Test Study of Seepage Characteristics of Coal Rock under Various Thermal, Hydraulic, and Mechanical Conditions
Abstract
1. Introduction
2. Experimental Procedure
2.1. Specimen Preparation and Porosity Testing
2.2. Testing Equipment and Principle
2.3. Test Plan and Steps
- (1)
- The surrounding of the coal rock specimen was wrapped with a heat-shrinkable tube, the specimen was placed in the test system, the water pipe, axial extensometer, axial circumferential extensometer and temperature sensor were install, and the triaxial cell was positioned, as shown in Figure 3.
- (2)
- A lower axial pressure of 3 kN was first preloaded in the axial direction, and then the confining pressure σ3 and the axial pressure σ1 were applied in turn at a loading rate of 2 MPa/min to obtain the experimental design value, and σ1 = σ3 was maintained. The hydraulic pressure was applied at a loading rate of 0.1 MPa/min to obtain the test design value P, ensuring that σ3 > P, maintaining the axial pressure, confining pressure, and water pressure. The water outlet time and water quality were recorded after the water flowed out of the lower outlet. The mass was weighed using a high-precision electronic balance, as shown in Figure 4. The electronic balance was connected to the computer to automatically record the data, and the program was run for 1.5 h after the water was stable.
- (3)
- The temperature was increased from room temperature of 25 °C to 85 °C at a heating rate of 0.5 °C/min, and each level was loaded at 20 °C. Data including axial displacement, circumferential displacement, and temperature were monitored during the test.
3. Test Results and Analysis
3.1. The Effect of Temperature on Volumetric Strain
3.2. Influence of Temperature on Water Output in the Seepage Process
3.3. The Effect of Temperature on the Permeability
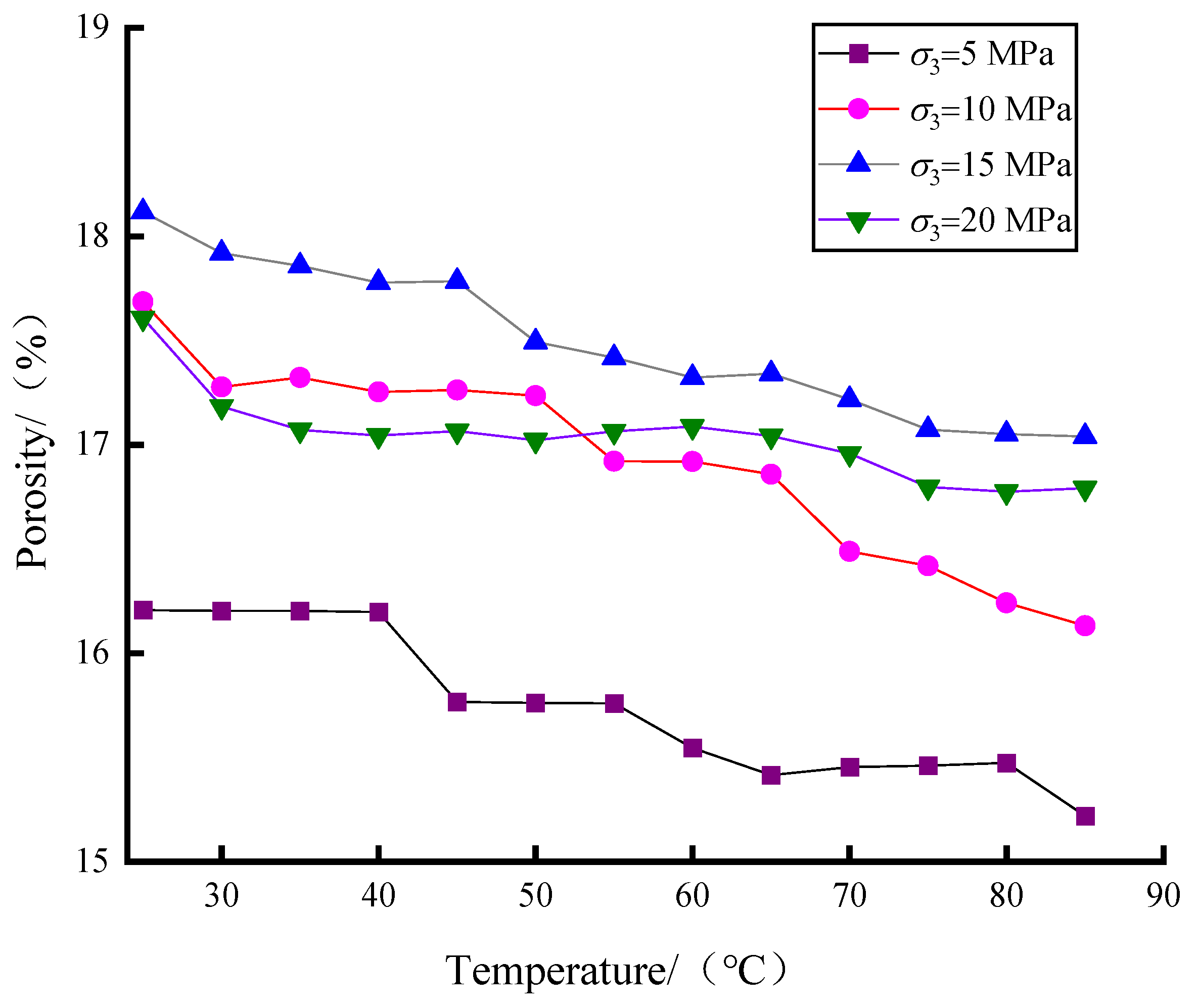
3.4. Evolution Analysis of Coal Porosity
4. Conclusions
- (1)
- With the increase of temperature, the volumetric strain of the coal specimens increased gradually, and the expansion of volume was obvious. The higher the temperature, the greater was the increase of volumetric strain. The increase of the confining pressure had an inhibitory effect on the thermal expansion of the coal specimens. The thermal expansion of coal specimens under the action of high confining pressure was not obvious, and the volume strain increased slightly.
- (2)
- Temperature had an inhibitory effect on the seepage of coal specimens. The higher the temperature, the lower was the permeability. The increase in temperature caused the coal matrix to heat and expand, and the internal cracks and pores of the coal body were compressed and closed. The higher the temperature, the more pores and fractures were closed, and fewer seepage channels remained present, therefore the permeability was reduced. Confining pressure also had an inhibitory effect on seepage. Under the same temperature conditions, the greater the confining pressure, the lower was the permeability. The increase of the confining pressure caused the coal specimen volume to compress and become compact, so increasing the water pressure did not significantly increase the permeability of coal specimens.
- (3)
- Considering parameters such as volume strain, temperature, thermal expansion coefficient, and initial porosity, the relational expressions for porosity under each parameter were deduced. Moreover, the results of the seepage test were compared with the theoretically calculated values, and it was found that the theoretically calculated values were consistent with the experimental values. Except for when the confining pressure was 20 MPa, the porosity and permeability of coal specimens decreased with the increase in temperature.
Author Contributions
Funding
Data Availability Statement
Conflicts of Interest
References
- Xie, H.P. Research review of the state key research development program of China: Deep rock mechanics and mining theory. J. China Coal Soc. 2019, 44, 1283–1305. [Google Scholar]
- Wu, Q.H.; Weng, L.; Zhao, Y.L.; Feng, F. Influence of infilling stiffness on mechanical and fracturing responses of hollow cylindrical sandstone under uniaxial compression tests. J. Cent. South Univ. 2021, 28, 2485–2498. [Google Scholar] [CrossRef]
- Wang, M.; Wan, W.; Zhao, Y.L. Experimental study on crack propagation and coalescence of rock-like materials with two pre-existing fissures under biaxial compression. Bull. Eng. Geol. Environ. 2020, 79, 3121–3144. [Google Scholar] [CrossRef]
- Xue, D.J.; Zhou, H.H.; Wang, C.S.; Li, D.P. Coupling mechanism between mining-induced deformation and permeability of coal. Int. J. Min. Sci. Technol. 2013, 23, 783–787. [Google Scholar] [CrossRef]
- Ohnishi, Y.; Kobayashi, A. Thermal–hydraulic–mechanical coupling analysis of rock mass. In Analysis and Design Methods; Pergamon: King of Prussia, PA, USA, 1993; pp. 191–208. [Google Scholar]
- Liu, J.H.; Zhao, Y.L.; Tan, T.; Zhang, L.Y.; Zhu, S.T.; Xu, F.Y. Evolution and modeling of mine water inflow and hazards characteristics in southern coalfields of China: A case of Meitanba mine. Int. J. Min. Sci. Techno 2022, 32, 513–524. [Google Scholar] [CrossRef]
- Li, P.; Rao, Q.H.; Li, Z.; Jing, J. Thermal-hydro-mechanical coupling stress intensity factor of brittle rock. Trans. Nonferr. Met. Soc. China 2014, 24, 499–508. [Google Scholar] [CrossRef]
- Kong, H.L.; Miao, X.X.; Wang, L.Z.; Zhang, Y.; Chen, Z. Analysis of the Harmfulness of Water-Inrush from Coal Seam Floor Based on Seepage Instability Theory. J. China Univ. Min. Technol. 2007, 17, 453–458. [Google Scholar] [CrossRef]
- Brace, W.F.; Walsh, J.B.; Frangos, W.T. Permeability of granite under high pressure. J. Geophys. Res. 1968, 73, 2225–2236. [Google Scholar] [CrossRef]
- Louis, C. Rock Hydraulics. In Rock Mechanics; Springer: Vienna, Austria, 1972. [Google Scholar]
- Bauer, S.J.; Johnson, B. Effects of slow uniform heating on the physical properties of the westerly and charcoal granites. In Proceedings of the U.S. Symposium on Rock Mechanics, Austin, TX, USA, 4–6 June 1979. [Google Scholar]
- Trice, R.; Warren, N. Study of the correlation of acoustic velocity and permeability of granodiorites from the Valles Caldera, New Mexico. EOS Trans. Am. Geophys. Union 1976, 57, 12. [Google Scholar]
- Zhang, S.; Paterson, M.S.; Cox, S.F. Microcrack growth and healing in deformed calcite aggregates. Tectonophysics 2001, 335, 17–36. [Google Scholar] [CrossRef]
- Hart, R.D.; St John, C.M. Formulation of a fully-coupled thermal-mechanical-fluid flow model for non-linear geologic systems. Int. J. Rock Mech. Min. Sci. Geomech. 1986, 23, 213–224. [Google Scholar] [CrossRef]
- Zhao, Y.L.; Liu, Q.; Liu, H. Triaxial compression and acoustic emission tests on single cracked limestone and compression-shear fracture model under hydraulic-mechanical coupling action. J. China Coal Soc. 2021, 46, 3855–3868. [Google Scholar]
- Zhao, Y.L.; Tang, J.Z.; Chen, Y.; Zhang, L.Y.; Wang, W.J.; Wan, W.; Liao, J. Hydromechanical coupling tests for mechanical and permeability characteristics of fractured limestone in complete stress-strain process. Environ. Earth Sci. 2017, 76, 1–18. [Google Scholar] [CrossRef]
- Zhang, P.S.; Zhao, C.Y.; Hou, J.Q.; Li, T.H.; Zhang, X. Experimental study on seepage characteristics of deep sandstone under temperature-stress-seepage coupling conditions. Chin. J. Rock Mechan. Eng. 2020, 39, 1957–1974. [Google Scholar]
- Zhang, P.S.; Zhao, C.Y.; Hou, J.Q.; Li, T.H. Experimental study on seepage characteristics of deep sandstone under high temperature and different hydraulic pressures. Chin. J. Rock Mechan. Eng. 2020, 39, 1117–1128. [Google Scholar]
- Wang, X.; Feng, Z.J. Thermal deformation of long flame coal under thermos-mechanical coupling. Coal Eng. 2021, 53, 135–139. [Google Scholar]
- Feng, Z.J.; Wan, Z.J.; Zhao, Y.S.; Li, G.W.; Zhang, Y.; Wang, C. Experimental investigation into deformation characteristics of anthracite under thermo-mechanical coupling conditions. Chin. J. Rock Mechan. Eng. 2010, 29, 1624–1630. [Google Scholar]
- Wang, C.G.; Chen, L.J.; Wang, C.S.; Chen, L.-J.; Wang, C.-S.; Zhang, X.-H.; Wei, M.-Y. Experiment on thermal-induced expansion and mechanical properties of gas-bearing intact coal subjected to thermal-mechanical loading. Soil Mechan. 2014, 35, 1015–1024. [Google Scholar]
- Li, Z.Q.; Xian, X.F. Study on experiment of coal permeability with temperature and stress changing. J. Liaoning Tech. Univ. (Nat. Sci.) 2009, 28 (Suppl. S1), 156–159. [Google Scholar]
- Li, Q.Z.; Xian, X.F.; Long, Q.M. Experiment study of coal permeability under different temperature and stress. J. China Univ. Min. Technol. 2009, 38, 523–527. [Google Scholar]
- Zhang, Y.; Wan, Z.J.; Kang, J.R.; Zhao, Y.-S. Analysis of stage characteristics of sandstone permeability under conditions of temperature and triaxial stress. Rock Soil Mech. 2011, 32, 677–683. [Google Scholar]
- Yu, Y.J.; Zhang, H.; Zhang, C.H.; Hao, Z.; Wang, L.-G. Effects of temperature and stress on permeability of standard coal briquette specimen. J. China Coal Soc. 2013, 38, 936–941. [Google Scholar]
- Li, X.C.; Guo, Y.Y.; Wu, S.Y. Analysis of The Relation of Porosity, Permeability and Swelling Deformation of Coal. J. Taiyuan Univ. Technol. 2005, 03, 264–266. [Google Scholar]
- The National Standards Compilation Group of the Peoples Republic of China. GB/T 50266—99 Standard for Tests Method of Engineering Rock Masses; China Planning Press: Beijing, China, 1999. (In Chinese) [Google Scholar]
- Wang, W.; Xu, W.Y.; Wang, R.B.; Cao, Y.; Wang, H.; Feng, S. Permeability of dense rock under triaxial compression. Chin. J. Rock Mech. Eng. 2015, 34, 40–47. (In Chinese) [Google Scholar]
- Goodman, R.E. Introduction to Rock Mechanics, 2nd ed.; Wiley: New York, NY, USA, 1989. [Google Scholar]
- Chen, M.X. Elasticity and Plasticity; Science Press: Beijing, China, 2007. [Google Scholar]
- Kestin, J.; Sokolov, M.; Wakeham, W.A. Viscosity of liquid water in the range −8 °C to 150 °C. J. Phys. Chem. Ref. Data 1978, 7, 941–948. [Google Scholar] [CrossRef]
- Cheng, Y.P.; Liu, Q.Q.; Ren, T.X. Coal Mechanics; Science Press: Beijing, China, 2017. [Google Scholar]










| Temperature /°C | 25 | 45 | 65 | 85 |
|---|---|---|---|---|
| Dynamic Viscosity/mPa·s | 0.8900 | 0.5958 | 0.4329 | 0.3345 |
| Confining Pressure/MPa | Hydraulic Pressure/MPa | Temperature /°C | Permeability /10−18 m2 | Rate /% |
|---|---|---|---|---|
| 5 | 4 | 25 | 15.08 | - |
| 45 | 6.49 | −56.9 | ||
| 65 | 3.64 | −43.9 | ||
| 85 | 2.94 | −19.2 | ||
| 10 | 8 | 25 | 1.89 | - |
| 45 | 1.48 | −21.7 | ||
| 65 | 1.32 | −10.8 | ||
| 85 | 1.18 | −10.6 | ||
| 15 | 12 | 25 | 1.59 | - |
| 45 | 1.19 | −25.1 | ||
| 65 | 1.02 | −14.2 | ||
| 85 | 0.91 | −10.7 | ||
| 20 | 16 | 25 | 0.12 | - |
| 45 | 0.18 | 50.0 | ||
| 65 | 0.20 | 11.1 | ||
| 85 | 0.22 | 10.0 |
Publisher’s Note: MDPI stays neutral with regard to jurisdictional claims in published maps and institutional affiliations. |
© 2022 by the authors. Licensee MDPI, Basel, Switzerland. This article is an open access article distributed under the terms and conditions of the Creative Commons Attribution (CC BY) license (https://creativecommons.org/licenses/by/4.0/).
Share and Cite
Zhao, Y.; Liu, Q.; Tang, L.; Liao, J.; Chang, L.; Wang, X.; Li, Y.; Ren, S. Test Study of Seepage Characteristics of Coal Rock under Various Thermal, Hydraulic, and Mechanical Conditions. Machines 2022, 10, 1012. https://doi.org/10.3390/machines10111012
Zhao Y, Liu Q, Tang L, Liao J, Chang L, Wang X, Li Y, Ren S. Test Study of Seepage Characteristics of Coal Rock under Various Thermal, Hydraulic, and Mechanical Conditions. Machines. 2022; 10(11):1012. https://doi.org/10.3390/machines10111012
Chicago/Turabian StyleZhao, Yanlin, Qiang Liu, Liming Tang, Jian Liao, Le Chang, Xiaguang Wang, Yang Li, and Sheng Ren. 2022. "Test Study of Seepage Characteristics of Coal Rock under Various Thermal, Hydraulic, and Mechanical Conditions" Machines 10, no. 11: 1012. https://doi.org/10.3390/machines10111012
APA StyleZhao, Y., Liu, Q., Tang, L., Liao, J., Chang, L., Wang, X., Li, Y., & Ren, S. (2022). Test Study of Seepage Characteristics of Coal Rock under Various Thermal, Hydraulic, and Mechanical Conditions. Machines, 10(11), 1012. https://doi.org/10.3390/machines10111012

