Abstract
In addition to technological influences, real-world belt and conveyor systems must contend with loading effects characterized primarily by randomness. Evaluating the impact of these effects on system behavior involves the creation of a computational model. In this innovative approach, disturbances are expressed by discretization and round-off errors arising throughout the solution of the controlling equations. Simulations conducted under this model demonstrate that these disturbances have the potential to generate hidden and co-existing attractors. Additionally, they have the potential to initiate shifts between oscillations of varying periods or transitions from regular to chaotic motions. This exploration sheds light on the intricate dynamics and behaviors exhibited by belt and conveyor systems in the face of various disturbances.
1. Introduction
Belt and conveyor devices are integral to the realm of mechanical engineering, finding widespread use in transmitting motion and power as well as in the transportation of diverse entities such as bodies or bulk materials. Consequently, these systems have become a focal point for extensive and intensive research. Beyond the technological forces inherent in their operation, these systems contend with disruptive effects that often exhibit a random character, exerting a substantial influence on their overall behavior.
The study of transverse oscillations in elastic belts and tapes has been extensively explored in various research works, as documented in [1,2,3,4]. A significant portion of the literature has focused on determining the vibration frequencies of belts, primarily through analytical methods, as detailed in [1,5]. The progression of modeling techniques was examined in [6]. Additionally, the influence of conveyor belts on noise emissions was addressed in [7,8], where the primary noise sources and their spectral characteristics were identified. These studies emphasize the significant impact of belt speed on noise generation.
As integral components of overarching vibratory systems theory, vibratory conveying systems have been subjected to rigorous scrutiny in recent decades. This scrutiny has embraced analytical methodologies and an array of numerical techniques, as outlined in [9]. Describing the movements of parameter-dependent mechanical systems is a pivotal avenue for understanding how a system’s behavior evolves upon crossing critical parameter values. Bifurcation diagrams constructed with fixed initial conditions provide a powerful means of analyzing the complexity of motion. Each value of the bifurcation parameter corresponds to a distinct attractor within the system. Periodic attractors appear as a discrete set of isolated points, whereas quasi-periodic and chaotic attractors emerge as continuous bands composed of infinitely many points.
From a mechanical perspective, a bifurcation represents a qualitative change in the dynamic behavior of a system due to a smooth variation of one of its parameters (e.g., stiffness, damping, or the amplitude of external forcing). A typical example is a nonlinear oscillator such as the Duffing oscillator, where a transition can occur from one stable equilibrium to two symmetric stable equilibria (a pitchfork bifurcation) or where periodic oscillations can emerge from a previously stable equilibrium (a Hopf bifurcation). Physically, this means that the system may begin to respond in a qualitatively different manner, for instance shifting from a steady state to sustained oscillatory motion.
Chaos arises in highly nonlinear systems as a result of repeated bifurcations, with periodic solutions becoming unstable and being replaced by quasiperiodic or chaotic behavior. From a mechanical standpoint, this implies that a vibrating system with nonlinear forces (e.g., hardening spring, Coulomb friction) can exhibit aperiodic but deterministic motion with extreme sensitivity to initial conditions. In phase space, this manifests as an attractor with a fractal structure (such as a Lorenz or Poincaré attractor), where even a tiny change in the initial state leads to a drastically different trajectory despite the underlying system being fully deterministic.
Mechanical systems exhibit not only regular but also irregular regimes, with regularity being linked to periodicity or quasi-periodicity and irregularity implying the presence of chaos. Detecting regular/irregular patterns has emerged as a distinct research challenge, attracting scholars from various scientific domains [10]. The 0–1 test for chaos provides a twofold-value output denoted by K, offering a reliable means to distinguish between regular and irregular patterns.
The sensitivity of chaotic trajectories to numerical simulations has been a subject of discussion since the seminal work of [11,12]. In response to this phenomenon, ref. [13] proposed Clean Numerical Simulation (CNS), which aims to minimize numerical noise while encompassing truncation and round-off errors to levels significantly lower than the physical solution. This categorization of chaos into normal/ultra chaos [14,15] introduces the notion that normal chaos exhibits stable statistics, while ultra chaos is characterized by unstable statistics that render it highly sensitive to small disturbances.
Much like the disturbances encountered in computational simulations, numerical noise exerts a comparable influence on system motion to that observed in real machinery and technological devices. This parallel was explored by [16], who reported that small disturbances can lead to substantial differences in turbulent flows. This aligns with the findings of [17], who analyzed aerodynamic airflow disturbances in the wakes of road vehicles.
The imperative nature of detecting motion characteristics is underscored by real-world scenarios where chaos can result in destructive outcomes [18] as well as by instances where chaos can be intentionally harnessed [19]. Consequently, a nuanced understanding of dynamics emerges as a pivotal factor in navigating the complex interplay between mechanical systems and their operational environments.
In addition to the previously mentioned sources of inspiration, this paper is propelled by a quest to delve into the effects of unpredictable fluctuations inherent in machinery systems on the vibrational dynamics and interconnected parameters of such systems. In pursuit of this exploration, we draw upon the insights provided by Lorenz regarding the sensitivity of phase trajectories to imprecise calculations. The rationale underlying this choice lies in the commonality shared by both physical and computational imprecision, which both possess an intrinsic randomness that makes their precise anticipation inherently challenging. A notable aspect of this study is our utilization of Lorenz’s observations on the sensitivity of phase trajectories given the analogous nature of physical and computational imprecision.
Our focus in this investigation centers on a tire testing device, the intricacies of which are comprehensively detailed in [20]. The relevance of scrutinizing this specific device lies in the potential ramifications of its undesired behavior, which could cascade into malfunctions within the control system or result in excessive loading on the belt, potentially leading to tearing or puncturing.
The primary objective of our research is to comprehend the impact of subtle disruptive factors on the vibrational dynamics of the system under various operating conditions. Our exploration emphasizes the induced motion from the perspective of its regular and irregular characteristics. To implement these system disturbances within our computational model, we adhere to Lorenz’s approach by incorporating discretization and round-off errors that naturally occur throughout the solution of the equations of motion. This method, representing a departure from conventional approaches, introduces a novel and original dimension to our investigation.
As compared to [21], the device under investigation in this study exhibits a distinct variance in its driving unit. In lieu of a crank mechanism, a component that directly executes linear reciprocating motion is employed. This can be achieved through the implementation of a hydraulic piston or by utilizing a linear electromotor based on electromagnetic effects between stationary and movable components. In terms of design, the proposed device boasts a simplified configuration with fewer mechanical parts, enhancing its reliability and durability. Another deviation from [21] is evident in the approach to modeling the contact stiffness and damping in the connection between the cylinder and belt during collisions. The linear relationship between forces and impact penetration as well as the relative velocity of colliding bodies is supplanted by the Hertz formula. This modification is intentional and introduces greater nonlinear complexity to the system, exerting a significant impact on the behavior of the analyzed device.
The structure of this paper adheres to a conventional organization. In the subsequent section, we provide an introduction to the system under scrutiny. Moving forward, the Mathematical Model section is dedicated to elucidating the mathematical model, where we derive the relevant formulas utilizing the time change of kinetic energy theorem. Following this, the Results section serves as the focal point for presenting the primary outcomes of our investigation. This encompasses bifurcation diagrams, time records, phase portraits, the outcomes of the 0–1 test for chaos, the Fast Fourier Transform (FFT), and the validation of computational simulations.
A detailed exploration of bifurcation diagrams allows us to visually interpret the evolution of system behavior concerning critical parameter values. Concurrently, the 0–1 test for chaos aids in discerning between regular and irregular patterns within the system dynamics. Time records and phase portraits offer additional insights into the temporal evolution and spatial characteristics of the system’s motion, respectively. Application of the FFT allows us to analyze the frequency content of the system dynamics, providing a comprehensive view of its vibrational patterns. Additionally, the verification of numerical simulations ensures the reliability and precision of our computational model.
To culminate our inquiry, the paper closes with a comprehensive interpretations of our results in Section 5, which encapsulates our key findings, their implications, and potential avenues for future exploration. This section serves as a reflective synthesis of the entire investigation, offering a cohesive overview of this study’s significance and the broader implications of the observed outcomes.
2. System Under Investigation
The system under study is depicted in Figure 1. It consists of a simplified experimental setup designed to assess the wear rate of tires, wheels, conveyor rollers, and similar components. The system comprises a moving belt and a rigid lever equipped with a ball at its distal end. The lever is connected to a vertically moving component by a dashpot that induces its motion. When the lever reaches a horizontal position, a small clearance exists between the ball and the belt. The movement of the sliding component follows a predefined time-dependent trajectory. This motion results in an oscillatory rotation of the lever, influencing the contact forces between the ball and the belt. If the system parameters exceed a critical threshold, intermittent impacts between the ball and the belt occur. The belt maintains a uniform velocity throughout the operation.
Figure 1.
Schematic diagram of the belt–lever system.
In the simulation model, the stationary frame, lever, sliding component, and ball (excluding a localized region near the potential contact area) are treated as perfectly rigid bodies. The dashpot’s spring and damper elements are considered massless, with linear elastic and damping properties. The joints connecting the lever to the frame and the ball are modeled as rotational kinematic pairs, allowing for unrestricted relative rotation. In the event of contact between the ball and the belt, the frictional interaction follows Coulomb’s law, while the material in the immediate contact zone is assumed to exhibit linear elastic and damping characteristics. External environmental resistances are neglected in this modeling approach.
3. Mathematical Representation of the System
The presentation of the generalized coordinates for the system under investigation is detailed in Figure 2. In this depiction, we elucidate the specific coordinates that encapsulate the essential degrees of freedom and parameters characterizing the dynamic behavior of the studied system. This introduction provides a visual guide to the chosen set of generalized coordinates, serving as a foundation for a more comprehensive understanding of the system’s intricacies and facilitating the subsequent mathematical modeling and analysis.
Figure 2.
Generalized coordinates of the belt–lever system.
The derivation of the equations of motion was accomplished utilizing the Lagrange equations of the second kind. Employing this methodological approach, we arrived at a system of equations that delineate the motion characteristics of the system under investigation. This mathematical formulation captures the interplay of forces, constraints, and motion within the system, providing a comprehensive framework for analyzing its response to various stimuli and operating conditions. The Lagrange equations of the second kind serve as a powerful tool in unraveling the complex dynamics inherent in the studied mechanical system:
where T and N represent the friction and normal force exerted by the belt on the ball, respectively, while and refer to minute disturbing effects that often exhibit a random nature. In the realm of computational simulation, these effects find representation through round-off and time discretization errors. Stemming from the inherent limitations of numerical precision and discretization procedures, these errors contribute to the nuanced and intricate dynamics of the simulated system.
The magnitude of the normal force is contingent upon various factors, including the stiffness and damping characteristics of the belt–ball contact, the separation distance between the belt and the ball, and the placement of the ball in the vertical direction. It is important to note that the normal force, denoted here as N, exclusively assumes a pressure distribution. The calculation of the normal force N is detailed in the subsequent Equations (2)–(4). These equations provide a systematic and quantitative representation of the intricate interplay between the specified parameters, offering insight into the dynamic behavior of the system under consideration:
and
where the friction force T is directly proportional to the normal force N and consistently acts in the direction opposing the circumferential velocity of the ball with respect to the belt. This relationship underscores the fundamental interdependence between the frictional and normal forces, emphasizing that the frictional resistance experienced by the ball is contingent upon the magnitude of the normal force and always acts to resist the relative motion between the ball and the moving belt:
The vertical placement of the actuator is calculated using the following formula, dictating the precise spatial orientation of the actuator within the system:
where signifies the magnitude of the kinematic stimulation of the actuator, signifies the run-up factor, and denotes the frequency of the steady-state excitation. The temporal evolution of the driving position is illustrated in Figure 3, with specific parameter values outlined in Table 1. This figure serves as a visual depiction of how the actuator’s position varies over time, providing a dynamic perspective on its behavior under the specified set of parameters.
Figure 3.
The temporal evolution of the variable z is portrayed over time for an excitation frequency of rad and for the parameters delineated in Table 1.
Table 1.
Parameters of System (1).
Upon initiation, the system assumes its initial state, characterized by the rest position; the initial conditions defining this rest position are as follows:
The vertical positioning of the ball’s center, denoting the terminal point of the bar, is elucidated by the coordinate . This coordinate encapsulates the specific vertical location of the ball, providing a comprehensive representation of its spatial disposition within the system:
The dynamics of real-world technical systems are inevitably influenced by a multitude of factors, predominantly characterized by stochastic behavior. In our simulation, we represent these influences by incorporating the time discretization and round-off errors. To ensure the reliability of the computational results, we employ the time change of kinetic energy theorem. This theorem asserts that the temporal variation of a system’s kinetic energy is equivalent to the instantaneous power exerted by all active forces within the system. This evaluation criterion serves as a robust means to validate the physical precision of our simulated outcomes.
The system kinetic energy, denoted as , reads as
The total power of the operational forces, represented by P, is computed as the sum of individual contributions:
where each constituent power term is defined as follows:
In the above equations, and denote the respective powers associated with the gravitational forces exerted on the bar and the ball, represents the power of the driving force, by which the movable element acts on the bar, and and respectively characterize the powers corresponding to the contact and friction forces, both of which are exerted on the ball by the belt. This comprehensive breakdown elucidates the distinct contributions of each force to the total power dynamics of the system.
To assess the results, we introduce the following relative quantities:
In these formulations, , , and respectively represent the relative power of working forces, the relative change in kinetic energy, and the relative difference between power and kinetic energy. These measures provide a normalized perspective on the dynamics of the system, facilitating a comparative analysis of the contributions of working forces and kinetic energy changes.
The simulation results were obtained using MATLAB, 2015b [22] utilizing the ode45 solver, which is a time-adaptive numerical integration method based on an explicit Runge–Kutta scheme of order 4–5. The computations were carried out over a simulation duration spanning from 0 s to 1000 s. The technical parameters are summarized in Table 1.
The precision of the computed solution is influenced by the discretization and round-off errors, which can be regulated through specific solver settings. Here:
- The RelTol (relative tolerance) defines the maximum allowable error in proportion to the magnitude of each state variable at every integration step [23].
- The AbsTol (absolute tolerance) establishes the upper bound for solver error when the state variable approaches zero [24].
To balance computational efficiency and accuracy, the values of RelTol and AbsTol were set identically and are collectively represented as Tol. For further analysis, simulations were performed using two tolerance settings: Tol = and Tol = .
4. Analysis Results
Figure 4a and Figure 5a present bifurcation diagrams illustrating how the vibration amplitudes of the ball’s center vary with rad . These diagrams display results for two computational tolerance levels, Tol = and Tol = , respectively. The analysis in each case focuses on the last fifth of the simulation duration, where the system is presumed to have reached a steady state. The corresponding values obtained from the 0–1 test for chaos, marked as K, are shown in part (b) of Figure 4 and Figure 5, respectively.
Figure 4.
The bifurcation diagram depicted in (a) and the outcomes of K showcased in (b) illustrate the variation of concerning the excitation frequency . These results were obtained under the computational precision setting of Tol = .
Figure 5.
The bifurcation diagram presented in (a) and the outcomes of K displayed in (b) depict the variation of in response to the excitation frequency . These results were obtained under the computational precision setting of Tol = .
In both scenarios, a multitude of blocks representative of the chaotic mode is observable, which is relevant to the precision. Individual segments are punctuated by reverse bifurcation, succeeded by blocks indicative of regular behavior. The outcomes of the bifurcation diagram align with those of the 0–1 chaos test, effectively discerning between regular and chaotic behavior. Notably, the 0–1 chaos test yields an undecidable result under specific parameter configurations. This occurrence is attributed to the inherent nature of time records, specifically the transient phenomena they exhibit.
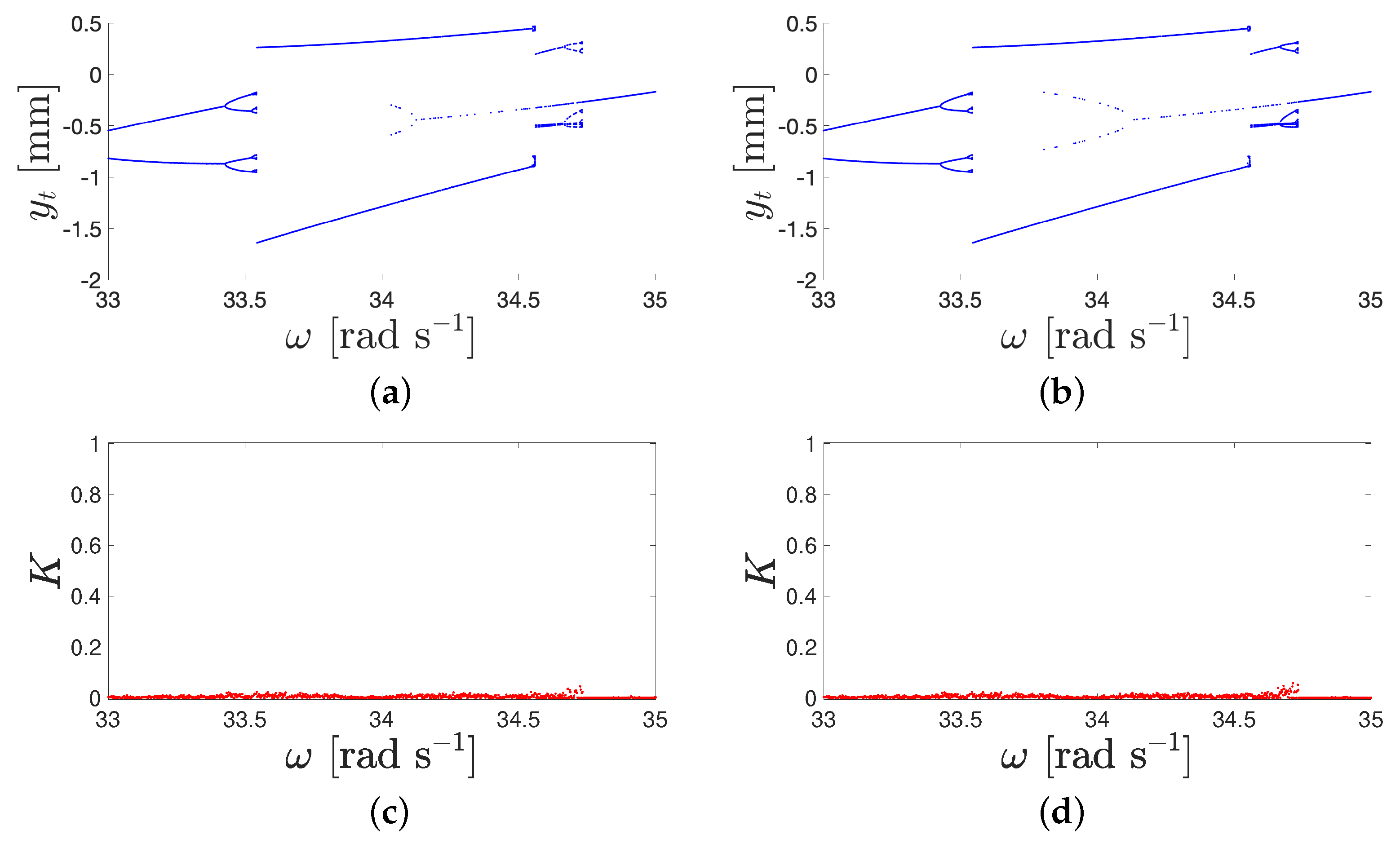
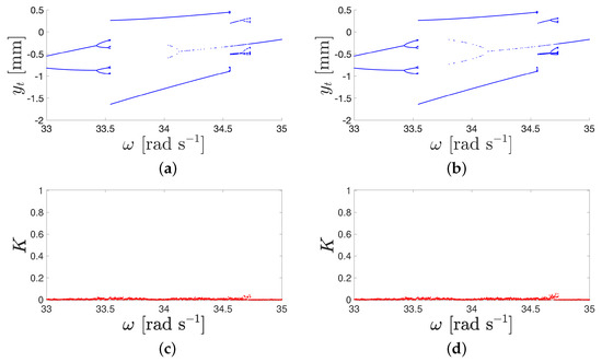
The effect of computational disturbances is characterized by different precision levels of Tol = and Tol = , and is distinctly observable in the bifurcation diagrams presented in Figure 6a,b and Figure 7a,b. These diagrams correspond to frequency ranges of rad and rad . The associated outcomes K are displayed in Figure 6c,d and Figure 7c,d, respectively.
Figure 6.
The expanded bifurcation diagrams presented in (a,b) and the resulting values K depicted in (c,d) scrutinize the variation in excitation frequency within the range rad . These results are showcased for Tol = in (a) and Tol = in (b).
Figure 7.
The expanded bifurcation diagrams presented in (a,b) and the resulting values K depicted in (c,d) examine the variation in excitation frequency within the range rad . These results are illustrated for Tol = in (a) and Tol = in (b).
Upon closer examination, distinct localized discrepancies emerge within these magnified views. However, further discussion will demonstrate that the corresponding solutions remain physically valid and that the observed variations stem from numerical artifacts inherent to the computational model which effectively act as external perturbations.
Figure 8a and Figure 9a illustrate the time evolution of the vertical displacement of the ball’s center, denoted as , for an excitation frequency of rad , evaluated under two different numerical precision settings. This particular frequency was deliberately chosen due to the presence of multiple solution behaviors. As evidenced in the bifurcation diagrams, this has a pronounced impact.
Figure 8.
The time history presented in (a) and the graph of showcased in (b) for with an excitation frequency of rad and Tol = highlight the distinct phases of the motion. The black segment corresponds to the run-up phase, the violet segment represents the transient phase, and the blue segment signifies the steady-state portion.
Figure 9.
The time record depicted in (a) and the graph of illustrated in (b) for with an excitation frequency of rad and Tol = show the different phases of the motion. The black portion corresponds to the run-up phase, while the violet part represents the steady-state portion.
The findings emphasize the significance of numerical disturbances in the computations, where inaccuracies influence the system’s response. The effect of these disturbances is apparent in the bifurcation structure, leading to shifts in the motion characteristics under Tol = .
The correctness of the derived time histories was validated through the kinetic energy change theorem. Throughout the entire simulation period, the relative parameter remained consistently at zero, as depicted in Figure 8b and Figure 9b.
Figure 10 illustrates how variations in disturbances influence the time evolution of the ball center position as well as its corresponding Fourier transform and phase trajectory. This phenomenon is examined for two excitation frequencies, rad and rad .

Figure 10.
The temporal evolution of captured in time records (a1–a4), accompanied by phase portraits (b1–b4) and FFT analyses (c1–c4) for two distinct excitation frequencies of rad in (a1,b1,c1,a2,b2,c2) and rad in (a3,b4,c4). The results are presented for computational precisions of Tol = in (a1,b1,c1,a3,b3,c3) and Tol = in (a2,b2,c2,a4,b4,c4).
These two study cases were selected in order to illustrate the influence of varying excitation frequency on the dynamic behavior of the investigated nonlinear system. Specifically, the first case, corresponding to an excitation frequency of rad , represents a critical (borderline) value at which the system undergoes a transition from chaotic to regular motion (Figure 6). This frequency lies near a bifurcation point, where small changes in the system parameters or initial conditions can lead to a significant qualitative shift in the system’s response. In contrast, the second case of rad represents a scenario where regularity is maintained; however, the resulting motion exhibits increased structural complexity (Figure 7). For example, this may correspond to a higher-order periodic or quasiperiodic regime in which the system remains predictable but displays richer dynamical features. These cases were chosen in order to highlight the system’s sensitivity to excitation frequency and to demonstrate the mechanisms by which nonlinear dynamics evolve between chaos and regularity.
Differences in computational precision at identical excitation frequencies can lead to variations in vibration periods or even alter the nature of the oscillatory motion. These discrepancies are summarized in Table 2.
Table 2.
Outcomes of K applied to (1) across various values and Tol settings.
Notably, even when the excitation frequency remains unchanged, different disturbances can induce shifts in the system’s behavior, causing transitions between regular and chaotic motion or resulting in distinct periodic responses.
The validity of the results presented in Figure 10 was substantiated through application of the time change of kinetic energy theorem. The fulfillment of this theorem is apparent from Figure 11, showing the correctness of the obtained computational solution for the investigated system modeled by (1).

Figure 11.
Graphs illustrating (a1–a4), (b1–b4), and (c1–c4) for excitation frequencies of rad in (a1,b1,c1,a2,b2,c2) and rad in (a3,b3,c3,a4,b4,c4). The results are displayed for computational precisions of Tol = in (a1,b1,c1,a3,b3,c3) and Tol = in (a2,b2,c2,a4,b4,c4).
5. Discussion
This paper presents a novel belt-impact system subjected to harmonic excitation and formulates its corresponding mathematical model. The primary focus is on investigating the system’s dynamic response, particularly the influence of small perturbations, which are introduced here through numerical discretization and round-off errors of the employed solver. This modeling approach offers a unique perspective on the role of computational disturbances in nonlinear dynamics.
The system is described by a set of two second-order non-autonomous differential equations. The equations are numerically integrated using MATLAB’s ode45 solver, which is a Runge–Kutta method. Simulations were performed on the Karolina supercomputer at IT4Innovations National Supercomputing Center in Ostrava, Czech Republic.
To characterize the system’s dynamics, bifurcation analysis and the 0–1 test for chaos were conducted, with special emphasis on the excitation frequency. Due to the presence of transient (run-up) behavior, our analysis was limited to the final fifth of each trajectory. Because the non-autonomous nature of the system complicates direct Lyapunov exponent computation, the 0–1 test served as a robust alternative. The results indicate that even minimal numerical disturbances can induce qualitative changes in motion, ranging from regular to chaotic regimes.
To ensure the physical relevance of our simulations, the energy evolution theorem was used as a consistency check. The results are summarized in Table 2 and supported by time histories, phase portraits, bifurcation diagrams, and spectral (FFT) analysis, revealing hidden and coexisting attractors, which is in agreement with previous studies [25,26,27].
Two excitation frequencies were selected to illustrate critical behavioral transitions. The first case, at 28 Hz, lies near a bifurcation threshold where the system transitions from chaotic to regular behavior. The second case maintains regularity, but with increased structural complexity, potentially corresponding to higher-order periodic or quasiperiodic motion. These examples emphasize the sensitivity of nonlinear systems to both parameter variations and computational noise.
6. Conclusions
This research has highlighted the significant impact of small perturbations, modeled here as numerical round-off and discretization errors, on the vibrational behavior of a nonlinear belt-impact system. Key contributions include the following:
- We introduce a novel modeling approach that treats numerical disturbances as intrinsic perturbations.
- We demonstrating that such perturbations can lead to drastically different motion patterns under otherwise identical excitation conditions.
In practical engineering applications, systems rarely operate under idealized conditions; manufacturing tolerances, environmental influences, and unpredictable loads can all introduce deviations from nominal parameters. This study shows that even minor disturbances can cause abrupt qualitative changes in system behavior, including the onset of chaos. Such transitions may have serious implications, particularly in safety-critical systems, as illustrated by real-world incidents such as YF-22 and Gripen crashes caused by pilot-induced oscillations [18].
Our findings underscore the necessity of accounting for both numerical and physical perturbations during the design and stability analysis of nonlinear dynamic systems.
Author Contributions
Conceptualization, M.L. and J.Z.; methodology, M.L. and J.Z.; software, M.L. and J.Z.; validation, M.L. and J.Z.; formal analysis, M.L. and J.Z.; investigation, M.L. and J.Z.; resources, M.L.; data curation, M.L.; writing—original draft preparation, M.L. and J.Z.; writing—review and editing, M.L. and J.Z.; visualization, M.L.; supervision, M.L. and J.Z.; project administration, M.L.; funding acquisition, M.L. and J.Z. All authors have read and agreed to the published version of the manuscript.
Funding
This work was supported by the Ministry of Education, Youth and Sports of the Czech Republic through the e-INFRA CZ (ID:90254), with the financial support of the European Union under the REFRESH—Research Excellence For REgionSustainability and High-tech Industries project number CZ.10.03.01/00/22_003/0000048 via the Operational Programme Just Transition, by the Grants of SGS No. SGS2025/049, VSB-Technical University of Ostrava, Czech Republic; and by Research project of the Institute of Thermomechanics RVO: 61388998.
Data Availability Statement
The data presented in this study are available on request from the corresponding author.
Conflicts of Interest
The authors declare no conflicts of interest.
References
- Suweken, G.; Van Horssen, W. On the transversal vibrations of a conveyor belt with a low and time-varying velocity. Part I: The string-like case. J. Sound Vib. 2003, 264, 117–133. [Google Scholar] [CrossRef]
- Wickert, J.A.; Mote, C.D. Linear transverse vibration of an axially moving string-particle system. J. Acoust. Soc. Am. 1988, 84, 963–969. [Google Scholar] [CrossRef]
- Pellicano, F.; Vestroni, F. Nonlinear dynamics and bifurcations of an axially moving beam. J. Vib. Acoust. Trans. ASME 2000, 122, 21–30. [Google Scholar] [CrossRef]
- Harrison, A. Determination of the natural frequencies of transverse vibration for conveyor belts with orthotropic properties. J. Sound Vib. 1986, 110, 483–493. [Google Scholar] [CrossRef]
- Andrianov, I.V.; van Horssen, W.T. On the transversal vibrations of a conveyor belt: Applicability of simplified models. J. Sound Vib. 2008, 313, 822–829. [Google Scholar] [CrossRef]
- Zhang, S.; Tang, Y. Optimal Control of Operation Efficiency of Belt Conveyor. In Proceedings of the 2011 Asia-Pacific Power and Energy Engineering Conference, Wuhan, China, 25–28 March 2011; pp. 1–4. [Google Scholar] [CrossRef]
- Bortnowski, P.; Król, R.; Nowak-Szpak, A.; Ozdoba, M. A Preliminary Studies of the Impact of a Conveyor Belt on the Noise Emission. Sustainability 2022, 14, 2785. [Google Scholar] [CrossRef]
- Chen, G.S.; Zheng, H.; Qatu, M. Decomposition of noise sources of synchronous belt drives. J. Sound Vib. 2013, 332, 2239–2252. [Google Scholar] [CrossRef]
- Genta, G. Vibration Dynamics and Control; Springer: New York, NY, USA, 2009. [Google Scholar]
- Lampart, M.; Martinovič, T. Chaotic behavior of the CML model with respect to the state and coupling parameters. J. Math. Chem. 2019, 57, 1670–1681. [Google Scholar] [CrossRef]
- Lorenz, E.N. Computational chaos-a prelude to computational instability. Phys. Nonlinear Phenom. 1989, 35, 299–317. [Google Scholar] [CrossRef]
- Lorenz, E.N. Computational periodicity as observed in a simple system. Tellus Ser. Dyn. Meteorol. Oceanogr. 2006, 58, 549–557. [Google Scholar] [CrossRef]
- Liao, S. On the reliability of computed chaotic solutions of non-linear differential equations. Tellus Dyn. Meteorol. Oceanogr. 2008, 61, 550–564. [Google Scholar] [CrossRef]
- Liao, S.; Qin, S. Ultra-Chaos: An Insurmountable Objective Obstacle of Reproducibility and Replication. Adv. Appl. Math. Mech. 2021, 14, 799–815. [Google Scholar] [CrossRef]
- Qin, S.; Liao, S. A kind of Lagrangian chaotic property of the Arnold–Beltrami–Childress flow. J. Fluid Mech. 2023, 960, A15. [Google Scholar] [CrossRef]
- Qin, S.; Liao, S. Large-scale influence of numerical noises as artificial stochastic disturbances on a sustained turbulence. J. Fluid Mech. 2022, 948, A7. [Google Scholar] [CrossRef]
- Gilkeson, C.; Toropov, V.; Thompson, H.; Wilson, M.; Foxley, N.; Gaskell, P. Dealing with numerical noise in CFD-based design optimization. Comput. Fluids 2014, 94, 84–97. [Google Scholar] [CrossRef]
- Andrievsky, B.; Kuznetsov, N.V.; Kuznetsova, O.A. Hidden Nonlinear Oscillations in Controlled Aircraft with Saturated Inputs. In Proceedings of the 2018 15th International Conference on Control, Automation, Robotics and Vision, ICARCV, Singapore, 18–21 November 2018; pp. 704–709. [Google Scholar] [CrossRef]
- Garfinkel, A.; Shevtsov, J.; Guo, Y. Modeling Life: The Mathematics of Biological Systems; Modeling Life: The Mathematics of Biological Systems; Springer International Publishing AG: New York, NY, USA, 2017; pp. 1–445. [Google Scholar]
- Georg Rill, A.A.C. Road Vehicle Dynamics Fundamentals and Modeling with MATLAB; CRC Press: Boca Raton, FL, USA, 2022. [Google Scholar]
- Lampart, M.; Zapoměl, J. The disturbance influence on vibration of a belt device driven by a crank mechanism. Chaos Solitons Fractals 2023, 173, 113634. [Google Scholar] [CrossRef]
- MATLAB, Version R2015b; The MathWorks, Inc.: Natick, MA, USA, 2015. Available online: https://www.mathworks.com/products/matlab.html (accessed on 4 March 2025).
- MATLAB: Relative Tolerance, 2022. Available online: https://www.mathworks.com/help/simulink/gui/relative-tolerance.html (accessed on 17 July 2022).
- MATLAB: Absolute Tolerance. Available online: https://www.mathworks.com/help/simulink/gui/absolute-tolerance.html (accessed on 17 July 2022).
- Kuznetsov, N.V. Hidden Attractors in Fundamental Problems and Engineering Models: A Short Survey. In Proceedings of the AETA 2015: Recent Advances in Electrical Engineering and Related Sciences; Duy, V.H., Dao, T.T., Zelinka, I., Choi, H.S., Chadli, M., Eds.; Springer: Cham, Switzerland, 2016; pp. 13–25. [Google Scholar] [CrossRef]
- Leonov, G.A.; Kuznetsov, N.V. Hidden attractors in dynamical systems: From hidden oscillations in hilbert-kolmogorov, Aizerman, and Kalman problems to hidden chaotic attractor in chua circuits. Int. J. Bifurc. Chaos 2013, 23, 1330002. [Google Scholar] [CrossRef]
- Danca, M.F.; Lampart, M. Hidden and self-excited attractors in a heterogeneous Cournot oligopoly model. Chaos Solitons Fractals 2021, 142, 110371. [Google Scholar] [CrossRef]
Disclaimer/Publisher’s Note: The statements, opinions and data contained in all publications are solely those of the individual author(s) and contributor(s) and not of MDPI and/or the editor(s). MDPI and/or the editor(s) disclaim responsibility for any injury to people or property resulting from any ideas, methods, instructions or products referred to in the content. |
© 2025 by the authors. Licensee MDPI, Basel, Switzerland. This article is an open access article distributed under the terms and conditions of the Creative Commons Attribution (CC BY) license (https://creativecommons.org/licenses/by/4.0/).












