Parametric Inequalities for s-Convex Stochastic Processes via Caputo Fractional Derivatives
Abstract
1. Introduction
2. Preliminaries
3. Parametrized Identity for Stochastic k-Caputo Fractional Derivatives
4. Parametrized Inequalities via Stochastic s-Convexity
5. Special Instances
5.1. Midpoint-Type Inequalities
5.2. Trapezium-Type Inequalities
5.3. Simpson-Type Inequalities
5.4. Bullen-Type Inequalities
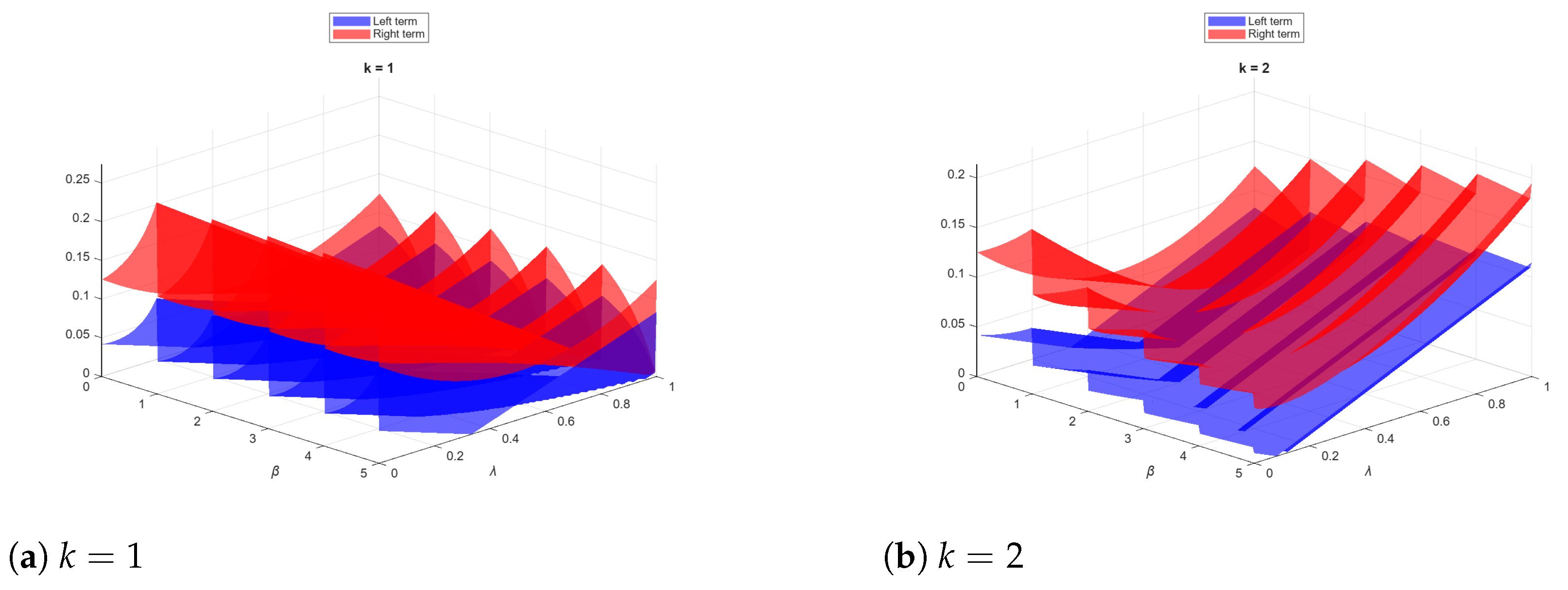
6. A Numerical Case Study Supporting the Theoretical Findings
7. Conclusions
Author Contributions
Funding
Data Availability Statement
Acknowledgments
Conflicts of Interest
References
- Gomez-Aguilar, J.F.; Atangana, A. Applications of Fractional Calculus Modeling in Dynamics and Chaos; CRC: Boca Raton, FL, USA, 2023. [Google Scholar]
- Dimitrov, Y.; Georgiev, S.; Todorov, V.; Hristov, J. Advances in Fractional Modeling and Computation. Fractal Fract. 2026, 10, 45. [Google Scholar] [CrossRef]
- West, B.J.; Chen, Y. Fractional Calculus for Skeptics I: The Fractal Paradigm; CRC Press: Boca Raton, FL, USA, 2024. [Google Scholar]
- Caputo, M. Linear models of dissipation whose Q is almost frequency independent II. Geophys. J. R. Astron. Soc. 1967, 13, 529–539. [Google Scholar] [CrossRef]
- Jiang, S.D.; Zhang, J.W.; Zhang, Q.; Zhang, Z.M. Fast evaluation of the Caputo fractional derivative and its applications to fractional diffusion equations. Commun. Comput. Phys. 2017, 21, 65–678. [Google Scholar] [CrossRef]
- Yan, Y.G.; Sun, Z.Z.; Zhang, J.W. Fast evaluation of the caputo fractional derivative and its applications to fractional diffusion equations: A second-order scheme. Commun. Comput. Phys. 2017, 22, 1028–1048. [Google Scholar] [CrossRef]
- Farid, G.; Naqvi, S.; Ur Rehman, A. A version of the Hadamard inequality for Caputo fractional derivatives and related results. RGMIA Res. Rep. Collect. 2017, 20, 59. [Google Scholar]
- Farid, G.; Javed, A.; Ur Rehman, A. On Hadamard inequalities for n-times differentiable functions which are relative convex via Caputo k-fractional derivatives. Nonlinear Anal. Forum 2017, 22, 17–28. [Google Scholar]
- Farid, G.; Javed, A.; Ur Rehman, A.; Qureshi, M.I. On Hadamard-type inequalities for differentiable functions via Caputo k-fractional derivatives. Cogent Math. 2017, 4, 1355429. [Google Scholar] [CrossRef]
- Allen, L.J.S. An Introduction to Stochastic Processes with Applications to Biology, 2nd ed.; CRC: Boca Raton, FL, USA, 2011. [Google Scholar]
- Bhattacharya, R.N.; Waymire, E.C. Stochastic Processes with Applications; reprint of the 1990 original, Classics in Applied Mathematics, 61; SIAM: Philadelphia, PA, USA, 2009. [Google Scholar]
- Kotrys, D. Hermite-Hadamard inequality for convex stochastic processes. Aequationes Math. 2012, 83, 143–151. [Google Scholar] [CrossRef]
- Materano, J.; Merentes, N.; Valera-López, M. Some estimates on the Simpson’s type inequalities through s-convex and quasi-convex stochastic processes. Math. Aeterna 2015, 5, 673–705. [Google Scholar]
- Materano, J.; Merentes, N.; Valera-López, M. On Ostrowskis type inequalities via convex, s-convex and quasi-convex stochastic processes. Math. Aeterna 2016, 6, 47–85. [Google Scholar]
- Agahi, H.; Babakhani, A. On fractional stochastic inequalities related to Hermite-Hadamard and Jensen types for convex stochastic processes. Aequationes Math. 2016, 90, 1035–1043. [Google Scholar] [CrossRef]
- Deng, J.; Wang, J. Fractional Hermite-Hadamard inequalities for (β,m)-logarithmically convex functions. J. Inequal. Appl. 2013, 2013, 364. [Google Scholar] [CrossRef]
- Afzal, W.; Botmart, T. Some novel estimates of Jensen and Hermite-Hadamard inequalities for h-Godunova-Levin stochastic processes. AIMS Math. 2023, 8, 7277–7291. [Google Scholar] [CrossRef]
- Meftah, B.; Benchettah, D.C.; Saleh, W.; Lakhdari, A. On k-Riemann–Liouville Maclaurin-type inequalities for s-convex stochastic processes. Math. Methods Appl. Sci. 2026, 49, 2035–2046. [Google Scholar] [CrossRef]
- Alzahrani, R.; Fakhfakh, R.; Alomani, G.; Meftah, B. On Fractional Hermite–Hadamard-type inequalities for harmonically s-convex stochastic processes. Fractal Fract. 2025, 9, 750. [Google Scholar] [CrossRef]
- Afzal, W.; Aloraini, N.M.; Abbas, M.; Ro, J.S.; Zaagan, A.A. Some novel Kulisch-Miranker type inclusions for a generalized class of Godunova-Levin stochastic processes. AIMS Math. 2024, 9, 5122–5146. [Google Scholar] [CrossRef]
- Hernández, J.E.; García, J.F.G. Hermite-Hadamard type inequalities, convex stochastic processes and Katugampola fractional integral. Rev. Integr. Temas Mat. 2018, 36, 133–149. [Google Scholar] [CrossRef]
- Hernández, J.E.H.; Gomez, J.F. Hermite-Hadamard type inequalities for (m, h1, h2)-convex stochastic processes using Katugampola fractional integral. Rev. Matemática Univ. Atlántico 2019, 6, 17–32. [Google Scholar]
- Jarad, F.; Sahoo, S.K.; Nisar, K.S.; Treanta, S.; Emadifar, H.; Botmart, T. New stochastic fractional integral and related inequalities of Jensen-Mercer and Hermite-Hadamard-Mercer type for convex stochastic processes. J. Inequal. Appl. 2023, 2023, 51. [Google Scholar] [CrossRef]
- Javed, M.Z.; Awan, M.U.; Ciurdariu, L.; Dragomir, S.S.; Almalki, Y. On extended class of totally ordered interval-valued convex stochastic processes and applications. Fractal Fract. 2024, 8, 577. [Google Scholar] [CrossRef]
- Set, E.; Sarıkaya, M.Z.; Tomar, M. Hermite-Hadamard type inequalities for coordinates convex stochastic processes. Math. AEterna 2015, 5, 363–382. [Google Scholar]
- Sharma, N.; Mishra, R.; Hamdi, A. On strongly generalized convex stochastic processes. Comm. Statist. Theory Methods 2024, 53, 2908–2923. [Google Scholar] [CrossRef]
- Rashid, S.; Noor, M.A.; Noor, K.I. Caputo fractional derivatives and inequalities via preinvex stochastic processes. Filomat 2023, 37, 6569–6584. [Google Scholar] [CrossRef]
- Alruwaily, Y.; Fakhfakh, R.; Alomani, G.; Alzahrani, R.; Ben Makhlouf, A. Deriving Hermite–Hadamard-type inequalities via stochastic k-Caputo fractional derivatives. Fractal Fract. 2025, 9, 757. [Google Scholar] [CrossRef]
- Lakhdari, A.; Mlaiki, N.; Saleh, W.; Abdeljawad, T.; Meftah, B. Exploring conformable fractional integral inequalities: A multi-parameter approach. Fractals 2025, 33, 2550055. [Google Scholar] [CrossRef]
- Gong, P.; Meftah, B.; Xu, H.; Budak, H.; Lakhdari, A. Exploring fractal–fractional integral inequalities: An extensive parametric study. Chaos Solitons Fractals 2025, 199, 116772. [Google Scholar] [CrossRef]
- Li, H.; Lakhdari, A.; Jarad, F.; Xu, H.; Meftah, B. An expanded analysis of local fractional integral inequalities via generalized (s, P)-convexity. J. Inequal. Appl. 2024, 2024, 78. [Google Scholar] [CrossRef]
- Sobczyk, K. Stochastic Differential Equations; Mathematics and its Applications (East European Series), 40; Kluwer Academic Publishers: Dordrecht, The Netherlands, 1991. [Google Scholar]
- Nikodem, K. On convex stochastic processes. Aequationes Math. 1980, 20, 184–197. [Google Scholar] [CrossRef]
- Díaz, R.; Pariguan, E. On hypergeometric functions and Pochhammer k-symbol. Divulg. Mat. 2007, 15, 179–192. [Google Scholar]


Disclaimer/Publisher’s Note: The statements, opinions and data contained in all publications are solely those of the individual author(s) and contributor(s) and not of MDPI and/or the editor(s). MDPI and/or the editor(s) disclaim responsibility for any injury to people or property resulting from any ideas, methods, instructions or products referred to in the content. |
© 2026 by the authors. Licensee MDPI, Basel, Switzerland. This article is an open access article distributed under the terms and conditions of the Creative Commons Attribution (CC BY) license.
Share and Cite
Alruwaily, Y.; Alzahrani, R.; Alshahrani, F.; Meftah, B.; Fakhfakh, R. Parametric Inequalities for s-Convex Stochastic Processes via Caputo Fractional Derivatives. Axioms 2026, 15, 147. https://doi.org/10.3390/axioms15020147
Alruwaily Y, Alzahrani R, Alshahrani F, Meftah B, Fakhfakh R. Parametric Inequalities for s-Convex Stochastic Processes via Caputo Fractional Derivatives. Axioms. 2026; 15(2):147. https://doi.org/10.3390/axioms15020147
Chicago/Turabian StyleAlruwaily, Ymnah, Rabab Alzahrani, Fatimah Alshahrani, Badreddine Meftah, and Raouf Fakhfakh. 2026. "Parametric Inequalities for s-Convex Stochastic Processes via Caputo Fractional Derivatives" Axioms 15, no. 2: 147. https://doi.org/10.3390/axioms15020147
APA StyleAlruwaily, Y., Alzahrani, R., Alshahrani, F., Meftah, B., & Fakhfakh, R. (2026). Parametric Inequalities for s-Convex Stochastic Processes via Caputo Fractional Derivatives. Axioms, 15(2), 147. https://doi.org/10.3390/axioms15020147

