Next Article in Journal
Reclined Seating Postures on Passive Safety Performance in Automotive Seats: A Review
Previous Article in Journal
Electric Contact Resistance of 3D-Printed Al5086 Aluminum
 
 
Font Type:
Arial Georgia Verdana
Font Size:
Aa Aa Aa
Line Spacing:
Column Width:
Background:
Article

Electrified Airpath and Fueling Synergies for Cleaner Transients in an OP2S Diesel Engine: An Experimental Study

Department of Automotive Engineering, CUICAR (Clemson University International Center for Automotive Research), Clemson University, Clemson, SC 29634, USA
*
Author to whom correspondence should be addressed.
Machines 2026, 14(4), 401; https://doi.org/10.3390/machines14040401
Submission received: 7 January 2026 / Revised: 16 March 2026 / Accepted: 18 March 2026 / Published: 7 April 2026
(This article belongs to the Section Turbomachinery)

Abstract

Hybridization in vehicle powertrains extends beyond the aggregate system level and can target individual components to enhance engine performance. While prior studies have highlighted the performance benefits of electrified turbochargers, this work focuses on mitigating engine-out emissions for a medium- to heavy-duty diesel engine with an electrified airpath. Unlike conventional engines and actuators, the alternative engine architecture with an electrified airpath provided superior airpath control. This is critical for fuel-led diesel engines, where the initial combustion cycles during the tip-in phase of a transient operate at a rich equivalence ratio. In this work, a 3.2 L two-cylinder opposed piston two-stroke (OP2S) engine equipped with an Electrically Assisted Turbocharger (EAT) and an electrically operated EGR pump was experimentally tested in a Hardware in the Loop (HIL) setup under transient conditions. Actuator positions were varied to identify strategies that mitigate soot and NOx without compromising transient response. The experiments are discussed case-wise, where the effects of each airpath actuator, including fuel rate shaping, are analyzed, showing to what extent each strategy mitigates emissions. At the end, an optimized case is presented to the readers for their perusal. The electrified airpath, along with fuel rate shaping, demonstrated cumulative soot reduction up to 92% and NOx emissions by 77% for a transient load step between 3 and 13 bar BMEP at a mid-engine speed of 1250 rpm.

1. Introduction

In the U.S., trucks move over 72% of the nation’s freight by weight, making them indispensable for connecting producers, manufacturers, and consumers [1]. From transporting raw materials to delivering finished goods, commercial vehicles enable the seamless flow of supply chains, ensuring that businesses operate efficiently. Globally, the logistics sector, valued at over $9 trillion in 2023, depends heavily on commercial vehicles to support international trade and e-commerce growth [2]. The increased use of commercial vehicles also raises concerns about fuel consumption and environmental impact. As freight volumes continue to grow, particularly with the rise in e-commerce and last-mile delivery, innovations in powertrain technologies are essential to enhance fuel efficiency and reduce emissions.
With the onset of the 21st century, extensive resources have been invested into researching battery chemistry, electrified powertrains and charging infrastructure, leading to a boom in the EV portfolio currently offered in the market [3]. There has been a multifold increase in the manufacturers offering Battery Electric Heavy-Duty Trucks (BEHDTs) because of a surge in demand for electrified powertrains in commercial vehicle applications [4]. However, several studies have been conducted in recent years comparing the benefits of BEHHDTs to conventional trucks measured as the total cost of ownership (TCO) in terms of total lifetime cost and total cost per km [5,6], with the former costing more on a monthly installment basis. Simulation studies based on survey data for part of Los Angeles suggested they are not a practical substitute in the current situation compared to conventional diesel trucks due to range, charging time and their impact on freight operations [7]. The reduction in tailpipe emissions is also largely dependent on the nature of the grid used for charging. A cradle-to-grave analysis by NREL showed that the lifecycle emissions of an electric vehicle are comparable to those of a conventional vehicle when charged using a medium to high-carbon power grid [8]. In such scenarios, hybrid powertrains offer a promising solution as ‘best of both worlds’ on a spectrum between conventional diesel engines and BEHDTs. Hybrid powertrains have proven to improve fuel economy and reduce emissions in commercial vehicle applications [9].
Transient operation in a diesel engine, being fuel-led, leads to increased smoke emission and a slow engine response unless tuned otherwise with smoke-limiting maps or turbo assist actuators [10]. Over the years, there has been an increase in popularity in using hybrid assist to fill in the torque response during a tip-in and counteract turbo lag [11]. Although conventional robust technologies like sequential turbocharging, VGTs, electronic wastegates, early exhaust valve opening (EEVO) or delayed injection are still widely used in the industry, they have their own tradeoffs in efficiency and engine-out emissions [12]. Hybrid assistance in conventional diesel powertrains has evolved substantially over the past several decades in response to increasingly stringent fuel economy and emissions regulations, particularly for heavy-duty and commercial vehicle applications. Early research on diesel hybridization emphasized regenerative braking and mild electric assist to compensate for engine inefficiencies during transient and low-load operation, especially in urban drive-cycles [13]. As electrification technologies matured, hybrid architectures progressed from start–stop, belt-integrated starter generators to more advanced parallel and power-split configurations capable of engine load management and torque smoothing [14]. These developments enabled diesel engines to operate closer to their optimal brake-specific fuel consumption regions, reducing fuel consumption and mitigating transient-driven NOx and soot formation [15,16].
In parallel to vehicle powertrain, aggregate electrification, like electrically assisted turbocharging, has emerged as a promising solution to address air-path limitations in downsized and highly boosted diesel engines. Early adoption cases of electrically assisted turbochargers (EATs) were focused on passenger car engines, demonstrating substantial improvements in transient torque response through electrical assistance during periods of low exhaust energy [17]. Subsequent studies showed that electric boosting can improve overall system efficiency by enabling more favorable compressor and turbine operating conditions, while reducing the need for fuel-intensive transient enrichment strategies [18]. As hybridization increased onboard electrical power availability, the applicability of EATs expanded to commercial vehicle diesel engines, where rapid air-handling response is critical for emissions compliance and drivability under steeper transient load conditions [19,20].
These developments are particularly relevant for alternative diesel engine architectures such as the opposed-piston two-stroke (OP2S) engine, which has re-emerged as a promising candidate for high-efficiency heavy-duty applications. The OP2S architecture, compared to a conventional four-stroke engine, has a higher power density and higher thermal efficiency due to reduced heat transfer losses near TDC and a larger stroke to bore ratio. However, its scavenging control introduces heightened sensitivity to air-path dynamics and residual gas fraction [21], which affects both emissions and performance. Consequently, precise control of boost pressure, exhaust backpressure, and transient air delivery is critical in achieving stable combustion and low emissions in OP2S engines. Hybrid powertrains and electrically assisted turbocharging, therefore, present a synergistic opportunity for OP2S applications, enabling improved air-path control and transient response while allowing the engine to operate closer to its most efficient regions.
This work is built upon existing work published by the authors on a two-cylinder OP2S engine with electrified airpath [22,23]. While earlier work focused on developing control strategies for different airpath actuators under steady-state engine operating conditions, this work presents experimental results on engine performance and emission tradeoffs associated with each airpath actuator during transient engine operation. Case-to-case comparison is presented for varying EAT, EGR pump and fuel injection ramp rates. An optimized tip-in case is presented at the end to evaluate how these actuators can be synergistically used to minimize the emission and performance tradeoff.

2. Materials and Methods

Experiments were conducted on a prototype two-cylinder OP2S engine developed by Achates Power (San Diego, CA, USA). The schematic for the two-cylinder OP2S engine can be referred to from Figure 1, and the engine specifications are outlined in Table 1. The engine’s airpath has an EAT, an EGR pump, and a backpressure valve to control the airflow. Both the EAT and the EGR ran on a 48 V DC architecture, with the EAT capable of providing a peak power assist of 15 kW.
The airpath system was equipped with both time-averaged (1 Hz) and crank-resolved (0.25 CAD) pressure transducers, in addition to ECU sensors for monitoring pressure and temperature parameters. Air flow and fuel flow were measured by a laminar flow element (LFE) and an AVL fuel balance, respectively. An EPA-certified ultra-low sulfur diesel was used to ensure consistency in lower heating value across different transient cases. The oil and coolant temperatures were measured using K-type thermocouples and actively controlled by PID controllers to homogenize boundary conditions during tip-ins. NOx, O2, CO, CO2, and uHC (unburned hydrocarbons) were sampled downstream of the BPv with a Horiba MEXA 7100 DEGR 5-gas analyzer (HORIBA, Kyoto, Japan). Engine-out soot emissions were measured with an AVL 483 Micro Soot Sensor (AVL List GmbH, Graz, Austria). The measurement and the instrument uncertainty were performed based on the methodology outlined in earlier work [22].
During the transient tests, the airpath actuators, along with the fuel injection quantity, were controlled synergistically to replicate various control strategies that can potentially improve emissions and performance of the engine. For steady state operations, these actuators operated on feedforward pre-calibrated maps. However, during transient operation, where calibration between steady-state points was absent, actuator positions were explicitly defined at high temporal resolution using a command array. To ensure repeatability, an HIL configuration was set up, and the actuator command values were sent over the CAN bus using extended 29-bit identifiers. The engine’s Electrical and Electronic Architecture (EEA) supported two separate CAN bus communications between the actuators, sensors, and the ECU. A KVASER CAN device was used to transmit these actuator commands over the dyno CAN, while the feedback was recorded using the ECU CAN along with the physical thermocouples and pressure sensors. The bus traffic was maintained at a 500 kbaud rate, and the CAN messages transmitting frequency was set to 50 Hz. The actuator signals were generated using a SIMULINK model, which served as the interface between the hardware (KVASER CAN) and the actuator command arrays loaded in the MATLAB (R2022B) workspace. The start and end conditions for each transient tip-in event were derived from prior steady-state tests conducted on the two-cylinder engine configuration. Transient rate profiles were generated via a ramp function in SIMULINK to define actuator trajectories between these boundary points. A schematic of the HIL configuration is provided in Figure 2.
To standardize the transient load step as per the ESC (European stationary cycle) for heavy-duty engines, the engine was maintained at its B speed (1250 rpm) while the start and end points for the tip-ins were controlled at B25 (3.5 bar BMEP) and B75 (13 bar BMEP) during the runs. The load steps imposed were step changes within the bounds of a normal diesel engine operation, and the B speed was calculated from the power curve of the engine as per the ESC guidelines [24]. The actuators controlled during these tests were the EAT speed, EGR pump speed, backpressure valve, and injector fueling quantity. The instantaneous flow rate across the EGR pump was estimated using a correlation based on pump speed, EGR intake temperature at the pump inlet, and a correction factor derived from steady-state calibration maps. The Simulink commands for these actuators can be seen in Figure 3.

3. Results and Discussion

3.1. Varying EAT Rise Rate

As diesel engines are fuel-led, during a transient, the initial tip-in period undergoes a fuel enrichment phase until the turbo spools up. This transient lag in airflow was experimentally replicated by varying the experimental airflow rate on a case-by-case basis during the tip-in for a given transient load step. This was possible for an EAT by controlling the electrical input power and consequently its rotational speed. These varying ramp rates were achieved by imposing a ceiling on the maximum air-fuel ratio (AFR) rise rate of the EAT.
In the first set of transient runs, AFR rise rate ceilings were varied between 6 AFR units/s and 35 AFR units/s, as shown in Figure 4, while the fuel injection rate was a square pulse (instantaneous step change). Reducing the AFR ramp rate resulted in a delayed torque response, whereas higher rise rates led to increased electrical power consumption. Cumulative energy usage during the transient increased by 17.6% as the EAT speed rise rate increased to provide air flow rates from 6 to 35 AFR units/s. Further acceleration of the EAT was constrained by the mechanical limitations of the prototype. Also, a two-stage ramp can be seen in all figures, which was due to a finite time taken by the PI controller to react to the manual ramp rate overrides.
Figure 4 illustrates that the initial EAT speed rise remained uniform across all AFR ramp limits during the early seconds of tip-in. This behavior was attributed to the closed-loop control of the EAT motor, with controller gains tuned for steady-state operation using a feedforward strategy. Attempts to aggressively tune the controller for faster transient response resulted in instability in EAT speed post tip-in. Therefore, for this and all subsequent tests, the control parameters were adjusted to ensure stable steady-state operation following both tip-in and tip-out events.
At lower airflow rise rates, the in-cylinder mixture remained globally rich for a longer duration, leading to increased soot spikes. However, the delayed attainment of peak airflow was not the sole contributor to the elevated smoke emissions. Since the EGR pump was located in the high-pressure loop, i.e., upstream of the turbine, any lag in boost pressure resulted in higher EGR flow rates at constant pump speeds. This behavior is evident in Figure 5, which shows an inverse relationship between the EGR flow rate (%) during tip-in and the AFR rise rate. As the AFR rise rate increased from 6 to 35 AFR units/s, the combined effect of enhanced airflow and reduced EGR during the tip-in led to a 10.5% reduction in soot emissions. Although there were soot spikes in all cases, the cumulative soot emissions during the transient reduced proportionally as the duration of the soot spike reduced with an increase in AFR ramp rate. However, this also resulted in a 25% increase in NOx emissions due to the leaner in-cylinder conditions.

3.2. Varying Fuel Injection Rate

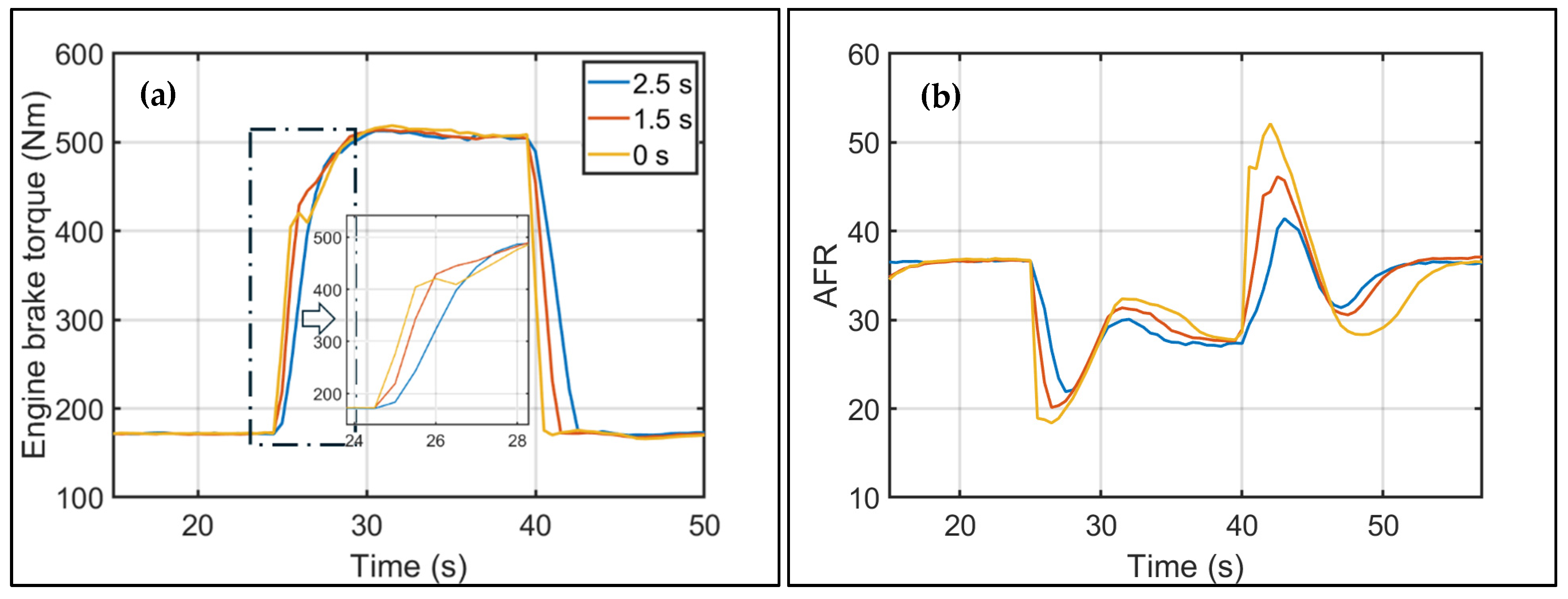
Researchers have analyzed the influence of varying fueling rates on transient smoke and NOx emissions [25,26]. Gainey et al. [27] demonstrated that slowing down a transient in the latter half of a large load step (e.g., from B25 to B75) is more effective at suppressing soot formation than in smaller load steps (e.g., B25 to B50). By slowing the transient progression, the AFR threshold associated with high soot formation is avoided. Building on this insight, the fueling rate in the present study was modulated to achieve different AFR ramp rates and thresholds during tip-in for a B25–B75 load step. As a result, engine torque rise times were controlled at 2.5 s, 1.5 s, and 0 s. As with previous tests, these ramp durations refer to the actuator command signal transmitted over the CAN bus via Simulink. Actuator delay was not explicitly incorporated into the torque rise rate but was assumed to remain consistent across all test cases.
Figure 6 illustrates the resulting changes in engine torque ramp rate. The 0 s case corresponds to an instantaneous load step, implemented through a square-pulse fuel injection command without rate shaping. The 0 s case still has the actuator delay, but as it was constant in all cases, it was not specifically documented for this study. During the tip- in event, as fuel injection occurs, the air–fuel ratio near the plume periphery reaches rich stoichiometric conditions due to the heterogeneous nature of mixing controlled diesel combustion. Consequently, during this event, the global air–fuel ratio tilts to rich values, leading to the highest observed soot emissions as the engine traverses the soot islands on the phi-Temperature plot. Notably, the EAT remains at an elevated speed even after the load step as the turbos have completely spooled up, allowing the AFR to rebound from rich to lean conditions when the injection event is slashed by 75% at tip-out, leaving an excess of air in the combustion chamber, most rapidly in the 0 s case (Figure 6b).
However, when the load step was progressively relaxed to 1.5 s and 2.5 s, a significant reduction in soot emissions was observed. By limiting the torque rise rate from 500 Nm/s to 330 Nm/s and subsequently to 200 Nm/s, cumulative soot emissions reduced by 79% and 92%, respectively. In contrast, trends in cumulative NOx emissions were less straightforward. Figure 7 shows that during the initial phase of tip-in, the 2.5 s ramp rate exhibited a spike in NOx emissions. This was attributed to the absence of in-cylinder airflow starvation at the slowest fueling rate. Furthermore, as the airflow more closely matched the fueling demand, EGR flow was lowest during the tip-in for the 2.5 s case. Since the EGR pump speed was held constant across all tests, cases with the lowest pressure differential during the tip-in experienced the least EGR flow. This resulted in an inverse relationship between NOx emissions and fueling rate. Among the three cases, the 0 s step had the highest airflow starvation as the fueling rate was not moderated and thus operated at a very rich local AFR. This excessive oxygen deprivation prohibited NOx formation, which was seen in other cases as the fueling rate was slowed down. Over the full load step, cumulative NOx emissions increased by 4% as the fueling ramp was slowed from 0 s to 2.5 s, even though peak NOx levels post-tip-in decreased by 13%.
In addition to the substantial soot reduction, a slower fueling rise rate also reduced the mechanical load on the turbocharger. This was evident from the diminished overshoot in EAT speed for the 2.5 s case. Higher EAT overshoot led to increased current draw, as the shaft torque required to accelerate and sustain elevated turbo speeds scaled with EAT speed. Although overshoot could be mitigated by aggressively tuning the PI controller specifically for transient operation, the present setup employed a controller optimized for steady-state feedforward maps. Under these conditions, the overshoot led to an 8.5% increase in power consumption.

3.3. Varying EGR Rate

Slowing the fueling rate during a transient load step reduces the pressure differential across the engine. In conventional engines equipped with EGR valves, this can be addressed by fully closing the valve to improve transient response and limit soot emissions. However, the OP2S engine in this study utilized an EGR pump instead of a valve, allowing EGR delivery even under low differential pressure conditions. To prevent pump stall and avoid short-circuiting of fresh intake charge into the exhaust, the EGR pump was required to maintain a minimum operational speed. For this reason, a separate sensitivity study was conducted to evaluate the effects of EGR pump speed on emissions. Three different EGR rates were analyzed by raising the EGR pump speed during the transient and introducing more EGR into the intake despite the concurrent rise in airflow. The step changes driven by the EGR pump and the resultant EGR flow rates captured can be seen in Figure 8. As observed, a transient spike in EGR percentage occurs during tip-in, driven by both the pump speed increase and the accompanying rise in exhaust pressure. This spike gradually diminishes as steady-state conditions are approached. Therefore, EGR flow is reported as the average percentage over the entire load step, rather than the transient peak observed during tip-in.
Figure 8 also illustrates that peak soot concentration decreases with reductions in both EGR rate and pump speed. This trend aligns with archival knowledge that shows the benefits of reducing the EGR rate, accompanied by retarding SOI to mitigate soot and NOx emissions without compromising transient response. In this study, cumulative soot emissions decreased by 30% as the average EGR rate was reduced from 30% to 12%. However, since injection timing remained unchanged, cumulative NOx emissions increased by 108%, emphasizing the importance of retarding the SOI timing to control NOx under reduced EGR conditions.
Furthermore, increasing the EGR rate to suppress NOx resulted in a 90% increase in electrical power consumption by the EGR pump, highlighting the energy penalty associated with this strategy. These results emphasize the advantage of using SOI retardation over elevated EGR rates for NOx control. It is also noteworthy that even a substantial 18% reduction in EGR rate did not yield soot reductions comparable to those achieved through fueling rate modifications in the earlier experiments.
To further validate the impact of shaping the fueling rate on soot emissions, a set of EGR sweeps was repeated with identical actuator positions, with the only variation being the fuel injection ramp rate set to the slowest ramp at 2.5 s. As shown in Figure 9, transitioning from a baseline square-pulse injection command at 26% EGR to a controlled injection ramp resulted in a dramatic 96% reduction in soot emissions. Even in a comparable case with a higher EGR rate (30%, shown in blue), an 85% reduction was achieved, reinforcing that fuel injection rate has a more dominant impact on soot formation than EGR rate during transients.
Advanced combustion phasing tends to elevate NOx levels due to prolonged residence times of high-temperature gases. This effect is compounded in low cetane number fuels, which inherently produce higher NOx emissions [28]. Diesel combustion is highly heterogeneous in nature, characterized by a diffusion flame. Laser imaging work has shown that soot formation typically initiates just downstream of a standing premixed flame front where the liquid penetration ends [29]. This locally rich yet combustible zone facilitates the nucleation of fine soot particles, which then grow as they migrate outward toward the edge of the flame, where oxidation begins in the presence of oxygen. Therefore, an instantaneous increase in fueling rates leads to inadequate oxygen availability at the fuel jet periphery, exacerbating soot formation [30]. In contrast, limiting the fueling rate enhances air availability and promotes better fuel–air mixing within the air entrainment region, thereby facilitating soot oxidation. This behavior was clearly observed in the present experiments, where limiting the fueling rate significantly reduced soot emissions.
Despite the substantial decrease in soot, the NOx penalty associated with fueling rate control was minimal. The cumulative NOx emissions increased by only ~1–3% relative to the baseline square-pulse fueling case, indicating that the NOx trade-off was considerably less severe than in prior experiments that relied solely on EGR variation. Additionally, since the commanded EGR pump speed remained constant across these tests, the electrical power consumption showed no variation.

3.4. Varying AFR Levels: Operating Lean

Compared to a conventional mechanical turbocharger, an EAT introduces an additional degree of freedom to engine control. For a fixed fueling rate, this enables operation at leaner air–fuel ratios (AFRs) by supplementing boost with electrical power, thus providing a means to reduce transient smoke emissions without compromising transient response. To explore this benefit, a series of transient tests was conducted with varying engine AFRs, achieved by modulating EAT speeds using electrical power. From rich to lean, the starting levels for these tip-ins varied from an AFR of 23 to 42. These bounds were decided based on extensive steady state testing, where an upper limit of the turbo speed was imposed in software to limit the inrush current during tip-in. Therefore, the starting range of AFRs at B25 load was accordingly calculated so that the EAT was able to complete the B75 load step without hitting the soft limiter on its speed. The lower AFR limit was constrained to ensure the in-cylinder mixture did not drop below stoichiometric levels during tip-in.
Figure 10 illustrates engine performance under identical fueling conditions but with different initial EAT speeds. In this test, no ramp rate constraints were applied on the EAT, i.e., it operated at the maximum previously established AFR rise rate of 35 AFR units/s. From the brake torque curves, at any given time stamp, for the same fueling rate, the brake torque increased with EAT speed due to improved charge density and reduced EGR delivery. The leaner operating points, enabled by higher EAT speeds and reduced EGR rates (from 30% to 25% as the EGR pump speed remained constant across tests), enhanced closed-cycle efficiency.
A distinct ‘knee’ in the torque curves, visible in Figure 10a and also in Figure 6a, corresponds to a sudden shift in compressor efficiency mid-transient. This transition is indicative of the compressor operating near the surge line, a behavior consistent with previous steady-state engine [22]. While globally leaner operation significantly reduced soot emissions without compromising transient response, it introduced trade-offs in NOx emissions and energy consumption. To achieve a 68% reduction in cumulative soot, the cumulative energy demand increased by a staggering 340%, i.e., from 10.1 Wh to 44.7 Wh. This rise in energy demand was driven by low exhaust enthalpy due to lean AFRs coupled with the compressor’s higher shaft torque demand to maintain elevated EAT speeds during and after the tip-in, marked by the peak current draw, reaching ~300 A. Notably, the current did not scale linearly with shaft torque. This nonlinearity was attributed to a drop in mechanical efficiency of the EAT motor at its peak compressor speeds, where increased internal friction contributed additional torque. Similarly, NOx emissions did not follow a monotonic trend with AFR. While higher AFRs generally increased NOx, the case with an AFR of 42 exhibited 30% lower NOx than that with an AFR of 36. This anomaly was attributed to lower post-tip-in bulk gas temperatures at AFR 42, which suppressed thermal NOx formation after the tip-in phase.

3.5. Comparison Across the Sweeps; Optimal Run

In the preceding sweeps, multiple strategies were evaluated to mitigate soot emissions, each with distinct trade-offs in NOx emissions, transient response, and energy consumption. To investigate whether these approaches could be synergistically combined, five representative transient cases from the earlier sweeps were selected and rerun. All cases were subjected to the same load step from B25 to B75 and were compared for their effectiveness in simultaneously reducing soot and NOx on the OP2S engine platform. The selected cases, summarized below, were chosen based on their relative effectiveness in soot mitigation:
  • Case 1 (Baseline): Square injection pulse with no rate shaping of actuators. All actuators, including the EGR pump, were commanded instantaneously (0 s ramp rate), with a nominal EGR rate of 26%.
  • Case 2: Fueling rate shaped to achieve the slowest torque rise rate (200 Nm/s), with airflow ramped accordingly. The EGR pump speed and ramp profile were kept identical to Case 1. In this case, the engine does not provide the driver with the requested torque during a transient. Instead, a traction e-motor would have to supply the difference between the driver-requested torque and the engine torque during the transient.
  • Case 3: EGR pump operated at its slowest steady speed possible (EGR 12%) to prevent stalling or short-circuiting. Fueling and airflow remained unshaped (0 s ramp).
  • Case 4: Combination of the lowest fueling ramp (200 Nm/s) and minimum EGR rate (12%), representing the least aggressive transient from both fueling and EGR perspectives. Similar to Case 2, this case would require a traction e-motor in a hybridized powertrain to supplement the engine torque and supply the driver-requested torque during the transient.
  • Case 5: Globally lean operation achieved by operating the EAT at a high speed throughout the transient, targeting an AFR of 42. In this case, the supplemented electrical power is used by the EAT rather than a traction e-motor to try to minimize emissions while the engine gives the driver the transient torque requested.
The comparative performance of these cases is illustrated in Figure 11. Both the baseline (case 1) and the lean EAT case (case 5) exhibited a clear turbocharger “knee” during the transient as the EAT spooled up most aggressively in these two cases. As a result, these cases had the sharpest transient response. Operating leaner post tip-in in case 5 post had a significant energy consumption penalty, with the electrical power demand peaking at 16 kW due to the low exhaust enthalpy available at this equivalence ratio. Case 3 demonstrated the next fastest transient response after the baseline and case 5, owing to its unshaped fuel profile. With its reduced EGR rate but comparable AFR rate to the baseline, case 3 achieved a 30% reduction in soot and a 32% decrease in energy consumption due to the lower EGR pump speed. However, this came at the expense of a 108% increase in cumulative NOx emissions. Surprisingly, despite its low EGR rate and instantaneous fueling command, case 3 did not outperform the baseline in torque response. Two separate runs of case 3 consistently showed a delayed torque rise during tip-in, indicating potential nonlinear interactions within the air path or combustion system under low EGR conditions.
Cases 2 and 4 exhibited the slowest transient responses due to constraints imposed on their fueling ramp rates. While case 4 showed a marginally faster response owing to its reduced EGR rate, the performance difference between the two was within experimental uncertainty and therefore not statistically significant. However, both strategies resulted in a substantial decrease in soot emissions, i.e., 91% and 97% reductions for case 2 and case 4, respectively, relative to the baseline. Case 4 recorded the lowest overall soot emissions of all cases but also incurred the highest NOx penalty, with cumulative NOx emissions increasing by 130% compared to the baseline, primarily due to the low EGR rate. Case 4 also demonstrated the lowest energy consumption by the airpath actuators among all tested cases, reducing electrical energy demand by 38% compared to the baseline configuration. However, it should be noted that the cumulative brake energy output at the flywheel during the transient dropped by ~21% for cases 2 and 4 due to a restricted torque rise rate. Therefore, to avoid a slower transient response, an additional traction motor is required to fill in the required ~14 Wh of energy, which is otherwise provided by additional fuel and electrical assist in case 5. A quick recap of the optimal run cases can be found in Table 2.
Hybridization to improve fuel economy is a well-established control lever in pursuit of efficient powertrains, and when supplemented with transient torque smoothening, the strategy delivers cleaner engine-out emissions. Although it is difficult to compare the hybridization results between load steps at constant speed and load steps during a drive cycle with varying engine speed, comparing electrical energy consumption during the transients can be the first step. For example, in case 5 under the optimal run case for the EAT transients, by spooling up the turbo quicker, the soot emissions dropped by 68%, but the electrical energy consumption increased from 10.1 to 44.7 Wh. In a separate study [31], for a parallel hybrid setup undergoing a similar transient during the drive cycle (B25–B75 load step), by limiting the engine brake torque rise rate and filling the gap with electric motor assist, the emissions were reduced by 75%. However, an additional 112.1 Wh (due to a larger displacement engine used in the study) of electrical energy was consumed during this transient. Even if the torque demand is scaled proportionally, with half the energy consumed, this comparison does not necessarily imply the EAT as a better solution because it is still severely limited by the extent to which it can mitigate soot during aggressive transients with larger load steps. For aggressive transient profiles, a traction motor is more helpful in improving throttle response if the engine torque rise rate is limited due to emissions constraints. Also, traction motors can provide more energy during regenerative braking; thus, stabilizing the battery SOC, which is hard to do with a smaller motor on the EAT. However, using an EAT instead of a traction motor lowers the unladen weight of the vehicle, which improves the freight ton economy of the vehicle proportionately. As all the aforementioned analyses are done at a single speed load transient, it is important to emphasize that these findings should be used as guidelines at different engine speeds rather than being adopted as is to optimize tip-in transients. In conclusion, these modes of hybridization have their unique benefits and downsides, and based on the application, they can be used independently or together to improve emission and engine performance.

4. Conclusions

This work investigated control strategies to mitigate soot emissions during transient engine operation on the OP2S engine with an electrified airpath. Through a series of controlled transient tip-in sweeps across a B25–75 load step, key trade-offs between emissions, electrical energy demand, and combustion response were identified.
  • Fueling rate shaping emerged as the most effective lever for soot mitigation. Slowing the fueling ramp from an instantaneous pulse to a gradual 2.5 s rise reduced cumulative soot emissions by up to 92%, while also easing EAT overshoot and reducing power consumption. The drawback to this approach was a moderate increase in NOx emissions (up to 26%) due to a lower EGR rate. However, fuel rate shaping needs to be complemented with a traction motor to provide additional electrical energy, which is lower than the EAT but still comparable in scale.
  • EGR pump speed manipulation also influenced emissions significantly. Reducing the EGR rate lowered soot by 26% but dramatically increased NOx emissions by 228%, highlighting the need for coordinated SOI control in future implementations.
  • A final synthesis of five representative cases demonstrated that combining fueling rate shaping with reduced EGR (Case 4) achieved the lowest soot emissions (97% reduction) but incurred the highest NOx penalty. On the other hand, lean boosting achieved faster torque response with a reduction in soot and NOx (68% and 77% respectively), but at the cost of higher electrical energy consumption.
Overall, this study underscores the efficacy of fueling rate control and lean boosting as practical and energy-efficient methods for transient soot and NOx mitigation on OP2S engines. While other strategies offer additional benefits, their trade-offs in emissions and transient response must be carefully managed. Future work can explore integrated fuel injection timing strategies and energy management for the EAT to optimize the emissions-energy trade-off during dynamic engine operation.

Author Contributions

A.B.: Writing—original draft, Investigation, Data curation, Methodology, Software, Validation. A.D.: Investigation, Writing—review and editing, Software. B.G.: Formal Analysis, Data curation, Writing—review and editing. B.L.: Project administration, Conceptualization, Writing—review and editing. All authors have read and agreed to the published version of the manuscript.

Funding

The authors disclosed receipt of the following financial support for the research, authorship, and/or publication of this article: This work was supported by the Department of Energy’s Vehicle Technologies Office under award number DEEE0009880.

Data Availability Statement

The datasets generated during and/or analyzed during the current study are available from the corresponding author on reasonable request.

Conflicts of Interest

The authors declare that they have no known competing financial interests or personal relationships that could have appeared to influence the work reported in this paper.

References

  1. World Bank’s Logistics Performance Index (LPI). 2023. Available online: https://lpi.worldbank.org/report (accessed on 11 December 2025).
  2. Abani, N.; Nagar, N.; Zermeno, R.; Chiang, M.; Thomas, I. Developing a 55% BTE Commercial Heavy-Duty Opposed-Piston Engine without a Waste Heat Recovery System; SAE Technical Paper; No. 2017-01-0638; SAE Mobilus: Warrendale, PA, USA, 2017. [Google Scholar] [CrossRef]
  3. Haghani, M.; Sprei, F.; Kazemzadeh, K.; Shahhoseini, Z.; Aghaei, J. Trends in electric vehicles research. Transp. Res. Part D Transp. Environ. 2023, 123, 103881. [Google Scholar] [CrossRef]
  4. Powell, B.; Johnson, C.; Yip, A.; Snelling, A. Electric Medium- and Heavy-Duty Vehicle Charging Infrastructure Attributes and Development; NREL/TP-5R00-91571; National Renewable Energy Laboratory: Golden, CO, USA, 2024. Available online: https://www.nrel.gov/docs/fy25osti/91571.pdf (accessed on 11 December 2025).
  5. Mareev, I.; Becker, J.; Sauer, D.U. Battery dimensioning and life cycle costs analysis for a heavy-duty truck considering the requirements of long-haul transportation. Energies 2017, 11, 55. [Google Scholar]
  6. Tanco, M.; Cat, L.; Garat, S. A break-even analysis for battery electric trucks in Latin America. J. Clean. Prod. 2019, 228, 1354–1367. [Google Scholar] [CrossRef]
  7. Giuliano, G.; Dessouky, M.; Dexter, S.; Fang, J.; Hu, S.; Miller, M. Heavy-duty trucks: The challenge of getting to zero. Transp. Res. Part D Transp. Environ. 2021, 93, 102742. [Google Scholar] [CrossRef]
  8. McLaren, J.; Miller, J.; O’sHaughnessy, E.; Wood, E.; Shapiro, E. Emissions Associated with Electric Vehicle Charging: Impact of Electricity Generation Mix, Charging Infrastructure Availability, and Vehicle Type (Technical Report No. NREL/TP-5400-81703). U.S. Department of Energy; 2016. Available online: https://afdc.energy.gov/files/u/publication/ev_emissions_impact.pdf (accessed on 11 December 2025).
  9. Gao, Z.; Finney, C.; Daw, C.; LaClair, T.J.; Smith, D. Comparative Study of Hybrid Powertrains on Fuel Saving, Emissions, and Component Energy Loss in HD Trucks. SAE Int. J. Commer. Veh. 2014, 7, 414–431. [Google Scholar] [CrossRef]
  10. Rakopoulos, C.D.; Giakoumis, E.G. Diesel Engine Transient Operation: Principles of Operation and Simulation Analysis; Springer: London, UK, 2009. [Google Scholar]
  11. Terdich, N.; Martinez-Botas, R.F.; Howey, D.A.; Copeland, C.D.; Costall, A. Off-Road Diesel Engine Transient Response Improvement by Electrically Assisted Turbocharging; No. 2011-24-0127; SAE Technical Paper; SAE Mobilus: Warrendale, PA, USA, 2011. [Google Scholar]
  12. Giakoumis, E.G. Review of some methods for improving transient response in automotive diesel engines through various turbocharging configurations. Front. Mech. Eng. 2016, 2, 4. [Google Scholar] [CrossRef]
  13. Baumann, B.; Washington, G.; Glenn, B.; Rizzoni, G. Mechatronic design and control of hybrid electric vehicles. IEEE/ASME Trans. Mechatron. 2000, 5, 58–72. [Google Scholar] [CrossRef]
  14. Ehsani, M.; Gao, Y.; Emadi, A. Modern Electric, Hybrid Electric, and Fuel Cell Vehicles: Fundamentals, Theory, and Design; CRC Press: Boca Raton, FL, USA, 2010. [Google Scholar]
  15. Delprat, S.; Lauber, J.; Guerra, T.; Rimaux, J. Control of a parallel hybrid powertrain: Optimal control. IEEE Trans. Veh. Technol. 2004, 53, 872–881. [Google Scholar] [CrossRef]
  16. Zamboni, G.; Capobianco, M. Effects of rail pressure control on fuel consumption, emissions and combustion parameters in a turbocharged diesel engine. Cogent Eng. 2020, 7, 1724848. [Google Scholar] [CrossRef]
  17. Katrašnik, T.; Trenc, F.; Oprešnik, S.R. Analysis of energy conversion efficiency in parallel and series hybrid powertrains. IEEE Trans. Veh. Technol. 2007, 56, 3649–3659. [Google Scholar] [CrossRef]
  18. Kant, M.; Romagnoli, A.; Mamat, A.M.; Martinez-Botas, R.F. Heavy-duty engine electric turbocompounding. Proc. Inst. Mech. Eng. Part D J. Automob. Eng. 2015, 229, 457–472. [Google Scholar]
  19. Hountalas, D.; Katsanos, C.; Lamaris, V. Recovering Energy from the Diesel Engine Exhaust Using Mechanical and Electrical Turbocompounding. SAE Tech. Pap. 2007. [Google Scholar] [CrossRef]
  20. Hopmann, U.; Algrain, M.C. Diesel engine electric turbo compound technology. Future Transportation Technology Conference & Exposition. SAE Tech. Pap. 2003. [Google Scholar] [CrossRef]
  21. Herold, R.; Wahl, M.; Regner, G.; Lemke, J. Thermodynamic Analysis of Opposed-Piston Two-Stroke Diesel Engines; SAE Technical Paper; No. 2011-01-2216; SAE Mobilus: Warrendale, PA, USA, 2011. [Google Scholar] [CrossRef]
  22. Bhatt, A.; Datar, A.; Huo, M.; Lawler, B.; Gainey, B. Experimental study of airpath electrification in an opposed-piston two stroke (OP2S) engine architecture. Int. J. Engine Res. 2025, 26, 1822–1833. [Google Scholar] [CrossRef]
  23. Bhatt, A.; Gandolfo, J.; Huo, M.; Gainey, B.; Lawler, B. Evaluating the Effects of an Electrically Assisted Turbocharger on Scavenging Control for an Opposed Piston Two Stroke (OP2S) Compression Ignition Engine. SAE Int. J. Adv. Curr. Pract. Mobil. 2025, 7, 314–326. [Google Scholar] [CrossRef]
  24. DieselNet. European Stationary Cycle (ESC). Available online: https://dieselnet.com/standards/cycles/esc.php (accessed on 11 December 2025).
  25. Hagena, J.R.; Filipi, Z.; Assanis, D.N. Transient Diesel Emissions: Analysis of Engine Operation During a Tip-In; No. 2006-01-1151; SAE Technical Paper; SAE Mobilus: Warrendale, PA, USA, 2006. [Google Scholar]
  26. Yang, R.; Lou, D.; Tan, P.; Hu, Z.; Ren, H. Fuel Economy and Emissions of a 7L Common Rail Diesel Engine during Torque Rise Transient Process; SAE Technical Paper 2015-01-1068; SAE Mobilus: Warrendale, PA, USA, 2015. [Google Scholar] [CrossRef]
  27. Gainey, B.; Datar, A.; Bhatt, A.; Lawler, B. Experimental Analysis of Soot and NOx Mitigation during Energy-Buffered Diesel Engine Transients. SAE Int. J. Engines 2025, 18. [Google Scholar] [CrossRef]
  28. Dumitrescu, C.E.; Polonowski, C.; Fisher, B.T.; Lilik, G.K.; Mueller, C.J. An Experimental Study of Diesel-Fuel Property Effects on Mixing-Controlled Combustion in a Heavy-Duty Optical CI Engine. SAE Int. J. Fuels Lubr. 2014, 7, 65–81. [Google Scholar] [CrossRef]
  29. Dec, J.E. A Conceptual Model of DL Diesel Combustion Based on Laser-Sheet Imaging; SAE Transactions: Warrendale, PA, USA, 1997; pp. 1319–1348. [Google Scholar]
  30. Idicheria, C.A.; Pickett, L.M. Ignition, soot formation, and end-of-combustion transients in diesel combustion under high-EGR conditions. Int. J. Engine Res. 2011, 12, 376–392. [Google Scholar] [CrossRef]
  31. Bhatt, A.; Jose, R.; Huo, M.; Lawler, B. Optimizing Fuel Economy and Reducing Emissions in Heavy-Duty Trucks: A Comparative Analysis of Different Hybrid Powertrain Layouts with an Opposed Piston Two-Stroke Engine. preprint, 2025.
Figure 1. Two-cylinder OP2S schematic with an electrified airpath.
Figure 1. Two-cylinder OP2S schematic with an electrified airpath.
Machines 14 00401 g001
Figure 2. HIL test setup for the two-cylinder OP2S engine.
Figure 2. HIL test setup for the two-cylinder OP2S engine.
Machines 14 00401 g002
Figure 3. (a) Different fueling rates for controlling engine torque rise rate, (b) different EGR pump speed to vary the EGR rate during transient EGR sweeps, (c) different airflow rate corresponding to the different fueling rate shown in (a), and (d) different AFR levels for the AFR transient sweep.
Figure 3. (a) Different fueling rates for controlling engine torque rise rate, (b) different EGR pump speed to vary the EGR rate during transient EGR sweeps, (c) different airflow rate corresponding to the different fueling rate shown in (a), and (d) different AFR levels for the AFR transient sweep.
Machines 14 00401 g003
Figure 4. (a) Engine torque ramp rate variation with EAT speed ramp rate, (b) variation in airflow rate, (c) EAT speed ramp rate, and (d) corresponding EAT power draw based on the EAT ramp rate.
Figure 4. (a) Engine torque ramp rate variation with EAT speed ramp rate, (b) variation in airflow rate, (c) EAT speed ramp rate, and (d) corresponding EAT power draw based on the EAT ramp rate.
Machines 14 00401 g004
Figure 5. (a) AFR variation, (b) EGR rate, (c) engine-out NOx emissions, and (d) engine-out soot concentration during the tip-in with different EAT power input to improve the transient air flow rate.
Figure 5. (a) AFR variation, (b) EGR rate, (c) engine-out NOx emissions, and (d) engine-out soot concentration during the tip-in with different EAT power input to improve the transient air flow rate.
Machines 14 00401 g005
Figure 6. (a) Varying torque rise rate based on fuel injection rate and (b) corresponding AFR levels measured during the transients.
Figure 6. (a) Varying torque rise rate based on fuel injection rate and (b) corresponding AFR levels measured during the transients.
Machines 14 00401 g006
Figure 7. (a) Engine-out soot emissions, (b) engine-out NOx emissions, (c) EAT speed during the transients, and (d) the corresponding current draw from the EAT.
Figure 7. (a) Engine-out soot emissions, (b) engine-out NOx emissions, (c) EAT speed during the transients, and (d) the corresponding current draw from the EAT.
Machines 14 00401 g007
Figure 8. Transient sweep with an instantaneous fueling rate shape, (a) EGR pump speed (solid lines) and the corresponding EGR rates (%) (dashed lines), (b) engine-out NOx emissions, (c) engine-out soot emissions, and (d) the corresponding power draw by the EGR pump to meet the demanded rotational speed. The 26% EGR case is the baseline case with a square injection pulse.
Figure 8. Transient sweep with an instantaneous fueling rate shape, (a) EGR pump speed (solid lines) and the corresponding EGR rates (%) (dashed lines), (b) engine-out NOx emissions, (c) engine-out soot emissions, and (d) the corresponding power draw by the EGR pump to meet the demanded rotational speed. The 26% EGR case is the baseline case with a square injection pulse.
Machines 14 00401 g008
Figure 9. Transient sweep with a 2.5 s fueling ramp rate; (a) engine-out soot emissions, (b) engine-out NOx emissions, and (c) corresponding power draw by the EGR pump to meet the demanded rotational speed. The 26% EGR case is the baseline case with a square injection pulse.
Figure 9. Transient sweep with a 2.5 s fueling ramp rate; (a) engine-out soot emissions, (b) engine-out NOx emissions, and (c) corresponding power draw by the EGR pump to meet the demanded rotational speed. The 26% EGR case is the baseline case with a square injection pulse.
Machines 14 00401 g009
Figure 10. (a) Engine brake torque ramp rate variation at different AFR levels, (b) corresponding AFR levels measured experimentally, (c) EAT speeds (solid lines) commanded to maintain the AFR levels and the electrical current (dashed lines) required to reach those speeds, (d) corresponding power draw by the EAT, (e) engine-out soot emissions, and (f) engine-out NOx emissions.
Figure 10. (a) Engine brake torque ramp rate variation at different AFR levels, (b) corresponding AFR levels measured experimentally, (c) EAT speeds (solid lines) commanded to maintain the AFR levels and the electrical current (dashed lines) required to reach those speeds, (d) corresponding power draw by the EAT, (e) engine-out soot emissions, and (f) engine-out NOx emissions.
Machines 14 00401 g010
Figure 11. (a) Engine brake torque rise rate for the five cases, (b) total electrical power consumed by the EAT and the EGR pump during the sweep, (c) engine-out soot emissions, and (d) engine-out NOx emissions.
Figure 11. (a) Engine brake torque rise rate for the five cases, (b) total electrical power consumed by the EAT and the EGR pump during the sweep, (c) engine-out soot emissions, and (d) engine-out NOx emissions.
Machines 14 00401 g011
Table 1. Engine geometry and airpath layout details.
Table 1. Engine geometry and airpath layout details.
Two-Cylinder OP2S
Displacement (L)3.28
Stroke (per piston) × Bore (mm)108.0 × 98.4
Swept compression ratio19.50
Trapped compression ratio15.45
Air induction deviceEAT
Other airpath actuatorsBackpressure valve
EGR pump
Table 2. Summary of the optimal run.
Table 2. Summary of the optimal run.
CaseKey StrategySoot ΔNOx ΔAirpath Energy ΔTorque ResponseAdditional Notes
1Baseline (26% EGR, 0 s fueling ramp)FastClear turbo “knee.”
2200 Nm/s fueling ramp (26% EGR)−91%Slight ↓Slowest~21% lower flywheel brake energy
30 s fueling ramp, low EGR (12%)−30%+108%−32%ModerateDelayed tip-in torque (nonlinear airpath effects)
4200 Nm/s fueling ramp, low EGR (12%)−97%+130%−38%SlowLowest soot; highest NOx penalty
5Lean boost, fastest EAT rampPeak 16 kW demandFastSignificant electrical penalty
↑ = increase, ↓ = decrease.
Disclaimer/Publisher’s Note: The statements, opinions and data contained in all publications are solely those of the individual author(s) and contributor(s) and not of MDPI and/or the editor(s). MDPI and/or the editor(s) disclaim responsibility for any injury to people or property resulting from any ideas, methods, instructions or products referred to in the content.

Share and Cite

MDPI and ACS Style

Bhatt, A.; Datar, A.; Gainey, B.; Lawler, B. Electrified Airpath and Fueling Synergies for Cleaner Transients in an OP2S Diesel Engine: An Experimental Study. Machines 2026, 14, 401. https://doi.org/10.3390/machines14040401

AMA Style

Bhatt A, Datar A, Gainey B, Lawler B. Electrified Airpath and Fueling Synergies for Cleaner Transients in an OP2S Diesel Engine: An Experimental Study. Machines. 2026; 14(4):401. https://doi.org/10.3390/machines14040401

Chicago/Turabian Style

Bhatt, Ankur, Aditya Datar, Brian Gainey, and Benjamin Lawler. 2026. "Electrified Airpath and Fueling Synergies for Cleaner Transients in an OP2S Diesel Engine: An Experimental Study" Machines 14, no. 4: 401. https://doi.org/10.3390/machines14040401

APA Style

Bhatt, A., Datar, A., Gainey, B., & Lawler, B. (2026). Electrified Airpath and Fueling Synergies for Cleaner Transients in an OP2S Diesel Engine: An Experimental Study. Machines, 14(4), 401. https://doi.org/10.3390/machines14040401

Note that from the first issue of 2016, this journal uses article numbers instead of page numbers. See further details here.

Article Metrics

Back to TopTop