The Messy Alkaline Formose Reaction and Its Link to Metabolism
Abstract
1. Introduction
1.1. A Brief History
1.2. A Plausible Place for the Formose Reaction
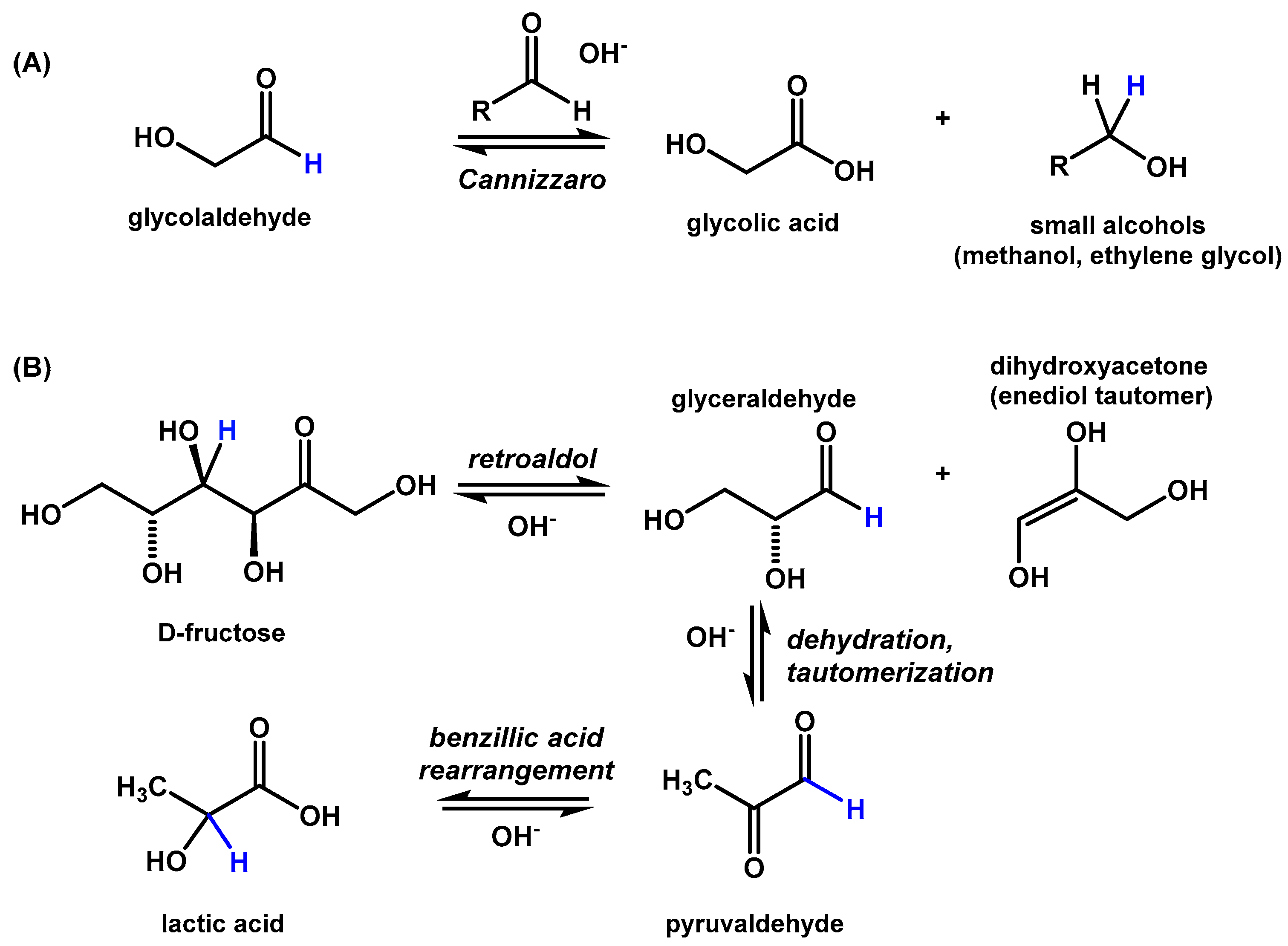
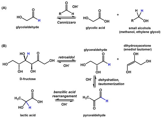
1.3. The Modern Formose Reaction and Prebiotic Chemistry
2. Materials and Methods
2.1. Heated Alkaline Formaldehyde Solutions
2.2. Chemical Characterization of Formose Products
3. Results and Discussion
4. Conclusions
Supplementary Materials
Author Contributions
Funding
Acknowledgments
Conflicts of Interest
References
- Butlerow, A. Ueber einige Derivate des Jodmethylens. Ann. Chem. Pharm. 1859, 111, 242–252. [Google Scholar] [CrossRef]
- Hofmaann, A.W. Untersuchung Über das Hämatoidin. Ber. Dtsch. Chem. Ges. 1867, 8, 665–669. [Google Scholar]
- Hofmann, A.W. HERSTELLUNG VON FORMALDEHYD. Ber. Dtsch. Chem. Ges. 1869, 2, 152–159. [Google Scholar] [CrossRef]
- Butlerow, A. Bildung einer zuckerartigen Substanz durch Synthese. Justus Liebigs Ann. Chem. 1861, 120, 295–298. [Google Scholar] [CrossRef]
- Loew, O. Über Bildung von Zuckerarten aus Formaldehyd. Ber. Dtsch. Chem. Ges. 1889, 22, 470–478. [Google Scholar] [CrossRef]
- Fischer, H.O.L.; Baer, E. Synthese von d-Fructose und d-Sorbose aus d-Glycerinaldehyd, bzw. aus d-Glycerinaldehyd und Dioxy-aceton; über Aceton-glycerinaldehyd III. Helv. Chim. Acta 1936, 19, 519. [Google Scholar] [CrossRef]
- Benner, S.A.; Bell, E.A.; Biondi, E.; Brasser, R.; Carell, T.; Kim, H.-J.; Mojzsis, S.J.; Omran, A.; Pasek, M.A.; Trail, D. When Did Life Likely Emerge on Earth in an RNA-First Process? ChemSystemsChem 2020, 2, e2000010. [Google Scholar] [CrossRef]
- Dalrymple, G.B. The age of the Earth in the twentieth century: A problem (mostly) solved. Geo. Soc. Lond. 2001, 190, 205–221. [Google Scholar] [CrossRef]
- Cody, G.D.; Heying, E.; Alexander, C.M.O.; Nittler, L.R.; Kilcoyne, A.L.D.; Sandford, S.A.R.; Stroud, M. Establishing a molecular relationship between chondritic and cometary organic solids. Proc. Natl. Acad. Sci. USA 2011, 108, 19171–19176. [Google Scholar] [CrossRef]
- Pinto, J.P.; Gladstone, G.R.; Yung, Y.L. Photochemical Production of Formaldehyde in Earth’s Primitive Atmosphere. Science 1980, 210, 183–185. [Google Scholar] [CrossRef]
- Löb, W.Z. Elektrochem. Angew. Phys. Chem. 1906, 12, 282. [Google Scholar]
- Cleaves II, H.J. The prebiotic geochemistry of formaldehyde. Precam. Res. 2008, 164, 111–118. [Google Scholar] [CrossRef]
- Breslow, R. On the mechanism of the formose reaction. Tetrahedron Lett. 1959, 21, 22–26. [Google Scholar] [CrossRef]
- Appayee, C.; Breslow, R. Deuterium studies reveal a new mechanism for the formose reaction involving hydride shifts. J. Am. Chem. Soc. 2014, 136, 3720–3723. [Google Scholar] [CrossRef] [PubMed]
- Ricardo, A.; Carrigan, M.A.; Olcott, A.N.; Benner, S.A. Borate minerals stabilize ribose. Science 2004, 303, 196. [Google Scholar] [CrossRef]
- Weiss, A.H.; Lapierre, R.B.; Shapira, J. Homogeneously catalyzed formaldehyde condensation to carbohydrates. J. Catal. 1970, 16, 332–347. [Google Scholar] [CrossRef]
- Weiss, A.H.; Socha, R.F.; Likholobov, V.A.; Sakharov, M.M. Formose sugars from formaldehyde. Appl. Catal. 1981, 1, 237–246. [Google Scholar] [CrossRef]
- Larralde, R.; Robertson, M.P.; Miller, S.L. Rates of decomposition of ribose and other sugars: Implications for chemical evolution. Proc. Natl. Acad. Sci. USA 1995, 92, 8158–8160. [Google Scholar] [CrossRef]
- Schwartz, A.W.; De Graaf, R.M. The prebiotic synthesis of carbohydrates: A reassessment. J. Mol. Evol. 1993, 36, 101–106. [Google Scholar] [CrossRef]
- Reid, C.; Orgel, L.E. Model for origin of monosaccharides: Synthesis of sugars in potentially prebiotic conditions. Nature 1967, 216, 455. [Google Scholar] [CrossRef]
- Matsuura, T.; Shigemasa, Y.; Sakazawa, C. Potentiometric analysis of the formose reaction. Chem. Lett. 1974, 3, 713–714. [Google Scholar] [CrossRef]
- Niitsu, T.; Ito, M.M.; Inoue, H. Analysis of the formose reaction system. J. Chem. Eng. Jpn. 1992, 25, 480–485. [Google Scholar] [CrossRef]
- Gardner Swain, C.; Powell, A.L.; Sheppard, W.A.; Morgan, C.R. Mechanism of the Cannizzaro reaction. J. Am. Chem. Soc. 1979, 101, 3576–3583. [Google Scholar] [CrossRef]
- Tsujino, Y.; Wakai, C.; Watubayashi, N.; Nakahara, M. Noncatalytic Cannizzaro-type Reaction of Formaldehyde in Hot Water. Chem. Lett. 1999, 4, 287–288. [Google Scholar] [CrossRef]
- Peng, X.D.; Barteau, M.A. Adsorption of formaldehyde on model magnesia surfaces: Evidence for the Cannizzaro reaction. Langmuir 1989, 5, 1051–1056. [Google Scholar] [CrossRef]
- Geissman, T.A. The Cannizzaro Reaction. Org. React. 2004, 15, 94–113. [Google Scholar]
- Martin, R.J. The mechanism of the Cannizzaro reaction of formaldehyde. Aust. J. Chem. 1954, 7, 335–347. [Google Scholar] [CrossRef]
- Tambawala, H.; Weiss, A.H. Homogeneously catalyzed formaldehyde condensation to carbohydrates: II. Instabilities and Cannizzaro effects. J. Catal. 1972, 26, 388–400. [Google Scholar] [CrossRef]
- Downes, A.M.; Harris, G.M. Isotope Effect in the Cannizzaro Reaction of Carbon-14-Labeled Formaldehyde. J. Chem. Phys. 1952, 20, 196–197. [Google Scholar] [CrossRef]
- Jin, F.; Enomoto, H. Rapid and highly selective conversion of biomass into value-added products in hydrothermal conditions: Chemistry of acid/base-catalysed and oxidation reactions. Energy Environ. Sci. 2011, 4, 382–397. [Google Scholar] [CrossRef]
- De Bruijn, J.M.; Kieboom, A.P.G.; Van Bekkum, H. Alkaline degradation of monosaccharides III. Influence of reaction parameters upon the final product composition. Recl. Trav. Chim. Pays-Bas 1986, 105, 176–183. [Google Scholar] [CrossRef]
- Jin, F.; Zhou, Z.; Enomoto, H.; Moriya, T.; Higashijima, H. Conversion mechanism of cellulosic biomass to lactic acid in subcritical water and acid–base catalytic effect of subcritical water. Chem. Lett. 2004, 33, 126–127. [Google Scholar] [CrossRef]
- Yan, X.; Jin, F.; Tohji, K.; Moriya, T.; Enomoto, H. Production of lactic acid from glucose by alkaline hydrothermal reaction. J. Mater. Sci. 2007, 42, 9995–9999. [Google Scholar] [CrossRef]
- Kishida, H.; Jin, F.; Yan, X.; Moriya, T.; Enomoto, H. Formation of lactic acid from glycolaldehyde by alkaline hydrothermal reaction. Carbohydr. Res. 2006, 341, 2619–2623. [Google Scholar] [CrossRef]
- Maurer, H.W.; Bemiller, J.N.; Smith, G.V. Homogeneous catalytic condensation of methylene glycol (the formose reaction): Effects of oxygen and reducing sugars. J. Catal. 1987, 103, 239–248. [Google Scholar] [CrossRef]
- Benner, S.A.; Kim, H.J.; Carrigan, M.A. Asphalt, water, and the prebiotic synthesis of ribose, ribonucleosides, and RNA. Acc. Chem. Res. 2012, 45, 2025–2034. [Google Scholar] [CrossRef]
- Kim, H.J.; Ricardo, A.; Illangkoon, H.I.; Kim, M.J.; Carrigan, M.A.; Frye, F.; Benner, S.A. Synthesis of carbohydrates in mineral-guided prebiotic cycles. J. Am. Chem. Soc. 2011, 133, 9457–9468. [Google Scholar] [CrossRef]
- Furukawa, Y.; Nitta, A.; Abe, C.; Kakegawa, T.; Kim, H.J.; Benner, S.A. Clay minerals as a formation catalyst and a stabilizer of ribose on the prebiotic Earth. Jpn. Geosci. Union 2018, 6, 1. [Google Scholar]
- Nitta, S.; Furukawa, Y.; Kakegawa, T. Effects of silicate, phosphate, and calcium on the stability of aldopentoses. Orig. Life Evol. Biosph. 2016, 46, 189–202. [Google Scholar] [CrossRef]
- Furukawa, Y.; Horiuchi, M.; Kakegawa, T. Selective stabilization of ribose by borate. Orig. Life Evol. Biosph. 2013, 43, 353–361. [Google Scholar] [CrossRef]
- Keller, M.A.; Turchyn, A.V.; Ralser, M. Non-enzymatic glycolysis and pentose phosphate pathway-like reactions in a plausible a rchean ocean. Mol. Syst. Biol. 2014, 10, 725. [Google Scholar] [CrossRef] [PubMed]
- Keller, M.A.; Zylstra, A.; Castro, C.; Turchyn, A.V.; Griffin, J.L.; Ralser, M. Conditional iron and pH-dependent activity of a non-enzymatic glycolysis and pentose phosphate pathway. Sci. Adv. 2016, 2, e1501235. [Google Scholar] [CrossRef] [PubMed]
- Neveu, M.; Kim, H.J.; Benner, S.A. The “strong” RNA world hypothesis: Fifty years old. Astrobiology 2013, 13, 391–403. [Google Scholar] [CrossRef] [PubMed]
- Peretó, J. Out of fuzzy chemistry: From prebiotic chemistry to metabolic networks. Chem. Soc. Rev. 2012, 41, 5394–5403. [Google Scholar] [CrossRef]





| Sugar | Molecular Weight (g/mol) | Weight (µg) | Mole % | Molecular Formula |
|---|---|---|---|---|
| Glucose | 180.2 | 0.044 | 79.3 | C6H12O6 |
| Xylose | 150.1 | 0.007 | 14.5 | C5H10O5 |
| Mannose | 180.2 | 0.003 | 6.2 | C6H12O6 |
© 2020 by the authors. Licensee MDPI, Basel, Switzerland. This article is an open access article distributed under the terms and conditions of the Creative Commons Attribution (CC BY) license (http://creativecommons.org/licenses/by/4.0/).
Share and Cite
Omran, A.; Menor-Salvan, C.; Springsteen, G.; Pasek, M. The Messy Alkaline Formose Reaction and Its Link to Metabolism. Life 2020, 10, 125. https://doi.org/10.3390/life10080125
Omran A, Menor-Salvan C, Springsteen G, Pasek M. The Messy Alkaline Formose Reaction and Its Link to Metabolism. Life. 2020; 10(8):125. https://doi.org/10.3390/life10080125
Chicago/Turabian StyleOmran, Arthur, Cesar Menor-Salvan, Greg Springsteen, and Matthew Pasek. 2020. "The Messy Alkaline Formose Reaction and Its Link to Metabolism" Life 10, no. 8: 125. https://doi.org/10.3390/life10080125
APA StyleOmran, A., Menor-Salvan, C., Springsteen, G., & Pasek, M. (2020). The Messy Alkaline Formose Reaction and Its Link to Metabolism. Life, 10(8), 125. https://doi.org/10.3390/life10080125

