Abstract
An extension of the Dirac equation for an initially massless particle carrying an electric charge, assumed to be embedded via minimal coupling into an external fluctuating electromagnetic four-potential of the vacuum, is suggested. We conjecture that appropriate averages of the four-vector can lead to observable quantities, such as a particle mass in its rest frame. The conditions on the potential mean values to become gauge-invariant are obtained. The mass is found to be proportional to the magnitude of the charge times the associated mean Lorentz scalar of the four-potential, and the relation holds for both spacelike and timelike types of four-vectors. For the latter, the extended Dirac equation violates Lorentz covariance, but the violation can be argued to occur within a time scale allowed by the uncertainty principle. For larger times, the particle has acquired a mass and Lorentz covariance is restored. This mathematical scenario is applied to acquire estimates of the neutrino millicharge and magnetic moment, in good agreement with the present upper bounds obtained experimentally. The issue of unstable particle decay is considered by focusing, for illustration, on the main decay channels of the selected particles. From the lifetime of the lepton, a lower bound of the effective neutrino mass is predicted, which can be tested in future experiments.
Keywords:
Dirac equation; minimal coupling; vacuum electromagnetic four-potential; electric charge; emergent particle mass; neutrino millicharge; neutrino magnetic moment; particle decays MSC:
78A25; 81Q05; 81U90; 81V25
1. Introduction
Following Heisenberg’s formulation of matrix mechanics in 1925, the publication of the non-relativistic Schrödinger equation in 1926, and its relativistic counterpart, the Klein–Gordon equation, published independently by Klein and Gordon later that year, signaled a decisive step in the advent of modern quantum mechanics and marked a breakthrough in our understanding of matter at atomic length scales.
The Schrödinger equation is a partial differential equation that is first-order in time and second-order in the spatial coordinates. In contrast, the Klein–Gordon (KG) equation arises from the Lorentz-invariant relation for the four-momentum,
upon applying the operator substitutions [1],
which yield a differential equation second order in both time and space, consistent with special relativity. Both equations act on a scalar wavefunction and therefore describe a quantum particle without spin.
In 1927, Pauli extended the Schrödinger equation to spin-½ particles, introducing a two-component spinor wavefunction. The spinor accounts for the two possible spin projections, . While successful in describing spin non-relativistically, Pauli’s formulation was still incompatible with special relativity, motivating Dirac’s search for a fully relativistic equation for spin-½ particles.
In 1928, Dirac published a new relativistic equation, requiring it to be first-order in all four space–time coordinates. Formally, such an equation can be obtained by linearizing the Klein–Gordon equation (see e.g., [2]), so that the Dirac operator satisfies
The resulting Dirac equation introduces a four-component spinor wavefunction. Two components describe the electron’s spin projections, while the additional two account for the corresponding antiparticle states, later identified as the positron.
Remarkably, the Dirac equation, when coupled to the electromagnetic (EM) field, reduces to the Pauli equation in the non-relativistic limit, with the electron gyromagnetic factor taking the value in the absence of radiative corrections. This factor enters the definition of the electron magnetic moment, , in terms of its spin ,
where the electron charge is , denoting the elementary charge, and is the Bohr magneton (in Gaussian units). For comparison, a classical rotating charged body yields . The Dirac equation is strongly supported by its successful prediction of the hydrogen atom fine structure [1,2] and constitutes a cornerstone of the Standard Model (SM) [3].
The Dirac equation describes all known spin-½ massive particles, often referred to as Dirac particles, such as the electron (e), the unstable leptons—the muon () and tau ()—and the six quark flavors. An open and actively debated issue concerns the nature of the three neutrinos (, and ), which complete the lepton family. There is still no conclusive proof whether neutrinos are Dirac or Majorana particles. In the Dirac case, neutrinos and antineutrinos are distinct states, potentially allowing for electromagnetic properties such as a magnetic moment or even a tiny electric charge. In the Majorana scenario, by contrast, particle and antiparticle are identical. The following selected works provide a broad, though not exhaustive, overview of the present constraints on the neutrino electric charge and magnetic moment reported in recent years.
Laboratory experiments provide experimental bounds on the neutrino electric charge and magnetic moment, which have been discussed in [4,5,6,7,8,9]: In [4] (2016), the authors obtained an estimation of the electron neutrino electric millicharge, , by comparing the neutrino magnetic moment and millicharge contributions to the total cross-section at the electron recoil energy threshold obtained from the GEMMA experiment. This limit is more stringent than the previous one obtained in [5] (2007) which was based on the TEXONO [6] (2003) reactor experiment data.
In [7] (2022), using data from the CONUS experiment, the authors report an upper limit on the electron neutrino magnetic moment, (90% confidence level (CL)), from which they derive an effective neutrino millicharge, . The experiment employs germanium detectors, where electron antineutrinos are emitted from the 3.9 GWth reactor core of the Brokdorf Nuclear Power Plant (Germany).
In [8] (2023), using elastic electron neutrino scattering results from the LUX-ZEPLIN experiment, the authors obtain upper bounds for the electron neutrino magnetic moment and the associated neutrino millicharge, yielding (90% CL), and (90% CL), respectively. The former can be compared with the results estimated from the XENONnT experiment [9], yielding . The XENONnT bounds are flavor-independent ’effective upper bounds’, based on a single parameter assumed to be the same for all neutrino flavors (, , ) reaching the detector.
Theoretical bounds have been studied in [10,11,12,13]: In [10] (2014), using the neutrino magnetic moment bound obtained from the GEMMA experiment, the authors obtain an order-of-magnitude estimate for the upper bound on the neutrino electric millicharge, . They also predict a more stringent upper bound, , which could be tested in future experiments.
In [11], the authors review the theory and phenomenology of neutrino EM interactions, providing tools to probe physics beyond the SM. They derive the general structure of Dirac and Majorana neutrino interactions in the one-photon approximation, discuss their effects in terrestrial and astrophysical environments, and present experimental bounds compared with predictions from beyond-SM theories. Notably, they also estimate a possible value of the neutrino charge radius, m.
In [12] (2016), the authors examine the role that a nonzero neutrino millicharge can play in astrophysical contexts. Their results rely on the fact that, in such environments, EM interactions of the neutrino millicharge with strong electromagnetic fields, together with weak interactions of neutrinos with dense background matter, can give rise to novel phenomena accessible to astrophysical observations. Remarkably, they obtain a new limit on the neutrino millicharge, , representing one of the most stringent astrophysical constraints to date.
In [13] (2020), the authors explore extensions of the SM in which neutrinos can acquire tiny electric charges. They review theoretical scenarios permitting such charges, confront them with observational limits, and derive new direct upper bounds for muon and tau neutrinos. They further establish a flavor-universal lower bound from the weak gravity conjecture and an astrophysical upper bound from magnetar observations, yielding constraints in the range down to .
In this paper, we aim to obtain estimates of the neutrino charge and magnetic moment consistent with their presently known upper bounds, without entering into the issue of neutrino ’left-handedness’. To achieve our main goal, we discuss an extension of the Dirac equation for an initially massless particle carrying an electric charge , assumed to be embedded in an external fluctuating EM potential of the vacuum characterized by an ensemble of states , where (in Gaussian units). The four-potential components are assumed to be independent of time and spatial coordinates for each value of in the ensemble. Based on the following
determining the behavior of the first two moments of the vacuum four-potential, we prove the result,
where is the effective mass acquired by the particle, valid for both spacelike and timelike four-vectors . In addition, the conditions for the invariance under gauge transformations, ,
are obtained, suggesting that the vacuum EM potential-induced mass, , becomes a Lorentz scalar in those cases. Finally, we use these theoretical results to show that the neutrino charge, , and magnetic moment, , are given by the following expressions:
yielding values consistent with the experimental bounds. Additional arguments are presented indicating that the present mass mechanism does not challenge the prevailing paradigm of particle physics; rather, it outlines a mathematical scenario consistent with established physical laws.
The paper is organized as follows. In Section 2, we review the Dirac equation for free particles. In Section 3, we consider the Dirac equation by adding, using minimal coupling, an EM four-potential assumed to be independent of time and spatial coordinates. In Section 4, the problem of generating a finite particle mass from the – coupling is discussed. In Section 5, we develop models for the neutrino charge and magnetic moment. The section ends with a brief summary on unstable particle decays from which we extract a lower bound for the effective neutrino mass. Finally, Section 6 contains a summary of the results and the concluding remarks.
2. Dirac Equation for Free Particles: The Mass
We present a brief discussion of the Dirac equation and its solutions in a few cases relevant to the main theme of the paper. To this end, we introduce the necessary quantities and definitions, with particular attention to the notation employed. In this work, we use the spacetime metric with signature .
2.1. Generalities and Notation
We start by considering the Dirac equation for a free particle of mass m, described by a four-spinor at the contravariant four-vector position , where the index denotes time and (also indicated by the italic letter j) correspond to the three spatial coordinates, which is given by
where is the energy operator and is the linear momentum operator. The four matrices are assumed to be given in the Pauli representation in terms of the following matrices:
according to
In the latter, denotes the null matrix. The matrices ensure that (2) is consistent with the Klein–Gordon equation, a necessary condition for any relativistic wave equation. Equation (2) can be rewritten using the covariant four-gradient, , to obtain
which can be brought into covariant form by multiplying from the left by and introducing the Dirac matrices , defined as
and . Noting that , where is the 4 × 4 identity matrix, we get
where ; i.e., is the reduced Compton wavelength. Equation (7) constitutes a system of four differential equations for the four components of the spinor .
2.2. Solution of the Dirac Equation for Free Particles
Let us briefly review the properties of the solution to Equation (7). In general, it can be written as
where is a volume-normalization factor that also depends on the relative speed V of the particle with respect to the observer, (related to the group velocity; see below), and accounts for Lorentz contraction. Here, is the contravariant four-wavevector, is a four-spinor, and the minus sign in the exponential is conventional.
2.2.1. Normalization of
We assume that is normalized within a volume in the particle’s rest frame. Thus,
Since we require normalized spinors, , it follows that
For a particle moving with speed V, the normalization condition becomes
where, due to Lorentz contraction, , with . From Equations (10) and (11) we then obtain
where is the Lorentz factor.
2.2.2. The Lorentz Scalar
Next, let us consider the exponential factor in Equation (8), , which depends on the Lorentz scalar, . Using , we obtain,
Setting and differentiating with respect to t gives the phase velocity , which satisfies . The propagation of the wave packet is determined by the group velocity , obtained from
Setting yields . As shown in Section 2.2.3, for a Dirac particle (as well as for a Klein–Gordon one) satisfies the dispersion relation
which admits both positive and negative solutions. Differentiating with respect to k gives . Hence, the equation of motion is
The group velocity can also be expressed as , where is the linear momentum. Finally, we note that is related to the total energy by , which naturally raises the issue of interpreting negative energies.
Finally, let us briefly discuss the behavior of in the two limiting cases, and . Using Equation (14), we find
where the (±) sign corresponds to a wave propagating in the same or opposite direction to the momentum vector . The phase velocity behaves analogously, satisfying .
2.2.3. The Spinors
We now turn to the problem of determining the spinors from Equation (8) by solving Equation (7). The action of the differential operator on gives
where the matrix is defined as
where . Substituting this into Equation (7), we solve the eigenvector equations
with eigenvalues determined from
Evaluating the determinant gives
which yields Equation (14), with two positive-frequency solutions, , and two negative-frequency solutions, , where
The corresponding system of equations for the components of in Equation (19) becomes
- (1)
- Positive-frequency solutions : .
To solve Equations (22)–(25), let us define , and express the components and in terms of and , as follows:
Substituting these expressions back into Equations (22) and (23), we find
and
Now, noting that and that the off-diagonal terms vanish, we have two independent solutions: , and . Using these forms, the remaining components are given by
while the normalization condition can be obtained by noting that
Thus, the first two normalized spinors are given by
where . It can also be verified that the latter are orthogonal, i.e., . Note also that for non-relativistic particles, , the 3rd and 4th components of the spinors behave as . In particular, in the rest frame, and .
- (2)
- Negative-frequency solutions : .
In this case, we write and in terms of and from Equations (22) and (23), and using , we obtain
Similarly to above, the two independent solutions are (), and (, ), and the corresponding normalized spinors are given by
where . Note that the equality holds.
Similarly as for positive-frequency spinors, in the rest frame one has and . Again, one can immediately verify that and are orthogonal to each other. Furthermore, the above spinors are also orthogonal to their positive-frequency counterparts, i.e.,
where we have used the fact that .
For completeness, Appendix A discusses properties and results concerning the current operator associated with Dirac wave packets. For illustration, we consider the cases of a single spinor, two spinors with the same energy, two spinors with different energies, and spinors at rest. This appendix complements known results in the literature and is intended to help the reader become acquainted with the interesting behavior of Dirac particles.
3. Dirac Equation in a Constant EM Four-Potential: The Electric Charge
We next consider the Dirac equation for a particle of charge in the presence of an electromagnetic contravariant four-potential (in Gaussian units), where . Here, we assume to be independent of both space and time coordinates. An application of this simplified model will be elaborated in Section 4. The resulting Dirac equation can be expressed in terms of its free-particle form, Equation (2), by implementing the minimal-coupling substitutions,
Here, denotes the canonical (conjugate) momentum operator, while
is the kinetic momentum operator. Substituting these definitions into Equation (2), one obtains
where we have used the covariant four-gradient expression for (see Section 2.1) and the fact that .
Multiplying Equation (32) by from the left, and using the result together with the Dirac matrices , we obtain
where and form the covariant four-vector . As a result, Equation (33) can be written in manifestly covariant form as follows:
Now, using the Ansatz (Equation (8)), we can write Equation (33) in eigenvector form,
where is given in Equation (18) and, following our assumption of constant , we obtain
with . The sum is then given by
and the eigenvalues are obtained as the four roots of the determinant,
which is a function of () and (). It can be written in the compact form
that reduces to Equation (20) for vanishing vector potential . The four solutions are grouped into pairs, and , which can be written in terms of the components of according to
This result is consistent with the classical one, valid for constant , obtained by multiplying (39) by and making the replacements , , which yields (see, e.g., [14], p. 606)
where only the positive root is retained in the classical picture, denotes the canonically conjugate momentum of the charged particle and is the kinetic momentum.
Finally, from Equations (18), (35) and (36) one can obtain the following system of equations for the spinors:
where , and , corresponding to a kinetic momentum . Interestingly, Equations (40)–(43) have the same form as Equations (22)–(25), if in the latter we make the substitutions, and . Then, the expressions for the corresponding spinors can be taken from Equations (28) for the positive sign in Equation (39), and from Equations (31) for the negative one. For completeness, we explicitly report the spinor expressions below.
- (1)
- Positive-sign solutions : .where , and
- (2)
- Negative-sign solutions : .where , and
Finally, we note that the equality is also obeyed in this case, and the new spinors remain orthogonal, a result which follows from the relation, , which holds in this case too.
4. Dirac Equation Embedded in Vacuum EM Potential Fluctuations: The Emergence of Mass
Let us consider the problem of a charged, massless particle and ask whether, within an extended Dirac framework, a mechanism exists that can endow the particle with a finite mass. The model we propose couples the particle charge to vacuum EM four-potential fluctuations (to be specified) and aims to suggest a possible route for the emergence of mass. Our approach, largely phenomenological, is not intended to challenge the prevailing paradigm of particle physics but rather to outline a mathematical scenario consistent with established physical laws. While each key assumption is justified as rigorously as possible, open questions remain regarding their practical implementation.
The basic idea is that the point charge is embedded in a fluctuating EM potential , whose properties may differ significantly from those of a free field, since they act locally and may exhibit specific features. Justifying such behavior would require detailed knowledge of the vacuum structure, which lies beyond the scope of this work. Here, we limit ourselves to providing predictions that may, a posteriori, either support or rule out the model. In our framework, the vector is conjectured to obey the following expectation values:
where the averages are performed over the ensemble . Specifically, we assume that each remains constant, i.e., independent of spacetime coordinates, within a finite proper time interval . This assumption can be seen as a zeroth-order approximation of the four-potential valid on small length scales. It has two important merits: first, it allows for an exact simple solution of the Dirac Equation (35) since the vector potential does not depend on the coordinates, and second, it ensures the absence of local electric and magnetic fields in vacuum. Under these conditions, the results of Section 3 can be applied to obtain the eigenvalues in Equation (38), from which the vacuum average can be formally calculated. The condition is consistent with time-reversal symmetry, while the requirement provides the mechanism we seek.
However, to be physically acceptable, such EM fluctuations must remain invariant under gauge transformations—a property that the vector potential does not generally possess. Only the electromagnetic field tensor is gauge-invariant, which ensures the invariance of both the electric and magnetic fields. Therefore, to make use of , we must determine the conditions that gauge transformations must satisfy for this quantity to remain invariant. These conditions are discussed in Appendix B.
There is a further issue related to the form of the vacuum potential ; that is, it can have either a spacelike or a timelike character. In the following, we consider the two cases separately.
4.1. The Vacuum EM Potential Fluctuations: Spacelike Four-Potential
We begin with Equation (38), setting in accordance with the assumption of a massless particle. We then evaluate the equation for the two distinct roots by taking the vacuum average,
By expanding the squares we then obtain
Since by assumption the mean values vanish, we end up with
Assuming a spacelike four-vector, i.e., , we obtain
where the effective mass of the charged particle, , is given by
We expect that EM potential fluctuations act within a time scale allowed by the uncertainty principle, i.e.,
after which the particle has acquired a finite mass (see Section 5.2). Note that the distance covered by a photon within this time is basically given by the reduced Compton wavelength, (see discussion below Equation (7)). We can identify this length with the proper interval .
4.2. The Vacuum EM Potential Fluctuations: Timelike Four-Potential
To find the equivalent of Equation (54) for a timelike potential , we need to modify the Dirac Equation (34), now written in terms of a new vector, , as follows:
The basic idea behind the new four-potential consists in assuming that the coupling constant, , takes the value for the first two components of the four-spinor, and for the third and fourth ones, while for the standard coupling it takes the same value for all four components. To take this change of sign into account we define
Unfortunately, this choice violates the Lorentz covariance of the Dirac equation. One way to bypass this restriction consists in accepting the violation provided that it occurs within the time scale, (Equation (55)). In other words, the assumption of constant (valid for both spacelike and timelike potentials) and the violation of Lorentz covariance for eventual timelike EM potentials are permissible within the time scale . For both types of EM potentials, we interpret as the time it takes the vacuum to provide a charge with a proper mass (see the discussion in Section 5.2).
We proceed next with the mathematical aspects of the modified Dirac equation by discussing in sufficient detail the new algebra involved. The only matrix in (34) affected by the substitution Equation (56) is , which becomes given by
where the diagonal elements are equal to , and the off-diagonal blocks carry the same sign. Then, the sum becomes
The resulting determinant can be written, upon averaging over vacuum fluctuations, in the compact form (see Appendix C for details and Equations (A39) and (A40)),
Setting , the frequencies are given by
In the case of a timelike four-vector, i.e., , we obtain
where the effective mass of the charged particle, , is now given by
4.3. The Emergence of Mass for a Charged Particle Coupled to Vacuum EM Potential Fluctuations
We have shown that coupling an otherwise massless charge to electromagnetic vacuum fluctuations, represented by a fluctuating four-potential with expectation values given in Equation (48), can generate a finite particle mass , regardless of whether is spacelike or timelike. This result relies on two main assumptions: (i) the potential is constant, and (ii) it acts within the proper time , during which the mass is generated. In addition, they allow for a Lorentz covariance violation in the possible case of timelike potentials.
Furthermore, the interactions of the charge with the vacuum potential fluctuations are encoded in the effective mass, such that at larger time scales the resulting charged massive object can be treated as a free charged particle. In this scenario, the results discussed in Section 2 apply. However, in order to treat neutrinos using free Dirac spinors, the issue of their left-handedness needs to be specifically added to the formalism (see the introduction of Section 5).
A general expression for the mass can then be written in the form
valid for both spacelike and timelike four-vectors. In the following, we simplify the notation by defining
which stresses the fact that the amplitude of vacuum fluctuations may depend on the magnitude of . After (64) and (65) we thus have
where, without loss of generality, we take . The unit of charge is denoted simply as e (≃ esu in Gaussian units). The issue of a spatial extension of the charge, being either a point-like or a finite one, is addressed in the following section.
5. The Vacuum EM Fluctuations for Generating Mass: Leptons
For the lepton family (e, , ), we use the notation , which takes the same value for all three members since they carry the same electric charge. In specific cases, we may denote the charge as (<0) or (>0) to distinguish between negatively and positively charged particles.
Since is independent of lepton flavor, the amount of mass acquired through the vacuum mechanism is the same for all three charged leptons. For simplicity, and to avoid introducing additional parameters into this model, we assume that the electron obtains essentially all of its mass from vacuum fluctuations. In this framework, the and leptons would receive at most , i.e., eV of their rest mass. For the heavier leptons, however, this contribution represents only a negligible fraction of their total masses, indicating that an alternative mechanism—such as the Higgs mechanism—is required to account for the deficit.
Our assumption regarding the electron mass is consistent with the fact that the Yukawa coupling for a lepton ℓ, , with GeV, takes a comparatively small value for the electron relative to the other two charged leptons. In what follows, we focus on the possibility that neutrinos can be treated as charged Dirac particles, with their charge denoted by . Our conjecture regarding the Dirac nature of neutrinos is consistent with the results of the GERDA experiment [15], which was designed to detect possible neutrinoless double-beta decay, a signal of the Majorana neutral nature of neutrinos (see also [16]). No evidence for the decay of to the ground state of has been found, corresponding to an effective Majorana neutrino mass – meV.
Here, we attempt to estimate a realistic value for the neutrino charge. For simplicity, we restrict our analysis to the electron neutrino and assume that its entire mass arises from the coupling of its charge to the vacuum amplitude fluctuations . This choice is dictated by the fact that neutrinos appear to have different masses (see Appendix D for more details), which would in turn require introducing three distinct charges. A detailed treatment of the flavor scenario therefore lies beyond the scope of our simplified approach, but it could be pursued once the absolute masses of all three neutrinos become available. In addition, our model allows, as it stands, for both left- and right-handed neutrinos.
5.1. Modeling the Neutrino Electric Charge and Magnetic Moment
It is generally accepted that neutrinos possess a finite mass, although the exact ordering of the flavor mass hierarchy remains uncertain. For our purposes, we base our approach on the recent experimental results of the KATRIN collaboration [17] (2025), which provide the following constraint on the effective electron antineutrino mass:
For practical reasons, we assume the value eV to obtain first estimates (see Appendix D). Later, we suggest a lower bound for the mass, yielding meV. We present results for different masses to obtain a more complete and useful picture.
The basic quantities to build a model of the neutrino electric charge, and its associated magnetic moment, are given by the relations
from which we obtain
Our final goal is to find a direct relationship between and the mass ratio. To achieve this, we suggest that the four-potential magnitudes, and , may depend on the ’spatial extension’ of the respective electric charges, in terms of, say, charge radii ’s, consistent with the idea that vacuum fluctuations are coupled to the electric charge and thus adjust their amplitudes accordingly. The way this happens must be derived from additional information on the behavior of . Fortunately, the precise values of the electric charge radii are not explicitly needed, but their very existence is formally required to complete the picture. This particular feature leaves open the possibility that could be interpreted as an effective length scale which is quantum-mechanically associated with a finite charge distribution. We expect that the charge radii be smaller than the respective Compton wavelengths.
In view of the above discussion, we assume that the four-potential magnitude, generically denoted as , obeys the empirical scaling law
that is, the smaller the radius , the larger the field magnitude will be. The quantity is an auxiliary length introduced to allow the exponent to be fractional. We will show that may indeed vary in the range to be consistent with the experimental data. However, the quantities and disappear when we take the ratio between potential amplitudes.
Moreover, when considering a finite spatial extension of a charge distribution, we assume that the different charges, and e, differ only in their radii, thus keeping the charge density constant. This suggests that the mechanism responsible for charge localization is a property of the vacuum, independent of the total amount of charge involved. The way charge becomes quantized remains to be understood—a problem that goes beyond our current theoretical resources. Therefore, the condition of a constant charge density,
translates into the following relation:
Now we can use Equations (70) and (71) into Equation (69) to obtain
For illustration, this relation is plotted in Figure 1 for three selected values of eV. As is apparent, the relevant range of the exponent is rather narrow, roughly . The lowest mass value 7 meV will be justified in Section 5.2. In the figure, we highlight the integer value , which acquires a special meaning as discussed next.
Figure 1.
The ratio of the neutrino charge to the unit charge e vs. the exponent . The continuous lines correspond to masses : 0.400 eV (black line), 0.100 eV (green line) and 0.007 eV (blue line). The red circle denotes the value , and the blue circle , both for . The vertical line at is a guide to the eyes.
If we take in Equation (70), we find the simpler relation,
which reminds us of a conservation law, similar to mass conservation in classical fluid dynamics, where the exponent has the meaning of a spatial dimension , corresponding to a standard Euclidean surface. From this observation, we can interpret fractional values of as a fractal dimension, , where . Note that the extreme case yields a vanishing neutrino charge, while the one-dimensional case, , would yield too-large neutrino charges, which are unrealistic. In keeping with such an intuitive interpretation, we assume in the following that represents the physics of mass generation most realistically and accurately, so that
yields our ’simplest’ estimation for the neutrino electric charge. However, in certain extensions of the model, it is possible, at least speculatively, to consider fractal formulations describing a conservation law across fractal interfaces.
In Figure 2, we plot the ratio as a function of neutrino mass, , for the relevant case . As one can see, the predicted charge ratios are consistent with the presently available experimental data (see Section 1).
Figure 2.
The ratio of the neutrino charge to the unit charge e vs. neutrino mass [eV]. In this plot, we have assumed the value . The blue circle corresponds to a mass eV yielding . The red circle corresponds to a mass eV yielding (cf. Figure 1). The rectangle enclosing the red circle, and delimited by the dashed lines, suggests conservative ranges for the possible physical values of the neutrino mass and charge. The vertical dashed lines correspond to the values eV (GERDA upper bound for a Majorana neutrino) and eV (KATRIN upper bound). The horizontal dashed lines, providing the associated range for the neutrino charge, are drawn to intersect the black continuous line.
Finally, to estimate the Dirac neutrino magnetic moment, , we assume that it follows the same relation as the Dirac electron magnetic moment with gyromagnetic factor as in Equation (1), namely
Using Equation (74), we find our final result,
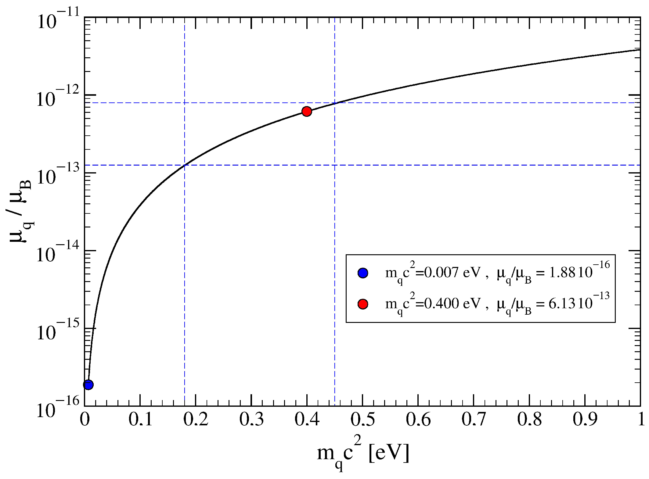
In Figure 3, we plot the ratio, , as a function of neutrino mass using Equation (76). Also in this case the predicted values for the magnetic moment ratio are consistent with the available experimental data.
Figure 3.
The neutrino magnetic moment, , relative to the Bohr magneton, vs. neutrino mass [eV]. Also here the value has been assumed. The blue circle corresponds to a mass eV yielding and the red circle to a mass eV yielding . The meaning of the dashed lines is similar to the one in Figure 2, here providing non-rigorous bounds for the neutrino magnetic moment and mass.
5.2. Particle Decays and Minimum Neutrino Mass
The issue of particle decay is central to estimating the minimum neutrino mass allowed by the present model. To illustrate the main idea, we compare our considerations with available experimental data on particle decays [3]. The relevant cases are summarized in Table 1, which reports data for the neutron (the slowest known particle decay), the unstable leptons, and the top quark (the fastest known decay). In the comparison below we have implicitly assumed that the time scales for the Higgs mechanism and the present model to generate a finite mass are of similar order of magnitude. This remains to be understood.
Table 1.
Unstable particle (1st column) and its creation time [s] (2nd column). The 3rd column reports the unstable particle lifetime [s], and the 4th column the main decay channel. The 5th column reports the ’creation’ times for each daughter particle (p). The creation time, , is assumed to be given by (see text). For neutrinos we have taken the mass value 0.4 eV for illustration. We have included the neutral Higgs boson for comparison.
According to our discussion leading to Equation (55), we interpret as the time required to vacuum EM potential fluctuations to provide a mass to a charge. We denote this proper time as the creation time, (see Table 1). In the case of an unstable particle, we conjecture that the creation time must be shorter than the particle’s lifetime, , i.e., , for its formation to occur. We have not found exceptions to this rule (see the second and third columns of Table 1).
A natural question is whether this rule also applies to the daughter particles produced in the decay of an unstable parent with lifetime . The main decay channels for the parent examples are listed in the fourth column of Table 1, and they indicate that the creation-time rule holds for parent–daughter decays as well (see fifth column). In the following, we discuss various aspects of the cases presented in Table 1.
In the case of the neutron, charge conservation implies that its electric charge must equal the electron antineutrino millicharge (provided that ). This issue has been addressed in the literature, where recent reviews cover both experimental results [18] and theoretical arguments [19]. In general, the upper bounds for the neutron millicharge obtained in experiments are smaller than those discussed above for neutrinos. The observed discrepancies remain unresolved, and further investigation will be required to clarify their origin.
Regarding the unstable leptons, the presents the shortest lifetime, s. Among the decay products, there is always a -neutrino present, due to flavor conservation, and in the case of Table 1 an electron antineutrino . This fact is very illuminating, since in order to make the decays possible, the neutrinos (according to our simple model) must be created sufficiently fast, imposing the condition that their effective mass should be larger than the lower-bound mass cutoff,
This is the value we have referred to in our previous discussions.
Furthermore, the lifetime is the shortest one among all known decays, except for those of the intermediate bosons, the Higgs boson, and the heavy quarks [3]. In the case of the top quark, , for instance, we observe that the creation time for the b quark (4.2 GeV) is slightly shorter than the top quark lifetime (see Table 1), making the decay possible.
6. Concluding Remarks
We have discussed an extension of the Dirac equation for an initially massless particle carrying an electric charge , assumed to be embedded in an external fluctuating EM potential of the vacuum, characterized by an ensemble of states , where (in Gaussian units). The solution of the equation is obtained in the case that the four-potential components are independent of time and spatial coordinates, valid for each value of in the ensemble. We conjecture that in order to lead to observable quantities, the fields must obey the following conditions:
In addition, we show that may indeed become gauge-invariant in an average sense, such that is obeyed in the case of a massless field describing the gauge transformations. As a result, we show that a finite mass can be attributed to the electric charge, which is given by
valid for both spacelike and timelike vector fields. The proposed mass mechanism, assumed to act within a finite time scale consistent with the uncertainty principle, allows a Lorentz covariance violation required to extend the mass result to timelike vacuum potentials.
Using the above expression for the generated mass, we estimate both the electric charge, , and magnetic moment, , of a generic neutrino. The above mass–charge relation is written compactly as , which becomes the cornerstone of the present approach. In order to proceed further, these unknown quantities are expressed relative to the electron properties, used as reference. Hence, we assume that a similar relation, , can be applied to the electron. After introducing additional features, such as a scaling behavior of with a length scale describing the spatial distribution of the elementary charge , we derive our main results, namely
yielding the correct order of magnitude as compared with the experimental upper bounds. The resulting scaling relation (77), , can be seen as a reference feature of neutrino EM properties and can be put to the test when upper bounds are determined. Significant deviations from this rule might indicate a failure of the present approach. However, if the above values for the electric millicharge and magnetic moment are confirmed by experiments, one may expect that neutrinos behave as charged Dirac particles. Furthermore, the issue of neutrino (antineutrino) left (right) handedness remains unresolved within this model. Further theoretical ideas need to be explored to obtain some insight into this unique feature of neutrinos [20].
We have also discussed examples of unstable particles by considering their main decay channels. We postulate that the time , defined in relation to the applicability of the present mass scenario, admits a rather important interpretation in terms of the time required to ’dress’ a charge with a mass . This ’creation’ time is argued to be shorter than the unstable particle lifetime, . From this relation, confirmed in the cases considered, we derive a lower bound for the effective neutrino mass, where s is the lepton lifetime, namely meV, a prediction which may be tested in future experiments.
Among the open questions not addressed here, which may be studied in future works, are the way our assumed stochastic vector potential connects to the QED vacuum and whether the obtained neutrino mass, charge, and magnetic moment satisfy Ward identities. In addition, the connections to the Schwinger–Dyson equation approach, stochastic quantization concepts, and background-field methods remain to be understood.
Funding
This research received no external funding.
Data Availability Statement
The original contributions presented in this study are included in the article. Further inquiries can be directed to the corresponding author.
Acknowledgments
I would like to thank the anonymous referees for their useful comments and suggestions. I dedicate this work to the memory of Luis Masperi (1940–2003) [21].
Conflicts of Interest
The author declares no conflicts of interest.
Appendix A. The Current Operator
For a Dirac particle, one can define a four-current , where is the probability density and
is the vector current, obeying the continuity equation, (see e.g., [1]).
Here, we deal with by assuming the following wave packet expansion for , i.e.,
where for , for , and are the expansion coefficients. The latter can be a function of in more general cases. It is straightforward to verify the condition that must obey in order that be normalized,
Using Equations (A1) and (A2), the jth component of can be written as
Using Equations (28) and (31), the coefficients can be written in terms of the adimensional variables (), , in matrix form as follows:
with ,
with ,
with , and are given by . Let us calculate in some illustrative cases.
- (1)
- A single spinor:
Let us consider first the case of a single spinor , such that . Then, the current is simply given by the diagonal terms in Equations (A5)–(A7), that is, , which, using , and Equation (15), yields
Notice that the negative sign, corresponding to , has been absorbed in the definition of the group velocity using .
- (2)
- Two spinors of the same energy:
For two spinors of the same energy , with coefficients and , such that , the result is , which coincides with Equation (A8).
- (3)
- Two spinors of different energy:
Let us consider now the case of two spinors of different , again with coefficients , respectively. From Equations (A4)–(A7), we find the four distinct currents, which for convenience are sorted in the order , , , and , where the subindices indicate the types of spinors in the pair, i.e.,
where , and where the terms represent the diagonal currents, and the ones within parentheses the off-diagonal counterparts. Now, if we consider all four pairs forming part of a single wave packet, the total current is then given by (cf. Equation (A4)). As one can see, the last two terms yield a vanishing off-diagonal contribution, , while from the remaining terms we find
In the particular case , we find
As we can see, when all spinors are equally weighted in the wave packet the total current vanishes on average, displaying periodic fluctuations with angular frequency . This result is known in the literature as the Zitterbewegung.
- (4)
- Spinors at rest:
As a corollary, it is interesting to consider the case of a pair of distinct spinors or wave packet at rest, . For illustrative purposes, we consider here the case of equally weighted spinors, . Thus, from Equations (A9)–(A12) we find
Note that and are circularly polarized in the plane, in counter-clockwise and clockwise directions, respectively, while and are linearly polarized along the z axis.
Finally, for a wave packet made out of all four spinors, the total current is the sum over the previous fours pairs, yielding
corresponding to a harmonic linearly polarized current along the x axis. These results suggest that there exist intrinsic oscillatory currents within a Dirac wave packet even at rest.
Appendix B. Invariance of ⟨Aν Aν ⟩ vac Under Gauge Transformations
Let us consider the gauge transformation,
where and is a scalar field. The Lorentz scalar for is given by
The second and third terms are the same because the indices are summed over. Therefore, , yielding
Now, let us evaluate the vacuum expectation values,
The second term can be written as , since the factors are independent of each other and, by hypothesis, . The last term can be written as
if it obeys the relativistic relation , valid for a massless field. Under these conditions, we find
Appendix C. The Vacuum EM Potential Fluctuations: Timelike Four-Potential
The determinant of the matrix given in Equation (59), , can be written as
where the three auxiliary matrices, , have the form
and their respective determinants become
After some algebra, we can rewrite Equation (A26) as follows:
To show this, we use the relations, and .
- (i)
- Calculation of : All terms containing the factor in Equation (A26).
We find
where
Thus,
- (ii)
- Calculation of :
All the remaining terms not containing factors are the following:
where and . A little more algebra yields , and
Now, adding and subtracting the term () in the expression for , and taking into account that
it becomes
where , yielding
where is clearly defined by the relation
- (iii)
- Calculation of :
We proceed with Equation (A36) straightforwardly to obtain
and
Now, assuming that vacuum fluctuations are coupled to the particle charge in the sense that on average is dynamically parallel to , we postulate the vacuum fluctuation condition,
yielding .
Appendix D. Neutrino Mass Oscillations, Flavor Eigenstates and the PMNS Matrix
The KATRIN experiment studies the endpoint of (radioactive) tritium -decay,
in which one of its two neutrons transforms into a proton (cf. Table 1), yielding (two protons and a neutron), followed by the emission of an electron () and an electron antineutrino (), corresponding to the flavor eigenstate due to lepton number conservation. Since a flavor eigenstate is a mixture of mass states, the energy spectrum near the endpoint depends on all three mass eigenvalues , , weighted by the electron–flavor components . The latter belong to a 3 × 3 unitary matrix, , known as the Pontecorvo–Maki–Nakagawa–Sakata (PMNS) matrix, where is the flavor index.
Therefore, what KATRIN actually measures is the effective electron (anti)neutrino mass, , given by
Note that this result provides us with an upper bound for the effective mass , leaving open the question of the absolute mass value.
In the following, we take the smallest value as the independent variable and study the two cases of mass normal ordering (NO) and mass inverted ordering (IO) by using the experimentally measured values of the square mass differences obtained from neutrino oscillation data. In order to estimate , we need an accurate representation of the PMNS matrix, which for convenience we report in terms of its magnitude values, obtained using the PDG convention and the NuFIT 6.0 central values [22,23,24,25,26].
Appendix D.1. Normal Ordering: m1 < m2 < m3
In the case of NO, the matrix is given by
Taking as the independent variable, and defining , we can obtain as follows:
where eV2/, and eV2/.
Appendix D.2. Inverse Ordering: m3 < m1 < m2
For the IO case, the matrix is given by
In this case, we take as the independent variable, and are obtained as follows:
where eV2/, and eV2/.
Appendix D.3. Results for NO and IO
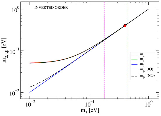
The results for the mass values are shown in Figure A1 for NO, and in Figure A2 for IO. As one can see, the differences between all values become indistinguishable above about 0.2 eV, meaning that the three mass eigenstates become quasi-degenerate, but still consistent with the experimentally known square mass differences. The chosen reference value for the effective neutrino mass, eV suggested in Section 5.1, thus represents a suitable estimate of the effective neutrino mass for the purposes of the present work. As a final remark, we find that the three flavor effective masses are also quasi-degenerate. A specific analysis is required to draw more quantitative conclusions.
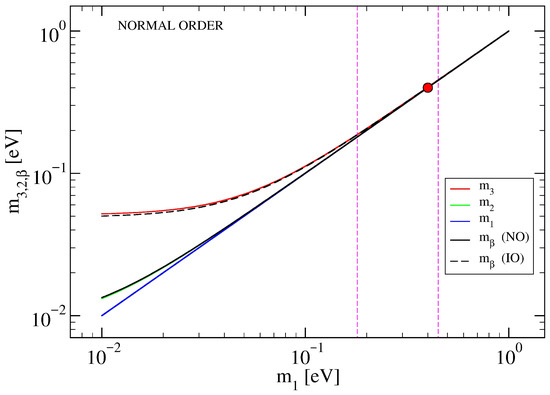
Figure A1.
Normal order of the neutrino masses. Plotted are (red line), (green line), (blue line) vs . The effective electron neutrino mass, (black line), almost coincides with (green line). For comparison, the values of (IO) are shown by the dashed black line. The vertical dashed lines correspond to the values eV (GERDA upper bound for a Majorana neutrino) and eV (KATRIN upper bound), and are drawn as a guide. The red circle corresponds to eV. The numerical results are available upon request.
Figure A1.
Normal order of the neutrino masses. Plotted are (red line), (green line), (blue line) vs . The effective electron neutrino mass, (black line), almost coincides with (green line). For comparison, the values of (IO) are shown by the dashed black line. The vertical dashed lines correspond to the values eV (GERDA upper bound for a Majorana neutrino) and eV (KATRIN upper bound), and are drawn as a guide. The red circle corresponds to eV. The numerical results are available upon request.

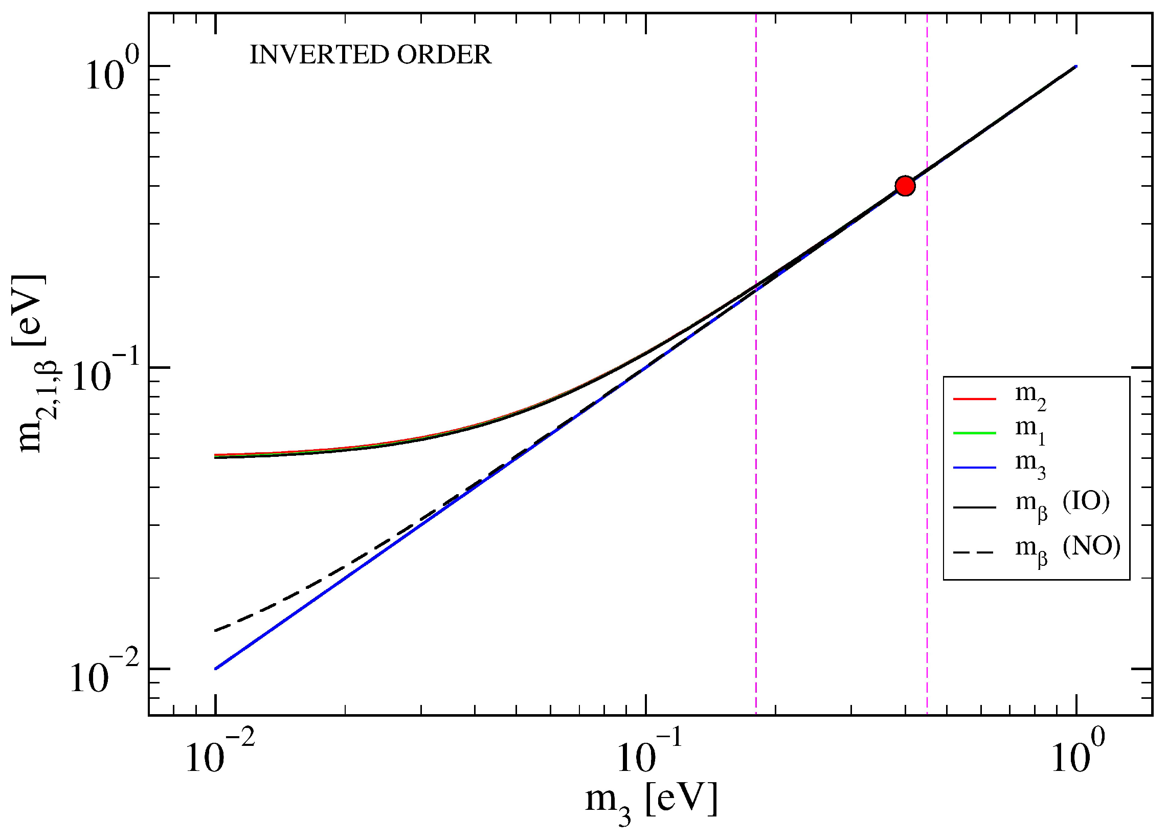
Figure A2.
Inverted order of the neutrino masses. Plotted are (red line), (green line), (blue line) vs . The effective electron neutrino mass, (black line), almost coincides with and , forming a quasi-degenerate ’triplet’. For comparison, the values of (NO) are shown by the dashed black line. The vertical dashed lines correspond to the values eV (GERDA upper bound for a Majorana neutrino) and eV (KATRIN upper bound), and are drawn as a guide. The red circle corresponds to eV. The numerical results are available upon request.
Figure A2.
Inverted order of the neutrino masses. Plotted are (red line), (green line), (blue line) vs . The effective electron neutrino mass, (black line), almost coincides with and , forming a quasi-degenerate ’triplet’. For comparison, the values of (NO) are shown by the dashed black line. The vertical dashed lines correspond to the values eV (GERDA upper bound for a Majorana neutrino) and eV (KATRIN upper bound), and are drawn as a guide. The red circle corresponds to eV. The numerical results are available upon request.

References
- Schwabl, F. Advanced Quantum Mechanics; Springer: Berlin/Heidelberg, Germany, 2008. [Google Scholar]
- Greiner, W. Quantum Mechanics: An Introduction; Springer Science & Business Media: Berlin/Heidelberg, Germany, 2011. [Google Scholar]
- Tanabashi, M.; Hagiwara, K.; Hikasa, K.; Nakamura, K.; Sumino, Y.; Takahashi, F.; Tanaka, J.; Agashe, K.; Aielli, G.; Amsler, C.; et al. Review of Particle Physics: Particle Data Groups. Phys. Rev. D 2018, 98, 030001. [Google Scholar] [CrossRef]
- Brudanin, V.B.; Medvedev, D.V.; Starostin, A.S.; Studenikin, A.I. New bounds on neutrino electric millicharge from GEMMA experiment on neutrino magnetic moment. Nucl. Part. Phys. Proc. 2016, 273, 2605–2608. [Google Scholar] [CrossRef]
- Gninenko, S.N.; Krasnikov, N.V.; Rubbia, A. New limit on millicharged particles from reactor neutrino experiments and the PVLAS anomaly. Phys. Rev. D 2007, 75, 075014. [Google Scholar] [CrossRef]
- Li, H.B.; Li, J.; Wong, H.T.; Chang, C.Y.; Chen, C.P.; Fang, J.M.; Hu, C.H.; Kuo, W.S.; Lai, W.P.; Lee, F.S.; et al. Limit on the electron neutrino magnetic moment from the Kuo-Sheng reactor neutrino experiment. Phys. Rev. Lett. 2003, 90, 131802. [Google Scholar] [CrossRef] [PubMed]
- Bonet, H.; Bonhomme, A.; Buck, C.; Fülber, K.; Hakenmüller, J.; Hempfling, J.; Heusser, G.; Hugle, T.; Lindner, M.; Maneschg, W.; et al. First upper limits on neutrino electromagnetic properties from the CONUS experiment. Eur. Phys. J. C 2022, 82, 813. [Google Scholar] [CrossRef]
- Corona, M.A.; Bonivento, W.M.; Cadeddu, M.; Cargioli, N.; Dordei, F. New constraint on neutrino magnetic moment and neutrino millicharge from LUX-ZEPLIN dark matter search results. Phys. Rev. D 2023, 107, 053001. [Google Scholar] [CrossRef]
- Aprile, E.; Abe, K.; Agostini, F.; Ahmed Maouloud, S.; Althueser, L.; Andrieu, B.; Angelino, E.; Angevaare, J.R.; Antochi, V.C.; Antón Martin, D.; et al. Search for new physics in electronic recoil data from XENONnT. Phys. Rev. Lett. 2022, 129, 161805. [Google Scholar] [CrossRef] [PubMed]
- Studenikin, A.I. New bounds on neutrino electric millicharge from limits on neutrino magnetic moment. Europhys. Lett. 2014, 107, 21001. [Google Scholar] [CrossRef]
- Giunti, C.; Studenikin, A. Neutrino electromagnetic interactions: A window to new physics. Rev. Mod. Phys. 2015, 87, 531–591. [Google Scholar] [CrossRef]
- Studenikin, A.I.; Tokarev, I.V. New astrophysical limit on neutrino millicharge. Nucl. Part. Phys. Proc. 2016, 273, 2332–2334. [Google Scholar] [CrossRef]
- Das, A.; Ghosh, D.; Giunti, C.; Thalapillil, A. Neutrino charge constraints from scattering to the weak gravity conjecture to neutron stars. Phys. Rev. D 2020, 102, 115009. [Google Scholar] [CrossRef]
- Jackson, J.D. Classical Electrodynamics; John Wiley & Sons: Hoboken, NJ, USA, 2021. [Google Scholar]
- Cattadori, C.M.; Salamida, F. GERDA and LEGEND: Probing the Neutrino Nature and Mass at 100 meV and Beyond. Universe 2021, 7, 314. [Google Scholar] [CrossRef]
- Adams, D.Q.; Alduino, C.; Alfonso, K.; Armatol, A.; Avignone, F.T., III; Azzolini, O.; Bari, G.; Bellini, F.; Benato, G.; Beretta, M.; et al. Exploring the keV-scale physics potential of CUORE. arXiv 2025, arXiv:2505.23955. [Google Scholar] [CrossRef]
- KATRIN Collaboration; Aker, M.; Batzler, D.; Beglarian, A.; Behrens, J.; Beisenkötter, J.; Biassoni, M.; Bieringer, B.; Biondi, Y.; Block, F.; et al. Direct neutrino-mass measurement based on 259 days of KATRIN data. Science 2025, 388, 180–185. [Google Scholar] [CrossRef] [PubMed]
- Bosina, J. Commissioning of the qBounce-Ramsey-Spectrometer and Its Application to Test the Neutron’s Neutrality. Doctoral Dissertation, Technische Universität Wien, Vienna, Austria, 2023. [Google Scholar] [CrossRef]
- Karshenboim, S.G. Laboratory constraint on the electric charge of the neutron and the neutrino. Eur. Phys. J. D 2025, 79, 28. [Google Scholar] [CrossRef]
- Murayama, H. The origin of neutrino mass. Phys. World 2002, 15, 35. [Google Scholar] [CrossRef]
- Solano Salinas, C.J.; Pereyra Ravinez, O.; Ochoa Jiménez, R. (Eds.) High Energy Physics. In Memoriam: Luis Masperi (1940–2003), Proceedings of the Fifth Latin American Symposium, Lima, Peru, 12–17 July 2004; Non-Series Books; World Scientific: Singapore, 2006; pp. 3–6. [Google Scholar] [CrossRef]
- Giganti, C.; Lavignac, S.; Zito, M. Neutrino oscillations: The rise of the PMNS paradigm. Prog. Part. Nucl. Phys. 2018, 98, 1–54. [Google Scholar] [CrossRef]
- Floerchinger, S.; Schwindt, J.M. Neutrino flavor-mass uncertainty relations and an entanglement-assisted determination of the PMNS matrix. Phys. Rev. D 2020, 102, 093001. [Google Scholar] [CrossRef]
- Esteban, I.; Gonzalez-Garcia, M.C.; Maltoni, M.; Martinez-Soler, I.; Pinheiro, J.P.; Schwetz, T. NuFit-6.0: Updated global analysis of three-flavor neutrino oscillations. J. High Energy Phys. 2024, 2024, 216. [Google Scholar] [CrossRef]
- Gonzalez-Garcia, M.C.; Yokoyama, M. Neutrino Masses, Mixing, and Oscillations (Section 14, p. 295). Available online: https://pdg.lbl.gov/2023/reviews/rpp2023-rev-neutrino-mixing.pdf (accessed on 22 September 2025).
- Navas, S.; Amsler, C.; Gutsche, T.; Hanhart, C.; Hernández-Rey, J.; Lourenço, C.; Masoni, A.; Mikhasenko, M.; Mitchel, R.; Patrignani, C.; et al. Review of Particle Physics. Phys. Rev. D 2024, 110, 030001. [Google Scholar] [CrossRef]
Disclaimer/Publisher’s Note: The statements, opinions and data contained in all publications are solely those of the individual author(s) and contributor(s) and not of MDPI and/or the editor(s). MDPI and/or the editor(s) disclaim responsibility for any injury to people or property resulting from any ideas, methods, instructions or products referred to in the content. |
© 2025 by the author. Licensee MDPI, Basel, Switzerland. This article is an open access article distributed under the terms and conditions of the Creative Commons Attribution (CC BY) license (https://creativecommons.org/licenses/by/4.0/).


