Abstract
The tumor immune system is modified through immunotherapy to more effectively eliminate cancer cells. This has led to the adoption of several mathematical models of cancer diffusion to explore the tumor–immune interaction, and as a result, the distinctive interaction between cancer and immune populations has received increased attention. The objective of this work is to analyze Fisher information to examine variability and sustainability in a modified predator–prey model. Specifically, we investigate how parameter values influence the system’s dynamics. Unlike traditional deterministic models, our approach incorporates the effects of immunotherapy dosage, introducing a novel perspective. We further explore the system’s response to various modulations, providing deeper insights into its behavior under different conditions.
MSC:
34H05
1. Introduction
The immunotherapy approach includes modifying the tumor–immune system interaction. in order to more effectively eliminate cancer cells [1]. As a result, the relationship between cancer cells and immune cells has received increased attention and has been examined using several mathematical models of cancer diffusion ([2] and references therein, [3,4,5]).
An approach is to use a predator–prey model as an example [6,7,8,9,10], which describes the system as a deterministic system with stable limit cycle behavior. As a result, the solution shows a delicate dependence on the initial values. This may result in a limit cycle attractor or a series of nested closed loops where both variables change frequently throughout time [6,11,12,13,14].
The predator–prey model, which was originally proposed by Lotka and Volterra [15,16], takes the following form:
Equation (1) is used to describe how predator–prey fish populations have evolved and has four parameters: the prey growth rate , the prey mortality rate , the predator mortality rate , and the predator growth rate . In our model, we assume that the predator represents the population of cancer cells at the time t that are attacked by immune cells and represents the population of immune cells at the time t that kills cancer cells. and represent how immune cells eliminate cancer cells and how immune cells can proliferate in response to the presence of cancer. In the case of , the following formula predicts that the prey population will increase exponentially:
When the prey quantity is high, predation does not slow down. General predation depends on the number of prey and predators. With and as initial conditions, the model exhibits stable limit cycle behavior, with no trend either towards the equilibrium point or away from it [8,17,18,19]. As long as there is insufficient competition between the two species, the two populations can coexist stably but will never reach their carrying capacity. Sheriff et al. [20] noticed that predicting the consequence of the population is therefore difficult due to the intricate relationship between the dynamics of the environmental context, the risk of predation, and the responses of the prey. On the other hand, some researchers show how multiple-equation and innovation accounting time series approaches are useful to study the way variables react to unexpected changes in other variables. The analysis is carried out in the context of a predator–prey system. Furthermore, we use model fitting to see if the nature of the functional response can be inferred from typical ecological predator–prey time series data [21,22,23].
By making the equations in (1) equal to zero (), we obtain all the equilibrium points for the system. Analytically, two fixed points are found: the first is at the origin (), and the second point, which depends on the system parameters, is (). By analyzing the eigenvalues of the Jacobian matrix at each of these sites, we analyze their stability. In Equation (1), the Jacobian of the dynamics is provided by
Using the two equilibrium points mentioned above, we analyze the eigenvalues of in Equation (3). For the first point, , we obtain one positive eigenvalue and one negative eigenvalue, indicating that it is an unstable saddle point. On the other hand, panel (c) in Figure 1 shows that the second point, , is a center. This center represents the oscillating behavior of conflict between the prey and predators (for food, nesting locations, etc.). It is distinguished by its oscillation frequency, or the number of cycles per unit of time around the center of the phase diagram.
Figure 1.
Panel (c) shows the phase portrait while the top panels show the time evolution for various . There is a sensitivity to initial values in the predator–prey model.
Figure 1a,b show the time series of the prey (x) and predator (y) populations for two distinct initial conditions: and , respectively. Panel (c), which presents the phase portrait , demonstrates the corresponding changes in prey and predator densities for these initial conditions. Starting with generates a larger elliptical phase trajectory, while the initial condition results in a smaller, more compact phase plot; this highlights the sensitivity of the system’s dynamics to initial conditions. The behavior of the model described by Equation (1) can vary significantly depending on its initial conditions. The parameter values used in Figure 1 (, , , ) are consistent with those in [6].
It is essential to assess the sustainability of predator–prey populations when variability influences the dynamics of the model. Random variations, such as individual biases or environmental factors, for example, the unsuitability of certain habitats for specific species, are significant contributors to both intraspecific and interspecific variability [16,24,25,26].
1.1. Changes in the Prey Mortality Rate
To examine the effect of the mortality rate of the prey b, we keep all other parameters constant: ; ; and . We also set the initial conditions to . The results for various values of b are shown in Figure 2.
Figure 2.
Predator–prey model evolution for varying prey mortality rates. Prey are represented by the blue line, while predators are the green line.
It is clear from Figure 2 that the dynamic of the model depends on the value of b. In particular, panel (b) shows that there is no intersection between immune cells (green line) and cancer cells (blue line), resulting in a condition with lower variability. However, as is obvious from panels (c) and (d), both species spend a lot of time close to the equilibrium point. Adjusting the mortality rate of the prey b causes the equilibrium points to decrease monotonically. The reason for this is that the equilibrium points of the predator–prey model are and , with the second equilibrium point entirely dependent on the model parameters and e. Therefore, as Figure 3 illustrates, completely depends on the value of b for given and e.
Figure 3.
Predator equilibrium point evolution for various b. ; ; ; and . As b grows, the equilibrium points decrease monotonically.
As we can see in Figure 3, there is a power-law relationship between the prey mortality rate and the y values of the equilibrium points. As the mortality rate of prey (the death rate of cancer cells) increases, the upper panel of Figure 3 shows a flattening of the fluctuation of the immune population around the equilibrium point.
1.2. Probability Density Function and Fisher Information for Predator–Prey Model
To examine the dynamic behavior of the system under conditions of variability and uncertainty, probabilistic tools are indispensable. They provide critical insights into how the system transitions between states and how the distribution of these states reflects its behavior, stability, and sustainability. Using the method proposed by Cabezas [6,8], we determine the Probability Density Function (PDF) of the state variable x, which represents the tumor cell population at the time t. This is performed by considering the conservation of probability, which relates the probability of observing the system in a given state, x, to the amount of time the system spends in that state.
Since the total probability remains invariant under a change in variables, and assuming that the time t has a uniform probability density (i.e., all time intervals are equally probable), we write the following:
Thus, the PDF of x can be obtained as follows:
where
Equation (6) describes how the probability of observing a specific tumor population, x, is related to the inverse of its rate of change over time. The slower the system moves through a particular state, x, the higher the probability of observing it is. Fisher information measures the sensitivity of a probability distribution to changes in system parameters. In our model, Fisher information quantifies how variations in key parameters influence the stability and predictability of tumor–immune interactions. High Fisher information corresponds to low variability (strong order), whereas low Fisher information corresponds to high variability (low order). This concept has potential applications in process control and immunotherapy optimization [19,27]. By incorporating Fisher information, we assess the system’s responsiveness to small parameter changes, allowing us to identify critical thresholds where immune responses may become ineffective. This provides a mathematical framework for evaluating the robustness of immunotherapy strategies and optimizing treatment interventions. Following the Fisher information theory procedure described in [28,29,30], we compute the time-averaged Fisher information FT over the total time T for both species:
where s represents the rate of change of the system’s state variable and is defined as
which captures the system’s dynamic trajectory in the phase space. Its time derivative, , is given by
Equation (10) properly decomposes the evolution of the system’s rate of change in terms of and , addressing the previous inconsistency. By computing the Fisher information using Equation (8), we analyze its dependence on the parameter b. As shown in Figure 4, higher Fisher information () is observed at , corresponding to a tighter cycle around the equilibrium point, indicating less variability. However, in this state, there is no significant interaction between the two species, making it less biologically relevant. Lower values of indicate greater variability and large oscillations in the state variables, suggesting instability in the tumor–immune dynamics. By plotting against different parameter values, we can objectively identify critical points where tumor extinction or immune failure may occur, offering valuable insights into immunotherapy optimization.
Figure 4.
The prey mortality rate b vs. . is fixed; ; ; and . At , a local maximum for is seen.
At , the local maximum of , followed by a downward slope, is the most intriguing aspect of Figure 4. Figure 5 displays the PDF of x with a phase portrait for a range of b values.
Figure 5.
The PDF shows the population of predators and prey in the upper panels while the lower panel shows a phase picture for various prey death rates (). ; ; ; and . For , a highly tight cycle is observed.
In contrast to other values of b, which display a broad elliptical shape, the phase picture (red circle) of displays a relatively tight cycle around the equilibrium point, demonstrating how the dynamics of the model differ in different b. For example, the PDF around the equilibrium point is the narrowest when . However, the overall behavior is a limit cycle and the amplitude of these cycles depends on the value of b.
The aforementioned findings highlight the importance of Fisher information as a function of variability and sustainability, leading us to the conclusion that at the b value, there is a peak where the two species cannot interact, which results in the less sustainable (undesirable) case where there is no real interaction.
2. Improvements to the Model in (1)
By taking into account logistic growth with a carrying capacity of for the prey population (cancer cells), the model is expanded:
Cancer cells can have a maximum population size of , where N is the reciprocal of the population’s carrying capacity.
In (11), the predator–prey model is predicted to influence the behavior of both infected (cancer) and non-infected (immune) cells by either boosting or suppressing their development and/or death (immune cells win, while the cancer population is driven to extinction) [2]. Therefore, Equation (11) is extended to study the effect of periodic treatments (immunotherapy) by including an external stimulation.
Here, denotes the population of cancer cells at the time t with the growth rate a and carrying capacity N; represents the immune cell population; and the term () denotes the external source of immune cells (immunotherapy), where F is the periodic signal amplitude and is the periodic signal frequency. With a periodic modulation such as sinusoidal form (see [31,32]), the model exhibits periodic evolution. Furthermore, we see that for low values of , there is enough time for the population to reach the equilibrium point (see [28,31]). All the analyses that follow aim to track changes in both species’ amplitudes, frequencies, and starting points. The equations in (12) may be expressed as follows in a dimensionless form:
The parameters in Equation (12) are re-scaled in accordance with
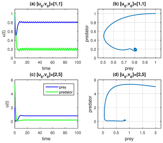
We set the equations in (13) to equal zero and fix the values of , , and to find three fixed points. The first equilibrium point is , the second equilibrium point is , and the third equilibrium point is . We investigate these equilibrium points’ stability depending on the amplitude F by using the Jacobian matrix for the model in (13), such as when , and . As seen in Figure 6 and Figure 7, are unstable saddle points, but is a stable spiral.
Figure 6.
In (a), the blue color represents the prey population, while the green color denotes the predator population. We find a fixed point, , which is stable and attracts all the solutions for , , , and with varied initial conditions.
Figure 7.
The time evolution of x in the left panels and a phase portrait in the right panels with different initial points and given that ; ; ; and . For all starting conditions, we see a stable node, . In (a), blue represents the prey population, while green denotes the predator population.
On the other hand, the model in (13) has three equilibrium points but exhibits unusual stability behavior at higher values of the amplitude F, such as . The three fixed points are , , and for . According to the corresponding diagram, the first equilibrium point is a stable node, whereas the remaining locations are unstable saddle points.
The results may be explained using a biological model of the development of cancer. We fix , , and in our calculation for simplicity. The solution is still stable wherever it is for higher amplitude F values in the periodic function (a periodic treatment that boosts immune cell growth and wipes out the cancer population); however, we observe how the cancer cells, the prey, vanish, regardless of the initial values. This is evident in the left panels of Figure 8.
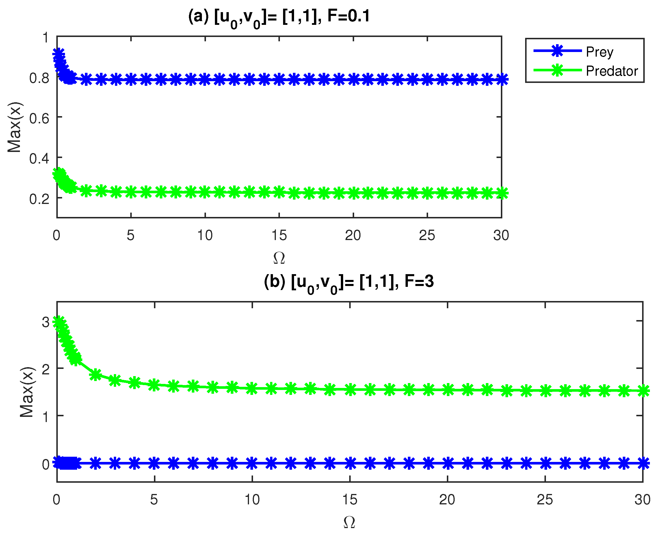
Figure 8.
Maximum values monotonically decrease as grows for both amplitude values.
The variability/sustainability of the model in (13) is lower than that of the model in (1) (without the treatment term) at because one of the species is becoming extinct at a given value of F. The values of the model parameter of F in Equation (13) and the initial conditions, for example, might vary given that the entire treatment plan depends on the patient’s health, their defense mechanisms, their gender and other characteristics. The benefits of including potent vaccination against the evolution of cancer development are shown in Figure 7 and Figure 8. Furthermore, for sufficiently small values of , it is seen that this convergence takes place for any starting value that falls between the initial value boundaries and the equilibrium points.
In Figure 7 and Figure 8, when and , respectively, the prey, which is the number of cells with cancer, switches from steady state stable condition to extinct state for sufficiently tiny values of the amplitude of F. To regulate the growth of cancer density and maintain it at its lowest level in the host body, the quantity of the therapeutic dosage (the model’s second Equation (13) shows the amplitude of a periodic modulation) is introduced. To make sense of and take into account the aforementioned facts, in Figure 8, we show for immune cells and cancer cells as a function of with a fixed amplitude value.
In Figure 8, we provide maximum values of the cancer and immune populations versus with two amplitude values. In contrast to the findings in panel (a), we note that at , for all values of , immune cells are at a higher level than cancer cells, and cancer cells are eliminated at . Figure 9 only takes into account the highest values of the cancer population due to its detrimental effects on the host body because our objective is to decrease or at least regulate the number of cancer cells. Figure 9 displays a figure for the optimal values F and in the periodic modulation in Equation (13), to conclude our analysis.
Figure 9.
The displays the maximum values for the cancer population, F is on the , and is on the . For sufficiently high , the prey population shows a monotonic decline. We made the corrections ; ; and .
In Figure 9, the maximum values of the prey exhibit a monotonic decline with increasing frequency levels. In this context, we choose all values F and where is seen to be close to zero at high frequencies. The findings are shown in Figure 10, which helps to identify the ideal amplitude value that would completely eradicate the cancer cell population.
Figure 10.
Maximum values of cancer population for , , and are equal to and less than 0.0 × 10−5.
In the model (13), the periodic modulation has the frequency , which causes oscillations in the values in Figure 10. Based on this, we study the effects of anticancer therapy using the average time value () in the second equation of Equation (13). The results are shown in the right panels in Figure 11 for the purpose of comparing the two cases (left/right panels) obtained from periodic/constant treatment.
Figure 11.
Time trace of x for for various values of F with and without fluctuations: ; ; and . The green line indicates predators, and the blue line indicates prey.
The contrast between the panel on the left, which contains fluctuations (), and the right panel, which simply has a constant (), is clear. Furthermore, it is crucial to clarify that the output in the left panels of Figure 11 is twice the input frequency in Equation (13), with . Between two peaks on the x axis, the distance T is , for example, when and . We then compute using the following formula:
In this case, we obtain an of around 2, which is twice () in Equation (13), which is 1. For various values of , similar findings are made.
Fisher Information in the Modified Predator–Prey Model
Using the perspective of information theory, we examine the model in (13). To determine Fisher information as a measure of variability and sustainability, we employ various control values of F, which stands for immunotherapy treatment. When , which indicates that the system contains no external effects (no immunotherapy doses), periodic behavior is observed for both populations. From a sustainability perspective, this makes the system less sustainable because there is no interaction between the two species (undesirable case study). with a high value of Fisher information [2,19]. It is worthwhile to look at the interaction between the two species in light of the fundamental theory presented in hundreds of cancer resources.
In Figure 12, we use a linear and log scale for the y-axis in the left and right panels, respectively. As F increases, we see that increases monotonically until we reach the optimal amplitude value of , where cancer cells begin to vanish. After , starts to monotonically decline since the population of cancer cells is vanishing (an unsustainable state because of the absence of dynamics). Furthermore, as shown in Figure 13 in relation to Figure 12, we performed simulations for the model at three distinct amplitude values.
Figure 12.
Fisher information for , and versus F. There is a peak for at , which results in a state that has lower variability.
Figure 13.
Time evolution of u for various F values, with other parameter values fixed at , and .
In panel (a), the cancer cell population survives with a slight fluctuation close to zero when , but at , this population is eliminated, and the immune cell population exhibits steady behavior. For larger F, such as in panel (c), when cancer cells appear at zero, the amplitude of immune cell fluctuations increases.
Considering the predator–prey model with and without disturbances, we find that starting points near equilibrium have higher Fisher information because their PDFs are very tightly distributed, whereas starting points far from equilibrium have more spread and lower Fisher information with broad elliptical phase charts. Each variable varies across a wide range of states, resulting in low Fisher information and a low probability of finding the system in a particular state.
3. Conclusions
An examination is conducted into how immunization affects the dynamic characteristics of a tumor–immune interaction Growth model represented by a predator–prey model (this shows the cancer cell population as the prey and the immune cell population as the predators). We investigated the dynamical characteristics and interactions of the predator-prey model in both the original and expanded models.
The predator–prey model displays a limit cycle as well as a sensitive dependence on the initial conditions, wherein the system behavior changes through changing the initial points. Furthermore, according to our findings that the equilibrium point is dependent on the parameter values, varying the prey mortality rate b (cancer death rate) causes the equilibrium point to decrease monotonically. The observation of a peak for FT in in Figure 4, where the PDF of x shows a shorter distance between the two peaks, supports the conclusion of the information theory that the model at this value is in an undesirable state to investigate because there is less variability and no interaction between the two species. When compared to the other values of b (≠3), where the state variables experience significant oscillation, the system has a lower and is not operating at the optimal efficiency (high variability).
Our findings for the predator–prey model with modified model parameters are summarized as follows: The cancer cell population is highly affected by periodic modulation (immunization term), where the optimum value of the amplitude in the periodic dose, , can stimulate the growth of immune cells and result in a reduction in cancer cells within the host body. Quite differently, the density of prey decreases at sufficiently targeted immunotherapy doses. Furthermore, there is a specific value of F when the prey population transitions from a stable steady state to an extinct one. This leads us to the conclusion that the density of cancer cells decreases to a very low value at for a given value of the periodic perturbations. Furthermore, we observe a maximum at this value, indicating that our system is less variable and exhibits a static steady state; however, from the perspective of sustainability, this state is the least sustainable, since the dynamics are too weak to perform an investigation due to the survival of only one species. Finally, the results consistently demonstrate a similar finding: there is a peak in the Fisher information at a specific parameter value where the system at this value represents an undesirable state for investigation, as it exhibits lower variability and minimal interaction between the two species.
Author Contributions
Methodology, E.-j.K.; Software, A.A.-S.; Investigation, A.A.-S.; Resources, A.A.-S.; Writing—original draft, A.A.-S.; Writing—review & editing, E.-j.K.; Supervision, E.-j.K. All authors have read and agreed to the published version of the manuscript.
Funding
This research received no external funding.
Data Availability Statement
The datasets presented in this article are not readily available. Requests for access to data sets should be directed to the authors.
Conflicts of Interest
The authors declare no conflicts of interest.
References
- d’Onofrio, A. A general framework for modeling tumor-immune system competition and immunotherapy: Mathematical analysis and biomedical inferences. Phys. D Nonlinear Phenom. 2005, 208, 220–235. [Google Scholar] [CrossRef]
- Banerjee, S.; Sarkar, R.R. Delay-induced model for tumor-immune interaction and control of malignant tumor growth. Biosystems 2008, 91, 268–288. [Google Scholar] [CrossRef]
- Mahasa, K.J.; Ouifki, R.; Eladdadi, A.; de Pillis, L. Mathematical model of tumor–immune surveillance. J. Theor. Biol. 2016, 404, 312–330. [Google Scholar] [CrossRef] [PubMed]
- Rivaz, A.; Azizian, M.; Soltani, M. Various mathematical models of tumor growth with reference to cancer stem cells: A review. Iran. J. Sci. Technol. Trans. A Sci. 2019, 43, 687–700. [Google Scholar] [CrossRef]
- Sardar, M.; Khajanchi, S.; Biswas, S.; Abdelwahab, S.F.; Nisar, K.S. Exploring the dynamics of a tumor-immune interplay with time delay. Alex. Eng. J. 2021, 60, 4875–4888. [Google Scholar] [CrossRef]
- Cabezas, H.; Fath, B.D. Towards a theory of sustainable systems. Fluid Phase Equilibria 2002, 194, 3–14. [Google Scholar] [CrossRef]
- Abrams, P.A. Why don’t predators have positive effects on prey populations? Evol. Ecol. 1992, 6, 449–457. [Google Scholar] [CrossRef]
- Fath, B.D.; Cabezas, H.; Pawlowski, C.W. Regime changes in ecological systems: An information theory approach. J. Theor. Biol. 2003, 222, 517–530. [Google Scholar] [CrossRef] [PubMed]
- Metropolis, N.; Stein, M.L.; Stein, P.R. Stable states of a non-linear transformation. Numer. Math. 1967, 10, 1–19. [Google Scholar] [CrossRef]
- Gumowski, I.; Mira, C. Sensitivity problems related to certain bifurcations in non-linear recurrence relations. Automatica 1969, 5, 303–317. [Google Scholar] [CrossRef]
- Ott, E. Chaos in Dynamical Systems; Cambridge University Press: Cambridge, UK, 1993. [Google Scholar]
- Braun, M. Differential Equations and Their Applications; Springer: New York, NY, USA, 1993. [Google Scholar]
- Murray, J.D. Mathematical Biology: I. An Introduction; Springer: New York, NY, USA, 2002. [Google Scholar]
- Song, G.; Tian, T.; Zhang, X. A mathematical model of cell-mediated immune response to tumor. Math. Biosci. Eng. 2021, 18, 373–385. [Google Scholar] [CrossRef] [PubMed]
- Lotka, A.J. Elements of Physical Biology; Williams and Wilkins: Baltimore, MD, USA, 1925. [Google Scholar]
- Volterra, V. Fluctuations in the abundance of a species considered mathematically. Nature 1926, 188, 558–560. [Google Scholar] [CrossRef]
- Shastri, Y.; Diwekar, U. Sustainable ecosystem management using optimal control theory: Part 2 (stochastic systems). J. Theor. Biol. 2006, 241, 522–532. [Google Scholar] [CrossRef] [PubMed]
- Mayer, A.L.; Pawlowski, C.W.; Cabezas, H. Fisher information and dynamic regime changes in ecological systems. Ecol. Model. 2006, 195, 72–82. [Google Scholar] [CrossRef]
- Rico-Ramirez, V.; Reyes-Mendoza, M.A.; Quintana-Hernandez, P.A.; Ortiz-Cruz, J.A.; Hernandez-Castro, S.; Diwekar, U.M. Fisher information on the performance of dynamic systems. Ind. Eng. Chem. Res. 2010, 49, 1812–1821. [Google Scholar] [CrossRef]
- Sheriff, M.J.; Peacor, S.D.; Hawlena, D.; Thaker, M. Non-consumptive predator effects on prey population size: A dearth of evidence. J. Anim. Ecol. 2020, 89, 1302–1316. [Google Scholar] [CrossRef] [PubMed]
- Ewing, B.T.; Riggs, K.; Ewing, K.L. Time series analysis of a predator–prey system: Application of VAR and generalized impulse response function. Ecol. Econ. 2007, 60, 605–612. [Google Scholar] [CrossRef]
- Jost, C.; Arditi, R. Identifying predator–prey processes from time-series. Theor. Popul. Biol. 2000, 57, 325–337. [Google Scholar] [CrossRef]
- Jost, C.; Arditi, R. From pattern to process: Identifying predator–prey models from time-series data. Popul. Ecol. 2001, 43, 229–243. [Google Scholar] [CrossRef]
- Chesson, P. Predator-prey theory and variability. Annu. Rev. Ecol. Syst. 1978, 9, 323–347. [Google Scholar] [CrossRef]
- Lotka, A.J. Elements of physical biology. Sci. Prog. 1926, 21, 341–343. [Google Scholar]
- Selin, N.E.; Giang, A.; Clark, W.C. Progress in modeling dynamic systems for sustainable development. Proc. Natl. Acad. Sci. USA 2023, 120, e2216656120. [Google Scholar] [CrossRef]
- Rawlings, E.; Soraya, J.C. Barrera-Martinez, and Vicente Rico-Ramirez. Fisher information calculation in a complex ecological model: An optimal control-based approach. Ecol. Model. 2020, 416, 108845. [Google Scholar] [CrossRef]
- Al-Saffar, A.; Kim, E. Sustainable theory of a logistic model-Fisher Information approach. Math. Biosci. 2017, 285, 81–91. [Google Scholar] [CrossRef] [PubMed]
- Kim, E.J.; Al-Saffar, A. Fisher information approach to understand the Gompertz model. Math. Appl. Sci. Eng. 2022, 3, 200–279. [Google Scholar]
- Sahbani, M.; Das, S.; Green, J.R. Classical Fisher information for differentiable dynamical systems. Chaos Interdiscip. J. Nonlinear Sci. 2023, 33, 103139. [Google Scholar] [CrossRef] [PubMed]
- Cai, J.-C.; Wang, C.-J.; Mei, D.-C. Stochastic resonance in the tumour cell growth model. Chin. Phys. Lett. 2007, 24, 1162. [Google Scholar]
- Nabih, A.; Albalawi, W.; Jazmati, M.S.; Elrashidi, A.; Ali, H.M.; Moaaz, O. Functional Differential Equations with an Advanced Neutral Term: New Monotonic Properties of Recursive Nature to Optimize Oscillation Criteria. Axioms 2024, 13, 847. [Google Scholar] [CrossRef]
Disclaimer/Publisher’s Note: The statements, opinions and data contained in all publications are solely those of the individual author(s) and contributor(s) and not of MDPI and/or the editor(s). MDPI and/or the editor(s) disclaim responsibility for any injury to people or property resulting from any ideas, methods, instructions or products referred to in the content. |
© 2025 by the authors. Licensee MDPI, Basel, Switzerland. This article is an open access article distributed under the terms and conditions of the Creative Commons Attribution (CC BY) license (https://creativecommons.org/licenses/by/4.0/).












