A Robust Online Diagnostic Strategy of Inverter Open-Circuit Faults for Robotic Joint BLDC Motors †
Abstract
1. Introduction
- Development of a robust online inverter switch open-circuit fault diagnosis and identification technique.
- Finite element analysis (FEA) co-simulation results verify the efficacy of the proposed fault diagnosis technique using an optimally designed BLDC motor for robotic arms.
- Robustness analysis of the proposed detection method under various speed and load scenarios.
- A lab-scale BLDC motor-drive prototype is implemented to verify the proposed inverter fault diagnosis approach.
| Ref. | Motor Type | Diagnosis Technique | Fault Identification | Complexity | Robustness Analysis |
|---|---|---|---|---|---|
| [13] | BLDC | Current path | 🗸 | High | × |
| [23] | PMSM | Convolutional neural network | 🗸 | Medium | × |
| [24] | - | Ensemble bagged tree machine learning | 🗸 | Medium | 🗸 |
| [25] | PMSM | Feature changes of current waveforms | 🗸 | Low | 🗸 |
| Prop. | BLDC | Spectral analysis of current waveforms | 🗸 | Low | 🗸 |
2. Proposed Fault Diagnosis Methodology
2.1. Co-Simulation System Overview
2.2. Fault Diagnosis Technique
- The reference speed is compared with the measured speed and the error is minimized using a proportional integral (PI) controller. The reference current, , is therefore determined and is sent to the BLDC current controller.
- The stator currents are continuously monitored during BLDC motor operation, and Hall effect sensors are used to identify the rotor position. These measurements are received by the BLDC current controller.
- The six switches of the inverter receive high-frequency gating signals. It is important to note that one electrical cycle is the minimal time interval required for precise fault identification.

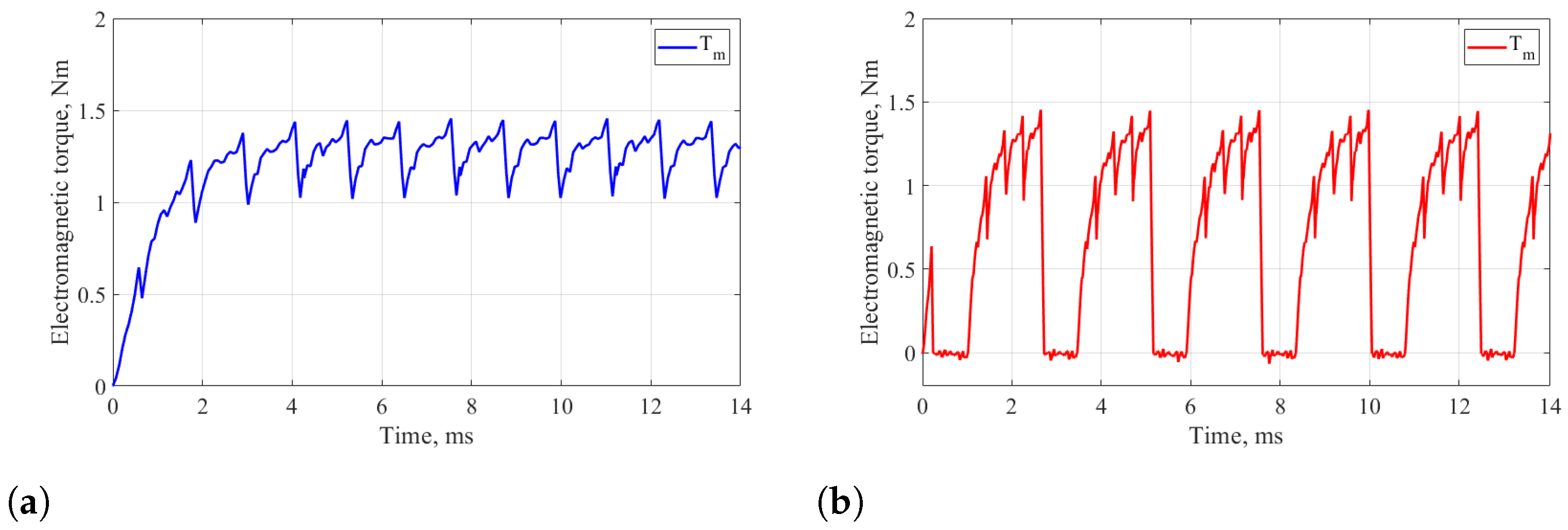
3. Co-Simulation Results
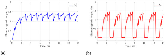
4. Experimental Verification
5. Conclusions
Author Contributions
Funding
Data Availability Statement
Conflicts of Interest
References
- Wang, W.; Gao, W.; Zhao, S.; Cao, W.; Du, Z. Robot protection in the hazardous environments. In Robots Operating in Hazardous Environments; IntechOpen: London, UK, 2017; pp. 87–107. [Google Scholar]
- Mu, Z.; Han, L.; Xu, W.; Li, B.; Liang, B. Kinematic analysis and fault-tolerant trajectory planning of space manipulator under a single joint failure. Robot. Biomim. 2016, 3, 1–10. [Google Scholar] [CrossRef] [PubMed]
- Trevelyan, J.; Hamel, W.R.; Kang, S.-C. Robotics in hazardous applications. In Springer Handbook of Robotics; Springer: Berlin/Heidelberg, Germany, 2016; pp. 1521–1548. [Google Scholar]
- Phuengsuk, R.; Suthakorn, J. A study on risk assessment for improving reliability of rescue robots. In Proceedings of the 2016 IEEE International Conference on Robotics and Biomimetics (ROBIO), Qingdao, China, 3–7 December 2016; IEEE: Piscataway, NJ, USA, 2016; pp. 667–672. [Google Scholar]
- Jung, M.Y.; Taylor, R.H.; Kazanzides, P. Safety design view: A conceptual framework for systematic understanding of safety features of medical robot systems. In Proceedings of the IEEE International Conference on Robotics and Automation (ICRA), Hong Kong, China, 31 May–7 June 2014; pp. 1883–1888. [Google Scholar]
- Mushage, B.O.; Chedjou, J.C.; Kyamakya, K. Fuzzy neural network and observer-based fault-tolerant adaptive nonlinear control of uncertain 5-dof upper-limb exoskeleton robot for passive rehabilitation. Nonlinear Dyn. 2017, 87, 2021–2037. [Google Scholar] [CrossRef]
- Vasic, M.; Billard, A. Safety issues in human-robot interactions. In Proceedings of the 2013 IEEE International Conference on Robotics and Automation, Karlsruhe, Germany, 6–10 May 2013; pp. 197–204. [Google Scholar] [CrossRef]
- Dalla, V.K.; Pathak, P.M. Power-optimized motion planning of reconfigured redundant space robot. Proc. Inst. Mech. Eng. Part I J. Syst. Control. Eng. 2019, 233, 1030–1044. [Google Scholar] [CrossRef]
- Chen, G.; Li, L.; Fu, Y.; Yuan, B.; Fei, J. Halt optimization strategy for a space manipulator with a joint-locked failure. Int. J. Aerosp. Eng. 2020, 2020. [Google Scholar] [CrossRef]
- Hwang, C.; Li, P.L.; Liu, C.-T.; Chen, C. Design and analysis of a brushless DC motor for applications in robotics. IET Electr. Power Appl. 2012, 6, 385–389. [Google Scholar] [CrossRef]
- Morel, C.; Gueux, B.L.; Rivero, S.; Chahba, S. Currents Analysis of a Brushless Motor with Inverter Faults—Part II: Diagnostic Method for Open-Circuit Fault Isolation. Actuators 2023, 12, 230. [Google Scholar] [CrossRef]
- Gautam, S.P.; Jalhotra, M.; Sahu, L.K.; Kumar, M.R.; Gupta, K.K. A Survey on Fault Tolerant and Diagnostic Techniques of Multilevel Inverter. IEEE Access 2023, 11, 60866–60888. [Google Scholar] [CrossRef]
- Li, X.; Li, S.; Chen, W.; Shi, T.; Xia, C. A Fast Diagnosis Strategy for Inverter Open-Circuit Faults Based on the Current Path of Brushless DC Motors. IEEE Trans. Power Electron. 2023, 38, 9311–9316. [Google Scholar] [CrossRef]
- Halabi, L.M.; Alsofyani, I.M.; Lee, K.-B. Multi Open-/Short-Circuit Fault-Tolerance Using Modified SVM Technique for Three-Level HANPC Converters. IEEE Trans. Power Electron. 2021, 36, 13621–13633. [Google Scholar] [CrossRef]
- Huang, W.; Luo, L.; Du, J.; Xiang, B.; Mei, S.; Zhou, L.; Fan, Q. Open-Circuit Fault Detection in PMSM Drives Using Model Predictive Control and Cost Function Error. IEEE Trans. Transp. Electrif. 2022, 8, 2667–2675. [Google Scholar] [CrossRef]
- Yan, H.; Xu, Y.; Cai, F.; Zhang, H.; Zhao, W.; Gerada, C. PWM-VSI Fault Diagnosis for a PMSM Drive Based on the Fuzzy Logic Approach. IEEE Trans. Power Electron. 2019, 34, 759–768. [Google Scholar] [CrossRef]
- Onambele, C.; Mpanda, A.; Elsied, M.; Giacchetti, F. Co-simulation modeling of high performance motor-drive systems for aerospace applications. In Proceedings of the 2017 IEEE International Electric Machines and Drives Conference (IEMDC), Miami, FL, USA, 21–24 May 2017; pp. 1–6. [Google Scholar] [CrossRef]
- Mersha, T.K.; Du, C. Co-Simulation and Modeling of PMSM Based on Ansys Software and Simulink for EVs. World Electr. Veh. J. 2022, 13, 4. [Google Scholar] [CrossRef]
- Sharma, V.K.; Usman, A.; Rajpurohit, B.S. Fault Diagnosis of BLDC Motor Drive using Vibration Spectrum Analysis: Part II. In Proceedings of the 2020 IEEE International Power and Renewable Energy Conference, Karunagappally, India, 30 October 2020–1 November 2020; pp. 1–6. [Google Scholar] [CrossRef]
- Chen, X.; Zhang, Z. Open-Circuit Fault Diagnosis of T-Type Three-Level Inverter Based on Knowledge Reduction. Sensors 2024, 24, 1028. [Google Scholar] [CrossRef] [PubMed]
- Shen, H.; Tang, X.; Luo, Y.; Xie, F.; Shi, Z. Online Open-Circuit Fault Diagnosis for Neutral Point Clamped Inverter Based on an Improved Convolutional Neural Network and Sample Amplification Method Under Varying Operating Conditions. IEEE Trans. Instrum. Meas. 2024, 73, 3512612. [Google Scholar] [CrossRef]
- Zhou, Y.; Zhao, J.; Wu, Z. A Review of Symmetry-Based Open-Circuit Fault Diagnostic Methods for Power Converters. Symmetry 2024, 16, 204. [Google Scholar] [CrossRef]
- Łuczak, D.; Brock, S.; Siembab, K. Fault Detection and Localisation of a Three-Phase Inverter with Permanent Magnet Synchronous Motor Load Using a Convolutional Neural Network. Actuators 2023, 12, 125. [Google Scholar] [CrossRef]
- Ibem, C.N.; Farrag, M.E.; Aboushady, A.A.; Dabour, S.M. Multiple Open Switch Fault Diagnosis of Three Phase Voltage Source Inverter Using Ensemble Bagged Tree Machine Learning Technique. IEEE Access 2023, 11, 85865–85877. [Google Scholar] [CrossRef]
- Luo, Y.; Zhang, L.; Chen, C.; Li, K.; Li, K. Real-Time Diagnosis of Open Circuit Faults in Three-Phase Voltage Source Inverters. IEEE Trans. Power Electron. 2024, 39, 7572–7585. [Google Scholar] [CrossRef]
- Metwly, M.Y.; Clark, L.; Xie, B.; He, J. Optimally Designed BLDC Motor Equipped with Different Winding Layouts for Robotic Arms. In Proceedings of the 2023 IEEE Energy Conversion Congress and Exposition (ECCE), Nashville, TN, USA, 29 October–2 November 2023; pp. 6093–6098. [Google Scholar] [CrossRef]
- Metwly, M.Y.; Clark, L.; Xie, B.; He, J. Robust Online Diagnosis of Inverter Open-circuit Switching Faults for Robotic Joints with BLDC Motors. In Proceedings of the 2024 IEEE Applied Power Electronics Conference and Exposition (APEC), Long Beach, CA, USA, 25–29 February 2024; pp. 2308–2313. [Google Scholar] [CrossRef]
- Suganthi, P.; Nagapavithra, S.; Umamaheswari, S. Modeling and simulation of closed loop speed control for BLDC motor. In Proceedings of the 2017 Conference on Emerging Devices and Smart Systems (ICEDSS), Mallasamudram, India, 3–4 March 2017; pp. 229–233. [Google Scholar] [CrossRef]





















| Power (W) | 157 |
| Rated speed (rpm) | 1500 |
| Rated torque (Nm) | 1 |
| DC link voltage (V) | 48 |
| Electric loading (A/mm) | 12 |
| Stator outer diameter (mm) | 68.8 |
| Stack length (mm) | 62 |
| Air gap length (mm) | 0.5 |
| Phase resistance () | 0.1646 |
| Switch | S1 | ||
|---|---|---|---|
| Phase | A | B | C |
| ESD before fault | 6191 | 6126 | 6283 |
| ESD after fault | 2296 | 5374 | 5309 |
| ESD error | −3895 | −751 | −974 |
| Switch | S4 | ||
| Phase | A | B | C |
| ESD before fault | 6203 | 6276 | 6285 |
| ESD after fault | 3625 | 7256 | 6768 |
| ESD error | −2577 | 980 | 482 |
| FSF Phase A | FSF Phase B | FSF Phase C | FPF | |
|---|---|---|---|---|
| S1 | −1 | −1 | −1 | 1 |
| S4 | −1 | 1 | 1 | 1 |
| S3 | −1 | −1 | −1 | 2 |
| S6 | 1 | −1 | 1 | 2 |
| S5 | −1 | −1 | −1 | 3 |
| S2 | 1 | 1 | −1 | 3 |
| Case | Speed (rpm) | Torque (pu) | Validity |
|---|---|---|---|
| 1 | 1500 | 0.25 | 🗸 |
| 2 | 1500 | 0.5 | 🗸 Only for phases |
| 3 | 1500 | 0.75 | 🗸 Only for phases |
| 4 | 1500 | 1 | 🗸 |
| 5 | 1000 | 1 | 🗸 Only for phases |
| 6 | 500 | 1 | × |
Disclaimer/Publisher’s Note: The statements, opinions and data contained in all publications are solely those of the individual author(s) and contributor(s) and not of MDPI and/or the editor(s). MDPI and/or the editor(s) disclaim responsibility for any injury to people or property resulting from any ideas, methods, instructions or products referred to in the content. |
© 2024 by the authors. Licensee MDPI, Basel, Switzerland. This article is an open access article distributed under the terms and conditions of the Creative Commons Attribution (CC BY) license (https://creativecommons.org/licenses/by/4.0/).
Share and Cite
Metwly, M.Y.; Logan, V.M.; Clark, C.L.; He, J.; Xie, B. A Robust Online Diagnostic Strategy of Inverter Open-Circuit Faults for Robotic Joint BLDC Motors. Machines 2024, 12, 430. https://doi.org/10.3390/machines12070430
Metwly MY, Logan VM, Clark CL, He J, Xie B. A Robust Online Diagnostic Strategy of Inverter Open-Circuit Faults for Robotic Joint BLDC Motors. Machines. 2024; 12(7):430. https://doi.org/10.3390/machines12070430
Chicago/Turabian StyleMetwly, Mohamed Y., Victor M. Logan, Charles L. Clark, Jiangbiao He, and Biyun Xie. 2024. "A Robust Online Diagnostic Strategy of Inverter Open-Circuit Faults for Robotic Joint BLDC Motors" Machines 12, no. 7: 430. https://doi.org/10.3390/machines12070430
APA StyleMetwly, M. Y., Logan, V. M., Clark, C. L., He, J., & Xie, B. (2024). A Robust Online Diagnostic Strategy of Inverter Open-Circuit Faults for Robotic Joint BLDC Motors. Machines, 12(7), 430. https://doi.org/10.3390/machines12070430

