Study on Asymmetric Rolling Process Applied to Aluminum Alloy Sheets
Abstract
:1. Introduction
2. Materials and Experimental Methods
2.1. Asymmetric Rolling Mill
2.2. Rolling Conditions
2.3. Mechanical Test
2.4. Material
3. Brief Description of FLD Code
- (i)
- The Voce saturation strain-hardening law (Voce):where A, B, and C are the material constants. Each constant is calculated by fitting experimental stress/strain data;
- (ii)
- The Swift strain–hardening power law (Swift)where is the flow stress; the effective plastic strain; and K, , and n are material parameters.
4. Results and Discussion
4.1. Mechanical Propeties after Rolling
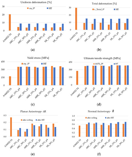
4.1.1. Yield Stress and Ultimate Tensile Strength
4.1.2. Deformation
4.1.3. Anisotropy
4.2. Recovery Heat Treatment after Rolling
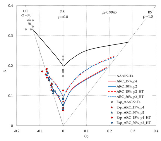
4.3. FLD Prediction
5. Conclusions
- Symmetric and asymmetric rolling conditions lead to similar results in terms of stress and strain, namely a considerable increase in yield stress (>100%), a moderate increase in ultimate tensile strength (~40%), and a considerable decrease in uniform and total strain (~70–80%);
- The normal anisotropy decreases in the RD direction and increases in the DD and TD directions compared to the Lankford coefficients of material before rolling by approximately 0.2. The planar anisotropy decreases for all routes and shows a dependence on the rolling route, with a minimum for ARC conditions. The maximum reduction, which corresponds to approximately 70%, is reached for ARC_30%_p2. The normal anisotropy shows a very slight increase and is almost insensitive to the rolling routes. However, for the same route, the most considerable increase occurs with ARC_30%_p2, corresponding to 20%. The advantageous evolution of anisotropy can be obtained by the ARC process;
- To increase the formability, annealing in the range of temperatures of 150–175 °C for 30–45 min is recommended;
- The selected constitutive equations, namely the Yld2000-2d yield function and the Swift strain–hardening power law, as well as the FLD code, accurately capture the evolution of the mechanical properties and the formability of an AA6022-T4 sheet through the asymmetric rolling process.
Author Contributions
Funding
Acknowledgments
Conflicts of Interest
References
- Hirsch, J. Aluminium in Innovative Light-Weight Car Design. Mater. Trans. 2011, 52, 818–824. [Google Scholar] [CrossRef] [Green Version]
- Ren, J.; Chen, Z.; Peng, J.; Ma, W.; Ringer, S.P. An initial report on achieving high comprehensive performance in an Al-Mg-Si alloy via novel thermomechanical processing. J. Alloys Compd. 2018, 764, 676–683. [Google Scholar] [CrossRef]
- Hirsch, J.; Al-Samman, T. Superior light metals by texture engineering: Optimized aluminum and magnesium alloys for automotive applications. Acta Mater. 2013, 61, 818. [Google Scholar] [CrossRef]
- Ma, C.Q.; Hou, L.G.; Zhang, J.S.; Zhuang, L.Z. Experimental and Numerical Investigations of the Plastic Deformation during Multi-Pass Asymmetric and Symmetric Rolling of High-Strength Aluminum Alloys. Mater. Sci. Forum. 2014, 794–796, 1157–1162. [Google Scholar] [CrossRef]
- Kang, S.B.; Min, B.K.; Kim, H.W.; Wilkinson, D.S.; Kang, J. Effect of asymmetric rolling on the texture and mechanical properties of AA6111-aluminum sheet. Metall. Mater. Trans. 2005, 36, 3141–3149. [Google Scholar] [CrossRef]
- Tamimi, S.; Correia, J.P.; Lopes, A.B.; Ahzi, S.; Barlat, F.; Gracio, J.J. Asymmetric rolling of thin AA-5182 sheets: Modelling and experiments. Mater. Sci. Eng. A 2014, 603, 150–159. [Google Scholar] [CrossRef]
- Son, S.; Kim, H.-K.; Cho, J.-H.; Kim, H.-W.; Lee, J.-C. Differential speed rolling of twin-roll-cast 6xxx al alloy strips and its influence on the sheet formability. Met. Mater. Int. 2015, 22, 108–117. [Google Scholar] [CrossRef]
- Jin, H.; Lloyd, D. The tensile response of a fine-grained AA5754 alloy produced by asymmetric rolling and annealing. Metall. Mater. Trans. 2004, 35, 997–1006. [Google Scholar] [CrossRef]
- Choi, C.-H.; Kim, K.-H.; Lee, D.N. The effect of shear texture development on the formability in rolled aluminum alloy sheets. Mater. Sci. Forum. 1998, 273–275, 391–396. [Google Scholar] [CrossRef]
- Vincze, G.; Simões, F.J.P.; Butuc, M.C. Asymmetrical Rolling of Aluminum Alloys and Steels: A Review. Metals (Basel) 2020, 10, 1126. [Google Scholar] [CrossRef]
- Sidor, J.; Miroux, A.; Petrov, R.; Kestens, L. Controlling the plastic anisotropy in asymmetrically rolled aluminium sheets. Philos. Mag. 2008, 88, 3779–3792. [Google Scholar] [CrossRef]
- Amegadzie, M.Y.; Bishop, D.P. Effect of asymmetric rolling on the microstructure and mechanical properties of wrought 6061 aluminum. Mater. Today Commun. 2020, 25, 101283. [Google Scholar] [CrossRef]
- M Wronski, M.; Wierzbanowski, K.; Wronski, S.; Bacroix, B.; Wróbel, M.; Uniwersał, A. Study of texture, microstructure and mechanical properties of asymmetrically rolled aluminium. IOP Conf. Series Mater. Sci. Eng. 2015, 82, 012074. [Google Scholar] [CrossRef]
- Cho, J.-H.; Kim, H.; Lim, C.-Y.; Kang, S.-B. Microstructure and mechanical properties of Al-Si-Mg alloys fabricated by twin roll casting and subsequent symmetric and asymmetric rolling. Met. Mater. Int. 2014, 20, 647–652. [Google Scholar] [CrossRef]
- Lee, J.-H.; Kim, G.-H.; Nam, S.K.; Kim, I.; Lee, D.N. Calculation of plastic strain ratio of AA1050 Al alloy sheet processed by heavy asymmetric rolling–annealing followed by light rolling–annealing. Comput. Mater. Sci. 2015, 100, 45–51. [Google Scholar] [CrossRef]
- Bintu, A.; Vincze, G.; Picu, R.; Lopes, A. Effect of symmetric and asymmetric rolling on the mechanical properties of AA5182. Mater. Des. 2016, 100, 151–156. [Google Scholar] [CrossRef]
- Grácio, J.J.D.A.; Vincze, G.; Yoon, J.W.; Cardoso, R.P.R.; Rauch, E.F.; Barlat, F.G. Modeling the Effect of Asymmetric Rolling on Mechanical Properties of Al-Mg Alloys. Steel Res. Int. 2015, 86, 922–931. [Google Scholar] [CrossRef]
- Pustovoytov, D.; Pesin, A.; Tandon, P. Asymmetric (Hot, Warm, Cold, Cryo) Rolling of Light Alloys: A Review. Metals 2021, 11, 956. [Google Scholar] [CrossRef]
- Borodachenkova, M.; Barlat, F.; Wen, W.; Bastos, A.; Grácio, J. A microstructure-based model for describing the material properties of Al–Zn alloys during high pressure torsion. Int. J. Plast. 2015, 68, 150–163. [Google Scholar] [CrossRef] [Green Version]
- Butuc, M.C.; Teodosiu, C.; Barlat, F.; Grácio, J.J. Analysis of sheet metal formability through isotropic and kinematic hardening models. Eur. J. Mech. A Solids 2011, 30, 532–546. [Google Scholar] [CrossRef] [Green Version]
- Marciniak, Z. Analysis of necking preceding fracture of sheet metal under tension. Met. Ital. 1968, 60, 701–709. [Google Scholar]
- Barlat, F.; Brem, J.C.; Yoon, J.W.; Chung, K.; Dick, R.E.; Lege, D.J.; Pourboghrat, F.; Choi, S.-H.; Chu, E. Plane stress yield function for aluminum alloy sheets. Part 1: Theory. Int. J. Plasticity 2003, 19, 1297–1319. [Google Scholar] [CrossRef]
- Gracio, J.J.; Barlat, F.; Rauch, E.F.; Jones, P.T.; Neto, V.F.; Lopes, A.B. Artificial aging and shear deformation behavior of 6022 Al alloy. Int. J. Plast. 2004, 20, 427–445. [Google Scholar] [CrossRef]
- Yassar, R.S.; Field, D.P.; Weiland, H. The effect of cold deformation on the kinetics of the β″ precipitates in an Al-Mg-Si alloy. Metall. Mater. Trans. 2005, 36, 2059–2065. [Google Scholar] [CrossRef]
- Woodthorpe, J.; Pearce, R. The anomalous behaviour of aluminium sheet under balanced biaxial tension. Int. J. Mech. Sci. 1970, 12, 341–347. [Google Scholar] [CrossRef]
- Barlat, F. Forming Limit Diagrams-Predictions based on some microstructural aspects of materials, Forming Limit Diagrams: Concept, Methods and Applications. Miner. Met. Mater. Soc. 1989, 275–301. [Google Scholar]
- Haque, Z.; Yoon, J.W. Stress based prediction of formability and failure in incremental sheet forming. Int. J. Mater. Form. 2016, 9, 413–421. [Google Scholar] [CrossRef]
- Butuc, M.C.; Barlat, F.; Vincze, G. The formability of twinning—Induced plasticity steels predicted on the base of Marciniak-Kuczynski theory. J. Mater. Process. Technol. 2019, 287, 116496. [Google Scholar] [CrossRef]

















| Name | Type of Rolling | Reduction per Pass | Pass Number |
|---|---|---|---|
| AA6022-T4 | Before rolling | - | - |
| ARC_10%_p6 | ARC | 10 | 6 |
| ARC_15%_p4 | ARC | 15 | 4 |
| ARC_30%_p2 | ARC | 30 | 2 |
| ARR_10%_p6 | ARR | 10 | 6 |
| ARR_15%_p4 | ARR | 15 | 4 |
| ARR_30%_p6 | ARR | 30 | 2 |
| SR_10%_p6 | SR | 10 | 6 |
| SR_15%_p4 | SR | 15 | 4 |
| SR_30%_p2 | SR | 30 | 2 |
| Si | Fe | Cu | Mn | Mg | Cr | Zn | Ti | Others | Al |
|---|---|---|---|---|---|---|---|---|---|
| 0.8–1.5 | 0.05–0.2 | 0.01–0.11 | 0.02–0.1 | 0.45–0.7 | 0.1 | 0.25 | 0.15 | 0.15 | Balance |
| Yield Stress (MPa) | Ultimate Tensile Stress (MPa) | Uniform Elongation (%) | Total Elongation (%) | R Value | |
|---|---|---|---|---|---|
| RD | 172.37 | 277.27 | 20.46 | 29.71 | 0.79 |
| DD | 166.28 | 273.04 | 23.58 | 33.16 | 0.4 |
| TD | 162.18 | 263.95 | 22 | 31.62 | 0.55 |
| value | ΔR | rb | |||
| 0.53 | 0.27 | 1.1 | |||
| Material | a | α1 | α2 | α3 | α4 | α5 | α6 | α7 | α8 |
|---|---|---|---|---|---|---|---|---|---|
| AA6022-T4 | 8 | 0.97 | 0.99 | 0.87 | 1.05 | 1.01 | 0.99 | 0.93 | 1.19 |
| ARC_15%_p4 | 8 | 0.89 | 1.06 | 0.91 | 1.029 | 1.023 | 0.98 | 0.96 | 1.11 |
| ARC_30%_p2 | 8 | 0.84 | 1.13 | 0.911 | 1.03 | 1.02 | 0.97 | 0.94 | 1.03 |
| ARC_15%_p4_HT | 8 | 0.947 | 0.965 | 0.999 | 1.00 | 1.016 | 0.962 | 0.924 | 0.982 |
| ARC_30%_p2_HT | 8 | 0.92 | 1.024 | 0.927 | 1.00 | 1.026 | 1.00 | 0.916 | 0.931 |
| Material | K | ε0 | n |
|---|---|---|---|
| AA6022-T4 | 520 | 0.011 | 0.258 |
| ARC_15%_p4 | 570 | 0.07 | 0.17 |
| ARC_30%_p2 | 590 | 0.07 | 0.17 |
| ARC_15%_p4_HT | 605 | 0.05 | 0.185 |
| ARC_30%_p2_HT | 615 | 0.05 | 0.185 |
Publisher’s Note: MDPI stays neutral with regard to jurisdictional claims in published maps and institutional affiliations. |
© 2022 by the authors. Licensee MDPI, Basel, Switzerland. This article is an open access article distributed under the terms and conditions of the Creative Commons Attribution (CC BY) license (https://creativecommons.org/licenses/by/4.0/).
Share and Cite
Vincze, G.; Pereira, A.B.; Lopes, D.A.F.; Yánez, J.M.V.; Butuc, M.C. Study on Asymmetric Rolling Process Applied to Aluminum Alloy Sheets. Machines 2022, 10, 641. https://doi.org/10.3390/machines10080641
Vincze G, Pereira AB, Lopes DAF, Yánez JMV, Butuc MC. Study on Asymmetric Rolling Process Applied to Aluminum Alloy Sheets. Machines. 2022; 10(8):641. https://doi.org/10.3390/machines10080641
Chicago/Turabian StyleVincze, Gabriela, António B. Pereira, Diogo A. F. Lopes, Jesús M. V. Yánez, and Marilena C. Butuc. 2022. "Study on Asymmetric Rolling Process Applied to Aluminum Alloy Sheets" Machines 10, no. 8: 641. https://doi.org/10.3390/machines10080641
APA StyleVincze, G., Pereira, A. B., Lopes, D. A. F., Yánez, J. M. V., & Butuc, M. C. (2022). Study on Asymmetric Rolling Process Applied to Aluminum Alloy Sheets. Machines, 10(8), 641. https://doi.org/10.3390/machines10080641

