An NMPC-ECBF Framework for Dynamic Motion Planning and Execution in Vision-Based Human–Robot Collaboration
Abstract
1. Introduction
2. Overall System Design
3. Related Works
3.1. Methods to Solve Trajectory Optimization in MPC
3.2. Safety-Critical Manipulator Control
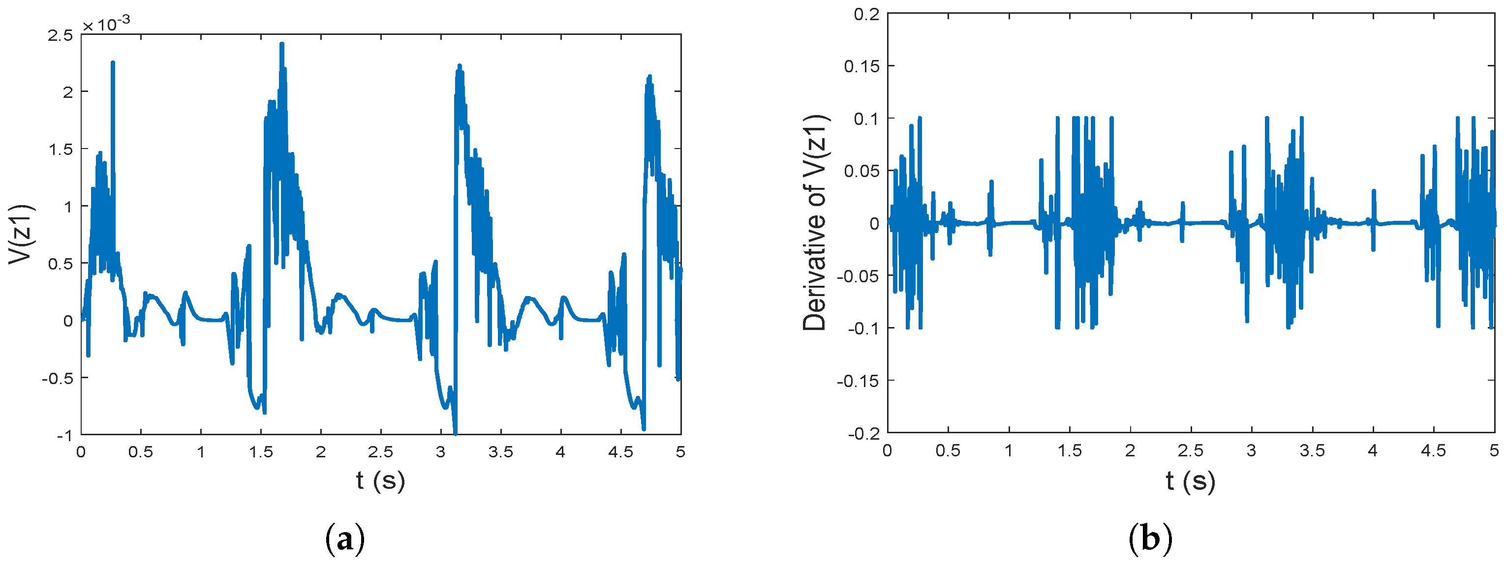
4. Problem Formulation
- the dynamics of the manipulator are known;
- the error in the prediction of the future human position is bounded;
- the maximum velocity of the human hand is slower than that of the manipulator;
5. NMPC Motion Planning Scheme
5.1. System Description
5.2. Minimum Distance Calculation
5.3. Nonlinear Model Predictive Control for Collision Avoidance
5.4. Numerical Solution
6. Controller Design
6.1. Trajectory Computation
6.2. Low-Level Controller
6.3. Exponential Control Barrier Function as a Safety Filter
6.4. System Stability Analysis
- β is increasing
- .
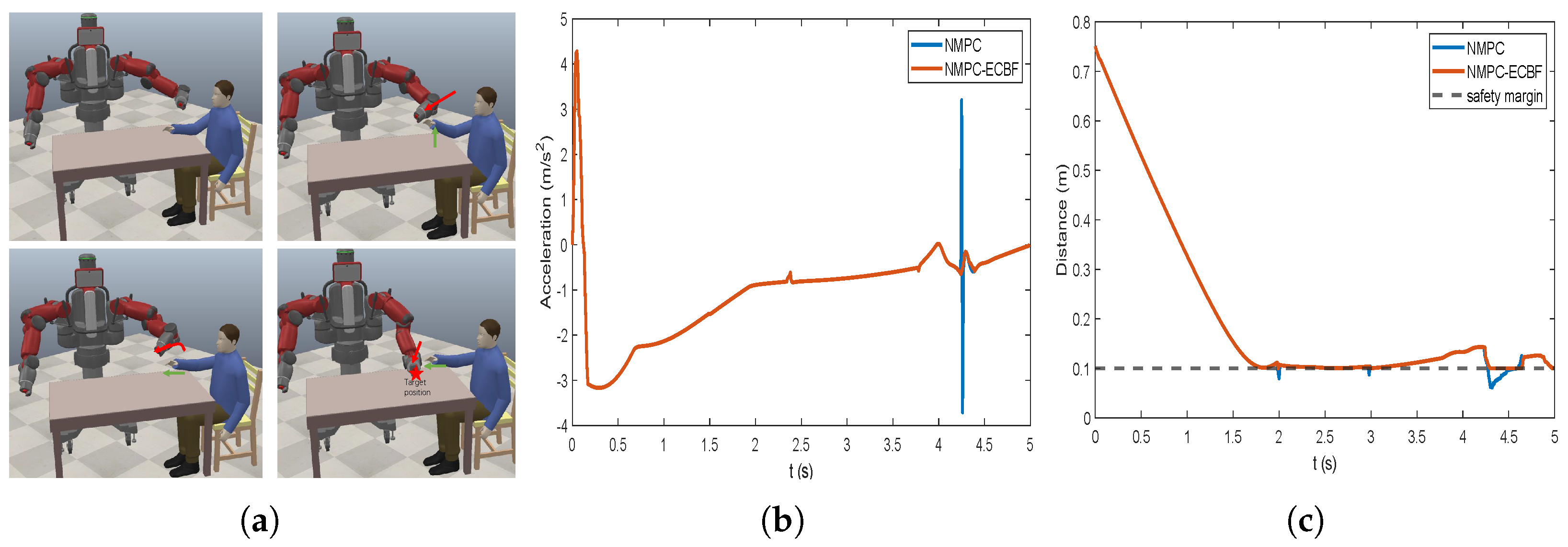
7. Experimental Setup
| Algorithm 1: Vision-based screw-driver usage task execution |
![]() |
| Algorithm 2: Motion-prediction-based path planning |
|
7.1. Motion Capture
7.2. Vision System
Performance of the Vision Module
7.3. Control System Performance Test
7.4. Idle Time for Agents in the HRC Scenario
8. Conclusions
Author Contributions
Funding
Data Availability Statement
Conflicts of Interest
References
- Nicora, M.L.; Ambrosetti, R.; Wiens, G.J.; Fassi, I. Human—Robot Collaboration in Smart Manufacturing: Robot Reactive Behavior Intelligence. J. Manuf. Sci. Eng. 2021, 143, 031009. [Google Scholar] [CrossRef]
- Kumar, S.; Savur, C.; Sahin, F. Survey of Human—Robot Collaboration in Industrial Settings: Awareness, Intelligence, and Compliance. IEEE Trans. Syst. Man Cybern. Syst. 2021, 51, 280–297. [Google Scholar] [CrossRef]
- Cao, R.; Cheng, L.; Li, H. Passive Model-Predictive Impedance Control for Safe Physical Human–Robot Interaction. IEEE Trans. Cogn. Dev. Syst. 2024, 16, 426–435. [Google Scholar] [CrossRef]
- Han, L.; Zhao, L.; Huang, Y.; Xu, W. Variable admittance control for safe physical human–robot interaction considering intuitive human intention. Mechatronics 2024, 97, 12. [Google Scholar] [CrossRef]
- Wang, W.; Li, R.; Chen, Y.; Diekel, Z.M.; Jia, Y. Facilitating human–robot collaborative tasks by teaching-learning-collaboration from human demonstrations. IEEE Trans. Autom. Sci. Eng. 2018, 16, 640–653. [Google Scholar] [CrossRef]
- Terreran, M.; Barcellona, L.; Ghidoni, S. A general skeleton-based action and gesture recognition framework for human–robot collaboration. Robot. Auton. Syst. 2023, 170, 104523. [Google Scholar] [CrossRef]
- Qi, W.; Ovur, S.E.; Li, Z.; Marzullo, A.; Song, R. Multi-sensor Guided Hand Gestures Recognition for Teleoperated Robot using Recurrent Neural Network. IEEE Robot. Autom. Lett. 2021, 6, 6039–6045. [Google Scholar] [CrossRef]
- Quintas, J.; Martins, G.S.; Santos, L.; Menezes, P.; Dias, J. Toward a Context-Aware Human–Robot Interaction Framework Based on Cognitive Development. IEEE Trans. Syst. Man Cybern. Syst. 2019, 49, 227–237. [Google Scholar] [CrossRef]
- Huck, T.P.; Münch, N.; Hornung, L.; Ledermann, C.; Wurll, C. Risk assessment tools for industrial human-robot collaboration: Novel approaches and practical needs. Saf. Sci. 2021, 141, 105288. [Google Scholar] [CrossRef]
- Chemweno, P.; Pintelon, L.; Decre, W. Orienting safety assurance with outcomes of hazard analysis and risk assessment: A review of the ISO 15066 standard for collaborative robot systems. Saf. Sci. 2020, 129, 104832. [Google Scholar] [CrossRef]
- Ide, S.; Takubo, T.; Ohara, K.; Mae, Y.; Arai, T. Real-time trajectory planning for mobile manipulator using model predictive control with constraints. In Proceedings of the 2011 8th International Conference on Ubiquitous Robots and Ambient Intelligence (URAI), Incheon, Republic of Korea, 23–26 November 2011; pp. 244–249. [Google Scholar]
- Salaj, M.; Gulan, M. Pendubot control scheme based on nonlinear MPC and MHE exploiting parallelization. In Proceedings of the 2015 IEEE 19th International Conference on Intelligent Engineering Systems (INES), Bratislava, Slovakia, 3–5 September 2015; pp. 353–358. [Google Scholar]
- Su, H.; Schmirander, Y.; Li, Z.; Zhou, X.; Ferrigno, G.; Momi, E.D. Bilateral Teleoperation Control of a Redundant Manipulator with an RCM Kinematic Constraint. In Proceedings of the 2020 IEEE International Conference on Robotics and Automation (ICRA), Paris, France, 31 May–31 August 2020; pp. 4477–4482. [Google Scholar]
- Li, W.; Xiong, R. Dynamical obstacle avoidance of task-constrained mobile manipulation using model predictive control. IEEE Access 2019, 7, 88301–88311. [Google Scholar] [CrossRef]
- Oleinikov, A.; Kusdavletov, S.; Shintemirov, A.; Rubagotti, M. Safety-Aware Nonlinear Model Predictive Control for Physical Human-Robot Interaction. IEEE Robot. Autom. Lett. 2021, 6, 5665–5672. [Google Scholar] [CrossRef]
- Rawlings, J.; Mayne, D. Model Predictive Control: Theory, Computation, and Design; Nob Hill Publishing: Madison, WI, USA, 2022; Volume 2. [Google Scholar]
- Wolf, I.J.; Marquardt, W. Fast NMPC schemes for regulatory and economic NMPC–A review. J. Process Control 2016, 44, 162–183. [Google Scholar] [CrossRef]
- Secil, S.; Ozkan, M. Minimum distance calculation using skeletal tracking for safe human-robot interaction. Robot. Comput. Integr. Manuf. 2022, 73, 102253. [Google Scholar] [CrossRef]
- Wang, H.; Peng, J.; Zhang, F.; Zhang, H.; Wang, Y. High-order control barrier functions-based impedance control of a robotic manipulator with time-varying output constraints. ISA Trans. 2022, 129, 361–369. [Google Scholar] [CrossRef]
- Son, T.D.; Nguyen, Q. Safety-critical control for non-affine nonlinear systems with application on autonomous vehicle. In Proceedings of the 2019 IEEE 58th Conference on Decision and Control (CDC), Nice, France, 11–13 December 2019; pp. 7623–7628. [Google Scholar]
- Wang, C.; Meng, Y.; Li, Y.; Smith, S.L.; Liu, J. Learning control barrier functions with high relative degree for safety-critical control. In Proceedings of the 2021 European Control Conference (ECC), Delft, The Netherlands, 29 June–2 July 2021; pp. 1459–1464. [Google Scholar]
- Liu, H.; Wang, L. Human motion prediction for human-robot collaboration. J. Manuf. Syst. 2017, 44, 287–294. [Google Scholar] [CrossRef]
- Lindqvist, B.; Mansouri, S.S.; Agha-mohammadi, A.A.; Nikolakopoulos, G. Nonlinear MPC for collision avoidance and control of UAVs with dynamic obstacles. IEEE Robot. Autom. Lett. 2020, 5, 6001–6008. [Google Scholar] [CrossRef]
- Lindqvist, B.; Mansouri, S.S.; Kanellakis, C.; Nikolakopoulos, G. Collision Free Path Planning based on Local 2D Point-Clouds for MAV Navigation. In Proceedings of the 2020 28th Mediterranean Conference on Control and Automation (MED), Saint-Raphaël, France, 16–19 June 2020; pp. 538–543. [Google Scholar]
- Jerez, J.L.; Goulart, P.J.; Richter, S.; Constantinides, G.A.; Kerrigan, E.C.; Morari, M. Embedded online optimization for model predictive control at megahertz rates. IEEE Trans. Autom. Control 2014, 59, 3238–3251. [Google Scholar] [CrossRef]
- Sathya, A.; Sopasakis, P.; Van Parys, R.; Themelis, A.; Pipeleers, G.; Patrinos, P. Embedded nonlinear model predictive control for obstacle avoidance using PANOC. In Proceedings of the 2018 European control conference (ECC), Limassol, Cyprus, 12–15 June 2018; pp. 1523–1528. [Google Scholar]
- Sopasakis, P.; Fresk, E.; Patrinos, P. OpEn: Code generation for embedded nonconvex optimization. IFAC-PapersOnLine 2020, 53, 6548–6554. [Google Scholar] [CrossRef]
- Trimble, S.; Naeem, W.; McLoone, S.; Sopasakis, P. Context-aware robotic arm using fast embedded model predictive control. In Proceedings of the 2020 31st Irish Signals and Systems Conference (ISSC), Letterkenny, Ireland, 11–12 June 2020; pp. 1–6. [Google Scholar]
- Rubagotti, M.; Patrinos, P.; Bemporad, A. Stabilizing Linear Model Predictive Control Under Inexact Numerical Optimization. IEEE Trans. Autom. Control 2014, 59, 1660–1666. [Google Scholar] [CrossRef]
- Gurriet, T.; Mote, M.; Singletary, A.; Nilsson, P.; Feron, E.; Ames, A.D. A scalable safety critical control framework for nonlinear systems. IEEE Access 2020, 8, 187249–187275. [Google Scholar] [CrossRef]
- Nguyen, Q.; Sreenath, K. Robust safety-critical control for dynamic robotics. IEEE Trans. Autom. Control 2022, 67, 1073–1088. [Google Scholar] [CrossRef]
- Singletary, A.; Kolathaya, S.; Ames, A.D. Safety-critical kinematic control of robotic systems. IEEE Control Syst. Lett. 2021, 6, 139–144. [Google Scholar] [CrossRef]
- Landi, C.T.; Ferraguti, F.; Costi, S.; Bonfè, M.; Secchi, C. Safety barrier functions for human-robot interaction with industrial manipulators. In Proceedings of the 2019 18th European Control Conference (ECC), Naples, Italy, 25–28 June 2019; pp. 2565–2570. [Google Scholar]
- Ding, X.; Wang, H.; Ren, Y.; Zheng, Y.; Chen, C.; He, J. Online Control Barrier Function Construction for Safety-Critical Motion Control of Manipulators. IEEE Trans. Syst. Man Cybern. Syst. 2024, 54, 4761–4771. [Google Scholar] [CrossRef]
- Zhang, D.; Vien, N.A.; Van, M.; McLoone, S. Non-local Graph Convolutional Network for joint Activity Recognition and Motion Prediction. In Proceedings of the 2021 IEEE/RSJ International Conference on Intelligent Robots and Systems (IROS), Prague, Czech Republic, 27 September–1 October 2021; pp. 2970–2977. [Google Scholar]
- Safeea, M.; Mendes, N.; Neto, P. Minimum distance calculation for safe human robot interaction. Procedia Manuf. 2017, 11, 99–106. [Google Scholar] [CrossRef]
- Lin, H.C.; Liu, C.; Fan, Y.; Tomizuka, M. Real-time collision avoidance algorithm on industrial manipulators. In Proceedings of the 2017 IEEE Conference on Control Technology and Applications (CCTA), Maui, HI, USA, 27–30 August 2017; pp. 1294–1299. [Google Scholar]
- Ionescu, C.; Papava, D.; Olaru, V.; Sminchisescu, C. Human3. 6m: Large scale datasets and predictive methods for 3d human sensing in natural environments. IEEE Trans. Pattern Anal. Mach. Intell. 2013, 36, 1325–1339. [Google Scholar] [CrossRef] [PubMed]
- Hu, S.; Babaians, E.; Karimi, M.; Steinbach, E. NMPC-MP: Real-time Nonlinear Model Predictive Control for Safe Motion Planning in Manipulator Teleoperation. In Proceedings of the 2021 IEEE/RSJ International Conference on Intelligent Robots and Systems (IROS), Prague, Czech Republic, 27 September–1 October 2021; pp. 8309–8316. [Google Scholar]
- Nguyen, Q.; Sreenath, K. Exponential control barrier functions for enforcing high relative-degree safety-critical constraints. In Proceedings of the 2016 American Control Conference (ACC), Boston, MA, USA, 6–8 July 2016; pp. 322–328. [Google Scholar]
- He, W.; Ge, S.S.; Li, Y.; Chew, E.; Ng, Y.S. Neural network control of a rehabilitation robot by state and output feedback. J. Intell. Robot. Syst. 2015, 80, 15–31. [Google Scholar] [CrossRef]
- Grandia, R.; Taylor, A.J.; Singletary, A.; Hutter, M.; Ames, A.D. Nonlinear model predictive control of robotic systems with control lyapunov functions. arXiv 2020, arXiv:2006.01229. [Google Scholar] [CrossRef]
- Minniti, M.V.; Grandia, R.; Farshidian, F.; Hutter, M. Adaptive CLF-MPC with application to quadrupedal robots. IEEE Robot. Autom. Lett. 2021, 7, 565–572. [Google Scholar] [CrossRef]
- Sontag, E.D. A Lyapunov-Like Characterization of Asymptotic Controllability. SIAM J. Control Optim. 1983, 21, 462–471. [Google Scholar] [CrossRef]
- Gui, L.Y.; Zhang, K.; Wang, Y.X.; Liang, X.; Moura, J.M.; Veloso, M. Teaching robots to predict human motion. In Proceedings of the 2018 IEEE/RSJ International Conference on Intelligent Robots and Systems (IROS), Madrid, Spain, 1–5 October 2018; pp. 562–567. [Google Scholar]
- Martinez, J.; Black, M.J.; Romero, J. On human motion prediction using recurrent neural networks. In Proceedings of the IEEE Conference on Computer Vision and Pattern Recognition, Honolulu, HI, USA, 21–26 July 2017; pp. 2891–2900. [Google Scholar]
- Mao, W.; Liu, M.; Salzmann, M.; Li, H. Learning trajectory dependencies for human motion prediction. In Proceedings of the IEEE/CVF International Conference on Computer Vision, Seoul, Republic of Korea, 27 October–2 November 2019; pp. 9489–9497. [Google Scholar]
- Li, M.; Chen, S.; Zhang, Z.; Xie, L.; Tian, Q.; Zhang, Y. Skeleton-Parted Graph Scattering Networks for 3D Human Motion Prediction. In Proceedings of the Computer Vision—ECCV: 17th European Conference, Tel Aviv, Israel, 23–27 October 2022; Avidan, S., Brostow, G., Cissé, M., Farinella, G.M., Hassner, T., Eds.; Springer: Cham, Switzerland, 2022; pp. 18–36. [Google Scholar]









| Pick Up | Move Forward | Take the Screw | Operate | Move Backward | Put Down | |
|---|---|---|---|---|---|---|
| LSTM-3LR [45] | 2.41 | 2.26 | 2.73 | 2.52 | 2.68 | 2.88 |
| Res-sup [46] | 2.18 | 2.14 | 2.42 | 2.38 | 2.57 | 2.71 |
| Traj-GCN [47] | 1.95 | 2.01 | 2.29 | 2.21 | 2.46 | 2.61 |
| SPGSN [48] | 1.33 | 1.96 | 2.01 | 2.09 | 2.41 | 2.37 |
| Ours | 1.29 | 1.92 | 1.98 | 2.07 | 2.39 | 2.35 |
| Max Acc (m/s2) | Min d (cm) | Avg Max Acc (m/s2) | Avg Min d (cm) | |
|---|---|---|---|---|
| NMPC | 12.41 | −3.26 | 2.73 | −1.62 |
| NMPC-ECBF | 2.70 | 0 | 1.42 | 0 |
| With Motion Prediction (s) | Without Motion Prediction (s) | |
|---|---|---|
| H-IDL | 0.6 | 5 |
| R-IDL | 1.95 | 1.35 |
| Total Time | 14.6 | 19.0 |
Disclaimer/Publisher’s Note: The statements, opinions and data contained in all publications are solely those of the individual author(s) and contributor(s) and not of MDPI and/or the editor(s). MDPI and/or the editor(s) disclaim responsibility for any injury to people or property resulting from any ideas, methods, instructions or products referred to in the content. |
© 2025 by the authors. Licensee MDPI, Basel, Switzerland. This article is an open access article distributed under the terms and conditions of the Creative Commons Attribution (CC BY) license (https://creativecommons.org/licenses/by/4.0/).
Share and Cite
Zhang, D.; Van, M.; Sopasakis, P.; McLoone, S. An NMPC-ECBF Framework for Dynamic Motion Planning and Execution in Vision-Based Human–Robot Collaboration. Machines 2025, 13, 672. https://doi.org/10.3390/machines13080672
Zhang D, Van M, Sopasakis P, McLoone S. An NMPC-ECBF Framework for Dynamic Motion Planning and Execution in Vision-Based Human–Robot Collaboration. Machines. 2025; 13(8):672. https://doi.org/10.3390/machines13080672
Chicago/Turabian StyleZhang, Dianhao, Mien Van, Pantelis Sopasakis, and Seán McLoone. 2025. "An NMPC-ECBF Framework for Dynamic Motion Planning and Execution in Vision-Based Human–Robot Collaboration" Machines 13, no. 8: 672. https://doi.org/10.3390/machines13080672
APA StyleZhang, D., Van, M., Sopasakis, P., & McLoone, S. (2025). An NMPC-ECBF Framework for Dynamic Motion Planning and Execution in Vision-Based Human–Robot Collaboration. Machines, 13(8), 672. https://doi.org/10.3390/machines13080672


