Numerical Determination of the Frictional Coefficients of a Fluid Film Journal Bearing Considering the Elastohydrodynamic Lubrication and the Asperity Contact Force
Abstract
:1. Introduction
2. Numerical Calculation Methods of the Frictional Coefficients and Power Loss
2.1. Reynolds Equation Considering EHL
2.2. Modified Asperity Contact Model Considering Tangential Direction
2.3. Friction Coefficient and Power Loss of a Journal Bearing
2.4. Analysis Method of Shaft Dynamics
3. Numerical Calculation Procedure to Determine the Frictional Coefficients
4. Results and Discussion
4.1. Verification of the Proposed Method
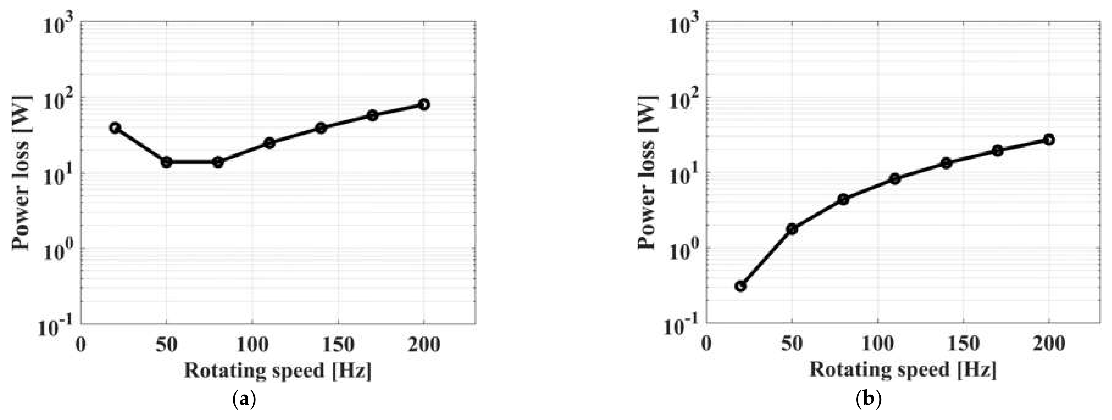
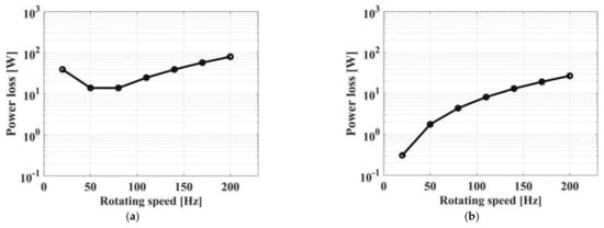
4.2. Application of the Proposed Model to a Multiple-Stage Shaft Model of a SC
5. Conclusions
- We propose a method to determine the frictional coefficient of a journal bearing by utilizing contact forces of the asperity contact theory as well as the hydrodynamic bearing and friction forces of the lubricant. We also verified the proposed method with the experimental data of prior researchers.
- We apply the proposed method to a multiple-stage shaft model of a SC supported by two journal bearings and exerted by dynamic gas force and centrifugal force, and we investigated the frictional coefficients and the power loss at the mixed lubrication and hydrodynamic lubrication areas of the simulated model.
- The proposed method can be utilized to derive the friction coefficient and power loss of the SC according to the operating speed, and it can contribute to developing robust rotor and bearing systems supported by journal bearings.
Author Contributions
Funding
Institutional Review Board Statement
Informed Consent Statement
Data Availability Statement
Acknowledgments
Conflicts of Interest
References
- Spikes, H. Mixed lubrication-an overview. Lubric. Sci. 1997, 9, 221–253. [Google Scholar] [CrossRef]
- Kalin, M.; Velkavrh, I.; Vižintin, J. The Stribeck curve and lubrication design for non-fully wetted surfaces. Wear 2009, 267, 1232–1240. [Google Scholar] [CrossRef]
- Maurya, A.; Kumar, A.; Punia., A.D. CFD and frictional torque analysis of hydrodynamic journal bearing. Int. J. Eng. Res. Technol. 2019, 8, 22780181. [Google Scholar]
- Sander, D.E.; Allmaier, H.; Priebsch, H.H.; Witt, M.; Skiadas, A. Simulation of journal bearing friction in severe mixed lubrication—Validation and effect of surface smoothing due to running-in. Tribol. Int. 2016, 96, 173–183. [Google Scholar] [CrossRef] [Green Version]
- Xiaobin, L.; Khonsari, M.M. An experimental investigation of grease-lubricated journal bearings. J. Tribol. 2007, 129, 84–90. [Google Scholar]
- Xiaobin, L.; Khonsari, M.M. On the lift-off speed in journal bearings. Tribol. Lett. 2005, 20, 3–4. [Google Scholar]
- Ku, B.; Park, Y.; Sung, C.; Han, Y.; Park, J.; Hwang, Y.; Lee, J.; Lee, J.; Kim, H.; Ahn, S.; et al. Comparison of tribological characteristics between aluminum alloys and polytetrafluoroethylene composites journal bearings under mineral oil lubrication. J. Mech. Sci. Technol. 2009, 24, 1631–1635. [Google Scholar] [CrossRef]
- Zhang, X.A.; Zhao, Y.; Wang, K.M.Q. Friction behavior and wear protection ability of selected base lubricants. Friction 2016, 4, 72–83. [Google Scholar] [CrossRef] [Green Version]
- Hu, J.; Song, H.; Sandfeld, S.; Liu, X.; Wei, Y. Multiscale study of the dynamic friction coefficient due to asperity plowing. Friction 2021, 9, 822–839. [Google Scholar] [CrossRef]
- Gelinck, E.R.M.; Schipper, D.J. Calculation of Stribeck curves for line contacts. Tribol. Int. 2000, 33, 175–181. [Google Scholar] [CrossRef]
- Kraker, A.; Ostayen, R.A.J.; Rixen, D.J. Calculation of Stribeck curves for (water) lubricated journal bearings. Tribol. Int. 2007, 40, 459–469. [Google Scholar] [CrossRef]
- Cubillo, A.; Uriondo, A.; Peripanayangam, S. Computational mixed TEHL model and Stribeck curve of a journal bearing. Tribol. Trans. 2017, 60, 1053–1062. [Google Scholar] [CrossRef]
- Bi, Z.; Mueller, D.W.; Zhang, C.W.J. State of the art of friction modelling at interfaces subjected to elastohydrodynamic lubrication (EHL). Friction 2021, 9, 207–227. [Google Scholar] [CrossRef]
- He, T.; Zhu, D.; Wang, J.; Wang, Q.J. Experimental and numerical investigations of the Stribeck curves for lubricated counterformal contacts. J. Tribol. 2017, 139, 021505. [Google Scholar] [CrossRef]
- Hamrock, B.J. Fundamentals of Fluid Film Lubrication; McGraw-Hill: New York, NY, USA, 1994. [Google Scholar]
- Hashimoto, H. Surface roughness effects in high-speed hydrodynamic journal bearings. J. Tribol. 1997, 119, 776–780. [Google Scholar] [CrossRef]
- Zhu, D.; Wang, J.; Wang, Q.J. On the Stribeck curves for lubricated counterformal contacts of rough surfaces. J. Tribol. 2015, 137, 021501. [Google Scholar] [CrossRef]
- Sepehri, A.; Farhang, K. On elastic interaction of nominally flat rough surfaces. J. Tribol. 2008, 130, 011014. [Google Scholar] [CrossRef]
- Kim, K.; Hong, G.; Jang, G. Dynamic analysis of a flexible shaft in a scroll compressor considering solid contact and oil film pressure in journal bearings. Int. J. Refrig. 2021, 127, 165–173. [Google Scholar] [CrossRef]
- Priest, M.; Dowson, D.; Taylor, C.M. Predictive wear modelling of lubricated piston rings in a diesel engine. Wear 1999, 231, 89–101. [Google Scholar] [CrossRef]










| Symbol | Value |
|---|---|
| M1 | |
| M2 | |
| M3 | |
| M4 | |
| M5 | |
| M6 | |
| M7 | |
| M8 | |
| M9 | |
| M10 |
| Symbol | Value |
|---|---|
| K1 | |
| K2 | |
| K3 | |
| K4 |
| Parameter | Value |
|---|---|
| L1 | 80 mm |
| L2 | 110 mm |
| L3 | 27 mm |
| L4 | 34 mm |
| R1 | 17 mm |
| R2 | 36 mm |
| R3 | 26 mm |
| R4 | 12.5 mm |
| Parameters | Value | |
|---|---|---|
| UB | Film thickness | 0.024 mm |
| Distance from the SC bottom | 203.5 mm | |
| LB | Film thickness | 0.02 mm |
| Distance from the SC bottom | 16 mm | |
| Viscosity | 6 × 10−3 Pa s | |
| Parameter | Value |
|---|---|
| σ1,2 | 0.5 μm |
| β1,2 | 6.5 μm |
| η1,2 | 1.33 × 1010 asp/m2 |
| E1,2 | 205 GPa |
| Shear modulus1,2 | 102 GPa |
| Poisson’s rate1,2 | 0.3 |
| Operating Speed | |||||||
|---|---|---|---|---|---|---|---|
| 20 Hz | 50 Hz | 80 Hz | 110 Hz | 140 Hz | 170 Hz | 200 Hz | |
| FUBW | 69.9 | 436.9 | 118.5 | 2114.8 | 3425.6 | 5051.0 | 6991.0 |
| FLBW | 22.9 | 142.9 | 365.9 | 691.9 | 1120.7 | 1652.5 | 2287.2 |
Publisher’s Note: MDPI stays neutral with regard to jurisdictional claims in published maps and institutional affiliations. |
© 2022 by the authors. Licensee MDPI, Basel, Switzerland. This article is an open access article distributed under the terms and conditions of the Creative Commons Attribution (CC BY) license (https://creativecommons.org/licenses/by/4.0/).
Share and Cite
Hong, G.; Kim, K.; Park, Y.; Jang, G. Numerical Determination of the Frictional Coefficients of a Fluid Film Journal Bearing Considering the Elastohydrodynamic Lubrication and the Asperity Contact Force. Machines 2022, 10, 494. https://doi.org/10.3390/machines10070494
Hong G, Kim K, Park Y, Jang G. Numerical Determination of the Frictional Coefficients of a Fluid Film Journal Bearing Considering the Elastohydrodynamic Lubrication and the Asperity Contact Force. Machines. 2022; 10(7):494. https://doi.org/10.3390/machines10070494
Chicago/Turabian StyleHong, Gwanghee, Kyobong Kim, Youngjun Park, and Gunhee Jang. 2022. "Numerical Determination of the Frictional Coefficients of a Fluid Film Journal Bearing Considering the Elastohydrodynamic Lubrication and the Asperity Contact Force" Machines 10, no. 7: 494. https://doi.org/10.3390/machines10070494
APA StyleHong, G., Kim, K., Park, Y., & Jang, G. (2022). Numerical Determination of the Frictional Coefficients of a Fluid Film Journal Bearing Considering the Elastohydrodynamic Lubrication and the Asperity Contact Force. Machines, 10(7), 494. https://doi.org/10.3390/machines10070494
