version]
- Kim, S.; Kim, H.; Jung, Y.; Heo, J.H. Assessment of Frequency Analysis using Daily Rainfall Data of HadGEM3-RA Climate Model. J. Wetl. Res. 2019, 21, 51–60. [Google Scholar]
- Jo, W.S.; Kim, H.Y.; Kim, B.J. Climate change alters diffusion of forest pest: A model study. J. Korean Phys. Soc. 2017, 70, 108–115. [Google Scholar] [CrossRef] [Green Version]
- R Core Team. R: A Language and Environment for Statistical Computing; R Foundation for Statistical Computing: Vienna, Austria, 2020; Available online: https://www.R-project.org/ (accessed on 31 August 2021).
- Wickham, H. The Split-Apply-Combine Strategy for Data Analysis. J. Stat. Softw. 2011, 40, 1–29. Available online: https://www.jstatsoft.org/v40/i01/ (accessed on 31 August 2021). [CrossRef] [Green Version]
- Canty, A.; Ripley, B. Boot: Bootstrap R (S-Plus) Functions. R Package Version 1.3-20. 2017. [Google Scholar]
- Garnier, S.; Ross, N.; Rudis, B.; Sciaini, M.; Camargo, A.P.; Scherer, C.; Garnier, S. Viridis: Default Color Maps from ‘Matplotlib’. R Package Version 0.5.1. Available online: https://CRAN.R-project.org/package=viridis (accessed on 31 August 2021).
- Dowle, M.; Srinivasan, A.; Gorecki, J.; Chirico, M.; Stetsenko, P.; Short, T.; Lianoglou, S.; Lianoglou, E.; Antonyan, E.; Bonsch, M.; et al. Data. Table: Extension of ‘Data.Frame’. R Package Version 1.11.8. 2018. Available online: https://CRAN.R-project.org/package=data.table (accessed on 31 August 2021).
- Bivand, R.; Keitt, T.; Rowlingson, B.; Pebesma, E.; Sumner, M.; Hijmans, R.; Baston, D.; Warmerdam, F.; Ooms, J. Rgdal: Bindings for the ‘Geospatial’ Data Abstraction Library. R Package Version 1.3-9. 2019. Available online: https://CRAN.R-project.org/package=rgdal (accessed on 31 August 2021).
- Hastie, T.; Tibshirani, R. Generalized additive models: Some applications. J. Am. Stat. Assoc. 1987, 82, 371–386. [Google Scholar] [CrossRef]
- Hastie, T.; Tibshirani, R. Generalized additive models for medical research. Stat. Methods Med Res. 1995, 4, 187–196. [Google Scholar] [CrossRef] [PubMed]
- Hastie, T.J.; Tibshirani, R.J. Generalized Additive Models, 1st ed.; CRC Press: Boca Raton, FL, USA, 1990; ISBN 0-412-34390-8. [Google Scholar]
- Wold, S. Spline functions in data analysis. Technometrics 1974, 16, 1–11. [Google Scholar] [CrossRef]
- Craven, P.; Wahba, G. Smoothing noisy data with spline functions. Numer. Math. 1978, 31, 377–403. [Google Scholar] [CrossRef]
- Hastie, T.J.; Tibshirani, R.J.; Friedman, J. The Elements of Statistical Learning: Data Mining, Inference, and Prediction; Springer: New York, NY, USA, 2009; ISBN 978-0-387-84857-0. [Google Scholar]
- Perperoglou, A.; Sauerbrei, W.; Abrahamowicz, M.; Schmid, M. A review of spline function procedures in R. BMC Med. Res. Methodol. 2019, 19, 1–16. [Google Scholar] [CrossRef] [Green Version]
- Wahba, G. Spline Models for Observational Data; Society for Industrial and Applied Mathematics, University City Science Center: Philadelphia, PA, USA, 1990; ISBN 978-0-898712-44-5. [Google Scholar]
- Rohayem, J. Norovirus seasonality and the potential impact of climate change. Clin. Microbiol. Infect. 2009, 15, 524–527. [Google Scholar] [CrossRef] [PubMed] [Green Version]
- Xiao, S.; Tang, J.W.; Li, Y. Airborne or fomite transmission for norovirus? A case study revisited. Int. J. Environ. Res. Public Health 2017, 14, 1571. [Google Scholar] [CrossRef] [Green Version]
- Greer, A.L.; Drews, S.J.; Fisman, D.N. Why “winter” vomiting disease? Seasonality, hydrology, and norovirus epidemiology in Toronto, Canada. Ecohealth 2009, 6, 192–199. [Google Scholar] [CrossRef] [PubMed]
- Nathanson, N.; Martin, J.R. The epidemiology of poliomyelitis: Enigmas surrounding its appearance, epidemicity, and disappearance. Am. J. Epidemiol. 1979, 110, 672–692. [Google Scholar] [CrossRef] [PubMed]











| Characteristic | Number of Patients with Norovirus(%) | Total Diarrhea Patients | |
|---|---|---|---|
| Total | 24,642 (8.69) | 283,651 | |
| Gender | Male | 13,787 (8.82) | 156,397 |
| Female | 10,855 (8.53) | 127,254 | |
| Age | 0–5 | 17,390 (13.00) | 133,737 |
| 6–15 | 2062 (8.74) | 23,605 | |
| 16–59 | 3139 (4.79) | 65,524 | |
| over 60 | 2051 (3.37) | 60,785 | |
| Region | South Area | 11,706 (9.26) | 126,467 |
| Central Area | 4452 (6.05) | 73,533 | |
| North Area | 8484 (10.14) | 83,651 | |
| Covariates | β | exp (β) | se | p-Value | 95% CI | |
|---|---|---|---|---|---|---|
| Intercept | −1.884 | 0.152 | 0.012 | <0.001 | 0.148–0.156 | |
| Gender | Male | Reference | ||||
| Female | 0.01 | 1.01 | 0.014 | 0.461 | 0.983–1.037 | |
| Age | 0–5 | Reference | ||||
| 6–15 | −0.437 | 0.646 | 0.024 | <0.001 | 0.616–0.678 | |
| 16–59 | −1.051 | 0.350 | 0.02 | <0.001 | 0.336–0.364 | |
| over 60 | −1.405 | 0.245 | 0.024 | <0.001 | 0.234–0.257 | |
| Region | South Area | Reference | ||||
| Central Area | −0.252 | 0.777 | 0.019 | <0.001 | 0.749–0.806 | |
| North Area | 0.06 | 1.062 | 0.015 | <0.001 | 1.031–1.094 | |
| Age | Maximum Rate | Maximum Rate Temperature | Risk Interval | High-Risk Interval | ||||
|---|---|---|---|---|---|---|---|---|
| Rate | Temperature Range | Rate | Temperature Range | |||||
| 0–5 | 23.8% | −2 °C | 19.0% | −10.4 °C | 6.4 °C | 21.4% | −7.8 °C | 3.8 °C |
| 6–15 | 21.2% | −0.5 °C | 17.0% | −5.7 °C | 4.6 °C | 19.1% | −4.1 °C | 3 °C |
| 16–59 | 11.9% | −5.8 °C | 9.5% | −14.3 °C | 2.7 °C | 10.7% | −11.7 °C | 0.1 °C |
| Over 60 | 7.7% | −4.6 °C | 6.2% | −12.9 °C | 3.6 °C | 7.0% | −10.3 °C | 1.1 °C |
| Age | RCP | Year | RRI | se | 2.5% | 97.50% |
|---|---|---|---|---|---|---|
| 0–5 | RCP2.6 | 2030 | 744,363.191 | 56.249 | 744,238.988 | 744,475.598 |
| 2050 | 798,557.165 | 58.093 | 798,448.003 | 798,682.025 | ||
| 2070 | 799,461.843 | 58.131 | 799,364.242 | 799,581.800 | ||
| 2100 | 769,219.313 | 64.379 | 769,104.059 | 769,342.982 | ||
| RCP4.5 | 2030 | 797,518.059 | 50.979 | 797,417.997 | 797,620.212 | |
| 2050 | 746,507.322 | 54.491 | 746,404.296 | 746,603.098 | ||
| 2070 | 765,325.678 | 66.426 | 765,193.106 | 765,443.671 | ||
| 2100 | 719,243.670 | 72.033 | 719,098.98 | 719,370.906 | ||
| RCP6.0 | 2030 | 773,885.898 | 59.472 | 773,778.616 | 774,007.359 | |
| 2050 | 819,199.541 | 45.961 | 819,120.154 | 819,287.547 | ||
| 2070 | 796,606.392 | 48.595 | 796,516.908 | 796,685.359 | ||
| 2100 | 680,299.531 | 78.89 | 680,118.010 | 680,425.951 | ||
| RCP8.5 | 2030 | 793,144.660 | 52.257 | 793,056.644 | 793,233.400 | |
| 2050 | 789,608.884 | 58.676 | 789,479.547 | 789,718.438 | ||
| 2070 | 696,860.635 | 77.764 | 696,731.282 | 697,019.472 | ||
| 2100 | 637,696.714 | 76.576 | 637,551.772 | 637,827.478 |
| Age | RCP | Year | RRI | se | 2.5% | 97.50% |
|---|---|---|---|---|---|---|
| 6–15 | RCP2.6 | 2030 | 759,573.415 | 87.567 | 759,392.791 | 759,752.307 |
| 2050 | 830,048.756 | 87.292 | 829,897.173 | 830,171.827 | ||
| 2070 | 847,114.171 | 85.711 | 846,989.130 | 847,286.762 | ||
| 2100 | 824,541.476 | 85.232 | 824,408.661 | 824,737.405 | ||
| RCP4.5 | 2030 | 797,031.139 | 92.947 | 796,868.583 | 797,198.477 | |
| 2050 | 780,405.365 | 88.667 | 780,244.899 | 780,579.088 | ||
| 2070 | 818,259.560 | 91.263 | 818,110.020 | 818,439.662 | ||
| 2100 | 744,777.347 | 109.334 | 744,567.330 | 744,988.180 | ||
| RCP6.0 | 2030 | 814,398.394 | 76.988 | 814,255.317 | 814,547.288 | |
| 2050 | 873,433.728 | 78.062 | 873,283.645 | 873,577.149 | ||
| 2070 | 850,347.595 | 85.542 | 850,199.707 | 850,538.008 | ||
| 2100 | 721,090.103 | 102.792 | 720,891.629 | 721,264.156 | ||
| RCP8.5 | 2030 | 839,317.621 | 80.411 | 839,185.498 | 839,501.208 | |
| 2050 | 842,927.700 | 82.334 | 842,793.436 | 843,091.020 | ||
| 2070 | 726,317.494 | 119.128 | 726,139.886 | 726,580.614 | ||
| 2100 | 675,713.129 | 112.328 | 675,513.487 | 675,906.920 |
| Age | RCP | Year | RRI | se | 2.5% | 97.50% |
|---|---|---|---|---|---|---|
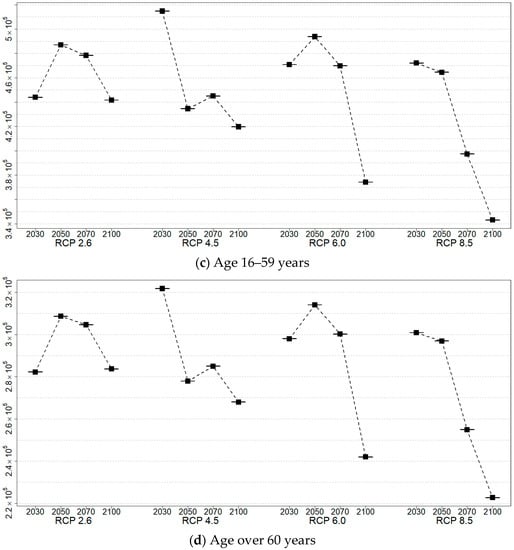
| 16–59 | RCP2.6 | 2030 | 443,918.399 | 56.697 | 443,813.478 | 444,020.317 |
| 2050 | 487,006.047 | 42.343 | 486,927.932 | 487,083.852 | ||
| 2070 | 478,341.416 | 36.410 | 478,277.169 | 478,404.044 | ||
| 2100 | 441,578.840 | 46.270 | 441,503.240 | 441,667.933 | ||
| RCP4.5 | 2030 | 514,711.088 | 38.449 | 514,641.502 | 514,797.870 | |
| 2050 | 434,542.392 | 49.690 | 434,429.309 | 434,637.481 | ||
| 2070 | 444,944.118 | 50.705 | 444,840.469 | 445,052.900 | ||
| 2100 | 419,674.710 | 55.697 | 419,577.711 | 419,794.594 | ||
| RCP6.0 | 2030 | 470,768.449 | 46.386 | 470,685.615 | 470,851.935 | |
| 2050 | 493,738.981 | 38.454 | 493,661.984 | 493,798.576 | ||
| 2070 | 469,803.798 | 44.892 | 469,712.005 | 469,881.028 | ||
| 2100 | 374,173.545 | 60.717 | 374,068.956 | 374,298.359 | ||
| RCP8.5 | 2030 | 472,046.924 | 47.130 | 471,954.943 | 472,142.872 | |
| 2050 | 464,492.952 | 47.240 | 464,407.449 | 464,577.836 | ||
| 2070 | 397,364.829 | 63.693 | 397,242.417 | 397,481.481 | ||
| 2100 | 343,059.165 | 56.321 | 342,955.761 | 343,160.810 |
| Age | RCP | Year | RRI | se | 2.5% | 97.50% |
|---|---|---|---|---|---|---|
| over 60 | RCP2.6 | 2030 | 282,203.504 | 26.677 | 282,156.802 | 282,257.290 |
| 2050 | 308,661.955 | 26.281 | 308,604.289 | 308,703.138 | ||
| 2070 | 304,635.017 | 25.072 | 304,589.212 | 304,683.773 | ||
| 2100 | 283,677.657 | 28.946 | 283,622.792 | 283,730.317 | ||
| RCP4.5 | 2030 | 321,812.213 | 20.200 | 321,776.156 | 321,848.276 | |
| 2050 | 277,891.568 | 30.253 | 277,824.773 | 277,943.525 | ||
| 2070 | 284,957.856 | 33.514 | 284,888.233 | 285,012.275 | ||
| 2100 | 267,956.163 | 31.890 | 267,900.299 | 268,015.764 | ||
| RCP6.0 | 2030 | 298,005.491 | 26.261 | 297,947.565 | 298,047.385 | |
| 2050 | 314,090.960 | 21.365 | 314,052.541 | 314,135.816 | ||
| 2070 | 300,210.740 | 29.942 | 300,160.387 | 300,264.328 | ||
| 2100 | 241,975.568 | 36.335 | 241,903.235 | 242,032.298 | ||
| RCP8.5 | 2030 | 300,852.815 | 24.281 | 300,802.806 | 300,888.892 | |
| 2050 | 296,927.581 | 26.964 | 296,875.699 | 296,971.395 | ||
| 2070 | 254,937.229 | 35.084 | 254,858.145 | 254,992.024 | ||
| 2100 | 222,659.981 | 35.031 | 222,595.774 | 222,712.245 |
Publisher’s Note: MDPI stays neutral with regard to jurisdictional claims in published maps and institutional affiliations. |
© 2021 by the authors. Licensee MDPI, Basel, Switzerland. This article is an open access article distributed under the terms and conditions of the Creative Commons Attribution (CC BY) license (https://creativecommons.org/licenses/by/4.0/).
Share and Cite
Kim, T.-K.; Paek, J.; Kim, H.-Y.; Choi, I. Relative Risk Prediction of Norovirus Incidence under Climate Change in Korea. Life 2021, 11, 1332. https://doi.org/10.3390/life11121332
Kim T-K, Paek J, Kim H-Y, Choi I. Relative Risk Prediction of Norovirus Incidence under Climate Change in Korea. Life. 2021; 11(12):1332. https://doi.org/10.3390/life11121332
Chicago/Turabian StyleKim, Tae-Kyoung, Jayeong Paek, Hwang-Yong Kim, and Ilsu Choi. 2021. "Relative Risk Prediction of Norovirus Incidence under Climate Change in Korea" Life 11, no. 12: 1332. https://doi.org/10.3390/life11121332
APA StyleKim, T.-K., Paek, J., Kim, H.-Y., & Choi, I. (2021). Relative Risk Prediction of Norovirus Incidence under Climate Change in Korea. Life, 11(12), 1332. https://doi.org/10.3390/life11121332
