Next Article in Journal
Numerical Investigation of the U-Steel Guard Rail Used in Train-to-Train Collision Tests
Previous Article in Journal
Investigation on Dynamic Characteristics of Spur Gear Transmission System with Crack Fault
 
 
Font Type:
Arial Georgia Verdana
Font Size:
Aa Aa Aa
Line Spacing:
Column Width:
Background:
Article

Low-Velocity Impact Resistance of Double-Layer Folded Sandwich Structure

1
School of Mechanical and Power Engineering, Zhengzhou University, Zhengzhou 450001, China
2
Department of Mechanical Engineering, Memorial University of Newfoundland, St. John’s, NL A1B 3X5, Canada
*
Author to whom correspondence should be addressed.
Machines 2022, 10(8), 665; https://doi.org/10.3390/machines10080665
Submission received: 5 July 2022 / Revised: 27 July 2022 / Accepted: 5 August 2022 / Published: 7 August 2022
(This article belongs to the Section Machine Design and Theory)

Abstract

The folded sandwich structure might inevitably be impacted at low velocity when it is working, which will lead to the decline of the mechanical properties. The low-velocity impact resistance of the double-layer V-shaped aluminium folded sandwich structure is researched by the finite element method. It was found that the damage mode and the proportion of energy absorption of the double-layer and single-layer folded sandwich structures are different under low-velocity impact, and the impact stiffness and energy-absorbing capacity of the double-layer structure are better than those of the single-layer structure when the impact energy is small. In addition, in view of the low-velocity impact response characteristics of the double-layer V-shaped aluminum folded sandwich structure, two methods are proposed to improve its impact stiffness. Both methods ensure that the total mass of the structure remains unchanged. One method keeps the inner panel still and changes the wall thickness distribution of the top and bottom cores, and the wall thickness of the top core is increased. The other method keeps the wall thickness of the cores unchanged, and the inner panel is moved upward. From the finite element results, it can be seen that after increasing the wall thickness of the top core from 0.25 mm to 0.4 mm, the maximum impact distance of the impactor decreases by 30.3% when the impact energy is 5 J, and it decreases by 23.1% when the impact energy is 10 J, and with 20 J, it decreases by 14.5%. After reducing the height of the top core from 12.5 mm to 5 mm, the maximum impact distance of the impactor is reduced by 22.86% when the impact energy is 5 J, 21.85% when the impact energy is 10 J, and 20.51% when the impact energy is 40 J. The improvement is obvious. The two methods can increase the equivalent density of the top core, which can increase the stiffness of the top core. For the double-layer structure, the stiffness of the top core near the impact point has a greater influence on the low-velocity impact resistance of the entire structure.

1. Introduction

Sandwich structures are widely used in aerospace and other fields due to their light weight, high specific strength, and high specific stiffness. The sandwich structure mainly includes honeycomb sandwich structure [1], lattice sandwich structure [2], and folded sandwich structure [3]. Honeycomb sandwich structure is currently the most widely used sandwich structure, and a large number of experimental and numerical results have been published on the performance of honeycomb cores. The honeycomb sandwich structure is mainly used for the secondary structure in the aircraft [4], but due to the closed-cell structure, it is easy to cause water vapor condensation, which not only increases the weight of the structure, but also breaks the adhesion between the core and the panels. Thereby, the mechanical properties of the structure are reduced, and the folded sandwich structure is thus introduced. The folded sandwich structure is a new type of sandwich structure. Different from the honeycomb core, the foldcore is a three-dimensional periodic structure formed by folding flat materials according to certain rules. The folded sandwich structure, which takes into account the mechanical properties of multiple directions, has good application prospects in many fields, and because of its open channel design, it solves the problem of water vapor condensation in the honeycomb sandwich structure, and is expected to replace the honeycomb sandwich structure and become the mainstream sandwich structure. However, as a kind of sandwich structure, it has low resistance to impact loads acting on the plane of the sandwich, which is a result of the low resistance to localized compressive loads typical of very thin faces and cores. When the folded sandwich structure is used in the aviation field, it will inevitably be affected by low-velocity impact, such as the impact of the runway gravel when the plane takes off, and the falling of maintenance tools during maintenance, which will cause certain damage to the structure.
The researchers explored the effects of core configuration [5,6,7,8,9,10] and core material [11,12,13,14,15] on the mechanical properties of foldcores, ranging from classic V-shaped to improved S- and M-shaped cores as well as curved-crease foldcores, with the core materials mainly including fiber-reinforced materials, metal foils, and plastics. Taking into account the economic applicability, the finite element method is proposed for research, [16,17,18] verified that this method has considerable reliability and can greatly improve the research efficiency. The researchers used different finite element modeling methods to study the mechanical behavior of sandwich structures, such as [19,20] who replaced the honeycomb core with an equivalent continuum model of 3D solid elements. The honeycomb core was modeled as an orthotropic material uncoupled in three orthogonal directions to predict the impact behaviors of the honeycomb sandwich panels. The homogenization model is a convenient way to represent the geometry of the core and can simulate its macroscopic mechanical behavior well, but it is not suitable for simulating the local damage and failure of the core; [21] instead proposed a meso-modeling method for foldcores. The meso-model is a method of explicitly modeling the core using shell elements, which can simulate the state of the core wall before and after buckling well. Resin-impregnated aramid paper is commonly used to manufacture foldcore, with [22] proposing a new method for the establishment of meso-model of foldcore made of this material, considering its non-uniform distribution in thickness. The meso-model often leads to an overestimation of the true stiffness and strength of the structure, because the geometry of such model tends to be perfect, so [23] proposed several modeling methods for introducing imperfections into the core. One measure is to add actual imperfections to the mesh, where the global imperfections are simulated by the random geometric distortion, and the local imperfections of the cell wall are simulated by the node shaking. Another measure is to maintain ideal mesh but the properties of the cell wall are reduced, so [24] considered modeling the folding process itself to generate physically consistent imperfections. At the same time, due to the large number of elements in the meso-model, the computational cost increases. The multi-scale method reduces the computational cost to a certain extent by combining the meso-model and the homogenization model, which is an effective method for simulating the impact of large-scale sandwich structures. The authors of [25,26] adopted a multi-scale approach to model the aluminum honeycomb sandwich structure, where the honeycomb core was modeled in two regions, with hexagonal cells near the impact point for meso-modeling and further away with homogeneous solid elements. Reference [27] used a homogenised core model in an implicit FE code simulation environment to investigate a multiscale failure analysis method. The required mechanical response of the foldcore was identified by performing explicit code FE simulations on detailed core micromodels at the unit cell level.
There are many configuration parameters of the foldcore. Compared with the hexagonal honeycomb structure, whose unit cell geometry can be determined by the inner diameter D and height H, the widely used V-shaped foldcore requires four independent parameters to determine the geometry of its unit cell, including V-line length l, length half angle α, folding half angle β, and core height h. These parameters affect the mechanical properties of the foldcore to varying degrees, and the cell walls of the foldcore and the hexagonal honeycomb core are different. The cell wall of the hexagonal honeycomb is in the vertical direction, so changing its height will not change the relative density of the core, whereas the cell wall of the foldcore forms a certain angle with the vertical direction, and the size of the angle is the value of the length half angle α. The change in height brings about the change in the relative density of the foldcore, which will largely affect the impact resistance of the structure. The existing research results on gradient honeycombs have been extensive, mainly from the aspects of wall thickness gradient [28], angle gradient [29], and functional gradient [30]. The results found that layered gradient honeycomb can achieve better low-velocity impact resistance and better energy absorption effect. At present, the research on folded sandwich structures mainly focuses on single-layer structures, and there are not many researches on multi-layer folded sandwich structures. Due to the numerous configuration parameters of the foldcore, when the multi-layer structure is adopted, the designability is stronger. This paper discusses the low-velocity impact resistance of the double-layer V-shaped aluminum folded sandwich structure, and compares it with the single-layer structure. Then, on the premise of keeping the overall equivalent density of the double-layer structure unchanged, the influence of the wall thickness distribution of the top and bottom cores and the height setting of the top and bottom cores on the low-velocity impact of the structure are discussed.

2. Model Validation

2.1. FE Model

Since there is little research on the double-layer folded sandwich structure, in order to establish a relatively reliable simulation model of the double-layer V-shaped aluminum folded sandwich structure, it is considered best to establish the simulation model of the single-layer one first. On the premise of the validity of the single-layer model, the modeling of the double-layer structure is completed based on the modeling methods of the single-layer model.
Referring to Fischer [13], the simulation model of the single-layer V-shaped aluminum folded sandwich structure is established by ABAQUS. The model size and material are the same as those used in the experiments [13]. The dimensions of the top and bottom panels are both 150 mm × 100 mm × 0.8 mm, and the number of unit cells of the foldcore is 8 × 7. The geometric parameters of the unit cells are shown in Figure 1, and the corresponding dimensions are listed in Table 1. The panel material is Aluminum 2024, and the core material is Aluminum EN-AW-1050A. The mechanical properties and material parameters of the two materials are shown in Table 2 [13].
The established FE model is shown in Figure 2. The isotropic elastic-plastic material model is used for the panels and foldcore. The impactor is a hemisphere with a radius of 8 mm, and the material is alloy steel. Its mass is set to 2.49 kg by defining the density. Additionally, the impactor is set as a rigid body to simplify the calculation process and improve calculation efficiency regardless of deformation. The top and bottom fixtures are also set as rigid bodies. The contact relationship between the outer surface of the impactor and the top panel is defined as “face-to-face” contact. The normal direction is defined as hard contact and the tangential direction is defined as penalty function. General contact is used for the other contact properties. In order to simplify the calculation, the influence of the adhesive layer is ignored, the panels and the core are directly bound by “tie”.
The impact energy is set by setting the initial velocity of the impactor. The freedom of movement and rotation of the top and bottom fixtures are constrained in three directions. For the impactor, only the movement degree of freedom along the impacting direction is constant, that is, the Z direction. The panels, fixtures, and impactor are meshed with solid element, C3D8R, and the foldcore is meshed with shell element, S4R. When the mesh is very coarse, the impact response of the structure cannot be accurately simulated, and if the mesh is too fine, the calculation time cost is very large. So, for the foldcore, the overall mesh size is set to 1 mm to capture the buckling. For the top panel, the overall mesh size is set to 2.5 mm, but near the area in direct contact with the impactor, the mesh is set to 0.5 mm. This not only ensures the accuracy of the simulation, but also improves the calculation efficiency. After meshing, the number of nodes of the impactor, the top and bottom fixtures, top panel, the core, and the bottom panel are 2119, 2272, 34,122, 41,173, and 19,558, and the number of elements of those are 1708, 994, 16,800, 40,768, and 9576. The overall number of nodes and elements of the model are 101,516 and 70,840.

2.2. Verification of FE Model of Single-Layer Folded Sandwich Structure

The low-velocity impact finite element analysis is carried out on the established simulation model with the impact energies of 10 J, 20 J, and 30 J, the corresponding initial velocities of the impactor are 2.83 m/s, 4.00 m/s, and 4.91 m/s. Furthermore, the contact force-time curves of the test and simulation under different impact energies are compared in Figure 3 to verify the validity of the simulation model.
From Figure 3, it can be seen that the trends of the contact force-time curves of the simulation and test under the three impact energies are similar. Table 3 lists the peak force and contact time of the simulation and test under different impact energies. After calculation, under the impact energy of 10 J, 20 J, and 30 J, the relative errors of the peak force between the simulation and test are: 13.38%, 6.67%, and −1.26%, respectively, and for the contact time, the relative errors are 0.4 ms, 0.2 ms, and 0.7 ms, respectively. Considering that the simulation adopts an ideal model and ignores the actual imperfections of the specimen, it can be considered that the modeling method adopted is effective and can accurately predict the low-velocity impact response of the folded sandwich structure.

3. Low-Velocity Impact Response of Double-Layer Folded Sandwich Structure

In this section, the low-velocity impact response of the double-layer V-shaped aluminum folded sandwich structure is studied, and its low-velocity impact resistance is compared with that of the single-layer one to explore the superiority of the double-layer structure.

3.1. Finite Element Models of Single-Layer and Double-Layer Structures

Based on the modeling methods in Section 2, the FE models of the single- and double- layer V-shaped aluminum folded sandwich structure are established. For the double-layer one, the added inner panel is bound to the top and bottom cores by “tie”. The unit cell geometry of the single-layer folded sandwich structure is shown in Figure 4, and the size parameters are listed in Table 4. The foldcore is composed of 6 × 7-unit cells. The panels are both 150 mm × 100 mm × 0.8 mm in size, the impactor is composed of a hemisphere and cylinder with a radius of 12.5 mm, and the height of the cylinder is 50 mm. The mass of the impactor is controlled to be 2.49 kg by setting its density. The materials of the panels and foldcores are the same as those in Section 2. For the double-layer structure, the geometric parameters α, β and l of the unit cell of whose foldcore and the length of the foldcores along the L and W directions are consistent with the single-layer structure. However, to ensure that the height and weight are the same for the both structures, the height and wall thickness of the cores become half of those of the single-layer structure. Meanwhile, in order to control the height of the sandwich structure to be the same, the thickness of the top panel of both structures are the same, but the thickness of the inner and bottom panels of the double-layer structure becomes half of the thickness of the bottom panel of the single-layer structure. The established simulation models are shown in Figure 5.

3.2. FE Simulation under Low-Velocity Impact

The low-velocity impact resistance of the double-layer structure is studied under different impact energy levels from 5 J to 40 J using ABAQUS, the initial velocities of the impactor under the impact energies of 5 J and 40 J are 2.00 m/s and 5.65 m/s. The contact force-time curves under different impact energies are shown in Figure 6. It is obvious that the peak contact force of the double-layer structure increases with the impact energy. Table 5 compares the energy absorption rate and the maximum impact distance of the impactor between the single- and double-layer structures at the above impact energies.
From Table 5, it can be seen that when the impact energy is less than 20 J, the energy absorption capacity and impact stiffness of the double-layer structure are better than those of the single-layer one, and this advantage is more pronounced when the impact energy is small. The maximum impact distance of the impactor of the double-layer structure is reduced by 15% and 7% compared with that of the single-layer structure under the impact energy of 5 J and 10 J, respectively. In addition, the energy absorption is improved. Therefore, when the impact energy is low and higher impact resistance is required, it is more advantageous to use a double-layer structure than a sing-layer structure.
Table 6 and Table 7 show the energy absorption of each component of both structures under different impact energies. From these two tables, for the single-layer structure, the top panel and core are the main energy-absorbing components, and the top panel accounts for more energy absorption. With the increase in impact energy, the energy absorption ratio of the top panel gradually decreased and the one of the core gradually increased. The double-layer structure behaves differently, so for the energy absorption ratio, the top core accounts for more than the top panel when the impact energy is low, and as the impact energy increases, the energy absorption ratio of the top panel gradually increases and exceeds the energy absorption ratio of the core at the impact energy of 20 J. For the bottom core, the inner and bottom panels, their energy absorption is very small. Although it increases with the impact energy, the energy absorption ratio is almost unchanged and has little effect on the energy absorption of the double-layer structure.
The deformation evolution diagrams of both structures under the impact energies of 5 J and 40 J are shown in Figure 7. From left to right, the three time points in the figure represent three different moments in the impact process. The moment on the left is that the impact is about to start and the impactor is about to come into contact with the top panel. In the middle is the moment when the impactor reaches its lowest point. The right is the moment when the impact ends and the impactor is about to be separated from the top panel after rebounding. The unit of von-Mises stress in the figure is MPa. The reason that the response under low-velocity impact of single-layer and double-layer structures are different is as follows: The large-sized single-layer folded sandwich structure has a small cell density due to the large height of the core, and the cavity below the impact point is large. When being impacted, the top panel deforms first. As the impactor moves down, the deformation gradually spreads outward. When the impactor presses down to a certain position, the core in contact with the top panel begins to deform. Therefore, when the impact energy is small, the top panel occupies most of the energy absorbed by the sandwich structure, while the core occupies a small proportion. As the impact energy increases, the core takes more time from the beginning of deformation to the impactor rebound, and the time involved in energy absorption increases. So, the energy absorption ratio of the core increases with the increase in impact energy. The cell arrangement of the double-layer structure is more compact than that of the single-layer structure due to its smaller height of the core. When the impactor hits the structure, the core begins to deform at the time that the top panel is slightly deformed. Therefore, when the impact energy is low, the energy absorption of the core of the double-layer structure is greater than that of the top panel. As the impact energy increases, the diameter and depth of the locally deformed indentation of the panel increase, and the energy absorption ratio of the panel increases. The energy absorption ratio of the top panel exceeds that of the core when the impact energy is 20 J. In addition, it can also be seen that the energy absorption ratio of the bottom core of the double-layer structure is very small. The reason is that the characteristic of low-velocity impact is localized. For the double-layer structure, the impact energy is mainly absorbed by the deformation of the top panel and top core, and the bottom core hardly participates in energy absorption.
In view of the low-velocity impact response characteristics of the double-layer structure, it can be concluded that the mechanical properties of the top core are an important factor affecting the low-velocity impact resistance of the double-layer structure. Therefore, consider changing the structural parameters of the top core to obtain better low-velocity impact performance.

4. Design of Low-Velocity Impact Stiffness of Double-Layer Folded Sandwich Structure

The composite folded sandwich structure has anisotropic properties, and through the combination of multiple structural size parameters, better bearing capacity and energy absorption properties can be achieved. The equivalent density is one of the most important parameters to evaluate the physical properties of the periodic multicellular unit sandwich layer. It refers to the mass occupied by the sandwich structure in a unit volume of space, and is defined as follows:
ρ f = m f 4 h tan α l sin β h = m f 4 h tan α l s i n β h = cot 2 α + cot 2 α cot 2 β + 1 h t c ρ c
where m f is the mass of each unit cell of the V-shaped foldcore, t c is the wall thickness of the core material, ρ c is the material density of the core, and ρ f is the equivalent density of the V-shaped foldcore. By the Equation (1), the parameters α, β, h, and t all affect the equivalent density of the core. In this section, the wall thickness t and height h of the top and bottom cores of the double-layer structure are changed, respectively, and the low-velocity impact resistance of the double-layer structure after changing parameters is discussed.

4.1. The Wall Thickness Design of Cores

Referring to the equivalent density Equation (1), without changing the position of the inner panel, increasing the wall thickness of the top core can increase its equivalent density. After calculation, when the wall thicknesses t1 and t2 of the top and bottom cores satisfy the condition t1 + t2 = T (T is the wall thickness of the cell wall of the single-layer structure in Section 2), the mass and overall equivalent density of the double-layer structure remain unchanged and are the same as the single-layer structure described above. The wall thickness of the top cores are increased from 0.25 mm to 0.3 mm and 0.4 mm, and that the wall thickness of the corresponding bottom cores are reduced to 0.2 mm and 0.1 mm. Then, low-velocity impact is conducted for the two types of double-layer structures at 5 J, 10 J, 20 J, 30 J, and 40 J energies. At the same time, the reduction of the wall thickness of the top core is also studied. The two double-layer structures with t1 = 0.1 mm, t2 = 0.4 mm and t1 = 0.2 mm, and t2 = 0.3 mm, are subjected to impact energies of 5 J and 10 J. Both cases are compared with the double-layer structure with t1 = t2 = 0.25 mm, and the results are shown in Figure 8 and Figure 9 and Table 8.
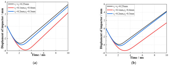
It can be seen from Figure 8 and Figure 9 that the energy absorption and stiffness of the structure are decreased when the wall thickness of the top core is reduced, so the finite element simulation with higher impact energy is no longer carried out for this case. According to Table 8, increasing the wall thickness of the top core has little effect on the energy absorption capacity of the double-layer structure, but when the impact energy is low, the impact stiffness of the structure can be significantly improved. Compared with the double-layer structure with t1 = 0.25 mm, when the impact energy is 5 J, the maximum impact displacement of the impactor of the double-layer structures of t1 = 0.3 mm and t1 = 0.4 mm is reduced by 0.7 mm and 1 mm, respectively, equivalent to a decrease in 21.2% and 30.3%. In addition, for 10 J, the reductions are 0.6 mm and 0.97 mm, which are 14.3% and 23.1%. At 20 J, the reductions are 0.4 mm and 0.8 mm, 7.3% and 14.5%. It shows that the thicker the wall thickness of the top core, the smaller the impacting distance. We can analyze the reasons for this: Increasing the wall thickness of the top core increases its equivalent density. For the core, due to the local characteristics of the low-velocity impact, the top core that is closer to the impact point mainly bears the impact, so the increase in the equivalent density of the top core will significantly improve the low-velocity impact stiffness of the double-layer sandwich structure. The equivalent density of the top core of the double-layer structure with t1 = 0.3 mm and t1 = 0.4 mm is 2.4 times and 3.2 times that of t1 = 0.25 mm. So, the structure with t1 = 0.4 mm improves the impact stiffness more obviously than the structure with t1 = 0.3 mm.
In addition, when t1 = 0.4 mm, with the increase in impact energy, the energy absorption ratio of the bottom core shows an obvious upward trend. At 40 J, it contributes 25% of the energy absorption. This is mainly because the bottom core’s wall thickness t2 = 0.1 mm is relatively thin, and the wall thickness has a great influence on the stiffness of the core. Although the bottom core is not directly impacted, when the impact energy is large, it is prone to buckling due to its low stiffness. Therefore, when the impact energy is 40 J, the maximum impact distance of the impactor of this structure is larger than that of the double-layer structure with t1 = 0.3 mm and t2 = 0.2 mm. The deformation diagrams of the two structures with 40 J impact energy are shown in Figure 10. Similarly, The unit of Mises in the figure is Mpa. Therefore, changing the wall thickness distribution of the top and bottom cores will change the energy absorption mode and damage deformation form of the double-layer structure to a certain extent.
In summary, adjusting the wall thickness distribution of the top and bottom cores and increasing the wall thickness of the top core seems to be a feasible way to improve the low-velocity impact stiffness of the double-layer structure.

4.2. The Height Design of Core

From Section 4.1, increasing the wall thickness of the top core, which increases the equivalent density of the top core, can improve the low-velocity impact stiffness of the double-layer structure. In addition to increasing the wall thickness of the top core, since the position of the inner panel is not fixed, consider moving the position of the inner panel upward. In this section, the finite element method is used to study the low-velocity impact resistance of the double-layer sandwich structure with the inner panel placed at four different positions. The corresponding height combination of the top and bottom cores are: (a) h1 = 5 mm, h2 = 20 mm; (b) h1 = 7.5 mm, h2 = 12.5 mm; (c) h1 = 10 mm, h2 = 15 mm; (d) h1 = 12.5 mm, h2 = 12.5 mm, where h1 and h2 represent the height of the top and bottom cores. The parameters α, β, and l of the core cells remain unchanged. For both types (a) and (b), to ensure the length of the bottom cores along L direction remain unchanged, the number of unit cells of the bottom cores along the L direction should be 7.5 and 8.57. Here, the numbers are taken separately as 8 and 9 to keep an integer number. The wall thickness of the top cores of the four structures is set as 0.25 mm, and the wall thickness of the bottom core of the two types (c) and (d) is also 0.25 mm, but in order to ensure the total mass of the structures are the same, the wall thickness of the bottom core of the two types (a) and (b) need to be adjusted appropriately, and set to 0.2344 mm and 0.2381 mm, respectively. The finite element models of the double-layer structure with different height combinations are shown in Figure 11.
Low-velocity impact simulations with impact energies of 5 J, 10 J, 20 J, 30 J, and 40 J were performed on these three double-layer structures. The impactor displacement-time curves are shown in Figure 12, and the residual kinetic energy of the impactor is shown in Figure 13.
As Figure 12 shows, moving the inner panel upward can significantly reduce the maximum displacement of the impactor along the impact direction. Compared with the double-layer structure with h1 = 12.5 mm, whose inner panel is placed in the middle, the maximum displacement of the impactor of the double-layer structure with h1 = 5 mm is reduced by 0.64 mm at 5 J, 0.85 mm at 10 J, and even 1.6 mm at 40 J, which is reduced by 22.86%, 21.85%, and 20.51%, respectively. The impact stiffness is improved significantly. Moreover, comparing the residual kinetic energy of the impactors for all double-layer structures after the impact under different impact energies, the change of the height of the top core has little effect on the energy absorption capacity of the structure. When the energy is low, the energy absorption is actually improved, that is, the increase in impact stiffness does not come at the expense of energy absorption.

5. Conclusions

In this paper, the finite element analysis method is used to study the low-velocity impact resistance of the double-layer V-shaped aluminum folded sandwich structure, and the following conclusions are drawn.
Under low-velocity impact loads, when the impact energy is small, the energy absorption capacity and impact resistance of the double-layer structure are better than those of the single-layer structure.
There are differences in the performance of energy absorption between the panel and the core of the single- and double-layer structures. When the impact energy is small, the main energy-absorbing component of the single-layer structure is the top panel, whereas the top core of the double-layer structure accounts for the most energy absorption. Furthermore, it was also found that the energy absorbed by the bottom core of the double-layer structure is very limited, which is mainly due to the localized nature of the low-velocity impact.
When the double-layer folded sandwich structure is subjected to low-velocity impact, the top core is closer to the impact point, and its performance can affect the low-velocity impact resistance of the structure more than the bottom core. By changing the wall thickness distribution and height ratio of the top and bottom cores, the stiffness of the top core can be increased as its wall thickness increases and height decreases, the low-velocity impact resistance of the double-layer structure is also improved.
The research above provides a possible procedure for the design of impact stiffness for large-size folded sandwich structures.

Author Contributions

Conceptualization, Y.D. and Z.Z.; methodology, Z.Z.; software, Z.Z. and Z.C.; validation, Y.D., T.Z. and T.W.; formal analysis, Z.Z. and Z.C.; funding acquisition, Y.D., Y.T. and T.W.; writing—original draft, Z.Z.; writing—review & editing, Y.D., Y.T. and T.W. All authors have read and agreed to the published version of the manuscript.

Funding

This research was funded by the National Natural Science Foundations of China (Nos. 52175153, U1833116, 51705468 and 11402234).

Institutional Review Board Statement

Not applicable.

Informed Consent Statement

Not applicable.

Data Availability Statement

The datasets used and analyzed during the current study are available from the corresponding author on reasonable request.

Acknowledgments

This work was supported by the China Scholarship Council (CSC).

Conflicts of Interest

The authors declare no conflict of interest.

References

  1. Chandrasekaran, N.K.; Arunachalam, V. State-of-the-art review on honeycomb sandwich composite structures with an emphasis on filler materials. Polym. Compos. 2021, 42, 5011–5020. [Google Scholar] [CrossRef]
  2. Kummert, C.; Schmid, H.-J.; Risse, L.; Kullmer, G. Mechanical characterization and numerical modeling of laser-sintered TPE lattice structures. J. Mater. Res. 2021, 36, 3182–3193. [Google Scholar] [CrossRef]
  3. Deng, Y.; Zeng, X.; Zhou, X.; Li, X.; Xiong, J. Research progress for the composite sandwich structure with foldcore. Acta Mater. Compos. Sin. 2020, 37, 2966–2983. [Google Scholar]
  4. Liu, M.; Wu, Z. Application of composite honeycomb sandwich structure in aircraft. Sci. Technol. Rev. 2016, 34, 21–25. [Google Scholar]
  5. Cong, L.X.; Sun, Y.G. Compression response of sandwich structure with M-type CFRP foldcore. In Advanced Materials Research; Trans Tech Publications Ltd.: Stafa-Zurich, Switzerland, 2014; Volume 1049, pp. 1071–1074. [Google Scholar]
  6. Deng, Y.; Zhou, N.; Li, X.; Wang, X.; Wei, G.; Jia, H. Dynamic response and failure mechanism of S-shaped CFRP foldcore sandwich structure under low-velocity impact. Thin-Walled Struct. 2022, 173, 109007. [Google Scholar] [CrossRef]
  7. Deng, Y.; Zhou, N.; Jia, H.; Wu, H. Experimental Study on the Ballistic Resistance of S-shaped CFRP Foldcore Sandwich Structure against Flat-Nosed Projectile Impacts. Appl. Comp. Mater. 2022, 29, 1275–1291. [Google Scholar] [CrossRef]
  8. Deng, Y.; Zhang, W.; Wu, H.; Wang, X.; Du, J. Low-speed impact response of the composite sandwich panels with S-type foldcore filled by foam. Acta Mater. Comp. Sin. 2021, 38, 2605–2615. [Google Scholar]
  9. Gattas, J.M.; You, Z. The behaviour of curved-crease foldcores under low-velocity impact loads. Inter. J. Solids Struct. 2015, 53, 80–91. [Google Scholar] [CrossRef]
  10. Liu, B.; Sun, Y.; Sun, Y.; Yu, S.; Zhu, Y. Fabrication and compressive behavior of carbon-fiber-reinforced cylindrical foldcore sandwich structure. Compos. Part A Appl. Sci. Manuf. 2019, 118, 9–19. [Google Scholar] [CrossRef]
  11. Heimbs, S.; Middendorf, P.; Kilchert, S.; Johnson, A.F.; Maier, M. Experimental and numerical analysis of composite folded sandwich core structures under compression. Appl. Comp. Mater. 2007, 14, 363–377. [Google Scholar] [CrossRef]
  12. Heimbs, S.; Cichosz, J.; Klaus, M.; Kilchert, S.; Johnson, A. Sandwich structures with textile-reinforced composite foldcores under impact loads. Comp. Struct. 2010, 92, 1485–1497. [Google Scholar] [CrossRef]
  13. Fischer, S. Aluminium foldcores for sandwich structure application: Mechanical properties and FE-simulation. Thin-Walled Struct. 2015, 90, 31–41. [Google Scholar] [CrossRef]
  14. Zang, S.; Zhou, X.; Wang, H.; You, Z. Foldcores made of thermoplastic materials: Experimental study and finite element analysis. Thin-Walled Struct. 2016, 100, 170–179. [Google Scholar] [CrossRef]
  15. Heimbs, S.; Middendorf, P.; Hampf, C.; Hähnel, F.; Wolf, K. Aircraft sandwich structures with folded core under impact load. In Proceedings of the 8th International Conference on Sandwich Structures, ICSS8, Porto, Portugal, 6–8 May 2008; pp. 369–380. [Google Scholar]
  16. Hachenberg, D.; Mudra, C.; Nguyen, M. Folded structures–an alternative sandwich core material for future aircraft concepts. In Proceedings of the Deutscher Luft-und Raumfahrt Kongress, Munich, Germany, 17–20 November 2003; pp. 165–174. [Google Scholar]
  17. Johnson, A.F.; Pentecote, N. Modelling impact damage in double-walled composite structures. In Proceedings of the VIII International Conference on Computational Plasticity, Barcelona, Spain, 5–7 September 2005. [Google Scholar]
  18. Nguyen, M.Q.; Jacombs, S.S.; Thomson, R.S.; Hachenbergc, D.; Scott, M.L. Simulation of impact on sandwich structures. Comp. Struct. 2005, 67, 217–227. [Google Scholar] [CrossRef]
  19. Meo, M.; Morris, A.; Vignjevic, R.; Marengo, G. Numerical simulations of low-velocity impact on an aircraft sandwich panel. Comp. Struct. 2003, 62, 353–360. [Google Scholar] [CrossRef]
  20. Aktay, L.; Johnson, A.F.; Holzapfel, M. Prediction of impact damage on sandwich composite panels. Comput. Mater. Sci. 2005, 32, 252–260. [Google Scholar] [CrossRef]
  21. Sturm, R.; Fischer, S. Virtual design method for controlled failure in foldcore sandwich panels. Applied Comp. Mater. 2015, 22, 791–803. [Google Scholar] [CrossRef][Green Version]
  22. Kilchert, S.; Johnson, A.F.; Voggenreiter, H. Modelling the impact behaviour of sandwich structures with folded composite cores. Compos. Part A Appl. Sci. Manuf. 2014, 57, 16–26. [Google Scholar] [CrossRef]
  23. Heimbs, S. Virtual testing of sandwich core structures using dynamic finite element simulations. Comput. Mater. Sci. 2009, 45, 205–216. [Google Scholar] [CrossRef]
  24. Baranger, E.; Guidault, P.A.; Cluzel, C. Numerical modeling of the geometrical defects of an origami-like sandwich core. Comp. Struct. 2011, 93, 2504–2510. [Google Scholar] [CrossRef]
  25. Heimbs, S.; Kilchert, S.; Fischer, S.; Klaus, M.; Baranger, E. Sandwich structures with folded core: Mechanical modeling and impact simulations. In Proceedings of the SAMPE Europe international conference, Paris, France, 23–25 March 2009; pp. 324–331. [Google Scholar]
  26. Buitrago, B.L.; Santiuste, C.; Sánchez-Sáez, S.; Barbero, E.; Navarro, C. Modelling of composite sandwich structures with honeycomb core subjected to high-velocity impact. Comp. Struct. 2010, 92, 2090–2096. [Google Scholar] [CrossRef]
  27. Sturm, R.; Schatrow, P.; Klett, Y. Multiscale modeling methods for analysis of failure modes in foldcore sandwich panels. Appl. Comp. Mater. 2015, 22, 857–868. [Google Scholar] [CrossRef][Green Version]
  28. Zhang, X.; An, L.; Ding, H. Dynamic crushing behavior and energy absorption of honeycombs with density gradient. J. Sandw. Struct. Mater. 2014, 16, 125–147. [Google Scholar] [CrossRef]
  29. Zhang, J.; Dong, B.; Zhang, W. Dynamic Crushing of Gradient Auxetic Honeycombs. J. Vib. Engin. Technol. 2021, 9, 421–431. [Google Scholar] [CrossRef]
  30. Fan, T.; Zou, G. Influences of defects on dynamic crushing properties of functionally graded honeycomb structures. J. Sandw. Struct. Mater. 2015, 17, 295–307. [Google Scholar] [CrossRef]
Figure 1. Geometric parameters of V−shaped foldcore unit cells.
Figure 1. Geometric parameters of V−shaped foldcore unit cells.
Machines 10 00665 g001
Figure 2. FE model of aluminum folded sandwich structure. (a) Assembly drawing of the structure; (b) Top view of the structure after meshing.
Figure 2. FE model of aluminum folded sandwich structure. (a) Assembly drawing of the structure; (b) Top view of the structure after meshing.
Machines 10 00665 g002
Figure 3. Comparison of test [13] with FE Contact force−Time curves at 10 J, 20 J, and 30 J impact energy. (a) 10 J; (b) 20 J; (c) 30 J.
Figure 3. Comparison of test [13] with FE Contact force−Time curves at 10 J, 20 J, and 30 J impact energy. (a) 10 J; (b) 20 J; (c) 30 J.
Machines 10 00665 g003
Figure 4. Geometry of unit cell of a single−layer V−shaped foldcore.
Figure 4. Geometry of unit cell of a single−layer V−shaped foldcore.
Machines 10 00665 g004
Figure 5. FE models of single−layer and double−layer folded sandwich structures. (a) single−layer model; (b) double−layer model.
Figure 5. FE models of single−layer and double−layer folded sandwich structures. (a) single−layer model; (b) double−layer model.
Machines 10 00665 g005
Figure 6. Contact force−Time curves of double-layer structure under 5 J to 40 J impact energies.
Figure 6. Contact force−Time curves of double-layer structure under 5 J to 40 J impact energies.
Machines 10 00665 g006
Figure 7. Deformation evolution diagram of single−layer and double−layer folded sandwich structure under different impact energies. (a) Deformation diagram of single−layer folded sandwich structure under 5 J impact energy; (b) Deformation diagram of double−layer folded sandwich structure under 5 J impact energy; (c) Deformation diagram of single−layer folded sandwich structure under 40 J impact energy; (d) Deformation diagram of double−layer folded sandwich structure under 40 J impact energy.
Figure 7. Deformation evolution diagram of single−layer and double−layer folded sandwich structure under different impact energies. (a) Deformation diagram of single−layer folded sandwich structure under 5 J impact energy; (b) Deformation diagram of double−layer folded sandwich structure under 5 J impact energy; (c) Deformation diagram of single−layer folded sandwich structure under 40 J impact energy; (d) Deformation diagram of double−layer folded sandwich structure under 40 J impact energy.
Machines 10 00665 g007aMachines 10 00665 g007b
Figure 8. Displacement−Time curves of impactor with different core wall thicknesses under 5 J (a) and 10 J (b) impact energy.
Figure 8. Displacement−Time curves of impactor with different core wall thicknesses under 5 J (a) and 10 J (b) impact energy.
Machines 10 00665 g008
Figure 9. Kinetic energy-Time curves of impactor of double-layer structure with different core wall thicknesses under 5 J (a) and 10 J (b) impact energy.
Figure 9. Kinetic energy-Time curves of impactor of double-layer structure with different core wall thicknesses under 5 J (a) and 10 J (b) impact energy.
Machines 10 00665 g009
Figure 10. Deformation of double−layer V−shaped folded sandwich structure with increased wall thickness under 40 J impact energy. (a) t1 = 0.3 mm, t2 = 0.2 mm; (b) t1 = 0.4 mm, t2 = 0.1 mm.
Figure 10. Deformation of double−layer V−shaped folded sandwich structure with increased wall thickness under 40 J impact energy. (a) t1 = 0.3 mm, t2 = 0.2 mm; (b) t1 = 0.4 mm, t2 = 0.1 mm.
Machines 10 00665 g010
Figure 11. Double-layer structure with different height combinations. (a) h1 = 5 mm, h2 = 20 mm; (b) h1 = 7.5 mm, h2 = 17.5 mm; (c) h1 = 10 mm, h2 = 15 mm; (d) h1 = h2 = 12.5 mm.
Figure 11. Double-layer structure with different height combinations. (a) h1 = 5 mm, h2 = 20 mm; (b) h1 = 7.5 mm, h2 = 17.5 mm; (c) h1 = 10 mm, h2 = 15 mm; (d) h1 = h2 = 12.5 mm.
Machines 10 00665 g011
Figure 12. Displacement−Time curve of impactor of double−layer structures with different core heights under different impact energies.
Figure 12. Displacement−Time curve of impactor of double−layer structures with different core heights under different impact energies.
Machines 10 00665 g012aMachines 10 00665 g012b
Figure 13. Residual kinetic energy of impactor of double−layer structures with different core heights after impact with different impact energy.
Figure 13. Residual kinetic energy of impactor of double−layer structures with different core heights after impact with different impact energy.
Machines 10 00665 g013
Table 1. Dimensions of unit cells.
Table 1. Dimensions of unit cells.
Geometric parametersH/mmL/mmS/mmV/mm
Size126.288.848.84
Table 2. Material properties of panels and foldcore.
Table 2. Material properties of panels and foldcore.
PanelFoldcore
MaterialAluminum
2024
Aluminum
EN-AW-1050-A
Young’s Modulus
/GPa
70.05568.628
Poisson’s ratio0.3680.306
Yield Strength
/MPa
337.8108.3
Failure strain0.25530.0969
Density/(kg·m−3)27502583
Table 3. Contact force and time of test and simulation.
Table 3. Contact force and time of test and simulation.
Impact Energy/JPeak Force/N (Test)Contact Time/ms (Test)Peak Force/N (FE)Contact Time/ms (FE)
1022657.126156.7
2025888.227738.4
3028898.328539.0
Table 4. Parameters of single-layer V-folded unit cells.
Table 4. Parameters of single-layer V-folded unit cells.
Parameterαβh/mml/mmT/mm
Value22.7254525100.5
Table 5. Impact responses of single-layer and double-layer structures under different impact energies.
Table 5. Impact responses of single-layer and double-layer structures under different impact energies.
Energy Absorption RateThe Maximum Displacement of the Impactor
Impact EnergySingle-LayerDouble-LayerSingle-LayerDouble-Layer
5 J77%82%3.32.8
10 J84%85%4.23.9
20 J89%89%5.55.5
30 J91%90%6.56.7
40 J93%90%7.47.8
Table 6. Energy absorption of each component of single-layer structure with different impact energies.
Table 6. Energy absorption of each component of single-layer structure with different impact energies.
Top Panel/JCore/JBottom Panel/J
5 J3.110.4820.039
10 J6.151.680.132
20 J11.64.830.339
30 J15.49.90.513
40 J18.615.80.656
Table 7. Energy absorption of each component of double-layer structure with different impact energies.
Table 7. Energy absorption of each component of double-layer structure with different impact energies.
Top Panel/JTop Core/JInner Panel/JBottom Core/JBottom Panel/J
5 J1.732.190.1210.00060.0011
10 J3.864.300.2260.0040.003
20 J9.047.850.4470.040.009
30 J13.611.50.770.210.02
40 J18.015.21.110.620.04
Table 8. Comparison of low-velocity impact resistance of double-layer structures with different wall thicknesses.
Table 8. Comparison of low-velocity impact resistance of double-layer structures with different wall thicknesses.
Energy Absorption RateMax Displacement of Impactor/mm
Impact Energy/J510203040510203040
t1 = 0.25 mm
t2 = 0.25 mm
82.0%85.0%88.9%89.7%90.0%2.83.95.56.77.8
t1 = 0.3 mm
t2 = 0.2 mm
83.4%85.5%89.0%90.0%90.5%2.63.65.16.37.3
t1 = 0.4 mm
t2 = 0.1 mm
83.2%85.0%91.5%92.0%92.3%2.33.24.76.17.6
Publisher’s Note: MDPI stays neutral with regard to jurisdictional claims in published maps and institutional affiliations.

Share and Cite

MDPI and ACS Style

Duan, Y.; Zhan, Z.; Zou, T.; Tie, Y.; Cui, Z.; Wang, T. Low-Velocity Impact Resistance of Double-Layer Folded Sandwich Structure. Machines 2022, 10, 665. https://doi.org/10.3390/machines10080665

AMA Style

Duan Y, Zhan Z, Zou T, Tie Y, Cui Z, Wang T. Low-Velocity Impact Resistance of Double-Layer Folded Sandwich Structure. Machines. 2022; 10(8):665. https://doi.org/10.3390/machines10080665

Chicago/Turabian Style

Duan, Yuechen, Zhiren Zhan, Ting Zou, Ying Tie, Zhen Cui, and Tingting Wang. 2022. "Low-Velocity Impact Resistance of Double-Layer Folded Sandwich Structure" Machines 10, no. 8: 665. https://doi.org/10.3390/machines10080665

APA Style

Duan, Y., Zhan, Z., Zou, T., Tie, Y., Cui, Z., & Wang, T. (2022). Low-Velocity Impact Resistance of Double-Layer Folded Sandwich Structure. Machines, 10(8), 665. https://doi.org/10.3390/machines10080665

Note that from the first issue of 2016, this journal uses article numbers instead of page numbers. See further details here.

Article Metrics

Back to TopTop