A Decoupling Module Based on a Geometrical-Balance Mechanism for Mitigating Cable Length Variation in Cable-Driven Applications
Abstract
1. Introduction
1.1. Coupling Problem in Cables
1.2. Related Works on Decoupling Mechanism
2. Design of Decoupling Mechanism
2.1. Principle Design
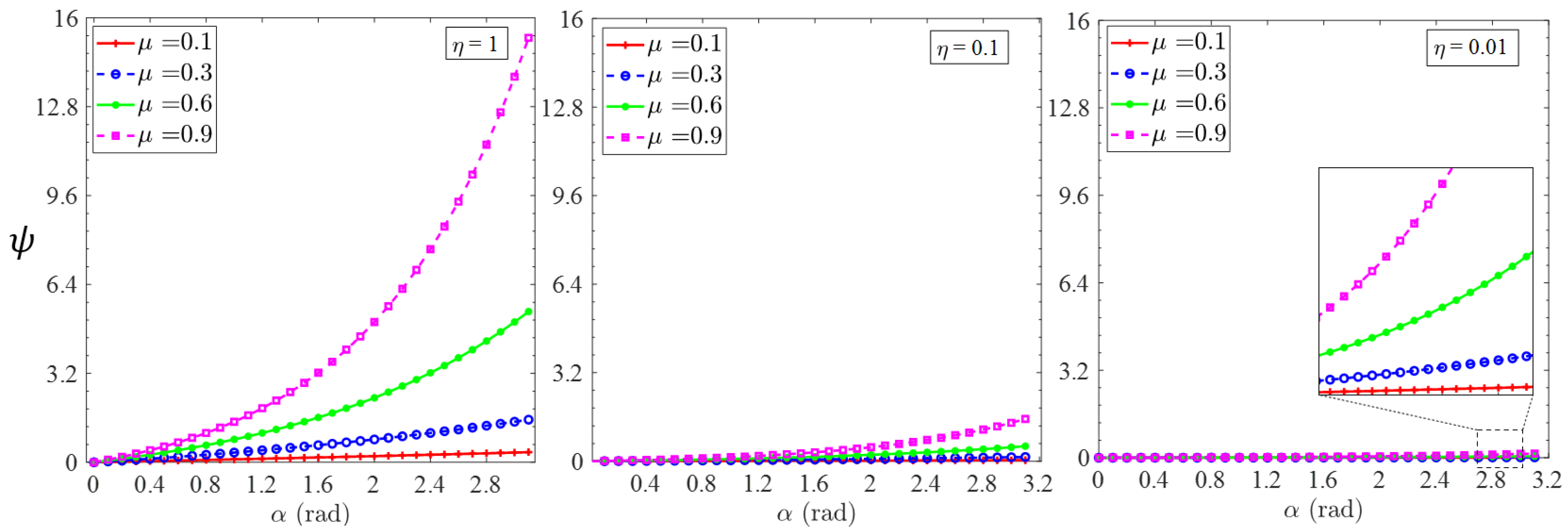
2.2. Influence of Decoupling Mechanism to Structure Kinematic

2.3. Three-Dimensional Model of the Decoupling
3. Results
3.1. Experimental Setup
3.2. Electrical Design and Control
3.3. Decoupling Mechanism Force Test
3.4. Non-Decoupling Mechanism Force Test
3.5. Influence of the Dimension Tolerance on the Cable Length
3.6. Influence of Friction on the Cable and Controlling System
4. Conclusions
Author Contributions
Funding
Institutional Review Board Statement
Informed Consent Statement
Data Availability Statement
Conflicts of Interest
References
- Nikafrooz, N.; Leonessa, A. A Single-Actuated, Cable-Driven, and Self-Contained Robotic Hand Designed for Adaptive Grasps. Robotics 2021, 10, 109. [Google Scholar] [CrossRef]
- Nguyen, V.P.; Dhyan, S.B.; Han, B.S.; Chow, W.T. Universally Grasping Objects with Granular—Tendon Finger: Principle and Design. Micromachines 2023, 14, 1471. [Google Scholar] [CrossRef] [PubMed]
- Manti, M.; Hassan, T.; Passetti, G.; D’Elia, N.; Laschi, C.; Cianchetti, M. A Bioinspired Soft Robotic Gripper for Adaptable and Effective Grasping. Soft Robot. 2015, 2, 107–116. [Google Scholar] [CrossRef]
- Goh, G.L.; Goh, G.D.; Toh, W.; Lee, S.; Li, X.; Lim, J.Y.; Li, Z.; Sinha, A.K.; Yeong, W.Y.; Campolo, D.; et al. A 3D Printing-Enabled Artificially Innervated Smart Soft Gripper with Variable Joint Stiffness. Adv. Mater. Technol. 2023, 8, 2301426. [Google Scholar] [CrossRef]
- Goh, G.L.; Huang, X.; Toh, W.; Li, Z.; Lee, S.; Yeong, W.Y.; Han, B.S.; Ng, T.Y. Joint angle prediction for a cable-driven gripper with variable joint stiffness through numerical modeling and machine learning. Int. J. Mater. Des. 2024, 1, 62–74. [Google Scholar] [CrossRef]
- Goh, G.D.; Goh, G.L.; Lyu, Z.; Ariffin, M.Z.; Yeong, W.Y.; Lum, G.Z.; Campolo, D.; Han, B.S.; Wong, H.Y.A. 3D Printing of Robotic Soft Grippers: Toward Smart Actuation and Sensing. Adv. Mater. Technol. 2022, 7, 2101672. [Google Scholar] [CrossRef]
- Nguyen, V.P.; Dhyan, S.B.; Mai, V.; Han, B.S.; Chow, W.T. Bioinspiration and Biomimetic Art in Robotic Grippers. Micromachines 2023, 14, 1772. [Google Scholar] [CrossRef]
- Van, N.P.; Anh, H.V. Grasping Interface With Wet Adhesion and Patterned Morphology: Case of Thin Shell. IEEE Robot. Autom. Lett. 2019, 4, 792–799. [Google Scholar]
- Nguyen, V.P. Picking food by robot hand with tree-frog like pad in various wet conditions. Eng. Res. Express 2024, 6, 015086. [Google Scholar] [CrossRef]
- Nguyen, P.V.; Sunil, D.B.; Chow, T.W. Soft-stable interface in grasping multiple objects by wiring-tension. Sci. Rep. 2023, 13, 21537. [Google Scholar] [CrossRef]
- Nguyen, V.P.; Chow, W.T. Wiring-Claw Gripper for Soft-Stable Picking up Multiple Objects. IEEE Robot. Autom. Lett. 2023, 8, 3972–3979. [Google Scholar] [CrossRef]
- Lin, J.; Chiang, C.K. Motion control of a cable-suspended robot using image recognition with coordinate transformation. Proc. Inst. Mech. Eng. Part I J. Syst. Control Eng. 2021, 235, 52–67. [Google Scholar] [CrossRef]
- Tommasino, P.; Gamage, K.C.W.; Masia, L.; Hughes, C.M.L.; Campolo, D. A novel robot for arm motor therapy with homogeneous mechanical properties. In Proceedings of the 2014 13th International Conference on Control Automation Robotics & Vision (ICARCV), Singapore, 10–12 December 2014; Volume 6, pp. 1292–1297. [Google Scholar]
- Campolo, D.; Tommasino, P.; Gamage, K.; Klein, J.; Hughes, C.M.; Masia, L. H-Man: A planar, H-shape cabled differential robotic manipulandum for experiments on human motor control. J. Neurosci. Methods 2014, 235, 285–297. [Google Scholar] [CrossRef] [PubMed]
- Qian, S.t. A Review on Cable-driven Parallel Robots. Chin. J. Mech. Eng. 2018, 31, 66. [Google Scholar] [CrossRef]
- Yeshmukhametov, A.; Koganezawa, K.; Yamamoto, Y. A Novel Discrete Wire-Driven Continuum Robot Arm with Passive Sliding Disc: Design, Kinematics and Passive Tension Control. Robotics 2019, 8, 51. [Google Scholar] [CrossRef]
- Rao, P.; Peyron, Q.; Lilge, S.; Burgner-Kahrs, J. How to Model Tendon-Driven Continuum Robots and Benchmark Modelling Performance. Front. Robot. AI 2021, 7, 630245. [Google Scholar] [CrossRef]
- Choi, K.; Kwon, J.; Lee, T.; Park, C.; Pyo, J.; Lee, C.; Lee, S.; Kim, I.; Seok, S.; Kim, Y.J.; et al. A hybrid dynamic model for the AMBIDEX tendon-driven manipulator. Mechatronics 2020, 69, 102398. [Google Scholar] [CrossRef]
- Jiang, H.; Zhang, T.; Xiao, C.; Li, J.; Guan, Y. Modular Design of 7-DOF Cable-Driven Humanoid Arms. In Proceedings of the Intelligent Robotics and Applications; Yu, Y., Yu, J., Liu, L., Ju, Z., Liu, Y., Zhou, D., Eds.; Springer International Publishing: Cham, Switzerland, 2019. [Google Scholar]
- Nguyen, V.P.; Chow, W.T.; Dhyan, S.B.; Zhang, B.; Han, B.S.; Wong, H.Y.A. Low-Cost Cable-Driven Robot Arm with Low-Inertia Movement and Long-Term Cable Durability. Robotics 2024, 13, 9. [Google Scholar]
- Huang, L.; Liu, B.; Zhang, L.; Yin, L. Equilibrium Conformation of a Novel Cable-Driven Snake-Arm Robot under External Loads. Micromachines 2022, 13, 1149. [Google Scholar] [CrossRef]
- Grosu, S.; De Rijcke, L.; Grosu, V.; Geeroms, J.; Vanderboght, B.; Lefeber, D.; Rodriguez-Guerrero, C. Driving Robotic Exoskeletons Using Cable-Based Transmissions: A Qualitative Analysis and Overview. Appl. Mech. Rev. 2019, 70, 060801. [Google Scholar] [CrossRef]
- Sanjuan, J.; Castillo, A.; Padilla, M.; Quintero, M.; Gutierrez, E.; Sampayo, I.; Hernandez, J.; Rahman, M. Cable driven exoskeleton for upper-limb rehabilitation: A design review. Robot. Auton. Syst. 2020, 126, 103445. [Google Scholar] [CrossRef]
- Kuan, J.Y.; Pasch, K.A.; Herr, H.M. A High-Performance Cable-Drive Module for the Development of Wearable Devices. IEEE ASME Trans. Mechatronics 2018, 23, 1238–1248. [Google Scholar] [CrossRef]
- Wang, W.; Yu, L.; Yang, J. Toward force detection of a cable-driven micromanipulator for a surgical robot based on disturbance observer. Mech. Sci. 2017, 8, 103445. [Google Scholar] [CrossRef]
- Jiang, S.; Hua, D.; Wang, Y.; Ju, F.; Yin, L.; Chen, B. Design and modeling of motion-decoupling mechanism for cable-driven joints. Adv. Mech. Eng. 2018, 10, 1687814018777428. [Google Scholar] [CrossRef]
- Kim, Y.J. Design of low inertia manipulator with high stiffness and strength using tension amplifying mechanisms. In Proceedings of the 2015 IEEE/RSJ International Conference on Intelligent Robots and Systems (IROS), Hamburg, Germany, 28 September–2 October 2015; pp. 5850–5856. [Google Scholar]
- Quigley, M.; Asbeck, A.; Ng, A. A low-cost compliant 7-DOF robotic manipulator. In Proceedings of the 2011 IEEE International Conference on Robotics and Automation, Shanghai, China, 9–13 May 2011; pp. 6051–6058. [Google Scholar]
- Treratanakulchai, S.; Rodriguez y Baena, F. A Passive Decoupling Mechanism for Misalignment Compensation in Master-Slave Teleoperation. IEEE Trans. Med Robot. Bionics 2021, 3, 285–288. [Google Scholar] [CrossRef]
- Liu, T.; Hao, G. Design of a Cylindrical Compliant Linear Guide with Decoupling Parallelogram Mechanisms. Micromachines 2022, 13, 1275. [Google Scholar] [CrossRef]
- Zhao, B.; Nelson, C.A. Decoupled Cable-Driven Grasper Design Based on Planetary Gear Theory. J. Med. Devices 2013, 7, 020918. [Google Scholar] [CrossRef]
- Wang, D.; Wu, J.; Wang, L. Research on the error transfer characteristics of a 3-DOF parallel tool head. Robot. Comput.-Integr. Manuf. 2018, 50, 266–275. [Google Scholar] [CrossRef]
- Wang, D.; Wu, J.; Wang, L.; Liu, Y. A Postprocessing Strategy of a 3-DOF Parallel Tool Head Based on Velocity Control and Coarse Interpolation. IEEE Trans. Ind. Electron. 2018, 65, 6333–6342. [Google Scholar]
- Gupta, B.S.; Ajayi, J.O.; Kutsenko, M. Experimental methods for analyzing friction in textiles. In Friction in Textile Materials; Gupta, B., Ed.; Woodhead Publishing: Sawston, UK, 2008; pp. 174–221. [Google Scholar]
- Kuhm, D.; Bueno, M.A.; Knittel, D. Fabric friction behavior: Study using capstan equation and introduction into a fabric transport simulator. Text. Res. J. 2014, 84, 1070–1083. [Google Scholar] [CrossRef]
- Yang, G.; Mustafa, S.K.; Yeo, S.H.; Lin, W.; Lim, W.B. Kinematic design of an anthropomimetic 7-DOF cable-driven robotic arm. Front. Mech. Eng. 2011, 6, 45–60. [Google Scholar]
- Min, S.; Yi, S. Development of Cable-driven Anthropomorphic Robot Hand. IEEE Robot. Autom. Lett. 2021, 6, 1176–1183. [Google Scholar] [CrossRef]
- Shi, K.; Song, A.; Li, Y.; Li, H.; Chen, D.; Zhu, L. A Cable-Driven Three-DOF Wrist Rehabilitation Exoskeleton With Improved Performance. Front. Neurorobotics 2021, 15, 664062. [Google Scholar] [CrossRef] [PubMed]
- Ramirez, J.; Rubiano, A.; Castiblanco, P. Soft Driving Epicyclical Mechanism for Robotic Finger. Actuators 2019, 8, 58. [Google Scholar] [CrossRef]
- Wang, Y.; Tian, Y.; She, H.; Jiang, Y.; Yokoi, H.; Liu, Y. Design of an Effective Prosthetic Hand System for Adaptive Grasping with the Control of Myoelectric Pattern Recognition Approach. Micromachines 2022, 13, 219. [Google Scholar] [CrossRef]
- Nguyen, V.P.; Sunil Bohra, D.; Han, B.S.; Chow, W.T. Towards Flexible Manipulation with Wiring-Base Robot Hand. In Proceedings of the Robot Intelligence Technology and Applications 7; Springer: Cham, Switzerland, 2023; pp. 385–392. [Google Scholar]
- Zhang, Y.; Xia, D.; Lu, Q.; Zhang, Q.; Wei, H.; Chen, W. Design, Analysis and Experimental Research of Dual-Tendon-Driven Underactuated Gripper. Machines 2022, 10, 761. [Google Scholar] [CrossRef]














| = 0.1 | = 0.3 | = 0.6 | = 0.9 | |
|---|---|---|---|---|
| 0.1 | 1.53 | 0.54 | 0.15 | 0.04 |
| 0.01 | 0.15 | 0.05 | 0.02 | 0.004 |
| Angle | Force = 5 | Force = 20 | Force = 30 |
|---|---|---|---|
| 0° | 210 ∣ 5.5 | 270 ∣ 20 | 370 ∣ 30 |
| 30° | 136 ∣ 4.6 | 153 ∣ 15.5 | 300 ∣ 25.9 |
| 60° | 27 ∣ 5.3 | 63 ∣ 17.7 | 150 ∣ 28.3 |
| 80° | 4.5 ∣ 5.3 | 21 ∣ 18.7 | 32 ∣ 29.5 |
| Angle | Force = 5 N | Force = 20 N | Force = 30 N |
|---|---|---|---|
| 0° | 10.7% ∣ 0.3% | 13.8% ∣ 1% | 18.9% ∣ 1.5% |
| 30° | 6.9% ∣ 0.2% | 7.8% ∣ 0.8% | 15.3% ∣ 1.3% |
| 60° | 1.4% ∣ 0.3% | 3.2% ∣ 0.9% | 7.6% ∣ 1.4% |
| 80° | 0.2% ∣ 0.3% | 1.1% ∣ 1% | 1.6% ∣ 1.5% |
Disclaimer/Publisher’s Note: The statements, opinions and data contained in all publications are solely those of the individual author(s) and contributor(s) and not of MDPI and/or the editor(s). MDPI and/or the editor(s) disclaim responsibility for any injury to people or property resulting from any ideas, methods, instructions or products referred to in the content. |
© 2024 by the authors. Licensee MDPI, Basel, Switzerland. This article is an open access article distributed under the terms and conditions of the Creative Commons Attribution (CC BY) license (https://creativecommons.org/licenses/by/4.0/).
Share and Cite
Nguyen, V.P.; Dhyan, S.B.; Chow, W.T. A Decoupling Module Based on a Geometrical-Balance Mechanism for Mitigating Cable Length Variation in Cable-Driven Applications. Machines 2024, 12, 755. https://doi.org/10.3390/machines12110755
Nguyen VP, Dhyan SB, Chow WT. A Decoupling Module Based on a Geometrical-Balance Mechanism for Mitigating Cable Length Variation in Cable-Driven Applications. Machines. 2024; 12(11):755. https://doi.org/10.3390/machines12110755
Chicago/Turabian StyleNguyen, Van Pho, Sunil Bohra Dhyan, and Wai Tuck Chow. 2024. "A Decoupling Module Based on a Geometrical-Balance Mechanism for Mitigating Cable Length Variation in Cable-Driven Applications" Machines 12, no. 11: 755. https://doi.org/10.3390/machines12110755
APA StyleNguyen, V. P., Dhyan, S. B., & Chow, W. T. (2024). A Decoupling Module Based on a Geometrical-Balance Mechanism for Mitigating Cable Length Variation in Cable-Driven Applications. Machines, 12(11), 755. https://doi.org/10.3390/machines12110755

