Iron Ion Particle Radiation Resistance of Dried Colonies of Cryomyces antarcticus Embedded in Martian Regolith Analogues
Abstract
1. Introduction
2. Materials and Methods
2.1. Samples Preparation and Exposure Conditions
- (i)
- Only dried colonies, with no materials (here referred as directly exposed cells).
- (ii)
- Dried colonies mixed with grinded Antarctic sandstone, that is the original substratum (OS) where the fungus naturally occurs.
- (iii)
- Dried colonies mixed with phyllosilicatic mars regolith simulant (P-MRS).
- (iv)
- Dried colonies mixed with sulfatic mars regolith simulant (S-MRS).
2.2. Survival Assessment
2.2.1. Cultivation Test
2.2.2. Metabolic Activity Assessment by MTT Assay
2.2.3. Membrane Damage Assessment
2.3. DNA Integrity Assessment
2.3.1. DNA Extraction, Single Gene PCR Reactions and RAPD Analysis
2.3.2. Quantitative Assay of DNA Damage by qPCR
2.3.3. DNA Mutation Detection
3. Results
3.1. Survival Assessment
3.1.1. Cultivation Test
3.1.2. Metabolic Activity Assessment by MTT Assay
3.1.3. Membrane Damage Assessment
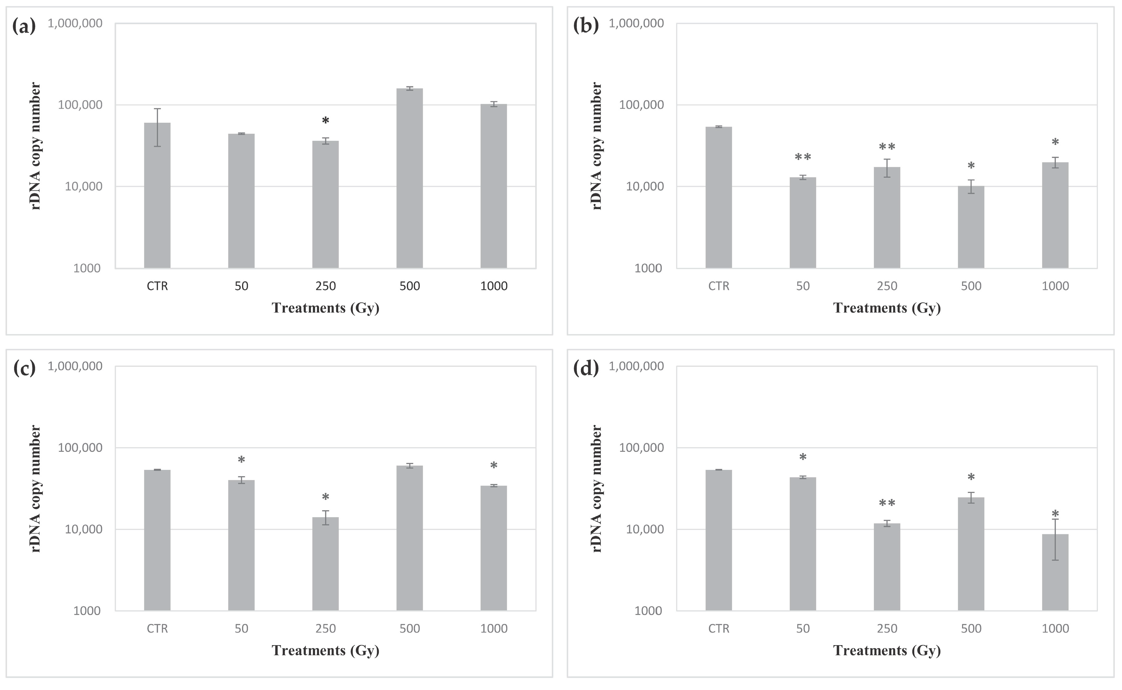
3.2. DNA Integrity Assessment
4. Discussion
Supplementary Materials
Author Contributions
Funding
Acknowledgments
Conflicts of Interest
References
- Horneck, G.; Klaus, D.M.; Mancinelli, R.L. Space microbiology. Microbiol. Mol. Biol. Rev. 2010, 74, 121–156. [Google Scholar] [CrossRef] [PubMed]
- Ferrari, F.; Szuszkiewicz, E. Cosmic rays: A review for astrobiologists. Astrobiology 2009, 9, 413–436. [Google Scholar] [CrossRef] [PubMed]
- Belisheva, N.; Lammer, H.; Biernat, H.; Vashenuyk, E. The effect of cosmic rays on biological systems—An investigation during GLE events. Astrophys. Space Sci. Trans. 2012, 8, 7–17. [Google Scholar] [CrossRef]
- Bethe, H. Bremsformel für elektronen relativistischer geschwindigkeit. Zeitschrift für Physik 1932, 76, 293–299. [Google Scholar] [CrossRef]
- Mewaldt, R. Galactic cosmic ray composition and energy spectra. Adv. Space Res. 1994, 14, 737–747. [Google Scholar] [CrossRef]
- Vago, J.L.; Westall, F.; Coates, A.J.; Jaumann, R.; Korablev, O.; Ciarletti, V.; Mitrofanov, I.; Josset, J.-L.; De Sanctis, M.C.; Bibring, J.-P. Habitability on early Mars and the search for biosignatures with the ExoMars Rover. Astrobiology 2017, 17, 471–510. [Google Scholar] [CrossRef]
- Preston, L.J.; Dartnell, L.R. Planetary habitability: Lessons learned from terrestrial analogues. Int. J. Astrobiol. 2014, 13, 81–98. [Google Scholar] [CrossRef]
- Friedmann, E.I. Endolithic microorganisms in the Antarctic cold desert. Science 1982, 215, 1045–1053. [Google Scholar] [CrossRef]
- Selbmann, L.; De Hoog, G.; Mazzaglia, A.; Friedmann, E.; Onofri, S. Fungi at the edge of life: Cryptoendolithic black fungi from Antarctic desert. Stud. Mycol. 2005, 51, 1–32. [Google Scholar]
- Friedmann, E. The Antarctic cold desert and the search for traces of life on Mars. Adv. Space Res. 1986, 6, 265–268. [Google Scholar] [CrossRef]
- Moeller, R.; Raguse, M.; Leuko, S.; Berger, T.; Hellweg, C.E.; Fujimori, A.; Okayasu, R.; Horneck, G.; Group, S.R. STARLIFE—An international campaign to study the role of galactic cosmic radiation in astrobiological model systems. Astrobiology 2017, 17, 101–109. [Google Scholar] [CrossRef] [PubMed]
- Pacelli, C.; Selbmann, L.; Moeller, R.; Zucconi, L.; Fujimori, A.; Onofri, S. Cryptoendolithic Antarctic black fungus Cryomyces antarcticus irradiated with accelerated helium ions: Survival and metabolic activity, DNA and ultrastructural damage. Front. Microbiol. 2017, 8, 2002. [Google Scholar] [CrossRef] [PubMed]
- Pacelli, C.; Selbmann, L.; Zucconi, L.; Raguse, M.; Moeller, R.; Shuryak, I.; Onofri, S. Survival, DNA integrity, and ultrastructural damage in Antarctic cryptoendolithic eukaryotic microorganisms exposed to ionizing radiation. Astrobiology 2017, 17, 126–135. [Google Scholar] [CrossRef] [PubMed]
- Pacelli, C.; Bryan, R.A.; Onofri, S.; Selbmann, L.; Shuryak, I.; Dadachova, E. Melanin is effective in protecting fast and slow growing fungi from various types of ionizing radiation. Environ. Microbiol. 2017, 19, 1612–1624. [Google Scholar] [CrossRef] [PubMed]
- Pacelli, C.; Bryan, R.A.; Onofri, S.; Selbmann, L.; Zucconi, L.; Shuryak, I.; Dadachova, E. The effect of protracted X-ray exposure on cell survival and metabolic activity of fast and slow growing fungi capable of melanogenesis. Environ. Microbiol. Rep. 2018, 10, 255–263. [Google Scholar] [CrossRef] [PubMed]
- Onofri, S.; de la Torre, R.; de Vera, J.-P.; Ott, S.; Zucconi, L.; Selbmann, L.; Scalzi, G.; Venkateswaran, K.J.; Rabbow, E.; Sánchez Iñigo, F.J. Survival of rock-colonizing organisms after 1.5 years in outer space. Astrobiology 2012, 12, 508–516. [Google Scholar] [CrossRef] [PubMed]
- Onofri, S.; de Vera, J.-P.; Zucconi, L.; Selbmann, L.; Scalzi, G.; Venkateswaran, K.J.; Rabbow, E.; de la Torre, R.; Horneck, G. Survival of Antarctic cryptoendolithic fungi in simulated Martian conditions on board the International Space Station. Astrobiology 2015, 15, 1052–1059. [Google Scholar] [CrossRef] [PubMed]
- Onofri, S.; Selbmann, L.; Pacelli, C.; Zucconi, L.; Rabbow, E.; de Vera, J.-P. Survival, DNA, and ultrastructural integrity of a cryptoendolithic Antarctic fungus in Mars and Lunar rock analogs exposed outside the International Space Station. Astrobiology 2019, 19, 170–182. [Google Scholar] [CrossRef]
- Box, G.E.; Hunter, W.H.; Hunter, S. Statistics for Experimenters; John Wiley and Sons: New York, NY, USA, 1978; Volume 664. [Google Scholar]
- Selbmann, L.; Isola, D.; Egidi, E.; Zucconi, L.; Gueidan, C.; de Hoog, G.; Onofri, S. Mountain tips as reservoirs for new rock-fungal entities: Saxomyces gen. nov. and four new species from the Alps. Fungal Divers. 2014, 65, 167–182. [Google Scholar] [CrossRef]
- Selbmann, L.; Isola, D.; Zucconi, L.; Onofri, S. Resistance to UV-B induced DNA damage in extreme-tolerant cryptoendolithic Antarctic fungi: Detection by PCR assays. Fungal Biol. 2011, 115, 937–944. [Google Scholar] [CrossRef]
- Jakosky, B.M.; Slipski, M.; Benna, M.; Mahaffy, P.; Elrod, M.; Yelle, R.; Stone, S.; Alsaeed, N. Mars’ atmospheric history derived from upper-atmosphere measurements of 38Ar/36Ar. Science 2017, 355, 1408–1410. [Google Scholar] [CrossRef] [PubMed]
- Langlais, B.; Purucker, M.; Mandea, M. Crustal magnetic field of Mars. J. Geophys. Res. 2004, 109. [Google Scholar] [CrossRef]
- Heinrich, W.; Wiegel, B.; Kraft, G. β, Z eff, dE/dx, Range and Restricted Energy Loss of Heavy Ions in the Region 1≤ E≤ 1000 MeV/Nucleon; Gesellschaft fuer Schwerionenforschung mbH: Darmstadt, Germany, 1991. [Google Scholar]
- Röstel, L.; Guo, J.; Banjac, S.; Wimmer-Schweingruber, R.F.; Heber, B. Subsurface Radiation Environment of Mars and Its Implication for Shielding Protection of Future Habitats. J. Geophys. Res. 2020, 125, e2019JE006246. [Google Scholar] [CrossRef]
- Martin-Torres, F.J.; Zorzano, M.-P.; Valentín-Serrano, P.; Harri, A.-M.; Genzer, M.; Kemppinen, O.; Rivera-Valentin, E.G.; Jun, I.; Wray, J.; Madsen, M.B. Transient liquid water and water activity at Gale crater on Mars. Nat. Geosci. 2015, 8, 357–361. [Google Scholar] [CrossRef]
- Jackson, D.W.; Bourke, M.C.; Smyth, T.A. The dune effect on sand-transporting winds on Mars. Nat. Commun. 2015, 6, 1–5. [Google Scholar] [CrossRef]
- Simpson, J. Elemental and isotopic composition of the galactic cosmic rays. Annu. Rev. Nucl. Part. Sci. 1983, 33, 323–381. [Google Scholar] [CrossRef]
- Pacelli, C.; Cassaro, A.; Aureli, L.; Moeller, R.; Fujimori, A.; Onofri, S. The Responses of the Black Fungus Cryomyces Antarcticus to High Doses of Accelerated Helium Ions Radiation within Martian Regolith Simulants and Their Relevance for Mars. Life 2020, 10, 130. [Google Scholar] [CrossRef]
- Dartnell, L.R.; Desorgher, L.; Ward, J.M.; Coates, A. Martian sub-surface ionising radiation: Biosignatures and geology. Biogeosci. Discuss. 2007, 4, 455–492. [Google Scholar] [CrossRef]
- Mei, D.-M.; Hime, A. Muon-induced background study for underground laboratories. Phys. Rev. D 2006, 73, 053004. [Google Scholar] [CrossRef]
- Moeller, R.; Rohde, M.; Reitz, G. Effects of ionizing radiation on the survival of bacterial spores in artificial martian regolith. Icarus 2010, 206, 783–786. [Google Scholar] [CrossRef]
- Rai, Y.; Pathak, R.; Kumari, N.; Sah, D.K.; Pandey, S.; Kalra, N.; Soni, R.; Dwarakanath, B.; Bhatt, A.N. Mitochondrial biogenesis and metabolic hyperactivation limits the application of MTT assay in the estimation of radiation induced growth inhibition. Sci. Rep. 2018, 8, 1–15. [Google Scholar] [CrossRef] [PubMed]
- Tseng, B.P.; Giedzinski, E.; Izadi, A.; Suarez, T.; Lan, M.L.; Tran, K.K.; Acharya, M.M.; Nelson, G.A.; Raber, J.; Parihar, V.K. Functional consequences of radiation-induced oxidative stress in cultured neural stem cells and the brain exposed to charged particle irradiation. Antioxid. Redox Signal. 2014, 20, 1410–1422. [Google Scholar] [CrossRef] [PubMed]
- Wang, T.-Y.; Libardo, M.D.J.; Angeles-Boza, A.M.; Pellois, J.-P. Membrane oxidation in cell delivery and cell killing applications. ACS Chem. Biol. 2017, 12, 1170–1182. [Google Scholar] [CrossRef] [PubMed]
- Alpen, E.; Powers-Risius, P.; Curtis, S.; DeGuzman, R.; Fry, R. Fluence-based relative biological effectiveness for charged particle carcinogenesis in mouse Harderian gland. Adv. Space Res. 1994, 14, 573–581. [Google Scholar] [CrossRef]
- Berger, T.; Matthiä, D.; Burmeister, S.; Zeitlin, C.; Rios, R.; Stoffle, N.; Schwadron, N.A.; Spence, H.E.; Hassler, D.M.; Ehresmann, B. Long term variations of galactic cosmic radiation on board the International Space Station, on the Moon and on the surface of Mars. J. Space Weather Space Clim. 2020, 10, 34. [Google Scholar] [CrossRef]
- Hassler, D.M.; Zeitlin, C.; Wimmer-Schweingruber, R.F.; Ehresmann, B.; Rafkin, S.; Eigenbrode, J.L.; Brinza, D.E.; Weigle, G.; Böttcher, S.; Böhm, E. Mars’ surface radiation environment measured with the Mars Science Laboratory’s Curiosity rover. Science 2014, 343, 1244797. [Google Scholar] [CrossRef]




Publisher’s Note: MDPI stays neutral with regard to jurisdictional claims in published maps and institutional affiliations. |
© 2020 by the authors. Licensee MDPI, Basel, Switzerland. This article is an open access article distributed under the terms and conditions of the Creative Commons Attribution (CC BY) license (http://creativecommons.org/licenses/by/4.0/).
Share and Cite
Aureli, L.; Pacelli, C.; Cassaro, A.; Fujimori, A.; Moeller, R.; Onofri, S. Iron Ion Particle Radiation Resistance of Dried Colonies of Cryomyces antarcticus Embedded in Martian Regolith Analogues. Life 2020, 10, 306. https://doi.org/10.3390/life10120306
Aureli L, Pacelli C, Cassaro A, Fujimori A, Moeller R, Onofri S. Iron Ion Particle Radiation Resistance of Dried Colonies of Cryomyces antarcticus Embedded in Martian Regolith Analogues. Life. 2020; 10(12):306. https://doi.org/10.3390/life10120306
Chicago/Turabian StyleAureli, Lorenzo, Claudia Pacelli, Alessia Cassaro, Akira Fujimori, Ralf Moeller, and Silvano Onofri. 2020. "Iron Ion Particle Radiation Resistance of Dried Colonies of Cryomyces antarcticus Embedded in Martian Regolith Analogues" Life 10, no. 12: 306. https://doi.org/10.3390/life10120306
APA StyleAureli, L., Pacelli, C., Cassaro, A., Fujimori, A., Moeller, R., & Onofri, S. (2020). Iron Ion Particle Radiation Resistance of Dried Colonies of Cryomyces antarcticus Embedded in Martian Regolith Analogues. Life, 10(12), 306. https://doi.org/10.3390/life10120306

