Binary Feature Description of 3D Point Cloud Based on Retina-like Sampling on Projection Planes
Abstract
1. Introduction
2. Related Work
3. Binary Feature of Retina-like Sampling on Projection Planes
3.1. Key Points Detection
3.2. LRF Construction
3.3. RSPP Descriptor
3.4. Feature Matching
4. Experimental Verification
4.1. Point Cloud Dataset
4.2. Evaluation Criteria
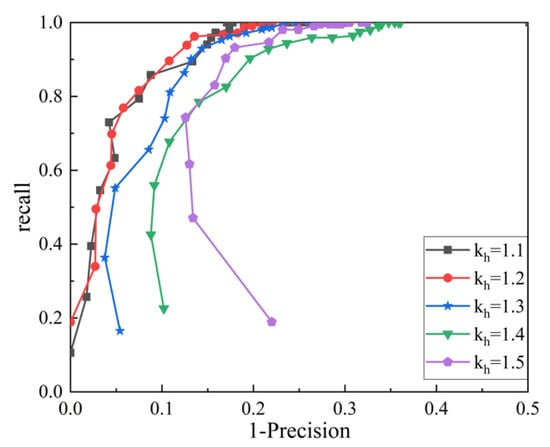
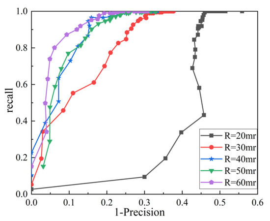
4.3. Parameter Analysis
- (1)
- Support radius
- (2)
- Radius of sampling circle
- (3)
- Sampling layers
4.4. Performance Analysis
- (1)
- Performance analysis without noise
- (2)
- Performance analysis with noise
5. Conclusions
Author Contributions
Funding
Institutional Review Board Statement
Informed Consent Statement
Data Availability Statement
Acknowledgments
Conflicts of Interest
References
- Chiang, C.-H.; Kuo, C.-H.; Lin, C.-C.; Chiang, H.-T. 3D point cloud classification for autonomous driving via dense-residual fusion network. IEEE Access 2020, 8, 163775–163783. [Google Scholar]
- Li, X.; Du, S.; Li, G.; Li, H. Integrate point-cloud segmentation with 3D LiDAR scan-matching for mobile robot localization and mapping. Sensors 2019, 20, 237. [Google Scholar] [CrossRef] [PubMed]
- Qiang, L.; Ling, L. Engineering Surveying and Mapping System Based on 3D Point Cloud and Registration Communication Algorithm. Wirel. Commun. Mob. Comput. 2022, 2022, 4579565. [Google Scholar] [CrossRef]
- Zhou, K.; Ming, D.; Lv, X.; Fang, J.; Wang, M. CNN-based land cover classification combining stratified segmentation and fusion of point cloud and very high-spatial resolution remote sensing image data. Remote Sens. 2019, 11, 2065. [Google Scholar] [CrossRef]
- Garrido, D.; Rodrigues, R.; Augusto Sousa, A.; Jacob, J.; Castro Silva, D. Point Cloud Interaction and Manipulation in Virtual Reality. In Proceedings of the 2021 5th International Conference on Artificial Intelligence and Virtual Reality (AIVR), Kumamoto, Japan, 23–25 July 2021; pp. 15–20. [Google Scholar]
- Besl, P.J.; McKay, N.D. Method for registration of 3-D shapes. In Proceedings of the Sensor fusion IV: Control Paradigms and Data Structures, Boston, MA, USA, 2–15 November 1992; pp. 586–606. [Google Scholar]
- Yang, J.; Cao, Z.; Zhang, Q. A fast and robust local descriptor for 3D point cloud registration. Inf. Sci. 2016, 346, 163–179. [Google Scholar] [CrossRef]
- Rusu, R.B.; Blodow, N.; Marton, Z.C.; Beetz, M. Aligning point cloud views using persistent feature histograms. In Proceedings of the 2008 IEEE/RSJ International Conference on Intelligent Robots and Systems, Nice, France, 22–26 September 2008; pp. 3384–3391. [Google Scholar]
- Malassiotis, S.; Strintzis, M.G. Snapshots: A novel local surface descriptor and matching algorithm for robust 3D surface alignment. IEEE Trans. Pattern Anal. Mach. Intell. 2007, 29, 1285–1290. [Google Scholar] [CrossRef] [PubMed]
- Alahi, A.; Ortiz, R.; Vandergheynst, P. Freak: Fast retina keypoint. In Proceedings of the 2012 IEEE Conference on Computer Vision and Pattern Recognition, Providence, RI, USA, 16–21 June 2012; pp. 510–517. [Google Scholar]
- Quan, S.; Ma, J.; Hu, F.; Fang, B.; Ma, T. Local voxelized structure for 3D binary feature representation and robust registration of point clouds from low-cost sensors. Inf. Sci. 2018, 444, 153–171. [Google Scholar] [CrossRef]
- Johnson, A.E.; Hebert, M. Using spin images for efficient object recognition in cluttered 3D scenes. IEEE Trans. Pattern Anal. Mach. Intell. 1999, 21, 433–449. [Google Scholar] [CrossRef]
- Frome, A.; Huber, D.; Kolluri, R.; Bülow, T.; Malik, J. Recognizing objects in range data using regional point descriptors. In Proceedings of the European Conference on Computer Vision, Prague, Czech Republic, 11–14 May 2004; pp. 224–237. [Google Scholar]
- Rusu, R.B.; Blodow, N.; Beetz, M. Fast point feature histograms (FPFH) for 3D registration. In Proceedings of the 2009 IEEE International Conference on Robotics and Automation, Kobe, Japan, 12–17 May 2009; pp. 3212–3217. [Google Scholar]
- Tombari, F.; Salti, S.; Stefano, L.D. Unique signatures of histograms for local surface description. In Proceedings of the European Conference on Computer Vision, Heraklion, Greece, 5–11 September 2010; pp. 356–369. [Google Scholar]
- Guo, Y.; Sohel, F.; Bennamoun, M.; Lu, M.; Wan, J. Rotational projection statistics for 3D local surface description and object recognition. Int. J. Comput. Vis. 2013, 105, 63–86. [Google Scholar] [CrossRef]
- Guo, Y.; Bennamoun, M.; Sohel, F.; Lu, M.; Wan, J. 3D object recognition in cluttered scenes with local surface features: A survey. IEEE Trans. Pattern Anal. Mach. Intell. 2014, 36, 2270–2287. [Google Scholar] [CrossRef]
- Prakhya, S.M.; Lin, J.; Chandrasekhar, V.; Lin, W.; Liu, B. 3DHoPD: A fast low-dimensional 3-D descriptor. IEEE Robot. Autom. Lett. 2017, 2, 1472–1479. [Google Scholar] [CrossRef]
- Yang, J.; Zhang, Q.; Xiao, Y.; Cao, Z. TOLDI: An effective and robust approach for 3D local shape description. Pattern Recognit. 2017, 65, 175–187. [Google Scholar] [CrossRef]
- Dong, Z.; Yang, B.; Liu, Y.; Liang, F.; Li, B.; Zang, Y. A novel binary shape context for 3D local surface description. ISPRS J. Photogramm. Remote Sens. 2017, 130, 431–452. [Google Scholar] [CrossRef]
- Sun, T.; Liu, G.; Liu, S.; Meng, F.; Zeng, L.; Li, R. An efficient and compact 3D local descriptor based on the weighted height image. Inf. Sci. 2020, 520, 209–231. [Google Scholar] [CrossRef]
- Yang, J.; Zhang, Q.; Xian, K.; Xiao, Y.; Cao, Z. Rotational contour signatures for robust local surface description. In Proceedings of the 2016 IEEE International Conference on Image Processing (ICIP), Phoenix, AZ, USA, 25–28 September 2016; pp. 3598–3602. [Google Scholar]
- Quan, S.; Ma, J.; Feng, F.; Yu, K. Multi-scale binary geometric feature description and matching for accurate registration of point clouds. In Proceedings of the Fourth International Workshop on Pattern Recognition, Nanjing, China, 28–30 June 2019; pp. 112–116. [Google Scholar]
- Zhou, R.; Li, X.; Jiang, W. 3D surface matching by a voxel-based buffer-weighted binary descriptor. IEEE Access 2019, 7, 86635–86650. [Google Scholar] [CrossRef]
- Zhao, B.; Xi, J. Efficient and accurate 3D modeling based on a novel local feature descriptor. Inf. Sci. 2020, 512, 295–314. [Google Scholar] [CrossRef]
- Zou, X.; He, H.; Wu, Y.; Chen, Y.; Xu, M. Automatic 3D point cloud registration algorithm based on triangle similarity ratio consistency. IET Image Process. 2020, 14, 3314–3323. [Google Scholar] [CrossRef]
- Zhang, Y.; Li, C.; Guo, B.; Guo, C.; Zhang, S. KDD: A kernel density based descriptor for 3D point clouds. Pattern Recognit. 2021, 111, 107691. [Google Scholar] [CrossRef]
- Wang, J.; Wu, B.; Kang, J. Registration of 3D point clouds using a local descriptor based on grid point normal. Appl. Opt. 2021, 60, 8818–8828. [Google Scholar] [CrossRef]
- Sipiran, I.; Bustos, B. Harris 3D: A robust extension of the Harris operator for interest point detection on 3D meshes. Vis. Comput. 2011, 27, 963–976. [Google Scholar] [CrossRef]
- Knopp, J.; Prasad, M.; Willems, G.; Timofte, R.; Gool, L.V. Hough transform and 3D SURF for robust three dimensional classification. In Proceedings of the European Conference on Computer Vision, Heraklion, Greece, 5–11 September 2010; pp. 589–602. [Google Scholar]
- Steder, B.; Rusu, R.B.; Konolige, K.; Burgard, W. NARF: 3D range image features for object recognition. In Proceedings of the Workshop on Defining and Solving Realistic Perception Problems in Personal Robotics at the IEEE/RSJ International Conference on Intelligent Robots and Systems (IROS), Taibei, China, 18–22 October 2010. [Google Scholar]
- Zhong, Y. Intrinsic shape signatures: A shape descriptor for 3d object recognition. In Proceedings of the 2009 IEEE 12th International Conference on Computer Vision Workshops, ICCV Workshops, Kyoto, Japan, 27 September–4 October 2009; pp. 689–696. [Google Scholar]
- Leutenegger, S.; Chli, M.; Siegwart, R.Y. BRISK: Binary robust invariant scalable keypoints. In Proceedings of the 2011 International Conference on Computer Vision, Washington, DC, USA, 6–13 November 2011; pp. 2548–2555. [Google Scholar]
- Tola, E.; Lepetit, V.; Fua, P. Daisy: An efficient dense descriptor applied to wide-baseline stereo. IEEE Trans. Pattern Anal. Mach. Intell. 2009, 32, 815–830. [Google Scholar] [CrossRef] [PubMed]
- Turk, G.; Levoy, M. Zippered polygon meshes from range images. In Proceedings of the 21st Annual Conference on Computer Graphics and Interactive Techniques, Orlando, FL, USA, 24–29 July 1994; pp. 311–318. [Google Scholar]
- Curless, B.; Levoy, M. A volumetric method for building complex models from range images. In Proceedings of the 23rd Annual Conference on Computer Graphics and Interactive Techniques, Orleans, LA, USA, 4–9 August 1996; pp. 303–312. [Google Scholar]
- Krishnamurthy, V.; Levoy, M. Fitting smooth surfaces to dense polygon meshes. In Proceedings of the 23rd Annual Conference on Computer Graphics and Interactive Techniques, Vancouver, BC, Canada, 7–11 August 1996; pp. 313–324. [Google Scholar]
- Gardner, A.; Tchou, C.; Hawkins, T.; Debevec, P. Linear light source reflectometry. ACM Trans. Graph. (TOG) 2003, 22, 749–758. [Google Scholar] [CrossRef]












| No | (mr) | ||||
|---|---|---|---|---|---|
| 1 | 5 | 1, 12, 14, 16, 18, 20 | 1.5, 3, 5, 7, 9 | 1.2 | 20 |
| 2 | 30 | ||||
| 3 | 40 | ||||
| 4 | 50 | ||||
| 5 | 60 |
| No | (mr) | ||||
|---|---|---|---|---|---|
| 1 | 5 | 1, 12, 14, 16, 18, 20 | 1.5, 3, 5, 7, 9 | 1.1 | 60 |
| 2 | 1.2 | ||||
| 3 | 1.3 | ||||
| 4 | 1.4 | ||||
| 5 | 1.5 |
| No | (mr) | ||||
|---|---|---|---|---|---|
| 1 | 3 | 1, 12, 14, 16 | 1.5, 3, 5 | 1.2 | 60 |
| 2 | 4 | 1, 12, 14, 16, 18 | 1.5, 3, 5, 7 | ||
| 3 | 5 | 1, 12, 14, 16, 18, 20 | 1.5, 3, 5, 7, 9 |
| No | (mr) | ||||
|---|---|---|---|---|---|
| 1 | 5 | 1, 12, 14, 16, 18, 20 | 1.5, 3, 5, 7, 9 | 1.2 | 60 |
| Descriptor | Support Radius (mr) | Dimension | Length | Type | Memory (Byte) |
|---|---|---|---|---|---|
| 3DSC | 60 | 15 × 12 × 11 | 1980 | float | 7920 |
| SHOT | 60 | 8 × 2 × 2 × 11 | 352 | float | 1408 |
| FPFH | 60 | 3 × 11 | 33 | float | 132 |
| TOLDI | 60 | 3 × 20 × 20 | 1200 | float | 4800 |
| RCS | 60 | 6 × 12 | 72 | float | 288 |
| RSPP | 60 | 3 × 81 | 243 | binary | 31 |
| Gaussian Noise (mr) | Dataset | Registration Accuracy (%) | |||||
|---|---|---|---|---|---|---|---|
| 3DSC | SHOT | FPFH | TOLDI | RCS | RSPP | ||
| 0 | Bunny | 24.4 | 51.3 | 58.8 | 62.2 | 47.9 | 52.9 |
| Buddha | 25.0 | 61.2 | 68.4 | 65.8 | 57.5 | 65.5 | |
| Dragon | 26.1 | 71.2 | 73.5 | 71.2 | 69.3 | 72.9 | |
| Armadillo | 28.3 | 71.7 | 68.9 | 59.2 | 47.9 | 76.5 | |
| 0.25 | Bunny | 20.2 | 49.6 | 25.2 | 39.5 | 31.1 | 51.3 |
| Buddha | 21.3 | 42.8 | 50.3 | 48.3 | 39.1 | 51.4 | |
| Dragon | 17.0 | 46.1 | 51.6 | 50.7 | 40.2 | 53.3 | |
| Armadillo | 16.8 | 57.6 | 23.7 | 27.9 | 15.0 | 55.5 | |
| 0.5 | Bunny | 17.7 | 36.1 | 28.6 | 36.1 | 25.2 | 37.8 |
| Buddha | 16.1 | 34.2 | 40.5 | 35.3 | 36.8 | 40.8 | |
| Dragon | 12.1 | 36.0 | 40.5 | 39.2 | 29.7 | 42.8 | |
| Armadillo | 11.3 | 40.6 | 21.7 | 16.4 | 11.3 | 41.2 | |
Publisher’s Note: MDPI stays neutral with regard to jurisdictional claims in published maps and institutional affiliations. |
© 2022 by the authors. Licensee MDPI, Basel, Switzerland. This article is an open access article distributed under the terms and conditions of the Creative Commons Attribution (CC BY) license (https://creativecommons.org/licenses/by/4.0/).
Share and Cite
Yan, Z.; Wang, H.; Liu, X.; Ning, Q.; Lu, Y. Binary Feature Description of 3D Point Cloud Based on Retina-like Sampling on Projection Planes. Machines 2022, 10, 984. https://doi.org/10.3390/machines10110984
Yan Z, Wang H, Liu X, Ning Q, Lu Y. Binary Feature Description of 3D Point Cloud Based on Retina-like Sampling on Projection Planes. Machines. 2022; 10(11):984. https://doi.org/10.3390/machines10110984
Chicago/Turabian StyleYan, Zhiqiang, Hongyuan Wang, Xiang Liu, Qianhao Ning, and Yinxi Lu. 2022. "Binary Feature Description of 3D Point Cloud Based on Retina-like Sampling on Projection Planes" Machines 10, no. 11: 984. https://doi.org/10.3390/machines10110984
APA StyleYan, Z., Wang, H., Liu, X., Ning, Q., & Lu, Y. (2022). Binary Feature Description of 3D Point Cloud Based on Retina-like Sampling on Projection Planes. Machines, 10(11), 984. https://doi.org/10.3390/machines10110984

