Applied Mechatronics: On Mitigating Disturbance Effects in MEMS Resonators Using Robust Nonsingular Terminal Sliding Mode Controllers
Abstract
:1. Introduction
2. Nonsingular Terminal Sliding Mode Control
2.1. Micro-Capacitor Dynamic Model Governing Equation
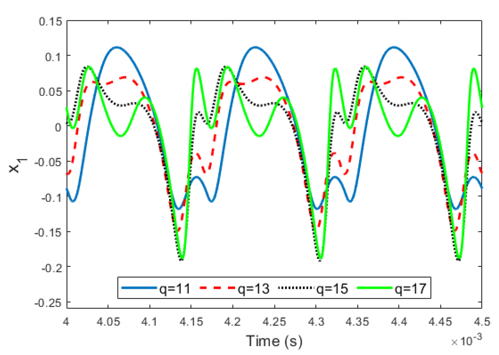
3. Results and Discussions
4. Conclusions
Author Contributions
Funding
Institutional Review Board Statement
Informed Consent Statement
Data Availability Statement
Conflicts of Interest
References
- Peng, Y.; Sun, Y.; Luo, G.; Wu, G.; Zhang, T. Recent Advancements in Inertial Micro-Switches. Electronics 2019, 8, 648. [Google Scholar] [CrossRef] [Green Version]
- Gorgani, H.H.; Adeli, M.M.; Hosseini, M. Pull-in behavior of functionally graded micro/nano-beams for MEMS and NEMS switches. Microsyst. Technol. 2019, 25, 3165–3173. [Google Scholar] [CrossRef]
- Shojaei-Asanjan, D.; Bakri-Kassem, M.; Mansour, R.R. Analysis of thermally actuated RF-MEMS switches for power limiter applications. J. Microelectromech. Syst. 2019, 28, 107–113. [Google Scholar] [CrossRef]
- Sedighi, H.M.; Shirazi, K.; Changizian, M. Effect of the amplitude of vibrations on the pull-in instability of double-sided actuated microswitch resonators. J. Appl. Mech. Tech. Phys. 2015, 56, 304–312. [Google Scholar] [CrossRef]
- Liang, S.; Teng, F.; Hao, W.; Gu, W.; Sun, P.; Zhai, S.; Yang, X. Fabrication of flexible, foldable Ag/Bi2S3 nanoflowers-based asymmetric micro-capacitor. Micro Nano Lett. 2020, 15, 614–617. [Google Scholar] [CrossRef]
- Wang, C.-P.; Chou, C.-P.; Chang, T.-L.; Chou, C.-Y. Micromachining of graphene based micro-capacitor using picosecond laser ablation. Microelectron. Eng. 2018, 189, 69–73. [Google Scholar] [CrossRef]
- Rezazadeh, G.; Mobki, H. Design of direct exponential observers for fault detection of nonlinear mems tunable capacitor. Int. J. Eng. 2015, 28, 634–641. [Google Scholar]
- Xu, B.; Zhang, P. Minimal-learning-parameter technique based adaptive neural sliding mode control of MEMS gyroscope. Complexity 2017, 2017, 6019175. [Google Scholar] [CrossRef] [Green Version]
- Fei, J.; Liang, X. Adaptive backstepping fuzzy neural network fractional-order control of microgyroscope using a nonsingular terminal sliding mode controller. Complexity 2018, 2018, 5246074. [Google Scholar] [CrossRef] [Green Version]
- Jin, L.; Qin, S.-Y.; Zhang, R.; Li, M.-W. High-sensitivity tunneling magneto-resistive micro-gyroscope with immunity to external magnetic interference. Sci. Rep. 2020, 10, 16441. [Google Scholar] [CrossRef]
- Zeng, L.; Yu, Z.; Zhang, H.; Zhang, X.; Chen, H. A high sensitive multi-parameter micro sensor for the detection of multi-contamination in hydraulic oil. Sens. Actuators A Phys. 2018, 282, 197–205. [Google Scholar] [CrossRef]
- Zhu, Z.; Liu, X.; Ye, Z.; Zhang, J.; Cao, F.; Zhang, J. A fabrication of iridium oxide film pH micro-sensor on Pt ultramicroelectrode and its application on in-situ pH distribution of 316 L stainless steel corrosion at open circuit potential. Sens. Actuators B Chem. 2018, 255, 1974–1982. [Google Scholar] [CrossRef]
- Ghouila-Houri, C.; Gallas, Q.; Garnier, E.; Merlen, A.; Viard, R.; Talbi, A.; Pernod, P. High temperature gradient calorimetric wall shear stress micro-sensor for flow separation detection. Sens. Actuators A Phys. 2017, 266, 232–241. [Google Scholar] [CrossRef] [Green Version]
- Nazemi, H.; Joseph, A.; Park, J.; Emadi, A. Advanced micro-and nano-gas sensor technology: A review. Sensors 2019, 19, 1285. [Google Scholar] [CrossRef] [PubMed] [Green Version]
- Admassu, D.; Durowade, T.; Gao, W.; Velicu, S.; Sivananthan, S. Adhesive wafer bonding of micro-actuators with SU-8 photoresist. Microsyst. Technol. 2020, 27, 3293–3297. [Google Scholar] [CrossRef]
- Ak, C.; Yildiz, A.; Akdagli, A. A novel expression obtained by using artificial bee colony algorithm to calculate pull-in voltage of fixed-fixed micro-actuators. Microsyst. Technol. 2018, 24, 2137–2145. [Google Scholar] [CrossRef]
- Rakotondrabe, M. Smart Materials-Based Actuators at the Micro/Nano-Scale: Characterization, Control and Applications; Springer: New York, NY, USA, 2013; ISBN 978-1-4614-6683-3. [Google Scholar]
- Ouakad, H.M.; Bahadur, I.M. Bi-stability behavior in electrostatically actuated non-contact based micro-actuator. Microsyst. Technol. 2020, 26, 2961–2969. [Google Scholar] [CrossRef]
- Moory-Shirbani, M.; Sedighi, H.M.; Ouakad, H.M.; Najar, F. Experimental and mathematical analysis of a piezoelectrically actuated multilayered imperfect microbeam subjected to applied electric potential. Compos. Struct. 2018, 184, 950–960. [Google Scholar] [CrossRef]
- Osiander, R.; Darrin, M.A.G.; Champion, J.L. MEMS and Microstructures in Aerospace Applications; CRC Press: Boca Raton, FL, USA, 2018. [Google Scholar]
- Choudhary, V.; Iniewski, K. Mems: Fundamental Technology and Applications; CRC Press: Boca Raton, FL, USA, 2017. [Google Scholar]
- Daeichin, M.; Ozdogan, M.; Towfighian, S.; Miles, R. Dynamic response of a tunable MEMS accelerometer based on repulsive force. Sens. Actuators A Phys. 2019, 289, 34–43. [Google Scholar] [CrossRef]
- Hajjaj, A.Z.; Alcheikh, N.; Younis, M.I. The static and dynamic behavior of MEMS arch resonators near veering and the impact of initial shapes. Int. J. Non-Linear Mech. 2017, 95, 277–286. [Google Scholar] [CrossRef] [Green Version]
- Pallay, M.; Daeichin, M.; Towfighian, S. Dynamic behavior of an electrostatic MEMS resonator with repulsive actuation. Nonlinear Dyn. 2017, 89, 1525–1538. [Google Scholar] [CrossRef]
- Skrzypacz, P.; Kadyrov, S.; Nurakhmetov, D.; Wei, D. Analysis of dynamic pull-in voltage of a graphene MEMS model. Nonlinear Anal. Real World Appl. 2019, 45, 581–589. [Google Scholar] [CrossRef] [Green Version]
- Madinei, H.; Mobki, H. State estimation of MEMs capacitor using taylor expansion. Int. J. Eng. 2015, 28, 764–770. [Google Scholar]
- Ozdogan, M.; Towfighian, S.; Miles, R.N. Modeling and Characterization of a Pull-in Free MEMS Microphone. IEEE Sens. J. 2020, 20, 6314–6323. [Google Scholar] [CrossRef] [Green Version]
- Radi, E.; Bianchi, G.; Nobili, A. Bounds to the pull-in voltage of a MEMS/NEMS beam with surface elasticity. Appl. Math. Model. 2020, 91, 1211–1226. [Google Scholar] [CrossRef]
- Daeichin, M.; Miles, R.; Towfighian, S. Lateral pull-in instability of electrostatic MEMS transducers employing repulsive force. Nonlinear Dyn. 2020, 100, 1927–1940. [Google Scholar] [CrossRef]
- Sedighi, H.M.; Daneshmand, F.; Yaghootian, A. Application of Iteration Perturbation Method in studying dynamic pull-in instability of micro-beams. Lat. Am. J. Solids Struct. 2014, 11, 1078–1089. [Google Scholar] [CrossRef] [Green Version]
- Azizi, A.; Mobki, H.; Rezazadeh, G. Bifurcation behavior of a capacitive micro-beam suspended between two conductive plates. Int. J. Sens. Netw. Data Commun. 2016, 5, 1–10. [Google Scholar]
- Azizi, A.; Fard, N.M.; Mobki, H.; Arbi, A. Bifurcation behaviour and stability analysis of a nano-beam subjected to electrostatic pressure. Appl. Comput. Math. 2018, 7, 1–11. [Google Scholar] [CrossRef]
- Siewe, M.S.; Hegazy, U.H. Homoclinic bifurcation and chaos control in MEMS resonators. Appl. Math. Model. 2011, 35, 5533–5552. [Google Scholar] [CrossRef]
- Han, J.; Zhang, Q.; Wang, W. Static bifurcation and primary resonance analysis of a MEMS resonator actuated by two symmetrical electrodes. Nonlinear Dyn. 2015, 80, 1585–1599. [Google Scholar] [CrossRef]
- Aghababa, M.P. Chaos in a fractional-order micro-electro-mechanical resonator and its suppression. Chin. Phys. B 2012, 21, 100505. [Google Scholar] [CrossRef]
- Miandoab, E.M.; Pishkenari, H.N.; Yousefi-Koma, A.; Tajaddodianfar, F. Chaos prediction in MEMS-NEMS resonators. Int. J. Eng. Sci. 2014, 82, 74–83. [Google Scholar] [CrossRef]
- Galetto, M.; Schiavi, A.; Genta, G.; Prato, A.; Mazzoleni, F. Uncertainty evaluation in calibration of low-cost digital MEMS accelerometers for advanced manufacturing applications. CIRP Ann. 2019, 68, 535–538. [Google Scholar] [CrossRef]
- Ghodssi, R.; Lin, P. MEMS Materials and Processes Handbook; Springer Science & Business Media: Berlin/Heidelberg, Germany, 2011; Volume 1. [Google Scholar]
- Wang, Z.-F.; Shen, S.-L.; Modoni, G. Enhancing discharge of spoil to mitigate disturbance induced by horizontal jet grouting in clayey soil: Theoretical model and application. Comput. Geotech. 2019, 111, 222–228. [Google Scholar] [CrossRef]
- Jo, N.H.; Jeon, C.; Shim, H. Noise reduction disturbance observer for disturbance attenuation and noise suppression. IEEE Trans. Ind. Electron. 2016, 64, 1381–1391. [Google Scholar] [CrossRef]
- Wang, D.; He, H.; Mu, C.; Liu, D. Intelligent critic control with disturbance attenuation for affine dynamics including an application to a microgrid system. IEEE Trans. Ind. Electron. 2017, 64, 4935–4944. [Google Scholar] [CrossRef]
- Zhang, B.; Li, H.; Kong, L.; Shen, H.; Zhang, X. Size-dependent static and dynamic analysis of Reddy-type micro-beams by strain gradient differential quadrature finite element method. Thin-Walled Struct. 2020, 148, 106496. [Google Scholar] [CrossRef]
- Ouakad, H.M.; Younis, M.I. The dynamic behavior of MEMS arch resonators actuated electrically. Int. J. Non-Linear Mech. 2010, 45, 704–713. [Google Scholar] [CrossRef]
- Ghayesh, M.H.; Farokhi, H.; Amabili, M. Nonlinear behaviour of electrically actuated MEMS resonators. Int. J. Eng. Sci. 2013, 71, 137–155. [Google Scholar] [CrossRef]
- Younis, M.I. MEMS Linear and Nonlinear Statics and Dynamics; Springer Science & Business Media: Berlin/Heidelberg, Germany, 2011; Volume 20. [Google Scholar]
- Ouakad, H.M.; Sedighi, H.M. Static response and free vibration of MEMS arches assuming out-of-plane actuation pattern. Int. J. Non-Linear Mech. 2019, 110, 44–57. [Google Scholar] [CrossRef]
- Ale Ali, N.; Mohammadi, A.K. Effect of thermoelastic damping in nonlinear beam model of MEMS resonators by differential quadrature method. J. Appl. Comput. Mech. 2015, 1, 112–121. [Google Scholar]
- Wei, D.; Li, X. Finite element solutions of cantilever and fixed actuator beams using augmented lagrangian methods. J. Appl. Comput. Mech. 2018, 4, 125–132. [Google Scholar]
- ILGAMOV, M.A.; KHAKIMOV, A.G. Influence of Pressure on the Frequency Spectrum of Micro and Nanoresonators on Hinged Supports. J. Appl. Comput. Mech. 2021, 7, 977–983. [Google Scholar]
- Ghodrati, B.; Yaghootian, A.; Ghanbar Zadeh, A.; Mohammad-Sedighi, H. Lamb wave extraction of dispersion curves in micro/nano-plates using couple stress theories. Waves Random Complex Media 2018, 28, 15–34. [Google Scholar] [CrossRef]
- Kalhori, H.; Halkon, B.; Abbasnejad, B.; Li, B.; Shooshtari, A. Nonlinear Vibration of an Electrostatically Excited Capacitive Microplate. In Vibration Engineering for a Sustainable Future; Springer: Berlin/Heidelberg, Germany, 2021; pp. 3–9. [Google Scholar]
- Saadatmand, M.; Shooshtari, A. Nonlinear vibration analysis of a circular micro-plate in two-sided NEMS/MEMS capacitive system by using harmonic balance method. Acta Mech. Sin. 2019, 35, 129–143. [Google Scholar] [CrossRef]
- Liu, C.-C. The stability and non-linear vibration analysis of a circular clamped microplate under electrostatic actuation. Smart Sci. 2017, 5, 132–139. [Google Scholar] [CrossRef]
- Karamanli, A.; Aydogdu, M. Vibration of functionally graded shear and normal deformable porous microplates via finite element method. Compos. Struct. 2020, 237, 111934. [Google Scholar] [CrossRef]
- Li, W.; Yang, X.-D.; Zhang, W.; Ren, Y. Parametric amplification performance analysis of a vibrating beam micro-gyroscope with size-dependent and fringing field effects. Appl. Math. Model. 2021, 91, 111–124. [Google Scholar] [CrossRef]
- Moghimi Zand, M.; Ostadi Moghaddam, A. Pull-in instability and vibrations of a beam micro-gyroscope. J. Comput. Appl. Mech. 2014, 45, 29–34. [Google Scholar]
- Ouakad, H.M. Nonlinear structural behavior of a size-dependent MEMS gyroscope assuming a non-trivial shaped proof mass. Microsyst. Technol. 2020, 26, 573–582. [Google Scholar] [CrossRef]
- Gill, W.A.; Ali, D.; An, B.H.; Syed, W.U.; Saeed, N.; Al-shaibah, M.; Elfadel, I.M.; Al Dahmani, S.; Choi, D.S. MEMS multi-vibrating ring gyroscope for space applications. Microsyst. Technol. 2020, 26, 2527–2533. [Google Scholar] [CrossRef]
- Liu, K.-Z.; Yao, Y. Robust Control: Theory and Applications; John Wiley & Sons: Hoboken, NJ, USA, 2016. [Google Scholar]
- Ebihara, Y.; Peaucelle, D.; Arzelier, D. S-Variable Approach to LMI-Based Robust Control; Springer: Berlin/Heidelberg, Germany, 2015. [Google Scholar]
- Shtessel, Y.; Edwards, C.; Fridman, L.; Levant, A. Sliding Mode Control and Observation; Springer: Berlin/Heidelberg, Germany, 2014. [Google Scholar]
- Azar, A.T.; Zhu, Q. Advances and Applications in Sliding Mode Control Systems; Springer: Berlin/Heidelberg, Germany, 2015. [Google Scholar]
- Vaidyanathan, S.; Lien, C.-H. Applications of Sliding Mode Control in Science and Engineering; Springer: Berlin/Heidelberg, Germany, 2017; Volume 709. [Google Scholar]
- Precup, R.-E.; Radac, M.-B.; Dragos, C.-A.; Preitl, S.; Petriu, E.M. Model-free tuning solution for sliding mode control of servo systems. In 2014 IEEE International Systems Conference Proceedings; IEEE: Piscataway, NJ, USA, 2014. [Google Scholar]
- Precup, R.-E.; Preitl, S.; Szabo, C.; Gyurko, Z.; Szemes, P. Sliding mode navigation control in intelligent space. In IEEE International Symposium on Intelligent Signal Processing; IEEE: Piscataway, NJ, USA, 2003. [Google Scholar]
- Hedrea, E.-L.; Precup, R.-E.; Bojan-Dragos, C.-A.; Petriu, E.M.; Roman, R.-C. Tensor Product–Based Model Transformation and Sliding Mode Control of Electromagnetic Actuated Clutch System. In Proceedings of the 2019 IEEE International Conference on Systems, Man and Cybernetics (SMC), Bari, Italy, 6–9 October 2019. [Google Scholar]
- Preitl, S.; Precup, R.-E.; Fodor, J.; Bede, B. Iterative feedback tuning in fuzzy control systems. Theory and applications. Acta Polytech. Hung. 2006, 3, 81–96. [Google Scholar]
- Aparanji, V.M.; Wali, U.V.; Aparna, R. Multi-Layer Auto Resonance Network for Robotic Motion Control. Int. J. Artif. Intell. 2020, 18, 19–44. [Google Scholar]
- Precup, R.-E.; Teban, T.-A.; Albu, A.; Borlea, A.-B.; Zamfirache, I.A.; Petriu, E.M. Evolving fuzzy models for prosthetic hand myoelectric-based control. IEEE Trans. Instrum. Meas. 2020, 69, 4625–4636. [Google Scholar] [CrossRef]
- Precup, R.E.; Tomescu, M.L.; Petriu, E.M. A Unified Anti-Windup Technique for Fuzzy and Sliding Mode Controllers. Int. J. Comput. Commun. Control 2015, 10, 83–95. [Google Scholar] [CrossRef]
- Precup, R.-E.; Roman, R.-C.; Hedrea, E.-L.; Petriu, E.M.; Bojan-Dragos, C.-A. Data-Driven Model-Free Sliding Mode and Fuzzy Control with Experimental Validation. Int. J. Comput. Commun. Control 2021, 16, 1–17. [Google Scholar] [CrossRef]
- Rahmani, M.; Rahman, M.H.; Nosonovsky, M. A new hybrid robust control of MEMS gyroscope. Microsyst. Technol. 2020, 26, 853–860. [Google Scholar] [CrossRef]
- Zhang, X.; Koo, B.; Salapaka, S.M.; Dong, J.; Ferreira, P.M. Robust control of a MEMS probing device. IEEE/ASME Trans. Mechatron. 2012, 19, 100–108. [Google Scholar] [CrossRef]
- He, G.; Geng, Z. Dynamics and robust control of an underactuated torsional vibratory gyroscope actuated by electrostatic actuator. IEEE/ASME Trans. Mechatron. 2014, 20, 1725–1733. [Google Scholar] [CrossRef]
- Fei, J.; Zhou, J. Robust adaptive control of MEMS triaxial gyroscope using fuzzy compensator. IEEE Trans. Syst. Man Cybern. Part B Cybern. 2012, 42, 1599–1607. [Google Scholar]
- Qin, Y.; Sun, W.; Yeow, J.T. A robust control approach for MEMS capacitive micromachined ultrasonic transducer. Trans. Inst. Meas. Control 2019, 41, 107–116. [Google Scholar] [CrossRef]
- Darbasi, S.; Mirzaei, M.J.; Abazari, A.M.; Rezazadeh, G. Adaptive under-Actuated Control for Capacitive Micro-Machined Ultrasonic Transducer Based on an Accurate Nonlinear Modeling. Available online: https://www.researchsquare.com/article/rs-756261/v1 (accessed on 5 October 2021).
- Mobki, H.; Sabegh, A.M.; Azizi, A.; Ouakad, H.M. On the implementation of adaptive sliding mode robust controller in the stabilization of electrically actuated micro-tunable capacitor. Microsyst. Technol. 2020, 26, 3903–3916. [Google Scholar] [CrossRef]
- Qiao, L.; Zhang, W. Trajectory tracking control of AUVs via adaptive fast nonsingular integral terminal sliding mode control. IEEE Trans. Ind. Inform. 2019, 16, 1248–1258. [Google Scholar] [CrossRef]
- Xiong, J.-J.; Zhang, G.-B. Global fast dynamic terminal sliding mode control for a quadrotor UAV. ISA Trans. 2017, 66, 233–240. [Google Scholar] [CrossRef]
- Mu, C.; He, H. Dynamic behavior of terminal sliding mode control. IEEE Trans. Ind. Electron. 2017, 65, 3480–3490. [Google Scholar] [CrossRef]
- Aghababa, M.P.; Feizi, H. Nonsingular terminal sliding mode approach applied to synchronize chaotic systems with unknown parameters and nonlinear inputs. Chin. Phys. B 2012, 21, 060506. [Google Scholar] [CrossRef]
- Chen, G.; Song, Y.; Guan, Y. Terminal sliding mode-based consensus tracking control for networked uncertain mechanical systems on digraphs. IEEE Trans. Neural Netw. Learn. Syst. 2016, 29, 749–756. [Google Scholar] [CrossRef] [PubMed]
- Shotorbani, A.M.; Ajami, A.; Zadeh, S.G.; Aghababa, M.P.; Mahboubi, B. Robust terminal sliding mode power flow controller using unified power flow controller with adaptive observer and local measurement. IET Gener. Transm. Distrib. 2014, 8, 1712–1723. [Google Scholar] [CrossRef]
- Mobayen, S.; Javadi, S. Disturbance observer and finite-time tracker design of disturbed third-order nonholonomic systems using terminal sliding mode. J. Vib. Control 2017, 23, 181–189. [Google Scholar] [CrossRef]
- Feng, Y.; Yu, X.; Han, F. On nonsingular terminal sliding-mode control of nonlinear systems. Automatica 2013, 49, 1715–1722. [Google Scholar] [CrossRef]
- Liu, W.; Feng, Z.; Bi, A. A novel nonsingular terminal sliding mode control combined with global sliding surface for uncertain nonlinear second-order systems. Trans. Inst. Meas. Control 2020, 42, 1294–1300. [Google Scholar] [CrossRef]
- Mobki, H.; Jalilirad, M.; Moradi, M.V.; Azizi, A. Multi input versus single input sliding mode for closed-loop control of capacitive micro structures. SN Appl. Sci. 2019, 1, 676. [Google Scholar] [CrossRef] [Green Version]
















| 2.3 | 3.23 | 4.78 | 6.11 | |
| 1.69 | 2.27 | 3.61 | 5.32 |
| 0.54 | 0.4 | 0.35 | 0.32 | |
| 0.52 | 0.41 | 0.36 | 0.33 |
| 0.66 | 0.54 | 0.48 | |
| 0.59 | 0.52 | 0.47 |
Publisher’s Note: MDPI stays neutral with regard to jurisdictional claims in published maps and institutional affiliations. |
© 2022 by the authors. Licensee MDPI, Basel, Switzerland. This article is an open access article distributed under the terms and conditions of the Creative Commons Attribution (CC BY) license (https://creativecommons.org/licenses/by/4.0/).
Share and Cite
Azizi, A.; Mobki, H.; Ouakad, H.M.; Speily, O.R.B. Applied Mechatronics: On Mitigating Disturbance Effects in MEMS Resonators Using Robust Nonsingular Terminal Sliding Mode Controllers. Machines 2022, 10, 34. https://doi.org/10.3390/machines10010034
Azizi A, Mobki H, Ouakad HM, Speily ORB. Applied Mechatronics: On Mitigating Disturbance Effects in MEMS Resonators Using Robust Nonsingular Terminal Sliding Mode Controllers. Machines. 2022; 10(1):34. https://doi.org/10.3390/machines10010034
Chicago/Turabian StyleAzizi, Aydin, Hamed Mobki, Hassen M. Ouakad, and Omid Reza B. Speily. 2022. "Applied Mechatronics: On Mitigating Disturbance Effects in MEMS Resonators Using Robust Nonsingular Terminal Sliding Mode Controllers" Machines 10, no. 1: 34. https://doi.org/10.3390/machines10010034
APA StyleAzizi, A., Mobki, H., Ouakad, H. M., & Speily, O. R. B. (2022). Applied Mechatronics: On Mitigating Disturbance Effects in MEMS Resonators Using Robust Nonsingular Terminal Sliding Mode Controllers. Machines, 10(1), 34. https://doi.org/10.3390/machines10010034

