Design of Active Posture Controller for Trailing-Arm Vehicle: Improving Path-Following and Handling Stability
Abstract
1. Introduction
- The swinging motion of each arm can directly change the length of the wheelbase. Through active allocation of the front and rear wheelbases, additional yaw resistance is generated.
- The varying wheelbases resulting from the swinging motion of the arms affect tire slip angles, thereby impacting the lateral forces exerted by the tires.
- Changes in the vehicle’s posture resulting from variable wheelbases affect the transfer of load within the sprung mass, thereby altering the left and right track widths.
- Consequently, these changes influence the vertical forces exerted by the tires, which in turn affect the lateral tire forces.
2. Modeling of Trajectory and TAV Dynamics
2.1. Path-Following Model
2.2. Inverse Kinematics of the TAV Body
2.3. Load Transfer Model
2.4. Tire Model
2.5. TAV Lateral Dynamics
3. Controllers Development
3.1. Overview
3.2. NMPC Formulation
3.3. Middle-Level Controller
3.4. Lower-Level Controller
4. Simulation Results
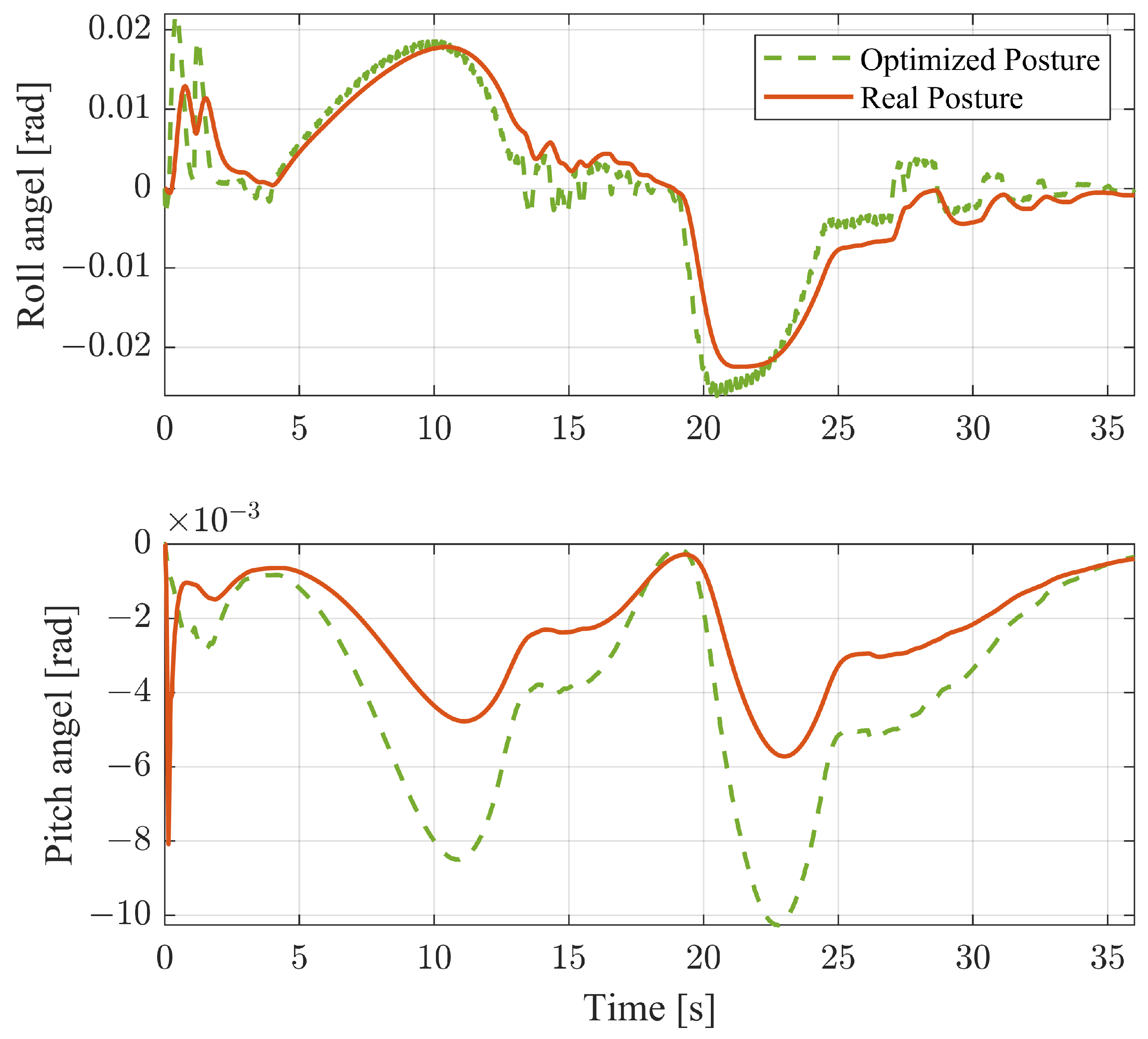
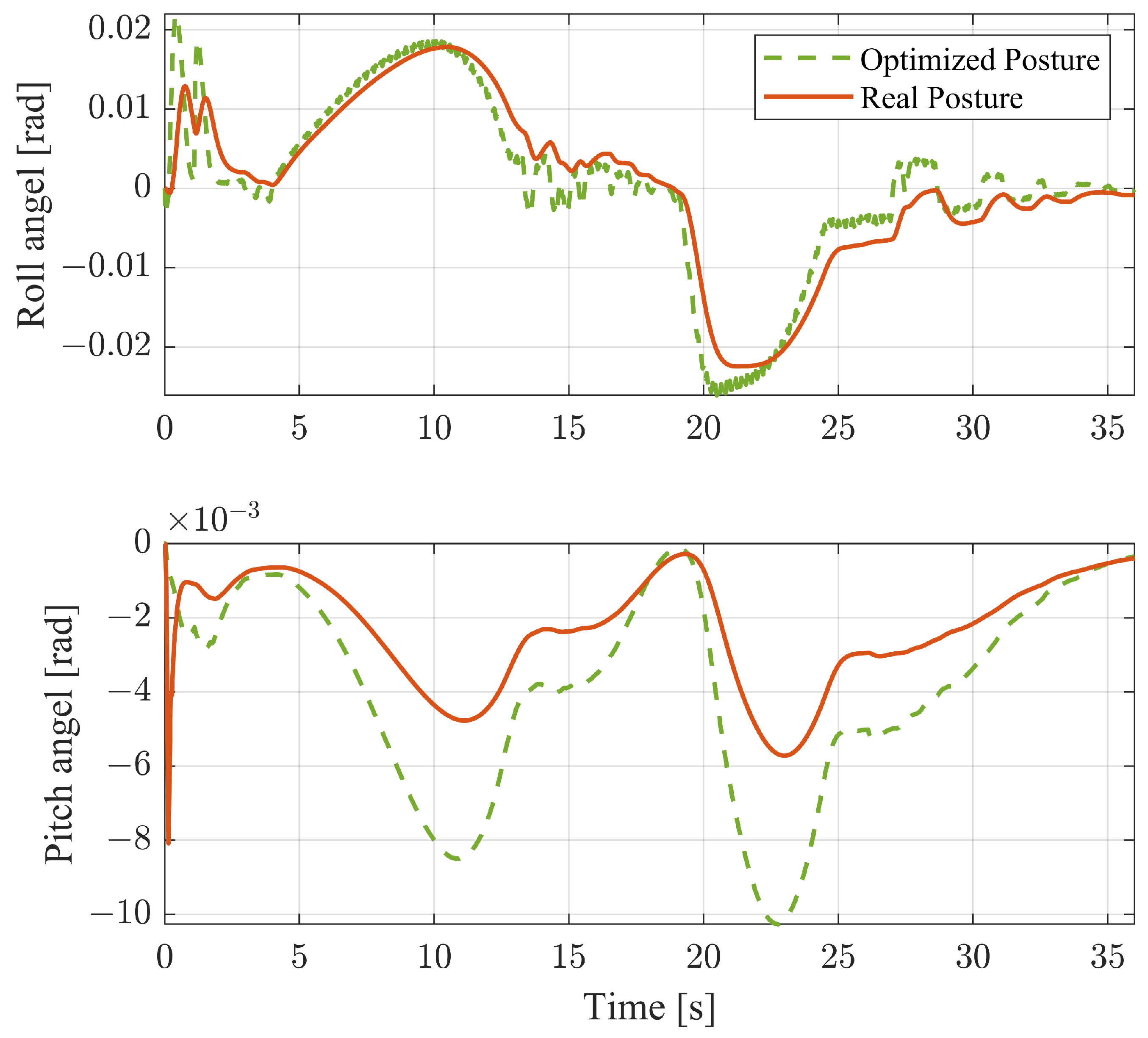
4.1. Lane-Keeping Results
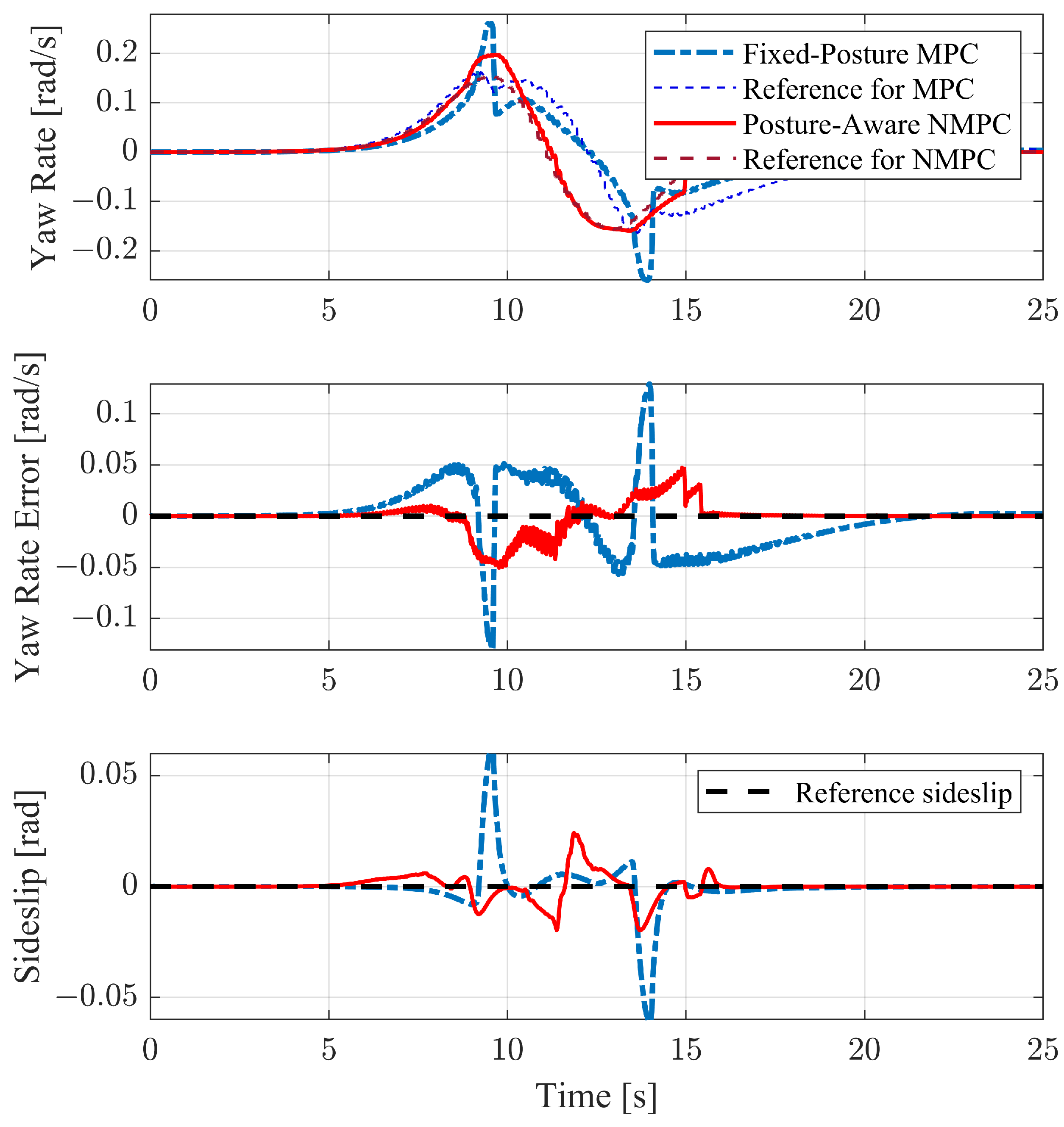
4.2. S-Turn Results: Smaller Curvature Case
4.3. S-Turn Results: Larger Curvature Case
5. Conclusions
Author Contributions
Funding
Data Availability Statement
Conflicts of Interest
Abbreviations
| APC | Active Posture Control |
| CoM | Center of Mass |
| DYC | Direct Yaw-moment Control |
| LQR | Linear Quadratic Regulator |
| TAV | Trailing-arm Vehicle |
| MPC | Model Predictive Control |
| NLP | Nonlinear Programming |
| NMPC | Nonlinear Model Predictive Control |
| PPC | Pure Pursuit Control |
| PC | Posture Cone |
| PD | Proportional–Derivative (Controller) |
| RI | Rollover Index |
| magic formula parameters | |
| rollover index gains | |
| lateral and heading errors | |
| total traction force | |
| longitudinal, lateral and vertical tire forces of each corner | |
| nominal tire vertical force | |
| h | height of body CoM |
| heights of sprung and unsprung masses | |
| prediction and control horizons | |
| index for front (1) and rear (2) | |
| index for left (1) and right (2) | |
| yaw inertia of vehicle | |
| nominal yaw inertia of vehicle | |
| yaw rate generator gains | |
| effective torsional stiffness and damping in roll direction | |
| nominal cornering stiffness | |
| cornering stiffness of each corner | |
| wheelbase of each corner | |
| L | bias from body CoM to hip (front or rear) |
| length of trailing arm | |
| sprung and unsprung masses | |
| tire cornering stiffness parameters | |
| nominal trailing-arm angle | |
| trailing-arm angle of each corner | |
| weights of NMPC | |
| effective wheel radius | |
| vehicle longitudinal and lateral speeds | |
| wheel speed of each corner | |
| w | track width when zero rolling |
| track width of each corner | |
| wheel slip of each corner | |
| sideslip of vehicle body | |
| vehicle yaw rate | |
| coefficients in load transfer model | |
| diagonal lengths of posture cone | |
| path curvature | |
| trailing-arm torque of each corner | |
| wheel torque of each corner | |
| rolling and pitching of vehicle body | |
| wheel longitudinal slip | |
| desired and actual heading | |
| wheel speed of each corner |
References
- Niu, J.; Wang, H.; Shi, H.; Pop, N.; Li, D.; Li, S.; Wu, S. Study on Structural Modeling and Kinematics Analysis of a Novel Wheel-Legged Rescue Robot. Int. J. Adv. Robot. Syst. 2018, 15, 172988141775275. [Google Scholar] [CrossRef]
- Klamt, T.; Rodriguez, D.; Baccelliere, L.; Chen, X.; Chiaradia, D.; Cichon, T.; Gabardi, M.; Guria, P.; Holmquist, K.; Kamedula, M.; et al. Flexible Disaster Response of Tomorrow: Final Presentation and Evaluation of the CENTAURO System. IEEE Robot. Autom. Mag. 2019, 26, 59–72. [Google Scholar] [CrossRef]
- Zheng, J.; Gao, H.; Yuan, B.; Liu, Z.; Yu, H.; Ding, L.; Deng, Z. Design and Terramechanics Analysis of a Mars Rover Utilising Active Suspension. Mech. Mach. Theory 2018, 128, 125–149. [Google Scholar] [CrossRef]
- Sravya, R.; Sreeja, S. Design and Simulation of Interplanetary Lunar Rover. Mater. Today Proc. 2023. [Google Scholar] [CrossRef]
- Banerjee, S.; Balamurugan, V.; Krishnakumar, R. Ride Comfort Analysis of Math Ride Dynamics Model of Full Tracked Vehicle with Trailing Arm Suspension. Procedia Eng. 2016, 144, 1110–1118. [Google Scholar] [CrossRef]
- Devesh, M.; Manigandan, R.; Banerjee, S.; Mailan, L.B. Development of Sprung Mass Non-Linear Mathematical Model of Pitch Dynamics with Trailing Arm Suspension. Vibroeng. Procedia 2021, 37, 1–6. [Google Scholar] [CrossRef]
- Kazemi, M.; Heydari Shirazi, K.; Ghanbarzadeh, A. Optimization of Semi-Trailing Arm Suspension for Improving Handling and Stability of Passenger Car. Proc. Inst. Mech. Eng. Part K J. Multi-Body Dyn. 2012, 226, 108–121. [Google Scholar] [CrossRef]
- Wang, G.; Zhang, M.; Liang, H.; Xu, L. Simulation Research on PID Control of New Trailing Arm Active Suspension Based on Genetic Algorithm Optimization. In Proceedings of the 2022 IEEE 2nd International Conference on Data Science and Computer Application (ICDSCA), Dalian, China, 28–30 October 2022; pp. 1054–1058. [Google Scholar] [CrossRef]
- Ding, X.; Zheng, Y.; Xu, K. Wheel-Legged Hexapod Robots: A Multifunctional Mobile Manipulating Platform. Chin. J. Mech. Eng. 2017, 30, 3–6. [Google Scholar] [CrossRef]
- Sun, J.; Sun, Z.; Li, J.; Wang, C.; Jing, X.; Wei, Q.; Liu, B.; Yan, C. TeCVP: A Time-Efficient Control Method for a Hexapod Wheel-Legged Robot Based on Velocity Planning. Sensors 2023, 23, 4051. [Google Scholar] [CrossRef]
- Li, J.; He, J.; Xing, Y.; Gao, F. Towards Uniform Normal Force Distribution by Roll and Height Control for a Planetary Rover with Active Suspension. In Proceedings of the 2021 27th International Conference on Mechatronics and Machine Vision in Practice (M2VIP), Shanghai, China, 26–28 November 2021; pp. 275–280. [Google Scholar] [CrossRef]
- Pan, Z.; Li, B.; Zhou, S.; Liu, S.; Niu, Z.; Wang, R. Distributed MPC-based Posture Control for Knee-Wheeled Wheel-Legged Robots with Multi-Actuation. Proc. Inst. Mech. Eng. Part D J. Automob. Eng. 2023, 09544070231198901. [Google Scholar] [CrossRef]
- Zheng, J.; Liu, Z.; Gao, H.; Yu, H.; Deng, Z. A Novel Active Deform and Wheel-Legged Suspension of Mars Rover. In Proceedings of the 2016 IEEE International Conference on Robotics and Biomimetics (ROBIO), Qingdao, China, 3–7 December 2016; pp. 7–12. [Google Scholar] [CrossRef]
- Samuel, M.; Hussein, M.; Mohamad, M.B. A Review of Some Pure-Pursuit Based Path Tracking Techniques for Control of Autonomous Vehicle. Int. J. Comput. Appl. 2016, 135, 35–38. [Google Scholar] [CrossRef]
- Ollero, A.; Heredia, G. Stability Analysis of Mobile Robot Path Tracking. In Proceedings of the 1995 IEEE/RSJ International Conference on Intelligent Robots and Systems. Human Robot Interaction and Cooperative Robots, Pittsburgh, PA, USA, 5–9 August 1995; Volume 3, pp. 461–466. [Google Scholar] [CrossRef]
- Rajagopalan, V.; Mericli, C.; Kelly, A. Slip-Aware Model Predictive Optimal Control for Path Following. In Proceedings of the 2016 IEEE International Conference on Robotics and Automation (ICRA), Stockholm, Sweden, 16–21 May 2016; pp. 4585–4590. [Google Scholar] [CrossRef]
- Ahn, J.; Shin, S.; Kim, M.; Park, J. Accurate Path Tracking by Adjusting Look-Ahead Point in Pure Pursuit Method. Int. J. Automot. Technol. 2021, 22, 119–129. [Google Scholar] [CrossRef]
- Kim, S.; Lee, J.; Han, K.; Choi, S.B. Vehicle Path Tracking Control Using Pure Pursuit With MPC-Based Look-Ahead Distance Optimization. IEEE Trans. Veh. Technol. 2024, 73, 53–66. [Google Scholar] [CrossRef]
- Veneri, M.; Massaro, M. The Effect of Ackermann Steering on the Performance of Race Cars. Veh. Syst. Dyn. 2021, 59, 907–927. [Google Scholar] [CrossRef]
- Hu, C.; Wang, R.; Yan, F.; Chen, N. Should the Desired Heading in Path Following of Autonomous Vehicles Be the Tangent Direction of the Desired Path? IEEE Trans. Intell. Transp. Syst. 2015, 16, 3084–3094. [Google Scholar] [CrossRef]
- Geng, C.; Mostefai, L.; Denai, M.; Hori, Y. Direct Yaw-Moment Control of an In-Wheel-Motored Electric Vehicle Based on Body Slip Angle Fuzzy Observer. IEEE Trans. Ind. Electron. 2009, 56, 1411–1419. [Google Scholar] [CrossRef]
- Asiabar, A.N.; Kazemi, R. A Direct Yaw Moment Controller for a Four In-Wheel Motor Drive Electric Vehicle Using Adaptive Sliding Mode Control. Proc. Inst. Mech. Eng. Part K: J. Multi-Body Dyn. 2019, 233, 549–567. [Google Scholar] [CrossRef]
- Snider, J.M. Automatic Steering Methods for Autonomous Automobile Path Tracking. Robotics Institute, Pittsburgh, PA, Tech. Rep. CMU-RITR-09-08. 2009. Available online: https://www.ri.cmu.edu/pub_files/2009/2/Automatic_Steering_Methods_for_Autonomous_Automobile_Path_Tracking.pdf (accessed on 3 February 2009).
- Falcone, P.; Borrelli, F.; Asgari, J.; Tseng, H.E.; Hrovat, D. Predictive Active Steering Control for Autonomous Vehicle Systems. IEEE Trans. Control Syst. Technol. 2007, 15, 566–580. [Google Scholar] [CrossRef]
- Hu, C.; Wang, R.; Yan, F.; Chen, N. Output Constraint Control on Path Following of Four-Wheel Independently Actuated Autonomous Ground Vehicles. IEEE Trans. Veh. Technol. 2016, 65, 4033–4043. [Google Scholar] [CrossRef]
- Peterson, M.T.; Goel, T.; Gerdes, J.C. Exploiting Linear Structure for Precision Control of Highly Nonlinear Vehicle Dynamics. IEEE Trans. Intell. Veh. 2023, 8, 1852–1862. [Google Scholar] [CrossRef]
- Allgöwer, F.; Findeisen, R.; Nagy, Z.K. Nonlinear Model Predictive Control: From Theory to Application. Nonlinear Model Predict. Control 2004, 35, 299–315. [Google Scholar]
- Johansen, T.A. Approximate Explicit Receding Horizon Control of Constrained Nonlinear Systems. Automatica 2004, 40, 293–300. [Google Scholar] [CrossRef]
- Wang, R.; Zhang, H.; Wang, J.; Yan, F.; Chen, N. Robust Lateral Motion Control of Four-Wheel Independently Actuated Electric Vehicles with Tire Force Saturation Consideration. J. Frankl. Inst. 2015, 352, 645–668. [Google Scholar] [CrossRef]
- Gray, A.; Gao, Y.; Lin, T.; Hedrick, J.K.; Tseng, H.E.; Borrelli, F. Predictive Control for Agile Semi-Autonomous Ground Vehicles Using Motion Primitives. In Proceedings of the 2012 American Control Conference (ACC), Montreal, QC, Canada, 27–29 June 2012; pp. 4239–4244. [Google Scholar] [CrossRef]
- Li, L.; Lu, Y.; Wang, R.; Chen, J. A Three-Dimensional Dynamics Control Framework of Vehicle Lateral Stability and Rollover Prevention via Active Braking With MPC. IEEE Trans. Ind. Electron. 2017, 64, 3389–3401. [Google Scholar] [CrossRef]
- Choi, C.; Kang, Y. Simultaneous Braking and Steering Control Method Based on Nonlinear Model Predictive Control for Emergency Driving Support. Int. J. Control Autom. Syst. 2017, 15, 345–353. [Google Scholar] [CrossRef]
- Falcone, P.; Eric Tseng, H.; Borrelli, F.; Asgari, J.; Hrovat, D. MPC-based Yaw and Lateral Stabilisation via Active Front Steering and Braking. Veh. Syst. Dyn. 2008, 46, 611–628. [Google Scholar] [CrossRef]
- Fu, T.; Zhou, H.; Liu, Z. NMPC-Based Path Tracking Control Strategy for Autonomous Vehicles with Stable Limit Handling. IEEE Trans. Veh. Technol. 2022, 71, 12499–12510. [Google Scholar] [CrossRef]
- Miège, A.J.P.; Cebon, D. Active Roll Control of an Experimental Articulated Vehicle. Proc. Inst. Mech. Eng. Part D J. Automob. Eng. 2005, 219, 791–806. [Google Scholar] [CrossRef]
- Čorić, M.; Deur, J.; Xu, L.; Tseng, H.E.; Hrovat, D. Optimisation of Active Suspension Control Inputs for Improved Performance of Active Safety Systems. Veh. Syst. Dyn. 2018, 56, 1–26. [Google Scholar] [CrossRef]
- Liang, W.; Ahmac, E.; Khan, M.A.; Youn, I. Integration of Active Tilting Control and Full-Wheel Steering Control System on Vehicle Lateral Performance. Int. J. Automot. Technol. 2021, 22, 979–992. [Google Scholar] [CrossRef]
- Skjetne, R.; Fossen, T. Nonlinear Maneuvering and Control of Ships. In Proceedings of the MTS/IEEE Oceans 2001. An Ocean Odyssey. Conference Proceedings (IEEE Cat. No.01CH37295), Honolulu, HI, USA, 5–8 November 2001; Volume 3, pp. 1808–1815. [Google Scholar] [CrossRef]
- Pacejka, H. Tire and Vehicle Dynamics; Elsevier: Amsterdam, The Netherlands, 2012. [Google Scholar]
- Ataei, M.; Khajepour, A.; Jeon, S. Model Predictive Rollover Prevention for Steer-by-Wire Vehicles with a New Rollover Index. Int. J. Control 2020, 93, 140–155. [Google Scholar] [CrossRef]
- Wang, R.; Hu, C.; Yan, F.; Chadli, M. Composite Nonlinear Feedback Control for Path Following of Four-Wheel Independently Actuated Autonomous Ground Vehicles. IEEE Trans. Intell. Transp. Syst. 2016, 17, 2063–2074. [Google Scholar] [CrossRef]





















| Parameters | Units | Values | |
|---|---|---|---|
| Vehicle | Body mass | kg | 1500 |
| Yaw inertia | kg·m2 | 1270.73 | |
| Yaw inertia | kg·m2 | 1270.73 | |
| Left/right hip width | m | 1.5 | |
| Front/rear hip base | m | 2 | |
| Trailing arm length | m | 0.6 | |
| Unloaded wheel radius | m | 0.35 | |
| Tire | Cornering stiffness | N/rad | 1.18 × 105 |
| Vertical stiffness | N/m | 2.39 × 105 | |
| Vertical damping | N/(m/s) | 500 | |
| Nominal vertical force | N | 5000 | |
| pky1 | / | 26.8535 | |
| pky2 | / | 1.676 | |
| pky3 | / | 1.4902 | |
| Gravitational acceleration | m/ | 9.8066 | |
| Tire–road friction coefficient | / | 0.65 | |
Disclaimer/Publisher’s Note: The statements, opinions and data contained in all publications are solely those of the individual author(s) and contributor(s) and not of MDPI and/or the editor(s). MDPI and/or the editor(s) disclaim responsibility for any injury to people or property resulting from any ideas, methods, instructions or products referred to in the content. |
© 2024 by the authors. Licensee MDPI, Basel, Switzerland. This article is an open access article distributed under the terms and conditions of the Creative Commons Attribution (CC BY) license (https://creativecommons.org/licenses/by/4.0/).
Share and Cite
Pan, Z.; Li, B.; Zhou, S.; Liu, S.; Chen, S.; Wang, R. Design of Active Posture Controller for Trailing-Arm Vehicle: Improving Path-Following and Handling Stability. Machines 2024, 12, 493. https://doi.org/10.3390/machines12070493
Pan Z, Li B, Zhou S, Liu S, Chen S, Wang R. Design of Active Posture Controller for Trailing-Arm Vehicle: Improving Path-Following and Handling Stability. Machines. 2024; 12(7):493. https://doi.org/10.3390/machines12070493
Chicago/Turabian StylePan, Zheng, Boyuan Li, Shiyu Zhou, Shaoxun Liu, Shouyuan Chen, and Rongrong Wang. 2024. "Design of Active Posture Controller for Trailing-Arm Vehicle: Improving Path-Following and Handling Stability" Machines 12, no. 7: 493. https://doi.org/10.3390/machines12070493
APA StylePan, Z., Li, B., Zhou, S., Liu, S., Chen, S., & Wang, R. (2024). Design of Active Posture Controller for Trailing-Arm Vehicle: Improving Path-Following and Handling Stability. Machines, 12(7), 493. https://doi.org/10.3390/machines12070493

