Early-Stage ISC Fault Detection for Ship Lithium Batteries Based on Voltage Variance Analysis
Abstract
1. Introduction
2. ISC Fault Experimental Platform and Injection Method
2.1. ISC Fault Triggering Mechanism
2.2. ISC Fault Experiment Platform
2.3. ISC Fault Injection Method
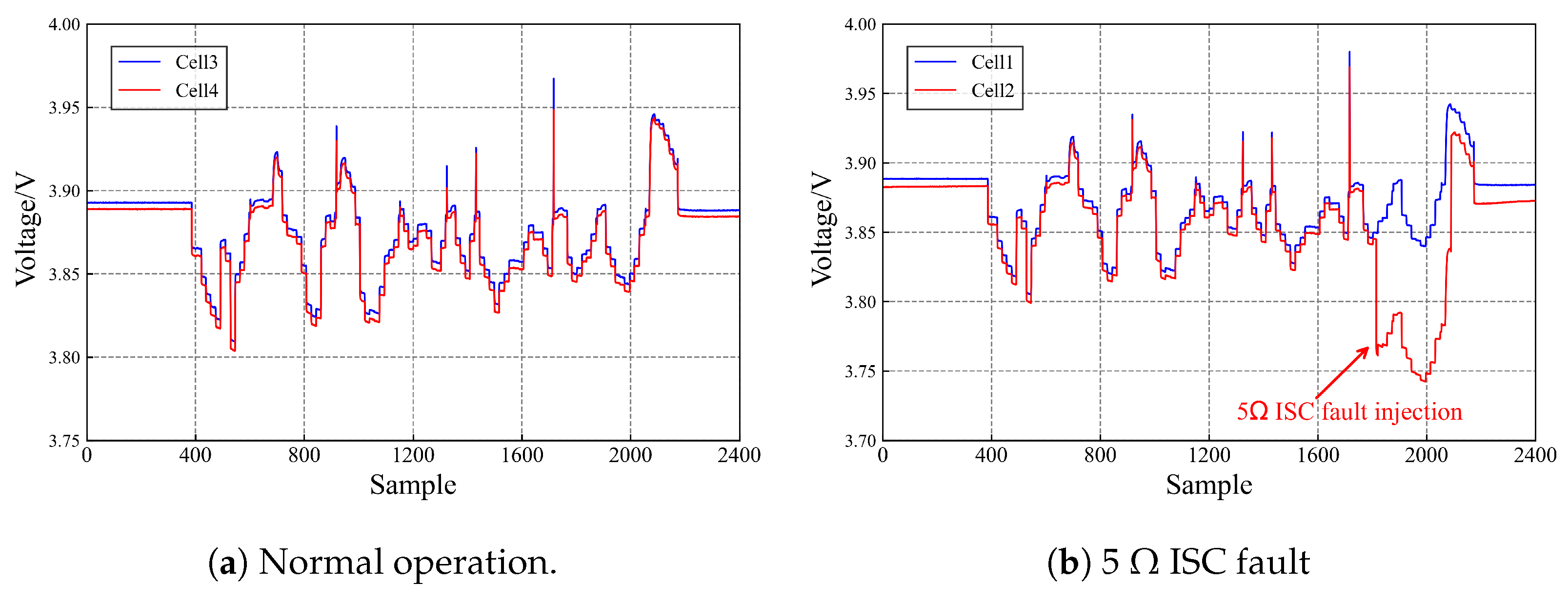
- Case 1: At the 1816-th sampling moment, close contact and insert a 5 Ω resistances in parallel across battery 2 to induce a high-intensity ISC fault;
- Case 2: At the 3285-th sampling moment, close contact and insert a 10 Ω resistances in parallel across battery 3 to induce a medium-intensity ISC fault;
- Case 3: At the 3706-th sampling moment, close contact and connect a 15 Ω resistances in parallel with both ends of battery 4 to induce a weak-intensity ISC fault.
3. ISC Fault Detection and Diagnosis Process
3.1. ISC Fault Location Based on Curvilinear Manhattan Distance
3.2. ISC Fault Detection Based on Voltage Variance Analysis
3.3. ISC Fault Localization and Diagnosis Framework
4. Experimental Results and Analysis
4.1. ISC Fault Detection Based on Manhattan Distance
4.2. ISC Fault Detection Based on Voltage Variance Analysis
4.3. Compared to Other Detection Methods
4.4. Discussion of Different Detection Methods
5. Conclusions
Author Contributions
Funding
Data Availability Statement
Conflicts of Interest
References
- Wang, H.; Oterkus, E.; Oterkus, S. Peridynamic modelling of fracture in marine lithium-ion batteries. Ocean Eng. 2018, 151, 257–267. [Google Scholar] [CrossRef]
- Peralta, P.C.O.; Vieira, G.T.T.; Meunier, S.; Vale, R.J.; Salles, M.B.C.; Carmo, B.S. Evaluation of the CO2 Emissions Reduction Potential of Li-ion Batteries in Ship Power Systems. Energies 2019, 12, 375. [Google Scholar] [CrossRef]
- Williard, N.; Hendricks, C.; Sood, B.; Chung, J.S.; Pecht, M. Evaluation of Batteries for Safe Air Transport. Energies 2016, 9, 340. [Google Scholar] [CrossRef]
- Zhang, X.; Li, Z.; Luo, L.; Fan, Y.; Du, Z. A review on thermal management of lithium-ion batteries for electric vehicles. Energy 2022, 238, 121652. [Google Scholar] [CrossRef]
- Chen, S.; Dai, F.; Cai, M. Opportunities and Challenges of High-Energy Lithium Metal Batteries for Electric Vehicle Applications. ACS Energy Lett. 2020, 5, 3140–3151. [Google Scholar] [CrossRef]
- Zhang, F.; Feng, X.; Xu, C.; Jiang, F.; Ouyang, M. Thermal runaway front in failure propagation of long-shape lithium-ion battery. Int. J. Heat Mass Transfer 2022, 182, 121928. [Google Scholar] [CrossRef]
- Ren, D.; Feng, X.; Lu, L.; He, X.; Ouyang, M. Overcharge behaviors and failure mechanism of lithium-ion batteries under different test conditions. Appl. Energy 2019, 250, 323–332. [Google Scholar] [CrossRef]
- Hu, J.; He, H.; Wei, Z.; Li, Y. Disturbance-Immune and Aging-Robust Internal Short Circuit Diagnostic for Lithium-Ion Battery. IEEE Trans. Ind. Electron. 2022, 69, 1988–1999. [Google Scholar] [CrossRef]
- Lai, X.; Jin, C.; Yi, W.; Han, X.; Feng, X.; Zheng, Y.; Ouyang, M. Mechanism, modeling, detection, and prevention of the internal short circuit in lithium-ion batteries: Recent advances and perspectives. Energ. Storage Mater. 2021, 35, 470–499. [Google Scholar] [CrossRef]
- Zhang, G.; Wei, X.; Tang, X.; Zhu, J.; Chen, S.; Dai, H. Internal short circuit mechanisms, experimental approaches and detection methods of lithium-ion batteries for electric vehicles: A review. Renew. Sustain. Energ. Rev. 2021, 141, 110790. [Google Scholar] [CrossRef]
- Fan, W.; Qiao, D.; Lai, X.; Zheng, Y.; Wei, X.; Dai, H. A novel method of quantitative internal short circuit diagnosis based on charging electric quantity in fixed voltage window. J. Energy Storage 2023, 70, 108096. [Google Scholar] [CrossRef]
- Feng, X.; He, X.; Lu, L.; Ouyang, M. Analysis on the Fault Features for Internal Short Circuit Detection Using an Electrochemical-Thermal Coupled Model. J. Electrochem. Soc. 2018, 165, A155. [Google Scholar] [CrossRef]
- Schmid, M.; Kleiner, J.; Endisch, C. Early detection of Internal Short Circuits in series-connected battery packs based on nonlinear process monitoring. J. Energy Storage 2022, 48, 103732. [Google Scholar] [CrossRef]
- Gao, H.; Li, Z.; Yu, X.; Qiu, J. Hierarchical Multiobjective Heuristic for PCB Assembly Optimization in a Beam-Head Surface Mounter. IEEE Trans. Cybern. 2022, 52, 6911–6924. [Google Scholar] [CrossRef] [PubMed]
- Xu, S.; Huang, W.; Huang, D.; Chen, H.; Chai, Y.; Ma, M.; Zheng, W.X. A Reduced-Order Observer-Based Method for Simultaneous Diagnosis of Open-Switch and Current Sensor Faults of a Grid-Tied NPC Inverter. IEEE Trans. Power Electron. 2023, 38, 9019–9032. [Google Scholar] [CrossRef]
- Zheng, Y.; Luo, Q.; Cui, Y.; Dai, H.; Han, X.; Feng, X. Fault Identification and Quantitative Diagnosis Method for Series-Connected Lithium-Ion Battery Packs Based on Capacity Estimation. IEEE Trans. Ind. Electron. 2022, 69, 3059–3067. [Google Scholar] [CrossRef]
- Amirkhani, S.; Chaibakhsh, A.; Ghaffari, A. Nonlinear robust fault diagnosis of power plant gas turbine using Monte Carlo-based adaptive threshold approach. ISA Trans. 2020, 100, 171–184. [Google Scholar] [CrossRef] [PubMed]
- Li, H.; Jin, S. Investigating the Distribution of Flatness Measurements in Battery Manufacturing through Empirical Investigation and Statistical Theory. Machines 2023, 11, 723. [Google Scholar] [CrossRef]
- Rahman, M.A.; Anwar, S.; Izadian, A. Electrochemical Model-Based Condition Monitoring via Experimentally Identified Li-Ion Battery Model and HPPC. Energies 2017, 10, 1266. [Google Scholar] [CrossRef]
- Li, D.; Zhang, Z.; Liu, P.; Wang, Z.; Zhang, L. Battery Fault Diagnosis for Electric Vehicles Based on Voltage Abnormality by Combining the Long Short-Term Memory Neural Network and the Equivalent Circuit Model. IEEE Trans. Power Electron. 2021, 36, 1303–1315. [Google Scholar] [CrossRef]
- Wei, J.; Dong, G.; Chen, Z. Lyapunov-Based Thermal Fault Diagnosis of Cylindrical Lithium-Ion Batteries. IEEE Trans. Ind. Electron. 2020, 67, 4670–4679. [Google Scholar] [CrossRef]
- Zhang, H.; Dai, K.; Yin, Q. Ammunition Reliability Against the Harsh Environments During the Launch of an Electromagnetic Gun: A Review. IEEE Access 2019, 7, 45322–45339. [Google Scholar] [CrossRef]
- Dey, S.; Perez, H.E.; Moura, S.J. Model-Based Battery Thermal Fault Diagnostics: Algorithms, Analysis, and Experiments. IEEE Trans. Control Syst. Technol. 2019, 27, 576–587. [Google Scholar] [CrossRef]
- Feng, X.; Pan, Y.; He, X.; Wang, L.; Ouyang, M. Detecting the internal short circuit in large-format lithium-ion battery using model-based fault-diagnosis algorithm. J. Energy Storage 2018, 18, 26–39. [Google Scholar] [CrossRef]
- Gao, W.; Zheng, Y.; Ouyang, M.; Li, J.; Lai, X.; Hu, X. Micro-Short-Circuit Diagnosis for Series-Connected Lithium-Ion Battery Packs Using Mean-Difference Model. IEEE Trans. Ind. Electron. 2019, 66, 2132–2142. [Google Scholar] [CrossRef]
- Wang, G.; Jin, S.; Jiao, J.; Xie, J. Voltage measurement-based recursive adaptive method for internal short circuit fault diagnosis in lithium-ion battery packs. Contr. Eng. Pract. 2024, 145, 105857. [Google Scholar] [CrossRef]
- Park, S.; Song, Y.; Kim, S.W. Simultaneous diagnosis of cell aging and internal short circuit faults in lithium-ion batteries using average leakage interval. Energy 2024, 290, 130220. [Google Scholar] [CrossRef]
- Qiu, Y.; Cao, W.; Peng, P.; Jiang, F. A novel entropy-based fault diagnosis and inconsistency evaluation approach for lithium-ion battery energy storage systems. J. Energy Storage 2021, 41, 102852. [Google Scholar] [CrossRef]
- Sun, R.B.; Du, F.P.; Yang, Z.B.; Chen, X.F.; Gryllias, K. Cyclostationary Analysis of Irregular Statistical Cyclicity and Extraction of Rotating Speed for Bearing Diagnostics with Speed Fluctuations. IEEE Trans. Instrum. Meas. 2021, 70, 1–11. [Google Scholar] [CrossRef]
- Zhu, G.; Sun, T.; Xu, Y.; Zheng, Y.; Zhou, L. Identification of Internal Short-Circuit Faults in Lithium-Ion Batteries Based on a Multi–Machine Learning Fusion. Batteries 2023, 9, 154. [Google Scholar] [CrossRef]
- Xia, B.; Shang, Y.; Nguyen, T.; Mi, C. A correlation based fault detection method for short circuits in battery packs. J. Power Sources 2017, 337, 1–10. [Google Scholar] [CrossRef]
- Wang, G.; Zhao, J.; Yang, J.; Jiao, J.; Xie, J.; Feng, F. Multivariate statistical analysis based cross voltage correlation method for internal short-circuit and sensor faults diagnosis of lithium-ion battery system. J. Energy Storage 2023, 62, 106978. [Google Scholar] [CrossRef]
- Xie, J.; Yao, T. Quantified Assessment of Internal Short-Circuit State for 18 650 Batteries Using an Extreme Learning Machine-Based Pseudo-Distributed Model. IEEE Trans. Transp. Electrificat. 2021, 7, 1303–1313. [Google Scholar] [CrossRef]
- Zhang, C.; Zhao, S.; Yang, Z.; He, Y. A multi-fault diagnosis method for lithium-ion battery pack using curvilinear Manhattan distance evaluation and voltage difference analysis. J. Energy Storage 2023, 67, 107575. [Google Scholar] [CrossRef]
- Grabow, J.; Klink, J.; Benger, R.; Hauer, I.; Beck, H.P. Particle Contamination in Commercial Lithium-Ion Cells—Risk Assessment with Focus on Internal Short Circuits and Replication by Currently Discussed Trigger Methods. Batteries 2023, 9, 9. [Google Scholar] [CrossRef]
- Xie, J.; Peng, H.; Li, Z.; Wang, G.; Li, X. Data-Driven Diagnosis of Multiple Faults in Series Battery Packs Based on Cross-Cell Voltage Correlation and Feature Principal Components. IEEE J. Emerg. Sel. Top. Power Electron. 2023, 11, 109–119. [Google Scholar] [CrossRef]
- Kang, Y.; Duan, B.; Zhou, Z.; Shang, Y.; Zhang, C. Online multi-fault detection and diagnosis for battery packs in electric vehicles. Appl. Energy 2020, 259, 114170. [Google Scholar] [CrossRef]
- Wang, G.; Yang, J.; Jiao, J. Voltage Correlation-Based Principal Component Analysis Method for Short Circuit Fault Diagnosis of Series Battery Pack. IEEE Trans. Ind. Electron. 2023, 70, 9025–9034. [Google Scholar] [CrossRef]
- Qin, Y.; Yan, Y.; Ji, H.; Wang, Y. Recursive Correlative Statistical Analysis Method With Sliding Windows for Incipient Fault Detection. IEEE Trans. Ind. Electron. 2022, 69, 4185–4194. [Google Scholar] [CrossRef]
















| Battery Type | Ternary Lithium Battery |
|---|---|
| Rated voltage | 3.8 V |
| Rated capacity | 3.0 A·h |
| Discharge cut-off voltage | 2.75 V |
| Max charging current | 3.0 A |
| Max discharge current | 3.0 A |
Disclaimer/Publisher’s Note: The statements, opinions and data contained in all publications are solely those of the individual author(s) and contributor(s) and not of MDPI and/or the editor(s). MDPI and/or the editor(s) disclaim responsibility for any injury to people or property resulting from any ideas, methods, instructions or products referred to in the content. |
© 2024 by the authors. Licensee MDPI, Basel, Switzerland. This article is an open access article distributed under the terms and conditions of the Creative Commons Attribution (CC BY) license (https://creativecommons.org/licenses/by/4.0/).
Share and Cite
Gu, Y.; Ni, H.; Li, Y. Early-Stage ISC Fault Detection for Ship Lithium Batteries Based on Voltage Variance Analysis. Machines 2024, 12, 303. https://doi.org/10.3390/machines12050303
Gu Y, Ni H, Li Y. Early-Stage ISC Fault Detection for Ship Lithium Batteries Based on Voltage Variance Analysis. Machines. 2024; 12(5):303. https://doi.org/10.3390/machines12050303
Chicago/Turabian StyleGu, Yu, Haishen Ni, and Yuwei Li. 2024. "Early-Stage ISC Fault Detection for Ship Lithium Batteries Based on Voltage Variance Analysis" Machines 12, no. 5: 303. https://doi.org/10.3390/machines12050303
APA StyleGu, Y., Ni, H., & Li, Y. (2024). Early-Stage ISC Fault Detection for Ship Lithium Batteries Based on Voltage Variance Analysis. Machines, 12(5), 303. https://doi.org/10.3390/machines12050303
