Next Article in Journal
A Decoupling Module Based on a Geometrical-Balance Mechanism for Mitigating Cable Length Variation in Cable-Driven Applications
Previous Article in Journal
Methodology and Experimental Verification for Predicting the Remaining Useful Life of Milling Cutters Based on Hybrid CNN-LSTM-Attention-PSA
 
 
Font Type:
Arial Georgia Verdana
Font Size:
Aa Aa Aa
Line Spacing:
Column Width:
Background:
Article

A Koopman Reachability Approach for Uncertainty Analysis in Ground Vehicle Systems †

Mechanical Engineering Department, Clemson University, Clemson, SC 29631, USA
*
Author to whom correspondence should be addressed.
This paper is an extended version of the conference paper: Kumar, A.; Umathe, B.; Vaidya, U.; Kelkar, A. Reachability Analysis in Ground Vehicle System Using Koopman Operator Theory. In Proceedings of the 2023 15th IEEE International Conference on Industry Applications (INDUSCON), São Bernardo do Campo, Brazil, 22–24 November 2023; pp. 493–498.
Machines 2024, 12(11), 753; https://doi.org/10.3390/machines12110753
Submission received: 19 August 2024 / Revised: 10 October 2024 / Accepted: 16 October 2024 / Published: 24 October 2024

Abstract

Recent progress in autonomous vehicle technology has led to the development of accurate and efficient tools for ensuring safety, which is crucial for verifying the reliability and security of vehicles. These vehicles operate under diverse conditions, necessitating the analysis of varying initial conditions and parameter values. Ensuring the safe operation of the vehicle under all these varying conditions is essential. Reachability analysis is an important tool to certify the safety and stability of the vehicle dynamics. We propose a reachability analysis approach for evaluating the response of the vehicle dynamics, specifically addressing uncertainties in the initial states and model parameters. Reachable sets illustrate all the possible states of a dynamical system that can be obtained from a given set of uncertain initial conditions. The analysis is crucial for understanding how variations in initial conditions or system parameters can lead to outcomes such as vehicle collisions or deviations from desired paths. By mapping out these reachable states, it is possible to design systems that maintain safety and reliability despite uncertainties. These insights help to ensure the stability and reliability of the vehicles, even in unpredictable conditions, by reducing accidents and optimizing performance. The nonlinearity of the model complicates the computation of reachable sets in vehicle dynamics. This paper proposes a Koopman theory-based approach that utilizes the Koopman principal eigenfunctions and the Koopman spectrum. By leveraging the Koopman principal eigenfunction, our method simplifies the computational process and offers a formal approximation for backward and forward reachable sets. First, our method effectively computes backward and forward reachable sets for a nonlinear quarter-car model with fixed parameter values. Furthermore, we applied our approach to analyze the uncertainty response for cases with uncertain parameters of the vehicle model. When compared to time-domain simulations, our proposed Koopman approach provided accurate results and also reduced the computational time by half in most cases. This demonstrates the efficiency and reliability of our proposed approach in dynamic systems uncertainty analysis using the reachable sets.

1. Introduction

The suspension system of a vehicle is an important element to maintain a smooth and safe ride by absorbing shocks and vibrations from the road. As a result, the passenger comfort and protection of the vehicle from damage caused by uneven surfaces is ensured [1]. An efficient suspension system in these vehicles can predict and adapt to such conditions, improving the performance and durability of the vehicle. The limited space between the chassis and wheels of the vehicle restricts the movement of the suspension system. Therefore, excessive suspension deflection can cause structural damage, as discussed in [2]. Understanding the various states of the vehicle in terms of its vertical position and velocity at any time due to changes in suspension and wheel system parameters is crucial in preventing damage and optimizing vehicle performance.
Reachability analysis is an essential tool that determines the set of all states a dynamical system can reach, starting from a given initial or target set. In deterministic settings, the behavior of the system is known, and therefore, the reachability analysis is relatively straightforward. However, in stochastic settings [3,4], the behavior of the system includes uncertainties, which significantly increase the complexity of the analysis to account for all possible variations and probabilities of state transitions of the dynamical system. There is an extensive literature on reachability analysis for linear dynamical systems as discussed in [5,6,7,8,9,10]. Methods like set theory-based methods utilizing polytopes, ellipsoidal techniques, and zonotope-based methods are widely used for linear systems analysis. These methods rely on linear maps and geometric constructs like Minkowski sums [11], which combine sets of possible trajectories. Convex representations such as zonotopes or support functions [12] are used to efficiently enclose these reachable sets, making them easier to compute and analyze to ensure system safety and performance. In linear systems with uncertain parameters, reachable sets can be obtained conservatively as multidimensional intervals. Although this approach ensures that the potential states of the system are bounded within these intervals, it may overestimate the true reachable set as discussed in [13]. However, these methods become computationally expensive with the increased system size and complexity. Therefore, analyzing nonlinear dynamical systems presents an even more significant challenge. Zonotope-like methods [14,15] and Hamilton–Jacobi-based approaches [16,17] are commonly used techniques for reachability analysis of a nonlinear system. However, solving a Partial Differential Equation (PDE) is computationally challenging for complex nonlinear systems [18].
Reachability analysis can be a useful tool in various situations for on-road and off-road vehicles [19]. For off-road vehicles, it helps in assessing the ability of the vehicle to navigate through challenging and uneven terrains like soil, sand, and mud. These vehicles also operate in low visibility conditions, leading to dangerous situations, such as the operator missing the target. In the worst cases, this could result in the vehicles rolling off. The reachability analysis can identify potential hazards and ensure safe maneuvering, thus reducing the risk of accidents by evaluating the reachable positions and velocities for uncertain initial conditions and model parameters [20]. In on-road vehicle operation, collision risks and safety concerns persist despite standard measures like lane markings and traffic lights. Reachable sets are useful in collision avoidance by predicting the set of all possible future displacements and velocities the vehicle can attain for uncertain initial conditions and model parameters. The analysis helps identify and avoid potential collisions by planning safe trajectories and making informed decisions for the vehicle. A series of studies on collision avoidance for on-road vehicles have been conducted using the set-based approach, as detailed in [21,22]. For uncertainty analysis, the Polynomial Chaos Expansion (PCE) method is used to represent random variables of the ground vehicles in terms of orthogonal polynomials, enabling efficient uncertainty quantification [23]. Markov processes, on the other hand, model systems that transition between states with probabilities dependent solely on the current state properties, such as stochastic processes over time [24]. However, both approaches are computationally expensive for the complex nonlinear vehicle dynamics.
To fully capture the characteristics of the vehicles, we analyze a nonlinear dynamical model of the vehicles for reachability analysis. However, there are challenges, as mentioned earlier, for nonlinear dynamical models. The authors of [25] recently proposed a reachability analysis method utilizing the Koopman spectrum approach, effective for dynamical systems. The Koopman operator theory approach has gained traction in various complex nonlinear systems, particularly in areas such as fluid mechanics, control systems, and power systems [26,27,28,29]. The primary benefit of the Koopman theory lies in its ability to provide a linear embedding of a nonlinear dynamical system. Several methods for analysis in the Koopman coordinates rely on lifting the finite-dimensional complex nonlinear system into a higher-dimensional linear space [30].
The proposed approach in this paper leverages the Koopman operator theory to analyze the response of vehicle dynamics subjected to uncertainty in the initial conditions and parameters by focusing on the Koopman principal eigenfunctions of the Koopman operator. The method simplifies the computation complexity by avoiding the need to lift the dynamics of the nonlinear system to a high-dimensional space, thus reducing computational complexity. The use of the Koopman spectrum-based reachability analysis enables an efficient and accurate assessment of the behavior due to the uncertainty in the system, making it well-suited for complex vehicle dynamics. The main contributions of this work are as follows:
  • First, we compute the Koopman principal eigenfunction for the uncertainty in the system using the convex optimization approach.
  • Second, we obtain the reachable sets for the uncertainty in the system using the Koopman spectrum.
  • Finally, we provide the simulation results using our proposed Koopman spectrum approach for the nonlinear quarter-car dynamics.
First, the simulation results are discussed for the uncertain initial conditions with fixed parameters of the vehicle following from the previous work [31]. Furthermore, the analysis is extended to include uncertain parameters of the vehicle dynamics and compare them with fixed ones. All the simulation results are compared with the time-domain results, and the proposed Koopman spectrum-based reachable sets-based approach is found to be accurate and quicker.
The paper is structured as follows: Section 2 presents the nonlinear quarter-car dynamics and outlines the problem formulation for the uncertainty analysis for uncertain initial conditions and model parameters of the vehicle. Section 3 discusses the mathematical foundations of the Koopman operator theory, including the Koopman principal eigenfunctions. Section 4 provides the computation of the reachable sets using the Koopman principal eigenfunction coordinates. We provide the methodology for our research work in Section 5. Section 6 then presents simulation results for the nonlinear quarter-car dynamics that validate the proposed Koopman operator-based reachability analysis, comparing it with the traditional time-domain approach. Finally, Section 7 concludes the paper by summarizing the findings of our work and highlighting the framework for future research.

2. Quarter-Car Dynamics and Problem Formulation

In this work, we analyze the dynamics of the nonlinear quarter-car model with two Degrees of Freedom (DOF), shown in Figure 1. The model comprises two mass blocks, two spring components, and one damper system. The model parameters include the chassis mass ( M s ), the suspension damping coefficient (C), and the suspension spring coefficient (K), which comprises both linear and nonlinear components. The linear suspension spring coefficient is denoted as K s 1 , while the nonlinear suspension spring coefficient is given as K s 2 . Additionally, the wheel mass is denoted by M u s , and the tire spring coefficient is indicated as K t . The variables z 1 and z 2 represent the chassis and the wheel displacement, respectively.
We can obtain the equations of the mechanical model of the suspension system shown in Figure 1 using Newton’s second law as
M s z ¨ 1 = F C F K M u s z ¨ 2 = F C + F K F K t .
Here, F C represents the resistance force provided by the damper C in the suspension system, F K represents the restorative force exerted by the suspension spring K (comprises both linear and nonlinear terms denoted by K s 1 and K s 2 respectively) when they are compressed or extended, and F K t is similar to the suspension spring force but applies to the tire spring K t of the vehicle. The equations for these forces F C , F K and F K t are given as
F C = C ( z ˙ 1 z ˙ 2 ) , F K = K s 1 ( z 1 z 2 ) + K s 2 ( z 1 z 2 ) 3 , F K t = K t ( z 2 r ) .
By using the equations from (2), we can write the second-order equations of motion from Equation (1) given as
M s z ¨ 1 + C ( z ˙ 1 z ˙ 2 ) + K s 1 ( z 1 z 2 ) + K s 2 ( z 1 z 2 ) 3 = 0 , M u s z ¨ 2 C ( z ˙ 1 z ˙ 2 ) K s 1 ( z 1 z 2 ) K s 2 ( z 1 z 2 ) 3 + K t ( z 2 r ) = 0 .
To analyze and simulate the above system more effectively, we write the first-order differential equations from Equation (3) using defined vehicle states outlined in Table 1.
Now, we can write the first-order equations of motion of the nonlinear quarter-car model using the states described in Table 1 as follows:
x ˙ 1 = x 2 x ˙ 2 = K s 1 M s ( x 1 x 3 ) 3 K s 2 M s ( x 1 x 3 ) C M s ( x 2 x 4 ) x ˙ 3 = x 4 x ˙ 4 = K s 1 M u s ( x 1 x 3 ) 3 + K s 2 M u s ( x 1 x 3 ) + C M u s ( x 2 x 4 ) K t M u s ( x 3 r ) .
The nonlinear quarter-car dynamic model described above helps in analyzing the vertical motion of the suspension system of the vehicle by focusing on the interactions between the chassis and the wheel. We are interested in analyzing the response of the vehicle to the uncertainty in the initial conditions and the model parameters using the reachable sets as shown by the flowchart in Figure 2. Reachability analysis involves predicting the evolution of the vehicle system states—such as chassis displacement and velocity, wheel displacement and velocity—over time, starting from an uncertain initial condition set. The analysis can be performed either forward or backward in time to analyze how the states of the vehicle propagate, thus it helps in safety verification and control system design by identifying all possible states the system can reach. In our work, we will focus on analyzing the response of the vehicle, and for that, we propose a Koopman spectrum-based reachability analysis, which is explained in the following sections. First, we will briefly overview the preliminaries of the Koopman theory and the Koopman spectrum in the next section.

3. Mathematical Preliminaries of the Koopman Theory

In this section, we present an overview of the Koopman theory and its spectral properties. This will be useful to understand the main contribution of our work for the computation of the backward and forward reachable sets for uncertain parameters discussed in Section 4.
Consider the dynamics of the vehicle given in the form
z ˙ = f ( z , θ ) .
Here, the vector z represents the states of the vehicle dynamics in n dimensions, with the domain being the n-dimensional real space, R n . The function f ( z , θ ) maps from the manifold M to the n-dimensional real space, R n . The uncertain parameter of the vehicle dynamics is denoted by θ .
Assumption A1.
We assume that z is a hyperbolic equilibrium point of the vehicle dynamics (5), i.e., the state matrix A = f z ( z ) has no eigenvalues on the imaginary axis in the complex plane.
In dynamical system theory, the hyperbolicity of an equilibrium point is often assumed because these points are isolated, meaning that within a certain neighborhood around the equilibrium point, no other equilibrium points exist. The assumption is valid for vehicle dynamics analysis as well, such as steady cruising or straight-path driving. This assumption allows for a clearer analysis of vehicles for stability and control to study the response to uncertainties or external disturbances.
Next, we introduce the Koopman operator, an infinite-dimensional linear operator that acts on a finite-dimensional nonlinear functional space. The Koopman theory is a powerful tool due to its ability to provide a linear representation of nonlinear systems, making it highly significant for the dynamical systems and control theory. However, even within a linear space, it is difficult to work directly with the infinite-dimensional operator. Techniques like Dynamic Mode Decomposition (DMD) [32] and Extended Dynamic Mode Decomposition (EDMD) [33] and their variants are used to obtain the finite-dimensional approximations of the infinite-dimensional Koopman operator. These methods project the system dynamics onto a finite set of observable functions, enabling the approximation of the Koopman operator by a finite matrix. However, obtaining the eigenfunctions using these methods is a two-step process, which makes it computationally challenging. Our work focuses on using the Koopman operator spectrum without computing the Koopman operator. By analyzing the eigenvalues and eigenfunctions of the Koopman operator, we can capture the essential dynamics of the system while significantly reducing computational complexity, making it more efficient for practical applications like vehicle dynamics. The Koopman spectrum captures the nonlinearity of the dynamics and offers the advantage of performing lower-dimensional analysis without the need to compute the higher-dimensional Koopman operator.
Given an initial condition z 0 , the solution flow map of the dynamical system (5), denoted as s t θ ( z 0 ) describes the evolution of the system over time. The Koopman operator U t θ : L ( M ) L ( M ) associated with the dynamical system (5) is defined as the linear operator that maps functions ψ in the space L ( M ) to functions in L ( M ) and given as follows:
[ U t θ ψ ] ( z ) = ψ ( s t θ ( z ) ) .
The function ψ ( z ) is a scalar-valued function, which takes an input from the set M and gives a real number as its output. The function is defined as an observable. Additionally, L ( M ) denotes the space of functions that are both bounded and measurable, with these functions being defined over the set M . The infinitesimal generator, known as the Koopman generator K f θ , is defined as
lim t 0 ( U t θ I ) ψ t = ψ z f ( z , θ ) = : K f θ ψ , t 0 .
The eigenfunction φ ( z ) corresponding to the eigenvalue λ of the Koopman operator satisfies the condition,
[ U t θ φ ] ( z ) = e λ t φ ( z ) .
For systems with hyperbolic equilibrium points, the eigenvalues of the Koopman operator correspond to the eigenvalues of the linearized system around that equilibrium. The local behavior near hyperbolic points can be effectively captured by linear approximations, thus allowing the spectral properties of the Koopman operator to reflect the stability characteristics of the linearized system. We define the principal eigenfunctions of the dynamical system as those eigenfunctions associated with the linearized eigenvalues of the system. In an n-dimensional system, there are n principal eigenfunctions. These eigenfunctions provide a change in coordinates that allows us to express the system (5) in terms of the principal eigenfunction coordinates as ϕ k ˙ = λ k ϕ k . Here, ϕ k ( z ) for k = 1 , 2 , 3 , , n denotes the Koopman principal eigenfunctions of the dynamical system.
In the context of computing the Koopman principal eigenfunctions, the convex optimization problem from [25] helps to find a transformation of coordinates that approximates a near-identity change. This allows for the identification of the principal eigenfunctions by minimizing a cost function of the underlying dynamics. We write the new coordinate as
x = z + h θ ( z ) , h θ z ( 0 ) = 0 .
The nonlinear dynamical system given in (5) is transformed in the linear embedding as
x ˙ = A θ x ,
where A θ denotes the linearized system state matrix. We examine a linear change in coordinates given by x ^ = ( W θ ) x . Here, W θ represents the left eigenvector of A θ which is obtained from the equation ( W θ ) A θ = Λ ( W θ ) , where Λ is a diagonal matrix containing the corresponding eigenvalues of A θ . Consequently, we define the Koopman principal eigenfunction as follows:
Φ θ ( z ) = ( W θ ) ( z + h θ ( z ) ) = ( W θ ) z + ( W θ ) h θ ( z ) .
Here, Φ θ ( z ) = [ ϕ 1 θ ( z ) , ϕ 2 θ ( z ) , ϕ 3 θ ( z ) , , ϕ n θ ( z ) ] T represents n Koopman principal eigenfunctions. In (11), ( W θ ) z denotes the linear component of the Koopman principal eigenfunctions, while ( W θ ) h θ ( z ) corresponds to the nonlinear component of the Koopman principal eigenfunctions. Here, finding the nonlinear component is the main challenge, and we provide a convex optimization formulation, which will be discussed next, to obtain that.
To obtain the nonlinear component of the Koopman principal eigenfunction, we write the parameterization for h θ ( z ) as follows:
h θ ( z ) = U Υ ( z ) , U R n × M .
We begin by defining M basis functions, represented as Υ ( z ) = [ υ 1 ( z ) , υ 2 ( z ) , υ 3 ( z ) , , υ M ( z ) ] . We aim to formulate an optimization problem to obtain the matrix U. By substituting (9) into Equation (10), we write
d d t ( z + h θ ( z ) ) = A θ ( z + h θ ( z ) ) z ˙ + h θ ( z ) z z ˙ = A θ ( z + h θ ( z ) ) z ˙ + h θ ( z ) z z ˙ A θ ( z + h θ ( z ) ) = 0 ,
substituting h θ ( z ) = U Υ ( z ) from Equation (12), we obtain
z ˙ + U Υ ( z ) z z ˙ A θ ( z + U Υ ( z ) ) = 0 , ( I + U Υ ( z ) z ) z ˙ A θ z A θ U Υ ( z ) = 0 ,
further substituting z ˙ = f ( z , θ ) and solving the above equation, we obtain the equation as
f ( z , θ ) + U Υ ( z ) z f ( z , θ ) A θ z A θ U Υ ( z ) = 0 .
To minimize the above Equation (13), we define an optimization problem to find the matrix U that best represents the relationship within the dataset { z i } i = 1 L . This involves minimizing the function that quantifies the difference between the predictions of the model and the actual data points, ensuring that U captures the underlying structure of the dataset effectively. The optimization formulation is given as
min | | 1 L i = 1 L U Υ z ( z i ) + I f ( z i , θ ) A θ U Υ ( z i ) A θ z i | |
Using matrix U obtained from the previous formulation, we can derive the Koopman principal eigenfunction Φ θ ( z ) from (11) using the Equation (12). The reachable sets can be determined using Φ θ ( z ) , as outlined in the following section.

4. Reachable Sets

In this section, we first define the backward and forward reachable sets representing the sets of states that can reach or be reached from a given state under system dynamics. We then introduce the computational framework for calculating the Koopman modes, simplifying the computation of reachable sets using the Koopman spectrum quantities.
The target/initial set for the system dynamics is given by S 0 θ = { z M : g ( z ) 0 } , where given that g is a function in the class C 1 (meaning it is continuously differentiable), we next define the backward and forward reachable sets based on the target or initial set mentioned above.
Definition 1.
(Backward reachable sets): It represents the set of all states that can be reached by the target set at time t, as illustrated in Figure 3b, and is given as:
S t θ = { z M : [ U t θ g ] ( z ) 0 } .
For the system dynamics z ˙ = f ( z , θ ) , the corresponding Koopman operator ( U ¯ t θ ) satisfies the following property,
U ¯ t θ = U t θ , t 0 .
The above property is helpful in defining the forward reachable sets as follows.
Definition 2.
(Forward reachable sets): It represents the set of all the states that can be obtained at time t when starting from the initial set, as illustrated in Figure 3a, and is given as,
S ¯ t θ = { z M : [ U ¯ t θ g ] ( z ) 0 } .
Figure 3. Diagram for (a) forward reachable set starting from an initial set, (b) backward reachable set for the given target set.
Figure 3. Diagram for (a) forward reachable set starting from an initial set, (b) backward reachable set for the given target set.
Machines 12 00753 g003
The approximation of the target or initial set discussed above can be expressed using the Koopman principal eigenfunctions and the Koopman modes as follows:
g ^ ( z ) : = k N n N ζ k θ i = 1 n ( ϕ i θ ) k i ( z ) , k = ( k 1 , , k n ) .
Here, the Koopman modes are denoted by ζ k θ and correspond to the N combinations of the Koopman principal eigenfunctions obtained earlier. Γ θ ( z ) = [ γ 1 θ ( z ) , γ 2 θ ( z ) , γ 3 θ ( z ) , , γ N θ ( z ) ] T are the eigenfunctions obtained by the combinations of the Koopman principal eigenfunctions. We compute g ( z ) and Γ θ ( z ) at the dataset { z i } i = 1 L to obtain matrices b = [ g ( z 0 ) , g ( z 1 ) , g ( z 2 ) , , g ( z L ) ] and Γ θ = [ γ θ ( z 0 ) , γ θ ( z 1 ) , γ θ ( z 2 ) , , γ θ ( z L ) ] . We can obtain the Koopman modes from the optimization problem given as
min ζ θ R N b ( ζ θ ) Γ θ .
Based on the definition of the Koopman operator given in (6), we know that for any observable g ( z ) , the relation [ U t θ g ^ ] ( z ) = g ^ ( s t θ ( z ) ) holds. Consequently, the expressions in Equations (15) and (16) can be reformulated as Equations (18) and (19) as will be explained next. Before that, we have the following assumption on the approximation of initial/target sets.
Assumption A2.
We assume that the Koopman operator associated with the dynamical system given in Equation (5) has the n Koopman principal eigenfunctions. The eigenfunctions are defined over a domain Q within a larger space M . For any given small positive value η, there is a corresponding integer N ( η ) and a set of real coefficients ζ k θ that ensure the maximum difference between two functions, g ( z ) and g ^ ( z ) remains within η across the entire domain Q.
The following corollary from [25] offers an approach to the characterization of the reachable sets using the Koopman spectrum.
Corollary 1.
Let the nonlinear dynamical system described in Equation (5) meet the criteria outlined in the above Assumptions 1 and 2, then
1. 
The set of all states that can reach the target set S θ at time t is approximated as follows
S ^ t θ = { z M : k N n N ζ k θ i = 1 n ( ϕ θ ) i k i ( z ) e λ i k i t 0 } .
2. 
The set of all states that can be reached from the initial set S θ at time t is approximated as follows
S ¯ ^ t θ = { z M : k N n N ζ k θ i = 1 n ( ϕ θ ) i k i ( z ) e λ i k i t 0 } .
The reachable sets are computed using the Equations (18) and (19). In the following section, we will outline the computational methodology for determining these reachable sets using the Koopman spectrum quantities, ensuring a systematic approach to computation.

5. Methodology

The research methodology for uncertainty analysis in vehicle dynamics using the proposed Koopman spectrum approach-based forward and backward reachable sets includes the following three essential steps:
Step 1—Computation of the Koopman Eigenfunctions: In this step, we obtain the Koopman principal eigenfunctions that describe the nonlinear dynamics of the vehicle system, thus facilitating the analysis of its behavior over time.
  • Select the dataset Z : = { z 1 , z 2 , z 3 , , z L } for the states (chassis displacement, chassis velocity, wheel displacement, and wheel velocity) of the vehicle dynamics.
  • Choose the correct set of basis function Υ ( z ) = [ υ 1 ( z ) , υ 2 ( z ) , υ 3 ( z ) , , υ M ( z ) ] depending on the dynamics of the vehicle. Here, we have considered polynomial basis functions.
  • Compute the Jacobian of Υ ( z ) given as
    Υ z = υ 1 ( z ) z 1 υ 1 ( z ) z n υ M ( z ) z 1 υ M ( z ) z n .
  • Compute the following matrices for the dataset obtained for the vehicle states in step 1, f ( z k , θ ) , A θ z k , Υ ( z k ) and Υ ( z k ) z ; z k Z .
  • Solve the optimization problem for U R n × M as given in (14) to obtain the nonlinear part of the Koopman principal eigenfunction.
  • Obtain the Koopman principal eigenfunctions from the Equation Φ θ ( z ) = ( W θ ) ( z + U Υ ( z ) ) , where W θ is the matrix of left eigenvectors of f ( z ) z .
Step 2—Computation of Koopman Modes: In this step, the Koopman modes are computed, which helps obtain the initial/target set using the Koopman coordinates.
  • Obtain the combination of eigenfunction Γ θ ( z ) = [ γ 1 θ ( z ) , γ 2 θ ( z ) , γ 3 θ ( z ) , , γ N θ ( z ) ] T .
  • Compute the initial/target set g ( z ) and eigenfunction combinations Γ θ ( z ) over the data to obtain b = [ g ( z 0 ) , g ( z 1 ) , g ( z 2 ) , , g ( z L ) ] and Γ θ = [ γ θ ( z 0 ) , γ θ ( z 1 ) , γ θ ( z 2 ) , , γ θ ( z L ) ] .
  • Solve the least square problem to obtain Koopman modes ζ k θ as given in (17), which represents the projection of the eigenfunctions.
Step 3—Computation of Reachable Sets: The forward and backward reachable sets are computed in terms of Koopman spectrum quantities.
  • Obtain the reachable set using Equations (18) and (19), respectively, at the given time step t.
  • Repeat the above steps for each case of parameter uncertainty of the vehicle dynamics.
In the above sections, we have described the problem formulation for the vehicle dynamics and provided the mathematical preliminaries of the Koopman spectrum-based forward and backward reachable sets for the uncertain initial conditions and parameters of the vehicle dynamics. Next, we discuss the simulation results for the nonlinear quarter-car dynamics explained in Section 2.

6. Simulation Results

In this section, we validate the effectiveness of our proposed approach for uncertainty analysis through simulation results of the nonlinear quarter-car dynamics. We evaluate the performance by calculating the reachable sets and compare the results with the time-domain simulations. The comparison highlights the accuracy and robustness of the proposed approach in predicting vehicle behavior due to uncertain initial conditions and model parameters.
We conducted all the simulations to obtain reachable sets within the domain [ 1 , 1 ] 4 . The analysis utilized polynomial basis functions of order 3 and combined Koopman principal eigenfunctions of order 4 to capture the dynamics of the vehicle accurately. This ensures a comprehensive representation of the reachable sets within the specified domain. The equilibrium point of the quarter-car model, as represented by Equation (4), is located at the origin. For that, to determine the linearized system matrix A θ , which is given in Equation (20), we use the parameter values listed in Table 2. The eigenvalues of the linearized system state matrix (21) are λ 1 = 2.935 + 53.007 i , λ 2 = 2.935 53.007 i , λ 3 = 0.287 + 3.355 i , and λ 4 = 0.287 3.355 i . These eigenvalues have negative real parts, which means the system is stable. Also, none of the eigenvalues lie on the imaginary axis j w of the complex plane, thereby satisfying the criterion of Assumption 1.
A = 0 1 0 0 K s 2 M s C M s K s 2 M s C M s 0 0 0 1 K s 2 M u s C M u s K s 2 M u s K t M u s C M u s .
We obtain the linearized system state matrix by substituting the values from Table 2 in the above equation given as
A = 0 1.0 0 0 12.22 0.6217 12.22 0.6217 0 0 0 1.0 114.5 5.823 2825.0 5.823 .

6.1. Reachable Sets for Fixed Parameter

In this subsection, we will discuss the results for the fixed parameter values of the vehicle dynamics as given in Table 2, which will serve as a base to compare the response due to uncertain parameters of the vehicle.
The simulation results have been obtained for the uncertain initial conditions, represented by a four-dimensional sphere g ( z ) = ( z 1 z 1 c ) 2 + ( z 2 z 2 c ) 2 + ( z 3 z 3 c ) 2 + ( z 4 z 4 c ) 2 r 2 with a radius of 0.3 located at (0.5, 0.5). We have projected the sphere onto a two-dimensional plane of chassis displacement z 1 and chassis velocity z 2 or the plane of wheel displacement z 3 and wheel velocity z 4 for better visualization of the results. The forward reachable sets depicted in Figure 4 at different time steps illustrate the possible ranges of displacement and velocity for the chassis of the vehicle over time. Similarly, Figure 5 provides insights into the displacement and velocity behavior of the wheel of the vehicle. These sets help understand the dynamic response and potential future states of the chassis and wheel under uncertain initial conditions, shown in the dotted red circle.
The time-domain simulation trajectories are shown in the gray tube for 10,000 initial conditions from the initial set shown in the dotted red circle. In Figure 4, the simulation results are displayed for 0.5 s, and the forward reachable sets using the Koopman spectrum are obtained at time 0.1 s, 0.3 s and 0.5 s. It can be seen that the results obtained using our approach match completely the results obtained from the time-domain simulation. By analyzing the reachable sets, we can predict the possible future positions and velocities of the vehicle, starting from the uncertain initial condition set. These sets provide a range of potential outcomes based on the dynamics of the vehicle. The vehicle operation is considered safe if these predicted positions and velocities stay within predefined safety limits, ensuring that both the chassis and wheel perform as desired.
The forward reachable sets obtained in Figure 5 for the wheel displacement and velocity give us an idea of the future states and movements of the wheels, starting from their present state. By evaluating the forward reachable sets at different time intervals, we can identify the range of positions and speeds that the wheels can potentially reach in the future. The safety of the vehicle’s future movements can be assessed by evaluating if these sets stay within the defined safe bounds for the intended performance. If the reachable sets are within these bounds, it suggests that the vehicle’s future movements concerning the wheels will be secure and align with the established performance standards.
Next, in Figure 6 and Figure 7, we have shown the backward reachable sets for the chassis and wheel displacement and velocity, respectively. Here, we have denoted an uncertain target set in a dotted blue circle. The reachable sets track the past states and movements of the chassis and wheels of the vehicle, starting from their current positions. By examining the backward reachable sets over different time intervals, we can identify the possible positions and velocities the vehicle could have had previously to arrive at its target state. This helps in understanding the history and trajectory of the vehicle. Backward reachable sets help us assess whether the current state of the vehicle aligns with safety requirements by analyzing its past states. If these reachable sets stay within the predefined safety bounds, it confirms that the historical behavior of the vehicle was safe and that its current state meets the desired performance standards. Essentially, these sets ensure that, given the trajectory of the vehicle, it has remained within safe limits throughout its motion.
In Figure 7, the backward reachable sets for the wheel displacement and velocity give insights into the prior states and movements of the wheels. By analyzing the backward reachable sets at various time intervals, we can determine the range of positions and velocities the wheels could have experienced in the past to reach their current state. The backward reachable sets can be used to evaluate the safety of the vehicle’s prior movements, as they provide information on whether the current state of the wheels is in line with the safety bounds established for the desired performance. If the reachable sets are within the safe bounds, it signifies that the vehicle’s past movements regarding the wheels were safe and their current state is following the defined performance goals.
We compare the results of our proposed Koopman spectrum-based simulations for backward and forward reachable sets with the time-domain simulations represented by the solid gray fill in all the figures. We observed that at each time t, the trajectories obtained in the time domain simulation consistently fall well within the zero-level curve of the calculated reachable sets (shown here as circles), showing the accuracy of our approach. The proposed method is also highly computationally efficient, obtaining the reachable sets in under one minute, even for four-dimensional nonlinear quarter-car dynamics.

6.2. Reachable Sets for Uncertain Parameters

In the last subsection, we discussed the results for the fixed parameters of the vehicle dynamics. In this subsection, we will analyze the impact on the chassis and wheel displacement and velocity due to the uncertain suspension parameters of the vehicle dynamics. As before, our proposed Koopman approach is compared with the time-domain simulation trajectories shown in the gray tube for 10,000 initial conditions from the initial set (for forward reachable sets) shown in the dotted red circle and the target set (for backward reachable sets) shown in the dotted blue circle. In all the figures, the results are obtained at one time instant for varying parameters of the vehicle.
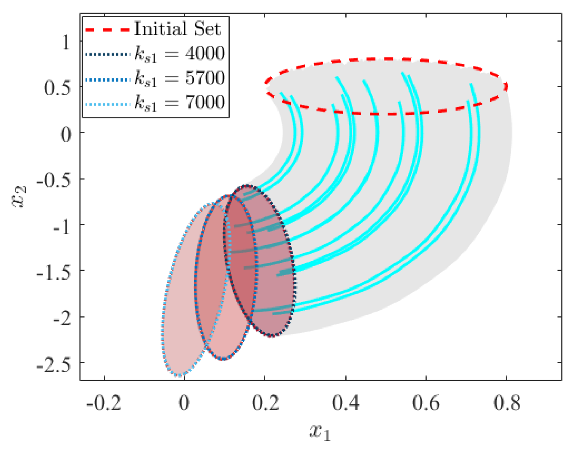
First, we consider the impact of the uncertain linear suspension spring coefficient ( k s 1 ) . It can potentially affect the chassis displacement and velocity by altering the stiffness of the vehicle system. A stiffer or softer spring changes how much the chassis moves and how quickly it responds to road disturbances. For better clarity of the results, we have shown the two values of linear spring coefficient 4000 N/m and 7000 N/m on either side of the base value 5700 N/m. In Figure 8 and Figure 9, the forward and backward reachable sets, respectively, are shown for the chassis displacement and velocity. The red and blue dotted circles show the uncertain initial and target set, respectively. It is evident here that the impact due to uncertainty is visible on the reachable sets for the chassis displacement and velocity.
Next, we consider the uncertain suspension damping coefficient ( C ) . It can significantly impact the chassis displacement and velocity. If the damping value is too high, the chassis displacement is reduced, but the ride becomes stiff, with lower initial velocity. If the damping value is too low, the chassis experiences more significant displacement and higher velocity, leading to a bouncy and potentially unstable ride. In Figure 10 and Figure 11, the forward and backward reachable sets, respectively, are shown for the chassis displacement and velocity. The results of the base value of 290 Ns/m are compared with the values of 200 Ns/m and 400 Ns/m. The red and blue dotted circles show the uncertain initial and target set, respectively. The impact is visible on the reachable sets; however, it is not as significant as the spring coefficient.
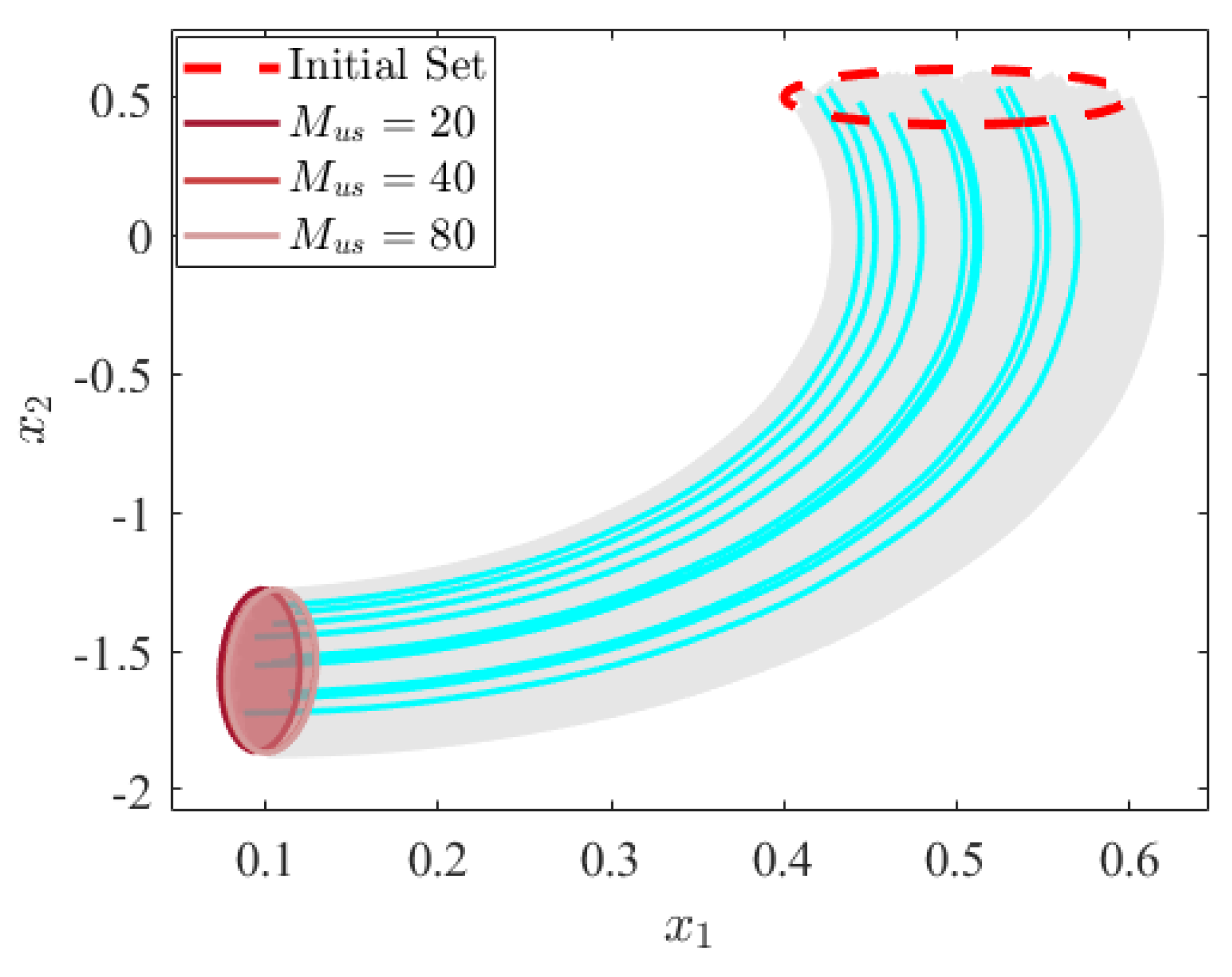
Next, we consider the case of uncertain wheel mass ( M u s ) . The wheel mass impacts the natural frequency of the vehicle, altering the chassis displacement and velocity. A higher wheel mass can lower the natural frequency, thus leading to larger displacements and potential under-damping, which results in prolonged oscillations. Conversely, a lower wheel mass may cause over-damping, therefore reducing velocity response but making the system more sluggish. This variability can impact vehicle stability and ride comfort. Figure 12 and Figure 13 show the forward and backward reachable set, respectively. The red and blue dotted circles show the uncertain initial and target set, respectively. Here, the results are shown for the base value of 60   k g and compared with the values of 20   k g and 100   k g . The impact is more visible in the case of the forward set; however, it is not very significant.
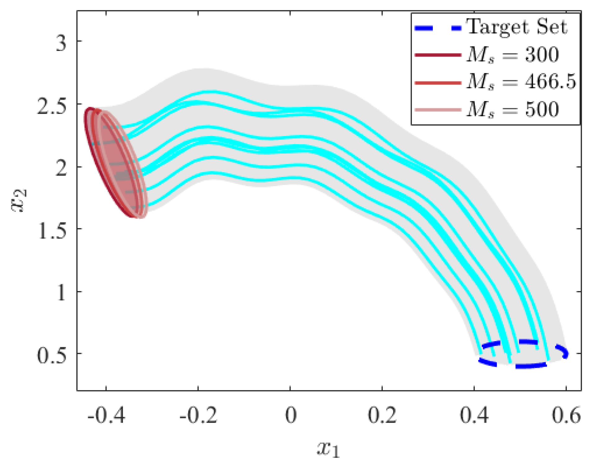
In Figure 14 and Figure 15, we have shown the forward and backward reachable sets for the uncertain chassis mass ( M s ) of the vehicle. The values are compared against the base value of 466.5   k g . The variation in the reachable sets is visible. Uncertain chassis mass impacts displacement and velocity. A heavier chassis increases the inertia of the vehicle, thus resulting in slower acceleration and longer stopping distances. It also affects the suspension stability, altering the handling characteristics of the vehicle. Additionally, changes in mass can shift the center of gravity, further influencing vehicle performance and control during maneuvers.
Lastly, we have considered the case of an uncertain tire spring coefficient ( K t ) for the vehicle. It affects chassis displacement and velocity by introducing variability in ride height and oscillation behavior. A stiffer or softer spring alters the load distribution of the vehicle, thus impacting how the chassis interacts with the road. The uncertainty can lead to unpredictable velocity responses, affecting stability and performance during maneuvers. The results are shown in Figure 16 and Figure 17 for the forward and backward reachable sets, respectively. Here, the results are shown for the values of 70,000 N/m and 200,000 N/m and compared with the base value of 135,000 N/m.
The comparison result of our proposed Koopman spectrum-based simulations for backward and forward reachable sets with the time-domain simulations is accurate in all the cases of the uncertain parameters of the vehicle model. We observed that at terminal time t, the trajectories obtained in the time domain simulation consistently fall well within the zero-level curve of the calculated reachable sets (shown here as multiple circles at the end), showing the accuracy of our approach. The proposed method is also highly computationally efficient, obtaining the reachable sets in under two minutes and reducing the time by almost half in comparison to time-domain simulation, even for four-dimensional nonlinear quarter-car dynamics.
All the results discussed above for the uncertain parameters of the vehicle dynamics are shown for the projection of a four-dimensional sphere of uncertain initial conditions onto the two-dimensional plane of chassis displacement and chassis velocity, as summarized in Table 3. We can extend a similar set of analyses for the projection onto the two-dimensional plane of wheel displacement and wheel velocity.

7. Conclusions

This paper introduces an efficient method of using reachability analysis to analyze the response of vehicle systems to uncertainty using the Koopman spectrum approach. The approach leverages the Koopman principal eigenfunctions of the Koopman operator to obtain both the forward and backward reachable sets for the uncertainty in the vehicle dynamics. A key contribution of our work is to demonstrate that for the observed vehicle model, uncertainty in the suspension spring coefficient and tire spring coefficient has a significantly larger impact on chassis displacement and chassis velocity than other parameters, such as suspension damping, chassis mass, and wheel mass. This insight is critical for vehicle designers seeking to optimize ride quality and stability under uncertain conditions.
The proposed Koopman spectrum approach offers substantial computational advantages over traditional time-domain simulations, reducing analysis time while maintaining accuracy. This efficiency makes our approach a practical tool for real-time applications and large-scale systems. Further, the authors plan to work on the field data for the vehicle model used in this work to validate their results. The approach will involve testing the proposed method on the obtained field data for key performance metrics, such as accuracy and reliability, which will be evaluated through field testing and statistical analysis to ensure practical applicability. Future research will also expand this work by analyzing vehicle performance under external disturbances and road input uncertainty, focusing on assessing stability and control characteristics. The key challenge is to accurately model unpredictable disturbances for the vehicle motion, which can be addressed through advanced simulation techniques and experimental validation, as mentioned above.

Author Contributions

Conceptualization, A.K. (Alok Kumar), B.U. and A.K. (Atul Kelkar); methodology, A.K. (Alok Kumar); software, A.K. (Alok Kumar) and B.U.; validation, A.K. (Alok Kumar), B.U. and A.K. (Atul Kelkar); formal analysis, A.K. (Alok Kumar); investigation, A.K. (Alok Kumar); resources, A.K. (Alok Kumar); data curation, A.K. (Alok Kumar); writing—original draft preparation, A.K. (Alok Kumar); writing—review and editing, B.U. and A.K. (Atul Kelkar); visualization, A.K. (Alok Kumar); supervision, A.K. (Atul Kelkar); project administration, A.K. (Atul Kelkar); funding acquisition, A.K. (Atul Kelkar). All authors have read and agreed to the published version of the manuscript.

Funding

This research received no external funding.

Data Availability Statement

Data are contained within the article.

Conflicts of Interest

The authors declare no conflicts of interest.

References

  1. Goodarzi, A.; Khajepour, A. Vehicle Suspension System Technology and Design; Springer: Berlin/Heidelberg, Germany, 2017. [Google Scholar]
  2. Yazici, H.; Sever, M. L2 gain state derivative feedback control of uncertain vehicle suspension systems. J. Vib. Control 2018, 24, 3779–3794. [Google Scholar] [CrossRef]
  3. Hashemi, N.; Qin, X.; Lindemann, L.; Deshmukh, J.V. Data-driven reachability analysis of stochastic dynamical systems with conformal inference. In Proceedings of the 2023 62nd IEEE Conference on Decision and Control (CDC), Singapore, 13–15 December 2023; pp. 3102–3109. [Google Scholar]
  4. Coppola, A.; D’Aniello, C.; Pariota, L.; Bifulco, G.N. Assessing safety functionalities in the design and validation of driving automation. Transp. Res. Part Emerg. Technol. 2023, 154, 104243. [Google Scholar] [CrossRef]
  5. Kurzhanskiy, A.A.; Varaiya, P. Ellipsoidal techniques for reachability analysis of discrete-time linear systems. IEEE Trans. Autom. Control 2007, 52, 26–38. [Google Scholar] [CrossRef]
  6. Le Guernic, C.; Girard, A. Reachability analysis of linear systems using support functions. Nonlinear Anal. Hybrid Syst. 2010, 4, 250–262. [Google Scholar] [CrossRef]
  7. Althoff, M. Reachability analysis of large linear systems with uncertain inputs in the Krylov subspace. IEEE Trans. Autom. Control 2019, 65, 477–492. [Google Scholar] [CrossRef]
  8. Alanwar, A.; Stürz, Y.; Johansson, K.H. Robust data-driven predictive control using reachability analysis. Eur. J. Control 2022, 68, 100666. [Google Scholar] [CrossRef]
  9. Rousse, P.; Garoche, P.L.; Henrion, D. Parabolic set simulation for reachability analysis of linear time-invariant systems with integral quadratic constraint. Eur. J. Control 2021, 58, 152–167. [Google Scholar] [CrossRef]
  10. Lopez, D.M.; Musau, P.; Hamilton, N.; Johnson, T.T. Reachability Analysis of a General Class of Neural Ordinary Differential Equations. arXiv 2022, arXiv:cs.LG/2207.06531. [Google Scholar]
  11. Bogomolov, S.; Forets, M.; Frehse, G.; Viry, F.; Podelski, A.; Schilling, C. Reach set approximation through decomposition with low-dimensional sets and high-dimensional matrices. In Proceedings of the 21st International Conference on Hybrid Systems: Computation and Control (Part of CPS Week), Porto, Portugal, 11–13 April 2018; pp. 41–50. [Google Scholar]
  12. Althoff, M.; Frehse, G. Combining zonotopes and support functions for efficient reachability analysis of linear systems. In Proceedings of the 2016 IEEE 55th Conference on Decision and Control (CDC), Las Vegas, NV, USA, 12–14 December 2016; pp. 7439–7446. [Google Scholar]
  13. Kulpa, Z.; Pownuk, A.; Skalna, I. Analysis of linear mechanical structures with uncertainties by means of interval methods. Comput. Assist. Methods Eng. Sci. 2023, 5, 443–477. [Google Scholar]
  14. Althoff, M. Reachability analysis of nonlinear systems using conservative polynomialization and non-convex sets. In Proceedings of the 16th International Conference on Hybrid Systems: Computation and Control, Philadelphia, PA, USA, 8–11 April 2013; pp. 173–182. [Google Scholar]
  15. Siefert, J.A.; Bird, T.J.; Koeln, J.P.; Jain, N.; Pangborn, H.C. Reachability Analysis of Nonlinear Systems Using Hybrid Zonotopes and Functional Decomposition. arXiv 2023, arXiv:eess.SY/2304.06827. [Google Scholar]
  16. Bansal, S.; Chen, M.; Herbert, S.; Tomlin, C.J. Hamilton-jacobi reachability: A brief overview and recent advances. In Proceedings of the 2017 IEEE 56th Annual Conference on Decision and Control (CDC), Melbourne, VIC, Australia, 12–15 December 2017; pp. 2242–2253. [Google Scholar]
  17. Chen, M.; Tomlin, C.J. Hamilton–jacobi reachability: Some recent theoretical advances and applications in unmanned airspace management. Annu. Rev. Control Robot. Auton. Syst. 2018, 1, 333–358. [Google Scholar] [CrossRef]
  18. Althoff, M.; Frehse, G.; Girard, A. Set propagation techniques for reachability analysis. Annu. Rev. Control Robot. Auton. Syst. 2021, 4, 369–395. [Google Scholar] [CrossRef]
  19. Schürmann, B.; Klischat, M.; Kochdumper, N.; Althoff, M. Formal safety net control using backward reachability analysis. IEEE Trans. Autom. Control 2021, 67, 5698–5713. [Google Scholar] [CrossRef]
  20. Lakhal, N.M.B.; Adouane, L.; Nasri, O.; Slama, J.B.H. Safe and adaptive autonomous navigation under uncertainty based on sequential waypoints and reachability analysis. Robot. Auton. Syst. 2022, 152, 104065. [Google Scholar] [CrossRef]
  21. Althoff, M.; Dolan, J.M. Online Verification of Automated Road Vehicles Using Reachability Analysis. IEEE Trans. Robot. 2014, 30, 903–918. [Google Scholar] [CrossRef]
  22. Liu, E.I.; Würsching, G.; Klischat, M.; Althoff, M. CommonRoad-Reach: A Toolbox for Reachability Analysis of Automated Vehicles. In Proceedings of the 2022 IEEE 25th International Conference on Intelligent Transportation Systems (ITSC), Macau, China, 8–12 October 2022; pp. 2313–2320. [Google Scholar] [CrossRef]
  23. Suh, J.; Chae, H.; Yi, K. Stochastic Model-Predictive Control for Lane Change Decision of Automated Driving Vehicles. IEEE Trans. Veh. Technol. 2018, 67, 4771–4782. [Google Scholar] [CrossRef]
  24. Malone, N.; Chiang, H.T.; Lesser, K.; Oishi, M.; Tapia, L. Hybrid Dynamic Moving Obstacle Avoidance Using a Stochastic Reachable Set-Based Potential Field. IEEE Trans. Robot. 2017, 33, 1124–1138. [Google Scholar] [CrossRef]
  25. Umathe, B.; Tellez-Castro, D.; Vaidya, U. Reachability Analysis using Spectrum of Koopman Operator. IEEE Control Syst. Lett. 2022, 7, 595–600. [Google Scholar] [CrossRef]
  26. Mezić, I. Analysis of fluid flows via spectral properties of the Koopman operator. Annu. Rev. Fluid Mech. 2013, 45, 357–378. [Google Scholar] [CrossRef]
  27. Mauroy, A.; Susuki, Y.; Mezić, I. Koopman Operator in Systems and Control; Springer: Berlin/Heidelberg, Germany, 2020. [Google Scholar]
  28. Huang, B.; Ma, X.; Vaidya, U. Feedback stabilization using Koopman operator. In Proceedings of the 2018 IEEE Conference on Decision and Control (CDC), Miami, FL, USA, 17–19 December 2018; pp. 6434–6439. [Google Scholar]
  29. Susuki, Y.; Mezic, I.; Raak, F.; Hikihara, T. Applied Koopman operator theory for power systems technology. Nonlinear Theory Its Appl. IEICE 2016, 7, 430–459. [Google Scholar] [CrossRef]
  30. Williams, M.O.; Hemati, M.S.; Dawson, S.T.; Kevrekidis, I.G.; Rowley, C.W. Extending data-driven Koopman analysis to actuated systems. IFAC-PapersOnLine 2016, 49, 704–709. [Google Scholar] [CrossRef]
  31. Kumar, A.; Umathe, B.; Vaidya, U.; Kelkar, A. Reachability Analysis in Ground Vehicle System Using Koopman Operator Theory. In Proceedings of the 2023 15th IEEE International Conference on Industry Applications (INDUSCON), São Bernardo do Campo, Brazil, 22–24 November 2023; pp. 493–498. [Google Scholar]
  32. Schmid, P.J. Dynamic mode decomposition and its variants. Annu. Rev. Fluid Mech. 2022, 54, 225–254. [Google Scholar] [CrossRef]
  33. Williams, M.O.; Kevrekidis, I.G.; Rowley, C.W. A data–driven approximation of the koopman operator: Extending dynamic mode decomposition. J. Nonlinear Sci. 2015, 25, 1307–1346. [Google Scholar] [CrossRef]
  34. Rill, G.; Castro, A.A. Road Vehicle Dynamics: Fundamentals and Modeling with MATLAB®; CRC Press: Boca Raton, FL, USA, 2020. [Google Scholar]
Figure 1. Nonlinear quarter-car dynamic model.
Figure 1. Nonlinear quarter-car dynamic model.
Machines 12 00753 g001
Figure 2. Flowchart for the complete process of our proposed Koopman approach for uncertainty analysis.
Figure 2. Flowchart for the complete process of our proposed Koopman approach for uncertainty analysis.
Machines 12 00753 g002
Figure 4. Forward reachable sets obtained using the proposed Koopman approach at different times (shown in different colors) for the chassis displacement x 1 and chassis velocity x 2 . The gray tube shows the trajectories obtained from the time-domain simulation with some of the trajectories shown in cyan color.
Figure 4. Forward reachable sets obtained using the proposed Koopman approach at different times (shown in different colors) for the chassis displacement x 1 and chassis velocity x 2 . The gray tube shows the trajectories obtained from the time-domain simulation with some of the trajectories shown in cyan color.
Machines 12 00753 g004
Figure 5. Forward reachable sets obtained using the proposed Koopman approach at different times (shown in different colors) for the wheel displacement x 3 and wheel velocity x 4 . The gray tube shows the trajectories obtained from the time-domain simulation with some of the trajectories shown in cyan color.
Figure 5. Forward reachable sets obtained using the proposed Koopman approach at different times (shown in different colors) for the wheel displacement x 3 and wheel velocity x 4 . The gray tube shows the trajectories obtained from the time-domain simulation with some of the trajectories shown in cyan color.
Machines 12 00753 g005
Figure 6. Backward reachable sets obtained using the proposed Koopman approach at different times (shown in different colors) at different times for the chassis displacement x 1 and chassis velocity x 2 . The gray tube shows the trajectories obtained from the time-domain simulation with some of the trajectories shown in cyan color.
Figure 6. Backward reachable sets obtained using the proposed Koopman approach at different times (shown in different colors) at different times for the chassis displacement x 1 and chassis velocity x 2 . The gray tube shows the trajectories obtained from the time-domain simulation with some of the trajectories shown in cyan color.
Machines 12 00753 g006
Figure 7. Backward reachable sets obtained using the proposed Koopman approach at different times (shown in different colors) at different times for the wheel displacement x 3 and wheel velocity x 4 . The gray tube shows the trajectories obtained from the time-domain simulation with some of the trajectories shown in cyan color.
Figure 7. Backward reachable sets obtained using the proposed Koopman approach at different times (shown in different colors) at different times for the wheel displacement x 3 and wheel velocity x 4 . The gray tube shows the trajectories obtained from the time-domain simulation with some of the trajectories shown in cyan color.
Machines 12 00753 g007
Figure 8. Forward reachable sets at a fixed time for the chassis displacement ( x 1 ) and chassis velocity ( x 2 ) for varying suspension spring coefficient. The gray tube shows the trajectories obtained from the time-domain simulation with some of the trajectories shown in cyan color.
Figure 8. Forward reachable sets at a fixed time for the chassis displacement ( x 1 ) and chassis velocity ( x 2 ) for varying suspension spring coefficient. The gray tube shows the trajectories obtained from the time-domain simulation with some of the trajectories shown in cyan color.
Machines 12 00753 g008
Figure 9. Backward reachable sets at a fixed time for the chassis displacement ( x 1 ) and chassis velocity ( x 2 ) for varying suspension spring coefficient. The gray tube shows the trajectories obtained from the time-domain simulation with some of the trajectories shown in cyan color.
Figure 9. Backward reachable sets at a fixed time for the chassis displacement ( x 1 ) and chassis velocity ( x 2 ) for varying suspension spring coefficient. The gray tube shows the trajectories obtained from the time-domain simulation with some of the trajectories shown in cyan color.
Machines 12 00753 g009
Figure 10. Forward reachable sets at a given fixed time for the chassis displacement ( x 1 ) and chassis velocity ( x 2 ) for varying suspension damping coefficient. The gray tube shows the trajectories obtained from the time-domain simulation with some of the trajectories shown in cyan color.
Figure 10. Forward reachable sets at a given fixed time for the chassis displacement ( x 1 ) and chassis velocity ( x 2 ) for varying suspension damping coefficient. The gray tube shows the trajectories obtained from the time-domain simulation with some of the trajectories shown in cyan color.
Machines 12 00753 g010
Figure 11. Backward reachable sets at a fixed time for the chassis displacement ( x 1 ) and chassis velocity ( x 2 ) showing the impact of varying suspension damping coefficient. The gray tube shows the trajectories obtained from the time-domain simulation with some of the trajectories shown in cyan color.
Figure 11. Backward reachable sets at a fixed time for the chassis displacement ( x 1 ) and chassis velocity ( x 2 ) showing the impact of varying suspension damping coefficient. The gray tube shows the trajectories obtained from the time-domain simulation with some of the trajectories shown in cyan color.
Machines 12 00753 g011
Figure 12. Forward reachable sets at a given time for the chassis displacement ( x 1 ) and chassis velocity ( x 2 ) for varying wheel mass. The gray tube shows the trajectories obtained from the time-domain simulation with some of the trajectories shown in cyan color.
Figure 12. Forward reachable sets at a given time for the chassis displacement ( x 1 ) and chassis velocity ( x 2 ) for varying wheel mass. The gray tube shows the trajectories obtained from the time-domain simulation with some of the trajectories shown in cyan color.
Machines 12 00753 g012
Figure 13. Backward reachable sets at a fixed time for the chassis displacement ( x 1 ) and chassis velocity ( x 2 ) for varying wheel mass. The gray tube shows the trajectories obtained from the time-domain simulation with some of the trajectories shown in cyan color.
Figure 13. Backward reachable sets at a fixed time for the chassis displacement ( x 1 ) and chassis velocity ( x 2 ) for varying wheel mass. The gray tube shows the trajectories obtained from the time-domain simulation with some of the trajectories shown in cyan color.
Machines 12 00753 g013
Figure 14. Forward reachable sets at a fixed time for the chassis displacement ( x 1 ) and chassis velocity ( x 2 ) for varying chassis mass. The gray tube shows the trajectories obtained from the time-domain simulation with some of the trajectories shown in cyan color.
Figure 14. Forward reachable sets at a fixed time for the chassis displacement ( x 1 ) and chassis velocity ( x 2 ) for varying chassis mass. The gray tube shows the trajectories obtained from the time-domain simulation with some of the trajectories shown in cyan color.
Machines 12 00753 g014
Figure 15. Backward reachable sets shown at a fixed time for the chassis displacement ( x 1 ) and chassis velocity ( x 2 ) for the case of varying chassis mass. The gray tube shows the trajectories obtained from the time-domain simulation with some of the trajectories shown in cyan color.
Figure 15. Backward reachable sets shown at a fixed time for the chassis displacement ( x 1 ) and chassis velocity ( x 2 ) for the case of varying chassis mass. The gray tube shows the trajectories obtained from the time-domain simulation with some of the trajectories shown in cyan color.
Machines 12 00753 g015
Figure 16. Forward reachable sets shown at a fixed time for the chassis displacement ( x 1 ) and chassis velocity ( x 2 ) for varying tire spring coefficient. The gray tube shows the trajectories obtained from the time-domain simulation with some of the trajectories shown in cyan color.
Figure 16. Forward reachable sets shown at a fixed time for the chassis displacement ( x 1 ) and chassis velocity ( x 2 ) for varying tire spring coefficient. The gray tube shows the trajectories obtained from the time-domain simulation with some of the trajectories shown in cyan color.
Machines 12 00753 g016
Figure 17. Backward reachable sets at a given fixed time for the chassis displacement ( x 1 ) and chassis velocity ( x 2 ) for varying tire spring coefficient. The gray tube shows the trajectories obtained from the time-domain simulation with some of the trajectories shown in cyan color.
Figure 17. Backward reachable sets at a given fixed time for the chassis displacement ( x 1 ) and chassis velocity ( x 2 ) for varying tire spring coefficient. The gray tube shows the trajectories obtained from the time-domain simulation with some of the trajectories shown in cyan color.
Machines 12 00753 g017
Table 1. States of the nonlinear quarter-car model.
Table 1. States of the nonlinear quarter-car model.
States Meaning
x 1 z 1 Chassis displacement
x 2 z ˙ 1 Chassis velocity
x 3 z 2 Wheel displacement
x 4 z ˙ 2 Wheel velocity
Table 2. Values of the parameters of the nonlinear quarter-car model [34].
Table 2. Values of the parameters of the nonlinear quarter-car model [34].
VariableMeaningValue
M s Chassis mass (kg)466.5
CSuspension damping coefficient (Ns/m)290
K s 1 Suspension spring coefficient (N/m)5700
K s 2 Suspension spring coefficient (N/m)100
M u s Wheel mass (kg)60
K t Tire spring coefficient (N/m)135,000
Table 3. Summary of analysis of uncertain parameter on chassis displacement x 1 and chassis velocity x 2 using forward and backward reachable sets.
Table 3. Summary of analysis of uncertain parameter on chassis displacement x 1 and chassis velocity x 2 using forward and backward reachable sets.
ParameterUpper LimitBase ValueLower Limit
K s 1 (N/m)700057004000
C (Ns/m)400290200
M u s (kg)806020
M s (kg)500466.5300
K t (N/m)200,000135,00070,000
Disclaimer/Publisher’s Note: The statements, opinions and data contained in all publications are solely those of the individual author(s) and contributor(s) and not of MDPI and/or the editor(s). MDPI and/or the editor(s) disclaim responsibility for any injury to people or property resulting from any ideas, methods, instructions or products referred to in the content.

Share and Cite

MDPI and ACS Style

Kumar, A.; Umathe, B.; Kelkar, A. A Koopman Reachability Approach for Uncertainty Analysis in Ground Vehicle Systems. Machines 2024, 12, 753. https://doi.org/10.3390/machines12110753

AMA Style

Kumar A, Umathe B, Kelkar A. A Koopman Reachability Approach for Uncertainty Analysis in Ground Vehicle Systems. Machines. 2024; 12(11):753. https://doi.org/10.3390/machines12110753

Chicago/Turabian Style

Kumar, Alok, Bhagyashree Umathe, and Atul Kelkar. 2024. "A Koopman Reachability Approach for Uncertainty Analysis in Ground Vehicle Systems" Machines 12, no. 11: 753. https://doi.org/10.3390/machines12110753

APA Style

Kumar, A., Umathe, B., & Kelkar, A. (2024). A Koopman Reachability Approach for Uncertainty Analysis in Ground Vehicle Systems. Machines, 12(11), 753. https://doi.org/10.3390/machines12110753

Note that from the first issue of 2016, this journal uses article numbers instead of page numbers. See further details here.

Article Metrics

Back to TopTop