Novel Probabilistic Collision Detection for Manipulator Motion Planning Using HNSW
Abstract
1. Introduction
- An incremental construction approach for a collision information database based on HNSW;
- A KNN query technique for linear data employing minimum threshold segmentation;
- A novel collision classifier, tailored to the kinematic characteristics of the manipulator.
2. Construction of a Collision Database Based on HNSW
2.1. Introduction to HNSW
- Hierarchical structure: HNSW constructs a multi-layered graph, with each layer being a navigable graph. The bottom layer (level 0) contains all nodes, with higher layers progressively having fewer nodes. Each node, upon insertion, is randomly assigned a maximum layer, ensuring sparsity in higher layers;
- Node insertion: A new node is first located in the highest layer graph using a greedy search to find its nearest neighbors, then moves down layer by layer, performing a local greedy search at each level until reaching level 0. At each layer, the node selectively connects to other nodes in that layer based on distance criteria;
- Connection strategy: Each node maintains a limited-size list of its perceived nearest neighbors. This constrains each node’s out-degree, maintaining the graph’s sparsity while ensuring efficient search capability.
- Initiating Search: Given a query point, the search begins at the highest layer, employing a greedy strategy to find the nearest neighbor at the current layer;
- Descending Through Layers: Once a local nearest neighbor is found at a current layer, the search moves to the next lower layer, continuing the search from this basis. This process is repeated down to level 0;
- Greedy Search: At each layer, the next closest node is greedily selected by comparing distances between the node and the query point until no closer node can be found.
2.2. Construction of Collision Database
2.3. KNN Query Method for Line Data Based on Threshold Segmentation
- (1)
- Lower Memory Requirement: It maintains the original database vector form without needing extra memory for storing augmented vectors;
- (2)
- Elimination of Post-Processing: By segmenting line data and querying neighbor data within each segment’s maximum range, it circumvents the need to filter out false positives, a step required by the LSH method;
- (3)
- Reduced Time Consumption: Utilizing the Euclidean distance for queries in the d-dimensional database minimizes computational complexity relative to the LSH’s augmented vector approach.
3. Design of Collision Classifier
4. Simulation and Results
4.1. Introduction to the Obstacle Environment and Databases
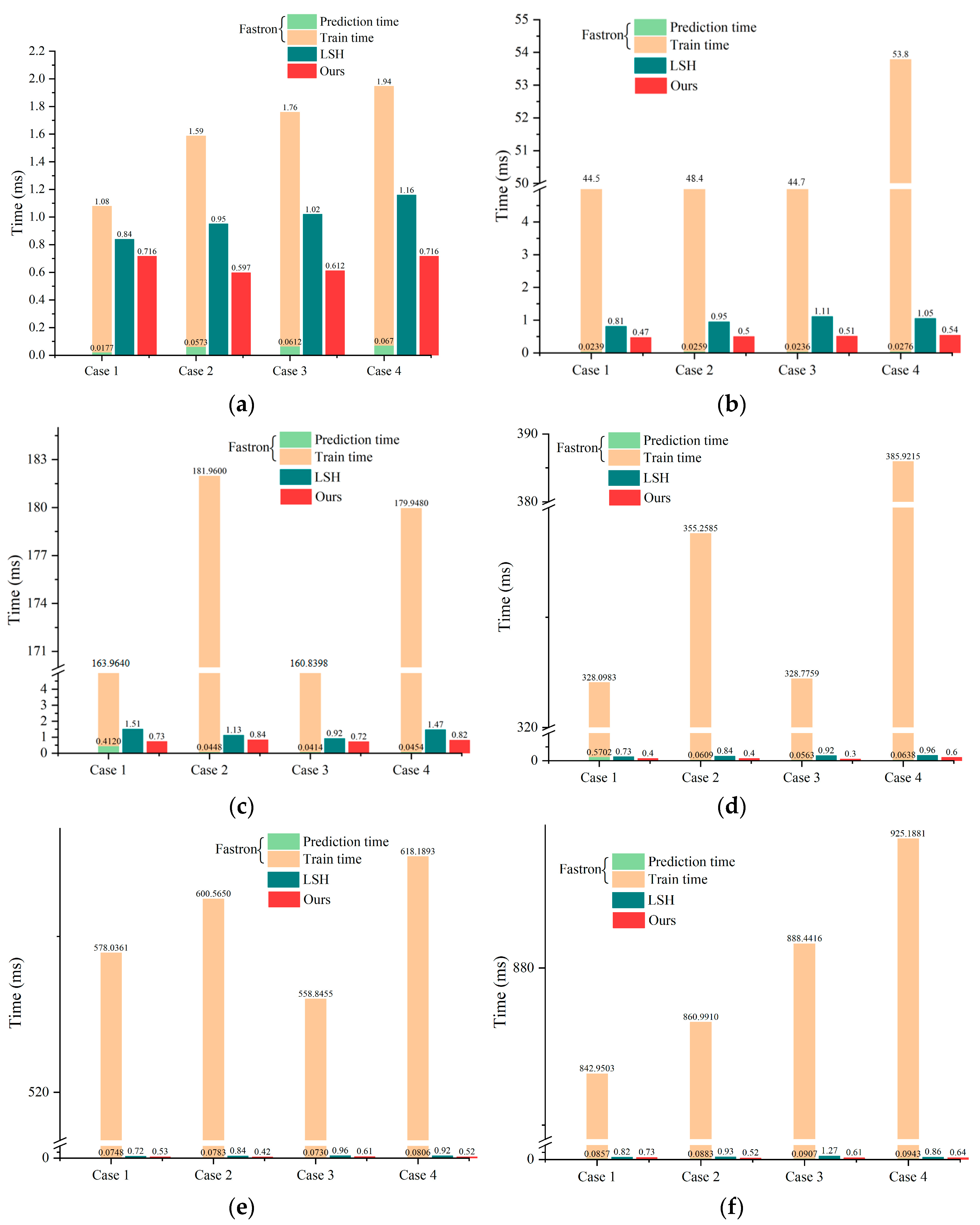
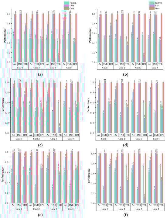
4.2. Collision Detection of a Single Node
4.3. Collision Detection of Continuous Paths
4.4. Collision Detection for Manipulators with Different Degrees of Freedom
5. Conclusions
Author Contributions
Funding
Data Availability Statement
Conflicts of Interest
Abbreviations
| Nomenclature | Definition |
| SBMP | Sampling-based motion planner |
| C-space | Confugration space |
| Cfree | Collision-free confugration space |
| KNN | K-nearest neighbors |
| ANN | Approximate nearest neighbor |
| FCL | Flexible collision library |
| LSH | Locality-sensitive hashing method |
| HNSW | Hierarchical navigable small world |
| Ac | Accuracy |
| TNR | Specificity rates |
| TPR | Sensitivity rates |
| X(τ) | Continuous path in C-space |
| τ | Path parameter |
| Q | Confugration or node |
| T | Pose matrix |
| O | Set of obstacles |
| N | The set of neighbors of a node |
| P | Position vector |
| Obs | Pose matrix of obstacles |
| M | Distance weighted matrix |
| fk(∙) | Forward kinematics |
| ρ(∙) | The distance function |
| qi | The ith joint angle |
| C | Collision label |
| r | Radius |
| d | Minimum distance between envelopes |
| p | The collision probability of a node |
| Dd | Minimum distance threshold |
| t | Collision probability threshold |
References
- Park, K.M.; Park, Y.; Yoon, S.; Park, F.C. Collision detection for robot manipulators using unsupervised anomaly detection algorithms. IEEE/ASME Trans. Mech. 2022, 27, 2841–2851. [Google Scholar] [CrossRef]
- Liu, B.; Fu, W.; Wang, W.; Li, R.; Gao, Z.; Peng, L.; Du, H. Cobot motion planning algorithm for ensuring human safety based on behavioral dynamics. Sensors 2022, 22, 4376. [Google Scholar] [CrossRef]
- Zhang, X.; Li, G.; Xiao, F.; Jiang, D.; Tao, B.; Kong, J.; Jiang, G.; Liu, Y. An inverse kinematics framework of mobile manipulator based on unique domain constraint. Mech. Mach. Theory 2023, 183, 105273. [Google Scholar] [CrossRef]
- Zhu, H.; Ding, Y. Optimized dynamic collision avoidance algorithm for USV path planning. Sensors 2023, 23, 4567. [Google Scholar] [CrossRef]
- Geng, S.; Wang, Q.; Xie, L.; Xu, C.; Cao, Y.; Gao, F. Robo-Centric ESDF: A fast and accurate whole-body collision evaluation tool for any-shape robotic planning. In Proceedings of the IEEE/RSJ International Conference on Intelligent Robots and Systems (IROS), Detroit, MI, USA, 1–5 October 2023; pp. 290–297. [Google Scholar] [CrossRef]
- Han, F.; Gao, F.; Zhou, B.; Shen, S. FIESTA: Fast Incremental euclidean distance fields for online motion planning of aerial robots. In Proceedings of the IEEE/RSJ International Conference on Intelligent Robots and Systems (IROS), Macau, China, 3–8 November 2019; pp. 4423–4430. [Google Scholar] [CrossRef]
- Nayak, S.; Otte, M.W. Bidirectional sampling-based motion planning without two-point boundary value solution. IEEE Trans. Robot. 2022, 38, 3636–3654. [Google Scholar] [CrossRef]
- Palmieri, L.; Bruns, L.; Meurer, M.; Arras, K.O. Dispertio: Optimal sampling for safe deterministic motion planning. IEEE Robot. Autom. Lett. 2019, 5, 362–368. [Google Scholar] [CrossRef]
- Chen, G.; Luo, N.; Liu, D.; Zhao, Z.; Liang, C. Path planning for manipulators based on an improved probabilistic roadmap method. Robot. Comput. Manuf. 2021, 72, 102196. [Google Scholar] [CrossRef]
- Xu, J.; Song, K.; Zhang, D.; Dong, H.; Yan, Y.; Meng, Q. Informed anytime fast marching tree for asymptotically optimal motion planning. IEEE Trans. Ind. Electron. 2020, 68, 5068–5077. [Google Scholar] [CrossRef]
- Karaman, S.; Frazzoli, E. Sampling-based algorithms for optimal motion planning. Int. J. Robot. Res. 2011, 30, 846–894. [Google Scholar] [CrossRef]
- Liu, B.; Jiang, G.; Zhao, F.; Mei, X. Collision-Free Motion Generation Based on Stochastic Optimization and Composite Signed Distance Field Networks of Articulated Robot. IEEE Robot. Autom. Let. 2023, 8, 7082–7089. [Google Scholar] [CrossRef]
- Safeea, M.; Neto, P.; Bearee, R. Efficient calculation of minimum distance between capsules and its use in robotics. IEEE Access 2018, 7, 5368–5373. [Google Scholar] [CrossRef]
- Safeea, M.; Neto, P.; Bearee, R. On-line collision avoidance for collaborative robot manipulators by adjusting off-line generated paths: An industrial use case. Robot. Auton. Syst. 2019, 119, 278–288. [Google Scholar] [CrossRef]
- Safeea, M.; Neto, P. Minimum distance calculation using laser scanner and IMUs for safe human-robot interaction. Robot. Comput.-Int. Manuf. 2019, 58, 33–42. [Google Scholar] [CrossRef]
- Jiang, L.; Liu, S.; Cui, Y.; Jiang, H. Path planning for robotic manipulator in complex multi-obstacle environment based on improved_RRT. IEEE/ASME Trans. Mechatron. 2022, 27, 4774–4785. [Google Scholar] [CrossRef]
- Gilbert, E.; Johnson, D.; Keerthi, S. A fast procedure for computing the distance between complex objects in three-dimensional space. IEEE J. Robot. Auto. 1988, 4, 193–203. [Google Scholar] [CrossRef]
- Xu, J.; Liu, Z.; Yang, C.; Li, L.; Pei, Y. A pseudo-distance algorithm for collision detection of manipulators using convex-plane-polygons-based representation. Robot. Comput.-Int. Manuf. 2020, 66, 101993. [Google Scholar] [CrossRef]
- Montanari, M.; Petrinic, N.; Barbieri, E. Improving the GJK algorithm for faster and more reliable distance queries between convex objects. ACM Trans. Graph. 2017, 36, 1–17. [Google Scholar] [CrossRef]
- Li, D.; Zhang, J.; Liu, G. Autonomous driving decision algorithm for complex multi-vehicle interactions: An efficient approach based on global sorting and local Ggaming. IEEE Trans. Intell. Transp. Syst. 2024. [Google Scholar] [CrossRef]
- Ferguson, Z.; Li, M.; Schneider, T.; Gil-Ureta, F.; Langlois, T.; Jiang, C.; Zorin, D.; Kaufman, D.M.; Panozzo, D. Intersection-free rigid body dynamics. ACM Trans. Graph. 2021, 40, 338–353. [Google Scholar] [CrossRef]
- Ströter, D.; Mueller-Roemer, J.S.; Stork, A.; Fellner, D.W. OLBVH: Octree linear bounding volume hierarchy for volumetric meshes. Vis. Comput. 2020, 36, 2327–2340. [Google Scholar] [CrossRef]
- Wang, Q.; Wang, Z.; Pei, L.; Xu, C.; Gao, F. A linear and exact algorithm for whole-body collision evaluation via scale optimization. In Proceedings of the IEEE International Conference on Robotics and Automation (ICRA), London, UK, 29 May–2 June 2023; pp. 3621–3627. [Google Scholar] [CrossRef]
- Pan, J.; Chitta, S.; Manocha, D. FCL: A general purpose library for collision and proximity queries. In Proceedings of the IEEE International Conference on Robotics and Automation (ICRA), Saint Paul, MN, USA, 14–18 May 2012; pp. 3859–3866. [Google Scholar] [CrossRef]
- Qureshi, A.H.; Miao, Y.; Simeonov, A.; Yip, M.C. Motion planning networks: Bridging the gap between learning-based and classical motion planners. IEEE Trans. Robot. 2020, 37, 48–66. [Google Scholar] [CrossRef]
- Pan, J.; Manocha, D. GPU-based parallel collision detection for fast motion planning. Int. J. Robot. Res. 2012, 31, 187–200. [Google Scholar] [CrossRef]
- Han, Y.; Zhao, W.; Pan, J.; Liu, Y.-J. Configuration space decomposition for learning-based collision checking in high-DOF robots. In Proceedings of the IEEE/RSJ International Conference on Intelligent Robots and Systems (IROS), Las Vegas, NV, USA, 25–29 October 2020; pp. 5678–5684. [Google Scholar] [CrossRef]
- Huh, J.; Lee, B.; Lee, D.D. Adaptive motion planning with high-dimensional mixture models. In Proceedings of the IEEE International Conference on Robotics and Automation (ICRA), Singapore, 29 May–3 June 2017; pp. 3740–3747. [Google Scholar] [CrossRef]
- Das, N.; Yip, M. Learning-based proxy collision detection for robot motion planning applications. IEEE Trans. Robot. 2020, 36, 1096–1114. [Google Scholar] [CrossRef]
- Muñoz, J.; Lehner, P.; Moreno, L.E.; Albu-Schäffer, A.; Roa, M.A. Roa. CollisionGP: Gaussian process-based collision checking for robot motion planning. IEEE Robot. Autom. Lett. 2023, 8, 4036–4043. [Google Scholar] [CrossRef]
- Das, N.; Yip, M.C. Forward kinematics kernel for improved proxy collision checking. IEEE Robot. Autom. Lett. 2020, 5, 2349–2356. [Google Scholar] [CrossRef]
- Zhi, Y.; Das, N.; Yip, M. DiffCo: Autodifferentiable proxy collision detection with multiclass labels for safety-aware trajectory optimization. IEEE Trans. Robot. 2022, 38, 2668–2685. [Google Scholar] [CrossRef]
- Pan, J.; Manocha, D. Fast probabilistic collision checking for sampling-based motion planning using locality-sensitive hashing. Int. J. Robot. Res. 2016, 35, 1477–1496. [Google Scholar] [CrossRef]
- Wu, S.; Liu, G.; Zhang, Y.; Xue, A. A fast and accurate compound collision detector for RRT motion planning. Robot. Auton. Syst. 2023, 167, 104484. [Google Scholar] [CrossRef]
- Zhao, D.; Hu, X.; Xiong, S.; Tian, J.; Xiang, J.; Zhou, J.; Li, H. K-means clustering and kNN classification based on negative databases. Appl. Soft Comput. 2021, 110, 107732. [Google Scholar] [CrossRef]
- Wen, X.; Li, D.; Zhang, C.; Zhai, Y. A weighted ML-KNN based on discernibility of attributes to heterogeneous sample pairs. Inf. Process. Manag. 2022, 59, 103053. [Google Scholar] [CrossRef]
- Keramat-Jahromi, M.; Mohtasebi, S.S.; Mousazadeh, H.; Ghasemi-Varnamkhasti, M.; Rahimi-Movassagh, M. Real-time moisture ratio study of drying date fruit chips based on on-line image attributes using kNN and random forest regression methods. Measurement 2021, 172, 108899. [Google Scholar] [CrossRef]
- Yang, G.; Wang, H.; Yao, J.; Zou, X. Multilayer neurocontrol of servo electromechanical systems with disturbance compensation. Appl. Soft Comput. 2024, 151, 111043. [Google Scholar] [CrossRef]
- Yang, G. Asymptotic tracking with novel integral robust schemes for mismatched uncertain nonlinear systems. Int. J. Robust Nonlinear Control. 2023, 33, 1988–2002. [Google Scholar] [CrossRef]
- Jiang, Z.; Liu, X. Adaptive KNN and graph-based auto-weighted multi-view consensus spectral learning. Inform. Sci. 2022, 609, 1132–1146. [Google Scholar] [CrossRef]
- Li, W.; Zhang, Y.; Sun, Y.; Wang, W.; Li, M.; Zhang, W.; Lin, X. Approximate nearest neighbor search on high dimensional data—Experiments, analyses, and improvement. IEEE Trans. Knowl. Data Eng. 2020, 32, 1475–1488. [Google Scholar] [CrossRef]
- Malkov, Y.A.; Yashunin, D.A. Efficient and robust approximate nearest neighbor search using hierarchical navigable small world graphs. IEEE Trans. Pattern Anal. Mach. Intell. 2018, 42, 824–836. [Google Scholar] [CrossRef]
- Aumüller, M.; Bernhardsson, E.; Faithfull, A. ANN-benchmarks: A benchmarking tool for approximate nearest neighbor algorithms. Inf. Syst. 2020, 87, 101374. [Google Scholar] [CrossRef]
- Jeon, H.J.; Dragan, A.D. Configuration Space Metrics. In Proceedings of the IEEE/RSJ International Conference on Intelligent Robots and Systems (IROS), Madrid, Spain, 1–5 October 2018; pp. 5101–5108. [Google Scholar] [CrossRef]
- Cohn, D.A.; Ghahramani, Z.; Jordan, M.I. Active learning with statistical models. J. Artif. Intell. Res. 1996, 4, 129–145. [Google Scholar] [CrossRef]












| Method | Scene 1 | Scene 2 | Scene 3 | Scene 4 |
|---|---|---|---|---|
| Exact collision detection | 51.06 | 76.78 | 106.24 | 121.37 |
| LSH-based | 8.40 | 8.22 | 9.85 | 7.90 |
| Ours | 1.72 | 2.27 | 1.91 | 1.89 |
| Method | Number of DOF | Ac (%) | Time (μs) |
|---|---|---|---|
| LSH-based | 2-DOF | 94.47 | 720.43 |
| 3-DOF | 89.21 | 1323.04 | |
| Ours | 2-DOF | 99.57 | 479.11 |
| 3-DOF | 98.83 | 494.06 |
Disclaimer/Publisher’s Note: The statements, opinions and data contained in all publications are solely those of the individual author(s) and contributor(s) and not of MDPI and/or the editor(s). MDPI and/or the editor(s) disclaim responsibility for any injury to people or property resulting from any ideas, methods, instructions or products referred to in the content. |
© 2024 by the authors. Licensee MDPI, Basel, Switzerland. This article is an open access article distributed under the terms and conditions of the Creative Commons Attribution (CC BY) license (https://creativecommons.org/licenses/by/4.0/).
Share and Cite
Zhang, X.; Tao, B.; Jiang, D.; Chen, B.; Tang, D.; Liu, X. Novel Probabilistic Collision Detection for Manipulator Motion Planning Using HNSW. Machines 2024, 12, 321. https://doi.org/10.3390/machines12050321
Zhang X, Tao B, Jiang D, Chen B, Tang D, Liu X. Novel Probabilistic Collision Detection for Manipulator Motion Planning Using HNSW. Machines. 2024; 12(5):321. https://doi.org/10.3390/machines12050321
Chicago/Turabian StyleZhang, Xiaofeng, Bo Tao, Du Jiang, Baojia Chen, Dalai Tang, and Xin Liu. 2024. "Novel Probabilistic Collision Detection for Manipulator Motion Planning Using HNSW" Machines 12, no. 5: 321. https://doi.org/10.3390/machines12050321
APA StyleZhang, X., Tao, B., Jiang, D., Chen, B., Tang, D., & Liu, X. (2024). Novel Probabilistic Collision Detection for Manipulator Motion Planning Using HNSW. Machines, 12(5), 321. https://doi.org/10.3390/machines12050321

