Investigation of Thrombosis Volume, Anticoagulants, and Recurrence Factors in Portal Vein Thrombosis with Cirrhosis
Abstract
1. Introduction
2. Results
2.1. Patient Characteristics
2.2. Relationship between Correlation Factors and the PVT Volume
2.3. Relationship between Correlation Factors and PVT Reduction
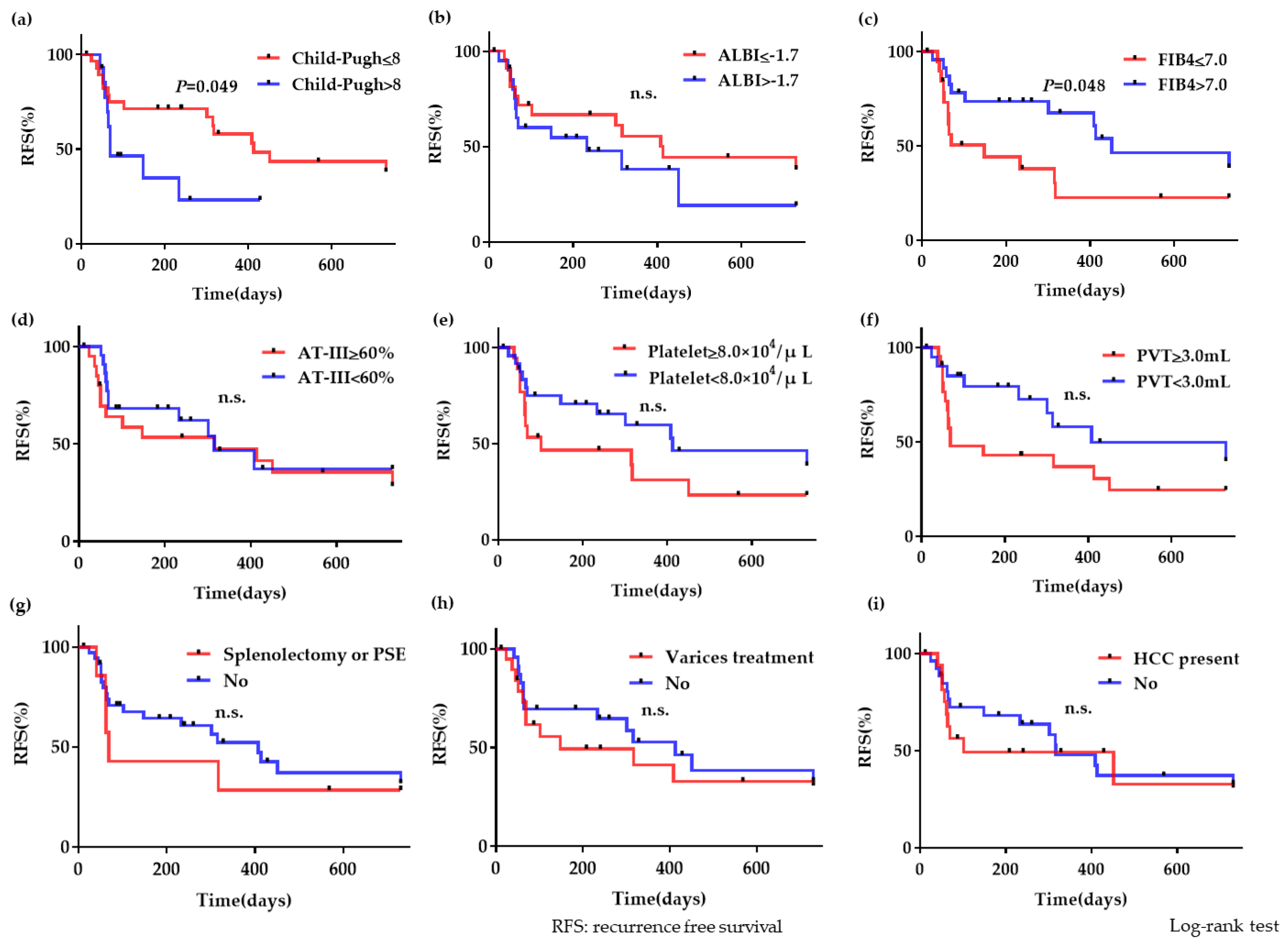
2.4. Correlation Factors Affecting Recurrence after Anticoagulation Therapy
2.5. Recurrence Events after Anticoagulation Therapy
2.6. Recurrence Events with or without Maintenance Treatment
3. Discussion
4. Materials and Methods
4.1. Study Design and Patients
4.2. Measurement of PVT
4.3. Statistical Analysis
5. Conclusions
Supplementary Materials
Author Contributions
Funding
Conflicts of Interest
Abbreviations
| PVT | Portal vein thrombosis | 
| AT-III | Antithrombin III | 
| HCC | Hepatocellular carcinoma | 
| MPV | The main trunk of the portal vein | 
| CT | Computed tomography | 
| CECT | Contrast-enhanced computed tomography | 
| HCC | Hepatocellular carcinoma | 
| FDP | Fibrinogen degradation products | 
| DD | D dimer | 
| PT | Prothrombin time | 
| PSE | Partial splenic embolization | 
| ALBI | Albumin–bilirubin | 
| FIB-4 | Fibrosis index based on four clinical factors | 
| AST | Aspartate transaminase | 
| ALT | Alanine aminotransferase | 
| TPO | Thrombopoietin | 
References
- Tsochatzis, E.A.; Senzolo, M.; Germani, G. Systematic review: Portal vein thrombosis in cirrhosis. Aliment. Pharmacol. Ther. 2010, 31, 366–374. [Google Scholar] [CrossRef] [PubMed]
- DeLeve, L.D.; Valla, D.C.; Garcia-Tsao, G. American Association for the Study Liver D: Vascular disorders of the liver. Hepatology 2009, 49, 1729–1796. [Google Scholar] [CrossRef] [PubMed]
- Zocco, M.A.; Di Stasio, E.; De Cristofaro, R.; Novi, M.; Ainora, M.E.; Ponziani, F.; Riccardi, L.; Lancellotti, S.; Santoliquido, A.; Flore, R.; et al. Thrombotic risk factors in patients with liver cirrhosis: Correlation with MELD scoring system and portal vein thrombosis development. J. Hepatol. 2009, 51, 682–689. [Google Scholar] [CrossRef] [PubMed]
- Zironi, G.; Gaiani, S.; Fenyves, D.; Rigamonti, A.; Bolondi, L.; Barbara, L. Value of measurement of mean portal flow velocity by Doppler flowmetry in the diagnosis of portal hypertension. J. Hepatol. 1992, 16, 298–303. [Google Scholar] [CrossRef]
- Amitrano, L.; Guardascione, M.A.; Brancaccio, V. Risk factors and clinical presentation of portal vein thrombosis in patients with liver cirrhosis. J. Hepatol. 2004, 40, 736–741. [Google Scholar] [CrossRef]
- Nery, F.; Chevret, S.; Condat, B. Groupe d’Etude et de Traitement du Carcinome Hepatocellulaire. Causes and consequences of portal vein thrombosis in 1,243 patients with cirrhosis: Results of a longitudinal study. Hepatology 2015, 61, 660–667. [Google Scholar] [CrossRef]
- Philips, C.A.; Kamath, P.S.; Choudhury, A.; Maruyama, H.; Nery, F.G.; Valla, D.C. Toward a comprehensive new classification of portal vein thrombosis in patients with cirrhosis. Sarin SK. Gastroenterology 2016, 151, 574–577. [Google Scholar]
- Maruyama, H.; Okugawa, H.; Takahashi, M.; Yokosuka, O. De novo portal vein thrombosis in virus-related cirrhosis: Predictive factors and long-term outcomes. Am. J. Gastroenterol. 2013, 108, 568–574. [Google Scholar] [CrossRef]
- Violi, F.; Corazza, G.R.; Caldwell, S.H.; Talerico, G.; Romiti, G.F.; Napoleone, L.; Perticone, F.; Bolondi, L.; Pietrangelo, A.; Vestri, A.R.; et al. Incidence and recurrence of portal vein thrombosis in cirrhotic patients. Thromb. Haemost. 2019, 119, 496–499. [Google Scholar] [CrossRef]
- Villa, E.; Camma, C.; Marietta, M.; Luongo, M.; Critelli, R.; Colopi, S.; Tata, C.; Zecchini, R.; Gitto, S.; Petta, S.; et al. Enoxaparin prevents portal vein thrombosis and liver decompensation in patients with advanced cirrhosis. Gastroenterology 2012, 143, 1253–1260. [Google Scholar] [CrossRef]
- Stine, J.G.; Shah, P.M.; Cornella, S.L. Portal vein thrombosis, mortality and hepatic decompensation in patients with cirrhosis: A meta-analysis. World J. Hepatol. 2015, 7, 2774–2780. [Google Scholar] [CrossRef]
- Loffredo, L.; Pastori, D.; Farcomeni, A.; Violi, F. Effects of anticoagulants in patients with cirrhosis and portal vein thrombosis: A systematic review and meta-analysis. Gastroenterology 2017, 153, 480–487. [Google Scholar] [CrossRef] [PubMed]
- Frangos, S.G.; Chen, A.H.; Sumpio, B. Vascular drugs in the new millennium. J. Am. Coll. Surg. 2000, 191, 76–92. [Google Scholar] [CrossRef]
- Nakase, J.; Toribatake, Y.; Mouri, Y. Heparin versus danaparoid for prevention of venous thromboembolism after hip surgery. J. Orthop. Surg. 2009, 17, 6–9. [Google Scholar] [CrossRef] [PubMed]
- Naeshiro, N.; Aikata, H.; Hyogo, H. Efficacy and safety of the anticoagulant drug, danaparoid sodium, in the treatment of portal vein thrombosis in patients with liver cirrhosis. Hepatol. Res. 2015, 45, 656–662. [Google Scholar] [CrossRef] [PubMed]
- Nagaoki, Y.; Aikata, H.; Daijyo, K. Efficacy and safety of edoxaban for treatment of portal vein thrombosis following danaparoid sodium in patients with liver cirrhosis. Hepatol. Res. 2018, 48, 51–58. [Google Scholar] [CrossRef]
- Hidaka, H.; Kokubu, S.; Sato, T.; Katsushima, S.; Izumi, N.; Igura, T.; Asahara, S.; Notsumata, K.; Osaki, Y.; Tsuji, K.; et al. Antithrombin III for portal vein thrombosis in patients with liver disease: A randomized, double-blind, controlled trial. Hepatol. Res. 2017, 43, e107–e113. [Google Scholar] [CrossRef]
- Kawanaka, H.; Akahoshi, T.; Kinjo, N.; Konishi, K.; Yoshida, D.; Anegawa, G.; Yamaguchi, S.; Uehara, H.; Hashimoto, N.; Tsutsumi, N.; et al. Impact of antithrombin III concentrates on portal vein thrombosis after splenectomy in patients with liver cirrhosis and hypersplenism. Ann. Surg. 2010, 251, 76–83. [Google Scholar] [CrossRef]
- Hayashi, T.; Takatori, H.; Horii, R.; Nio, K.; Terashima, T.; Iida, N.; Kitahara, M.; Shimakami, T.; Arai, K.; Kitamura, K.; et al. Danaparoid sodium-based anticoagulation therapy for portal vein thrombosis in cirrhosis patients. BMC Gastro. 2019, 19, 217. [Google Scholar] [CrossRef]
- Amitrano, L.; Guardascione, M.A.; Menchise, A.; Martino, R.; Scaglione, M.; Giovine, S.; Romano, L.; Balzano, A. Safety and efficacy of anticoagulation therapy with low molecular weight heparin for portal vein thrombosis in patients with liver cirrhosis. J. Clin. Gastroenterol. 2010, 44, 448–451. [Google Scholar]
- Senzolo, M.; MSartori, T.; Rossetto, V.; Burra, P.; Cillo, U.; Boccagni, P.; Gasparini, D.; Miotto, D.; Simioni, P.; Tsochatzis, E.; et al. Prospective evaluation of anticoagulation and transjugular intrahepatic portosystemic shunt for the management of portal vein thrombosis in cirrhosis. Liver Int. 2012, 32, 919–927. [Google Scholar] [CrossRef] [PubMed]
- de Franchis, R.; Baveno VI Faculty. Expanding consensus in portal hypertension: Report of the Baveno VI Consensus Workshop: Stratifying risk and individualizing care for portal hypertension. J. Hepatol. 2015, 63, 743–752. [Google Scholar] [CrossRef] [PubMed]
- European Association for the Study of the Liver. EASL Clinical Practice Guidelines: Vascular diseases of the liver. J. Hepatol. 2016, 64, 179–202. [Google Scholar] [CrossRef] [PubMed]
- Basili, S.; Carnevale, R.; Nocella, C.; Bartimoccia, S.; Raparelli, V.; Talerico, G.; Stefanini, L.; Romiti, G.F.; Perticone, F.; Corazza, G.R.; et al. Serum albumin is inversely associated with portal vein thrombosis in cirrhosis. Hepatol. Commun. 2019, 3, 504–512. [Google Scholar] [CrossRef]
- Then, E.O.; Are, V.S.; Lopez-Luciano, M.; Bijjam, R.; Ofosu, A.; Culliford, A.; Gaduputia, V. Elevated international normalized ratio: A risk factor for portal vein thrombosis in cirrhotic patients. Gastroent. Res. 2019, 12, 135–140. [Google Scholar] [CrossRef]
- Ferreira, C.N.; Marinho, R.T.; Cortez-Pinto, H.; Ferreira, P.; Dias, M.S.; Vasconcelos, M.; Alexandrino, P.; Serejo, F.; Pedro, A.J.; Gonçalves, A.; et al. Incidence, predictive factors and clinical significance of development of portal vein thrombosis in cirrhosis: A prospective study. Liver Int. 2019, 39, 1459–1467. [Google Scholar] [CrossRef]
- Qian, Y.-Y.; Li, K. The early prevention and treatment of PVST after laparoscopic splenectomy: A prospective cohort study of 130 patients. Int. J. Surg. 2017, 44, 147–151. [Google Scholar] [CrossRef]
- Li, M.-X.; Zhang, X.-F.; Liu, Z.-W.; Lv, Y. Risk factors and clinical characteristics of portal vein thrombosis after splenectomy in patients with liver cirrhosis. Hepatobiliary Pancreat. Dis. Int. 2013, 12, 512–519. [Google Scholar] [CrossRef]
- Afdhal, N.H.; Giannini, E.G.; Tayyab, G.; Mohsin, A.; Lee, J.-W.; Andriulli, A.; Jeffers, L.; McHutchison, J.; Chen, P.-J.; Han, K.-H.; et al. Eltrombopag before procedures in patients with cirrhosis and thrombocytopenia. N. Engl. J. Med. 2012, 367, 716–724. [Google Scholar] [CrossRef]
- Kojima, S.; Watanabe, N.; Koizumi, J.; Kokubu, S.; Murashima, N.; Matsutani, S.; Obara, K. Current status of portal vein thrombosis in Japan: Results of a questionnaire survey by the Japan Society for Portal Hypertension. Hepatol. Res. 2018, 48, 244–254. [Google Scholar] [CrossRef]
- Houot, M.; Ngo, Y.; Munteanu, M.; Marque, S.; Poynard, T. Systematic review with meta-analysis: Direct comparisons of biomarkers for the diagnosis of fibrosis in chronic hepatitis C and B. Aliment. Pharmacol. Ther. 2016, 43, 16–29. [Google Scholar] [CrossRef] [PubMed]
- Xiao, G.; Yang, J.; Yan, L. Comparison of diagnostic accuracy of aspartate aminotransferase to platelet ratio index and fibrosis—4 index for detecting liver fibrosis in adult patients with chronic hepatitis B virus infection: A systemic review and meta-analysis. Hepatology 2015, 61, 292–302. [Google Scholar] [CrossRef] [PubMed]
- Sun, W.; Cui, H.; Li, N. Comparison of FIB-4 index, NAFLD fibrosis score and BARD score for prediction of advanced fibrosis in adult patients with non-alcoholic fatty liver disease: A meta-analysis study. Hepatol. Res. 2016, 46, 862–870. [Google Scholar] [CrossRef] [PubMed]






| Patients (n = 52) | |
|---|---|
| Age, years | 64 (58, 70) | 
| Sex, male, n (%) | 40 (76.9) | 
| Etiology, HCV/HBV/Alcohol, n (%) | 28 (53.8)/6 (11.5)/8 (15.4) | 
| HCC present, n (%) | 21 (40.4) | 
| Treatment history of splenectomy or PSE, n (%) | 8 (15.4) | 
| Treatment history of varices, n (%) | 25 (48.1) | 
| Including MPV, n (%) | 43 (82.7) | 
| Child–Pugh score | 8 (5–10) | 
| ALBI score | −1.8 (−2.1–−1.4) | 
| FIB-4 index | 7.6 (4.5–10.1) | 
| Platelet (×104/μL) | 7.0 (5.0–11.2) | 
| PT activity (%) | 63 (56–73) | 
| Albumin (mg/dL) | 3.1 (2.8–3.4) | 
| T-Bil (mg/dL) | 1.3 (0.9–2.1) | 
| AT-III (%) | 57 (47–69) | 
| FDP (μg/mL) | 8.8 (4.6–18.9) | 
| DD (μg/mL) | 4.4 (2.2–9.0) | 
| Pretreatment PVT (mL) | 3.2 (1.9–6.8) | 
| Recurrence (n = 24) | No Recurrence (n = 19) | P | |
|---|---|---|---|
| Age, years | 65 (58, 70) | 64 (57, 73) | * n.s. | 
| Sex, male, n (%) | 18 (75) | 15 (89) | + n.s. | 
| Etiology, HCV/HBV/Alcohol, n (%) | 17 (71)/1 (4)/3 (3) | 8 (38)/2 (11)/4 (21) | + n.s. | 
| HCC present, n (%) | 9 (38) | 7 (37) | + n.s. | 
| Treatment history of splenectomy or PSE, n (%) | 5 (21) | 2 (11) | + n.s. | 
| Treatment history of varices, n (%) | 12 (46) | 8 (47) | + n.s. | 
| Including MPV, n (%) | 21 (88) | 14 (74) | + n.s. | 
| Child–Pugh score | 8 (6–11) | 8 (7–9) | * n.s. | 
| ALBI score | −1.7 (−1.9–−1.4) | −1.8 (−2.1–−1.5) | * n.s. | 
| FIB-4 index | 6.7 (5.1–10.1) | 8.0 (4.0–9.7) | * n.s. | 
| Platelet (×104/μL) | 7.8 (5.2–11.7) | 6.8 (5.5–11.0) | ** n.s. | 
| PT activity (%) | 67 (57–74) | 62 (56–72) | * n.s. | 
| Albumin (mg/dL) | 3.1 (2.8–3.3) | 3.1 (2.8–3.4) | * n.s. | 
| T-Bil (mg/dL) | 1.6 (0.9–2.5) | 1.1 (0.9–1.5) | ** n.s. | 
| AT-III (%) | 62 (47–72) | 55 (47–69) | * n.s. | 
| FDP (μg/mL) | 9.0 (5.9–32.3) | 8.4 (4.4–17.8) | ** n.s. | 
| DD (μg/mL) | 4.6 (2.8–11.7) | 3.7 (1.7–7.6) | ** n.s. | 
| Pretreatment PVT (mL) | 3.8 (2.4–7.7) | 2.0 (1.2–5.4) | ** 0.019 | 
© 2020 by the authors. Licensee MDPI, Basel, Switzerland. This article is an open access article distributed under the terms and conditions of the Creative Commons Attribution (CC BY) license (http://creativecommons.org/licenses/by/4.0/).
Share and Cite
Suda, T.; Takatori, H.; Hayashi, T.; Horii, R.; Nio, K.; Terashima, T.; Iida, N.; Kitahara, M.; Shimakami, T.; Arai, K.; et al. Investigation of Thrombosis Volume, Anticoagulants, and Recurrence Factors in Portal Vein Thrombosis with Cirrhosis. Life 2020, 10, 177. https://doi.org/10.3390/life10090177
Suda T, Takatori H, Hayashi T, Horii R, Nio K, Terashima T, Iida N, Kitahara M, Shimakami T, Arai K, et al. Investigation of Thrombosis Volume, Anticoagulants, and Recurrence Factors in Portal Vein Thrombosis with Cirrhosis. Life. 2020; 10(9):177. https://doi.org/10.3390/life10090177
Chicago/Turabian StyleSuda, Tsuyoshi, Hajime Takatori, Takehiro Hayashi, Rika Horii, Kouki Nio, Takeshi Terashima, Noriho Iida, Masaaki Kitahara, Tetsuro Shimakami, Kuniaki Arai, and et al. 2020. "Investigation of Thrombosis Volume, Anticoagulants, and Recurrence Factors in Portal Vein Thrombosis with Cirrhosis" Life 10, no. 9: 177. https://doi.org/10.3390/life10090177
APA StyleSuda, T., Takatori, H., Hayashi, T., Horii, R., Nio, K., Terashima, T., Iida, N., Kitahara, M., Shimakami, T., Arai, K., Yamashita, T., Yamashita, T., Mizukoshi, E., Honda, M., Okumura, K., Kozaka, K., & Kaneko, S. (2020). Investigation of Thrombosis Volume, Anticoagulants, and Recurrence Factors in Portal Vein Thrombosis with Cirrhosis. Life, 10(9), 177. https://doi.org/10.3390/life10090177
 
        

 
       