Next Article in Journal
Automatic Classification of Hypertensive Retinopathy by Gray Wolf Optimization Algorithm and Naïve Bayes Classification
Next Article in Special Issue
A Strong Limit Theorem of the Largest Entries of a Sample Correlation Matrices under a Strong Mixing Assumption
Previous Article in Journal
Fluid Dynamics Calculation in SF6 Circuit Breaker during Breaking as a Prerequisite for the Digital Twin Creation
Previous Article in Special Issue
A Compound Class of Inverse-Power Muth and Power Series Distributions
 
 
Font Type:
Arial Georgia Verdana
Font Size:
Aa Aa Aa
Line Spacing:
Column Width:
Background:
Article

An Exponentiated Skew-Elliptic Nonlinear Extension to the Log–Linear Birnbaum–Saunders Model with Diagnostic and Residual Analysis

by
Guillermo Martínez-Flórez
1,
Yolanda M. Gómez
2 and
Osvaldo Venegas
3,*
1
Departamento de Matemática y Estadística, Facultad de Ciencias Básicas, Universidad de Córdoba, Montería 230002, Colombia
2
Departamento de Matemática, Facultad de Ingeniería, Universidad de Atacama, Copiapó 1530000, Chile
3
Departamento de Ciencias Matemáticas y Físicas, Facultad de Ingeniería, Universidad Católica de Temuco, Temuco 4780000, Chile
*
Author to whom correspondence should be addressed.
Axioms 2023, 12(7), 624; https://doi.org/10.3390/axioms12070624
Submission received: 29 May 2023 / Revised: 15 June 2023 / Accepted: 18 June 2023 / Published: 23 June 2023
(This article belongs to the Special Issue Probability, Statistics and Estimation)

Abstract

In this paper, we propose a nonlinear regression model with exponentiated skew-elliptical errors distributed, which can be fitted to datasets with high levels of asymmetry and kurtosis. Maximum likelihood estimation procedures in finite samples are discussed and the information matrix is deduced. We carried out a diagnosis of the influence for the nonlinear model. To analyze the sensitivity of the maximum likelihood estimators of the model’s parameters to small perturbations in distribution assumptions and parameter estimation, we studied the perturbation schemes, the case weight, and the explanatory and response variables of perturbations; we also carried out a residual analysis of the deviance components. Simulation studies were performed to assess some properties of the estimators, showing the good performance of the proposed estimation procedure in finite samples. Finally, an application to a real dataset is presented.

1. Introduction

The linear model theory has been widely studied in the literature, for both symmetric and asymmetric models. In either case, one of the main problems occurs when the distribution of the residuals presents high levels of asymmetry and kurtosis. Various works have addressed this situation, notably Cancho et al. [1] and Martínez-Flórez et al. [2]. A more complex situation occurs when the systematic trend of the response variable is nonlinear, and the error component presents high levels of asymmetry and kurtosis. The first approach used by many investigators is to consider a model with error-multiplying effects and apply a transformation to the response variable, such that the transformation applied to the systematic part results in a linear relation between the transformed response and the set of explanatory variables. In other cases, this linear relation is more easily reached by applying the transformation to the explanatory variable; these models are known, in practice, as intrinsically linear models. Although this practice is easily applied, it presents serious problems in the interpretation of the model’s parameters, specifically with respect to the original (untransformed) variables. In other cases, transformation is impossible, and the only solution then is to use a nonlinear relation for the systematic component under certain assumptions regarding error distribution. There are few works in the literature on nonlinear cases, e.g., Cancho et al. [1], Martínez-Flórez et al. [2], and Lemonte and Cordeiro [3]. The situation becomes even more complex when working with survival data, and when a nonlinear relation has to be fitted; for such cases, the most useful works in the literature are those of Lemonte and Cordeiro [3], Lemonte [4], and Martínez-Flórez et al. [5]. Even in these works, the problem of fitting the data when they present high levels of asymmetry and kurtosis persists. There is, therefore, a need for new proposals for fitting nonlinear relations under error distribution assumptions with high levels of asymmetry and kurtosis. When the data distribution has tails heavier than the normal distribution, the family of elliptical distributions offers an alternative solution for fitting the dataset. This family corresponds specifically to symmetric-type distributions with a lower or higher kurtosis than the normal distribution; see, for example, Cambanis et al. [6], Fang et al. [7], Gupta and Varga [8], and Díaz-García and Leiva-Sánchez [9]. The probability density function (pdf) of this family of distributions is given by:
f ( x ) = c g x 2 ,
for some non-negative functions  g ( z ) z > 0 , such that  0 z 1 2 g ( z ) d z = 1 / c , with a normalizing constant c. The function  g ( · )  is known as the generating function. We denote this as  X E C ( g ) .  As a special case, this family contains the normal distribution when  g ( z ) = exp 1 2 z ,  which leads to  c = 1 / 2 π .
Other cases of  X E C ( g )  distributions are represented, for example, by the Pearson type VII, Student  t ν , Kotz, Cauchy, and normal distributions. The properties of this family can be explored in studies by Kelker [10], Cambanis et al. [6], Fang et al. [7], and Gupta and Varga [8] among others.
Although this model is a viable alternative for data with kurtosis that is either less or greater than that of the normal distribution, it is not suitable for asymmetric distributions.
Generalization of the elliptic family to the asymmetric case is represented by the pdf (see Lachos et al. [11])
h Y ( y ; λ ) = 2 f ( y ) F ( λ y ) , y , λ R ,
where f is given in (1), F is its corresponding cumulative distribution function (cdf), and  λ  is an asymmetry parameter. This model is denoted by  Y S E ( g , λ ) . The cdf of this model is given by
H Y ( y , λ ) = 2 y f ( t ) F ( λ t ) d t .
Here, it can be seen that for  λ = 0 , the symmetrical elliptic family follows. A particular case of model (2) is the skew-normal (SN) distribution (see Azzalini [12]) when  f = ϕ  and  F = Φ . Therefore, we have the pdf
ϕ S N ( y ) = 2 ϕ ( y ) Φ ( λ y ) , y R ,
where  λ  is an asymmetry parameter. We denote this by  S N ( λ ) . The cdf of the SN model is given by
Φ S N ( y ) = Φ ( y ) 2 T ( y ; λ ) , y R ,
where  T ( · , · )  is Owen’s function (See [13]). For  λ = 0 , the standard normal model is obtained. This distribution is widely used in different areas of data modeling with degrees of asymmetry in the range of  ( 0.995 , 0.995 )  and kurtosis in the range of  ( 3 , 3.869 ) .
This model has been extended to many areas of statistics; the following regression model, in particular, has been studied
Y i = x i T β + ϵ i , i = 1 , 2 , , n ,
where  Y i  is the i-th experimental unit,  β = ( β 1 , β 2 , , β p ) T  is an unknown parameter vector,  x i = ( x i 1 , x i 2 , , x i p ) T  is a p-dimensional vector with the values of the explanatory variables, and  ϵ i  are independent and identically distributed random variables with  ϵ i SN ( 0 , η , λ ) , i = 1 , 2 , , n .
A more general case of regression models was studied by Cancho et al. [1], who introduced the nonlinear regression model with asymmetric errors; that is, the model
Y i = ψ ( β , x i ) + ϵ i , i = 1 , 2 , , n ,
where  Y i  is the response variable,  ψ ( · )  is an injective continuous function that is twice differentiable with respect to the parameter vector  β x i  is a vector of values of an explanatory variable, and  ϵ i  are independent and identically distributed random variables  S N ( 0 , η , λ ) .
Another asymmetric type of distribution was studied by Durrans [14]; this is called the exponentiated distribution with pdf
φ Z ( z ; α ) = α f ( z ) { F ( z ) } α 1 , z R , α R + ,
where F is an absolutely continuous cdf with pdf  f = d F  and  α  is a shape parameter that controls the amount of asymmetry in the distribution. We use the notation  Z E X P ( α ) . Case  F = Φ ( · )  is called the exponentiated normal distribution and is denoted as  E X P n ( α ) .  This is an alternative asymmetric model with asymmetry in the range of ( 0.611 , 0.900 ) and kurtosis in the range of (1.717, 4.355) (see Pewsey et al. [15]), as is the case with the SN distribution (Azzalini [12]).
Another asymmetric type of distribution that has been mainly used for modeling the lifetimes of certain structures under dynamic loads was introduced by Birnbaum and Saunders [16]. It is popularly known as the Birnbaum–Saunders (BS) distribution, and its pdf is given by
f T ( t ) = ϕ ( a t ) t 3 / 2 ( t + τ ) 2 γ τ , t > 0 ,
with  a t = 1 γ t τ τ t  where  γ > 0  is the shape parameter and  τ > 0  is a scale parameter. We shall use the notation  T B S ( γ , τ ) .
This model has been extended to a large number of distribution families. Initially, the extension of this model to symmetric elliptic distributions was proposed by Díaz-García and Leiva-Sánchez [9], while Castillo et al. [17] considered the asymmetric epsilon Birnbaum–Saunders model, and Gómez et al. [18] considered an extension based on the slash-elliptical family of distributions.
The BS model has also been used to study linear regression models, literally known as the log–Birnbaum–Saunders (log–BS) model (see Rieck and Nedelman [19]). In this type of model, it is assumed that  Y i = l o g ( T i ) , where  T i B S ( γ , τ )  for  i = 1 , 2 , , n , and that the linear model errors follow a sinh-normal (SHN) distribution (see [19]), with a vector of parameters  γ ,  0, and 2. This is,
φ ( ϵ i ) = 2 γ cosh ϵ i 2 2 ϕ 2 γ sinh ϵ i 2 ,
which is denoted by  ϵ i SHN ( γ , 0 , 2 ) , i = 1 , 2 , , n .
More recently, Barros et al. [20] extended this model to error distributions with heavier tails, emphasizing the use of the Student-t distribution. They also conducted estimations and diagnostic studies for the model studied. Extensions for the SHN model using an asymmetric setup were found in the models studied by Leiva et al. [21], where a skewed-sinh-normal model was developed and used in a study on air pollution in the city of Santiago, Chile. Some other asymmetric extensions of the sinh-normal models were reported in Barros et al. [20], Lemonte and Cordeiro [3], and Santana et al. [22], where a study on the influence of observations was reported.
In nonlinear type models, few papers have been published for cases involving the BS distribution. Among these are the works on nonlinear log–BS models studied by Lemonte and Cordeiro [3] and the works on diagnosis and influence in the nonlinear log–BS skew-normal (ssinh) model, see Lemonte [4].
In this work, we propose a nonlinear model for datasets where the errors follow the skew-elliptical alpha-power distribution; the ranges of asymmetry and kurtosis are greater than those of SN (Azzalini [12]) and alpha-power models (Durrans [14]), and it contains the SN, exponentiated, and normal distributions as special cases. In other words, it is much more flexible than these models. We also include the inference of the model, a study of the estimation process, the variance–covariance matrix of the estimator vector, a diagnostic analysis of influence, and the residual analysis.
The paper is organized as follows. In Section 2, we present the nonlinear log–BS exponentiated skew-elliptic regression model, study its properties, estimate its parameters, and deduce the observed and expected information matrices. In Section 3, we present diagnostic and residual analyses for the proposed model. In Section 4, we perform a simulation study. In Section 5, a real dataset is analyzed using the proposed distribution to illustrate its applicability.

2. New Model

In this section, we present the exponentiated skew-elliptical (EXPSE) distribution, some of its properties, and the nonlinear transformation involved in the sinh-normal exponential skew-elliptical distribution. Subsequently, we present the nonlinear skew-elliptical log–Birnbaum–Saunders alpha-power regression model, study its properties and the parameter estimation process, and deduce the observed and expected information matrices.
The  E X P ( α )  and  S N ( λ )  models were combined to obtain a new model studied by Martínez-Flórez et al. [23], which they call the exponentiated SN model. We will denote this by  E X P s n ( λ , α ) . They show that this model is more flexible (in terms of skewness and kurtosis) than the EXPn and SN models.
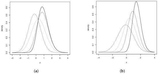
Special cases of the EXPsn model occur with  α = 1 ,  so the SN model  ϕ S N ( x ) ,  follows. On the other hand, with  λ = 0 , the model with pdf  φ Φ ( x ) ,  which is the Durrans generalized normal model, follows. The ordinary standard normal model is also a special case that follows by taking  α = 1 and λ = 0 ,  which is  φ ( z ; 0 , 1 ) = ϕ ( x ) .  Notice from Figure 1a,b below that  α  and  λ  affect both the asymmetry and kurtosis of the distribution; hence, the proposed model seems more flexible than the models proposed by Azzalini [12] and Durrans [14].
The  E X P s n ( λ , α )  model can be extended to a much more general family, which includes the  E X P ( α )  and SE models given in (2) by the parameter  λ  and generator g.
Definition 1. 
The pdf of the exponentiated skewed-elliptical distribution is given by
φ ( z ; λ , α ) = α h Z ( z ; λ ) { H Z ( z ; λ ) } α 1 , z R .
where  h ( · )  is given in (2) and H is its cdf. We will denote it by  Z E X P S E ( g , λ , α ) .
Special cases of the EXPSE model occur with  α = 1 , so that the  S E ( g , λ )  model follows. On the other hand, with  λ = 0 , the EXP model of Durrans [14] follows.
The moments of the random variable Z do not have closed forms, but under a variable change, the r-th moment of the random variable Z can be written as follows:
E ( Z r ) = α 0 1 [ H Z 1 ( z ; λ ) ] r z α 1 d z ,
where  H Z 1  is the inverse of the function  H Z ( z , λ ) .  When  h Z ( z , λ )  is the SN model of Azzalini [12], we then have the EXPsn model of parameters  λ  and  α . The transformation  Y = ξ + η Z  leads to the location–scale model of the EXPsn model, denoted by  E X P s n ( ξ , η , α ) . In other cases, the observation types lead to nonlinear transformations of the variable under study; while the transformation  Y = arcsinh ( γ Z / 2 ) η + ξ  leads to the skewed sinh power-normal distribution, with the pdf given by
φ S E X P s n ( y ) = α 2 γ cosh y ξ η η ϕ S N 2 γ sinh y ξ η Φ S N 2 γ sinh y ξ η α 1 ,
which we denote by  Y SEXPsn ( γ , ξ , η ; g , λ , α ) . For more details on this model, see Martínez-Flórez et al. [24].
Notice that when  λ = 0 α = 1 , and  η = 2 ,  we have the SHN model, so this special case can be assessed by testing the hypothesis  H 0 : ( λ , α ) = ( 0 , 1 ) .  On the other hand, with  α = 1 , the skewed sinh-normal model follows; see Lemonte and Cordeiro [3].
The cdf of Y is given by
F S E X P s n ( y ; λ ) = Φ S N 2 γ sinh y ξ η α .
From the random variable,  T = exp ( Y )  follows the exponentiated BS asymmetric distribution, with parameters  γ , β = exp ( ξ ) λ , and  α .

Nonlinear Log–BS Model

The nonlinear log–BS model is defined by
Y i = ψ i ( x i , β ) + ϵ i ,
where  ϵ i SEXPsn ( γ , 0 , 2 ; ϕ , λ , α ) y i = log ( t i )  is the logarithm of the observed lifetime,  ψ i ( x i , β )  is a specified nonlinear function, which depends on a p-dimensional vector of covariates (say  x i ) and the regression coefficients  β = ( β 0 , β 1 , , β p ) , satisfying that it is a continuous and twice differentiable function in relation to  β .
Some properties are as follows:
  • The pdf and cdf:
    φ ( y i ) = α 2 γ cosh y i ψ ( x i , β ) 2 2 ϕ S N 2 γ sinh y ψ ( x i , β ) 2 Φ S N 2 γ sinh y i ψ ( x i , β ) 2 α 1 ,
    which we denote by  Y i SEXPsn ( γ , ψ ( x i , β ) , 2 ; ϕ , λ , α ) ,  and
    F S E X P s n ( y i ; λ ) = Φ S N 2 γ sinh y i ψ ( x i , β ) 2 α .
  • Percentiles:
    If  U U ( 0 , 1 ) , following the uniform distribution, then the random variable
    Y i = ψ ( x i , β ) + 2 arcsinh γ 2 Φ S N 1 ( U 1 / α )
    is distributed according to the SEXPsn distribution, with parameters  γ , ψ ( x i , β ) , 2,  λ  and  α , where  Φ S N 1  is the inverse of the skew-normal distribution.
  • Flexibility:
    (a)
    λ = 0  follows the power-normal (exponentiated-normal) nonlinear regression model.
    (b)
    α = 1  follows the skew-normal nonlinear regression model.
    (c)
    λ = 0  and  α = 1  follow the normal nonlinear regression model.
    Hence, in terms of skewness and kurtosis, this model is more flexible than the power-normal, skew-normal, and normal nonlinear models.
  • Let  Y i S E X P s n ( γ , ψ ( x i , β ) , 2 ; ϕ , λ , α ) . Then, for constants  σ 0 R  and  σ 1 R + ,
    V = σ 0 + σ 1 Y S E X P s n ( γ , σ 0 + σ 1 ψ ( x i , β ) , 2 σ 1 ; ϕ , λ , α ) .
  • If  Y i S E X P s n ( γ , ψ ( x i , β ) , 2 ; ϕ , λ , α ) , then
    V = 2 γ sinh Y i ψ ( x i , β ) 2 E X P S E ( 0 , 1 ; ϕ , λ , α ) .
  • Let  Y i S E X P s n ( γ , ψ ( x i , β ) , 2 ; ϕ , λ , 1 ) . Then,
    V 2 = 4 γ 2 sinh 2 Y i ψ ( x i , β ) 2 χ 1 2 .
  • Expectation and variance:
    E ( Y i ) = ψ ( x i , β ) + 2 c 1 ( γ , λ , α )
    where
    c 1 ( γ , λ , α ) = a r c s i n h γ z 2 ϕ S N ( z ) Φ S N ( z ) α 1 d z
    and
    V a r ( Y i ) = 4 V a r ( γ , λ , α ) ,
    with  V a r ( γ , λ , α )  representing the variance of the random variable  W = a r c s i n h γ Z 2 ,  where  Z E X P S E ( ϕ , λ , α ) .
Defining  ξ i 1 = 2 γ cosh y i ψ ( x i , β ) 2  and  ξ i 2 = 2 γ sinh y i ψ ( x i , β ) 2  for  i = 1 , 2 , , n , the log-likelihood function for the parameter  ( γ , β , λ , α )  for a random sample  Y i S E X P s n ( γ , ψ ( x i , β ) , 2 , λ , α ) i = 1 , , n , up to an additive constant, is given by
( γ , β , λ , α ) = n log ( α ) + i = 1 n log ( ξ i 1 ) + i = 1 n log ( ϕ S N ( ξ i 2 ) ) + ( α 1 ) i = 1 n log ( Φ S N ( ξ i 2 ) ) .
Denoting by  W S N = ϕ S N ( ξ 2 ) Φ S N ( ξ 2 ) d j = ψ ( β , x ) β j W S N 1 = ϕ S N ( 1 + λ 2 ξ 2 ) ϕ S N ( ξ 2 ) , and  W S N 2 = ϕ S N 2 ( 1 + λ 2 ξ 2 ) Φ S N ( ξ 2 ) , we have the following score functions
U ( β j ) = i = 1 n ξ i 2 2 ξ i 1 d i j + 1 2 ξ i 1 ξ i 2 d i j λ 2 π ξ i 1 d i j W S N 1 α 1 2 ξ i 1 d i j W S N , for j = 1 , 2 , , p ,
U ( λ ) = i = 1 n 2 π ξ i 2 W S N 1 2 π ( α 1 ) ( 1 + λ 2 ) W S N 2 , U ( γ ) = 1 γ i = 1 n 1 + ξ i 1 ξ i 2 2 π W S N 1 ( α 1 ) ξ i 2 W S N ,
U ( α ) = i = 1 n 1 α + log ( Φ S N ( ξ i 2 ) ) .
Setting these equations equal to zero, we obtain the score equations, whose solutions by iterative numerical methods lead to the maximum likelihood (ML) estimators.
The elements of the observed information matrix are given by  J ( θ ) = H ( θ ) , where  H ( θ )  is the Hessian matrix; that is, the second derivative, with respect to the parameters of the log-likelihood function. We will denote the elements of the information matrix by  j γ γ , j β j γ , , j α α , which can be found in Appendix A.
From these results, we obtain the Fisher information matrix,  I ( θ ) , the elements of which are obtained by finding the expected elements of the observed information matrix, i.e.,
i θ j θ j = E ( j θ j θ j ) .
This information matrix is non-singular; thus, for large samples, we have that
n ( θ ^ θ ) N p + 4 ( θ , I ( θ ) 1 ) .
Therefore, the inverse of  I ( θ )  is the covariance matrix of the vector of the ML estimators of the model parameters.

3. Diagnostic Analysis

The verification of possible deviations from the assumptions made for the model, as well as the existence of extreme observations and some interferences that may affect the estimate parameters, can be studied using diagnostic methods similar to those employed by Cook [25] for the normal model. Usually, these methods can be performed by eliminating cases to assess the global influence and incorporating various types of perturbations to assess the local influence. We denote the perturbation vector as  ω = ( ω 1 , ω 2 , , ω n ) .
Now, we implement the perturbation schemes for the response variable, the explanatory variable, and the weighting of the cases; we also analyze the deviance component residual to study possible departures from the model’s assumptions.

3.1. Local Influence

The main object of the local influence method is to evaluate changes in the results of the analysis when small perturbations are incorporated into the model and/or the data. If these perturbations cause disproportionate effects, it may be an indication that the model is ill-fitted or that there may be serious departures from the assumptions made for it. We are now going to apply this technique to the nonlinear regression model. We will use the perturbed log-likelihood, as in Cook [25], to assess the local influence.
The influence of perturbation  ω  on the ML estimator can be evaluated based on the analysis of the distance by likelihood
L D ( ω ) = 2 { L ( θ ^ ) L ( θ ^ ω ) } .
Cook [25] proposed studying the local behavior of  L D ( ω )  around  ω 0 ,  using the normal curvature  C l  in the unperturbed vector in one unit direction, where  l = 1 , considering the graph of  L D ( ω 0 + a l )  against a with  a R .  This graph is called the projected line. Each projected line can be characterized by the normal curvature  C l ( θ )  around  a = 0 .
Cook shows that
C l = 2 l Δ L ¨ 1 Δ l ,
with  l = 1 , where  L ¨  is the Hessian matrix and  Δ  is a matrix  ( p + q ) × n , which depends on the perturbation scheme used, whose elements are  Δ i j = 2 ( θ | ω ) θ j ω i , j = 1 , 2 , , p + q and i = 1 , 2 , , n ,  with all quantities evaluated at  ω = ω 0 and θ = θ ^ .
Let  l m a x  be the direction of the maximum curvature, which is the direction that produces the greatest change in  θ ^ . The most influential element of the data can be identified by the largest component of the vector  l m a x , corresponding to the largest eigenvalue of
B = Δ L ¨ 1 Δ ,
(see Galea et al. [26]). If the interest is to evaluate the partial influence of a  θ 1  subset of  θ = ( θ 1 , θ 2 ) , then the normal curvature in the direction of the vector l is given by
C l ( θ 1 ) = 2 l Δ ( L ¨ 1 B 1 ) Δ l ,
with
B 1 = 0 11 0 12 0 21 L ¨ 22 1
where  L ¨ 22 1 = 2 ( θ | ω ) θ 2 θ 2 | θ = θ ^ . The graph of the eigenvector associated with the largest eigenvalue of the matrix  Δ ( L ¨ 1 B 1 ) Δ  against the index of observations can reveal which observations are influencing  θ ^ 1 . Similarly, if the interest is on  θ 2 , then the normal curvature in the direction of vector l is given by
C l ( θ 2 ) = 2 l Δ ( L ¨ 1 B 2 ) Δ l ,
with
B 2 = L ¨ 11 1 0 12 0 21 0 22
where  L ¨ 11 1 = 2 ( θ | ω ) θ 1 θ 1 | θ = θ ^ . The local influence of the observations on  θ 2  can be evaluated considering the graph  l m a x  for the matrix  Δ ( L ¨ 1 B 2 ) Δ  against the index of observations.
The curvature in the direction of the i-th observation was suggested by Lesaffre and Verbeke [27]; that is, to calculate the curvature in the direction of  l i ,  where  l i  is an  n × 1  vector of zeros with one in the i-th position. For  Δ i , denoting the i-th row of  Δ ,  the total local influence of the i-th case is given by
C i = 2 Δ i L ¨ 1 Δ i , i = 1 , 2 , , n .
In the work by Verbeke and Molenberghs [28], it is proposed to consider cases as influential when  C i 2 C ¯ ,  where  C ¯ = 1 n i = 1 n C i .
Poon and Poon [29] proposed a second alternative for studying influential points; they introduced the conformal normal curvature, defined by
B l = l Δ ( L ¨ 1 ) Δ l t r l Δ ( L ¨ 1 ) Δ l 2 θ = θ ^ , ω = ω 0 ,
where  t r ( A )  is the trace of matrix A. Thus, the computation of  B l  requires almost no more effort than the computation of  C l . Furthermore, the conformal normal curvature enjoys several interesting properties, among which we highlight:
  • The normal curvature, conforming in any direction to  ω 0 , is invariant under reparametrization.
  • In any direction  l , 0 B l 1 ;  therefore,  B l  is a normalized measure, which will allow comparisons of the curvatures.

3.2. Local Influence for the Nonlinear Log–BS Exponentiated Skew-Normal Model

Let us define  θ = ( θ 1 , θ 2 )  with  θ 1 = β  and  θ 2 = ( γ , λ , α ) .

3.2.1. Weighting Cases

For the nonlinear log–Birnbaum–Saunders exponentiated SN model, the perturbed log-likelihood function is given by
( θ | ω ) = i = 1 n ω i i ( θ ) ,
with  0 ω i 1 ,  for  i = 1 , , n ,  and  ω 0 = ( 1 , 1 , , 1 )  is the vector of no perturbations.
The matrix  Δ  is given by
Δ = Δ β Δ θ 2 ,
where  Δ β  is a matrix of size  p × n ,  and  Δ θ 2  is a matrix of size  3 × n , with elements
Δ β = D d i a g a ^ 1 , a ^ 2 , , a ^ n
where  a i = ξ i 2 2 ξ i 1 + 1 2 ξ i 1 ξ i 2 λ 2 π ξ i 1 W S N 1 ( α 1 ) 2 ξ i 1 W S N  with  D = { d i j } = ψ ( x i , β ) β  for  i = 1 , 2 , , n  and  j = 1 , 2 , , p  while
Δ θ 2 = ( b ^ 1 , b ^ 2 , , b ^ n ) ,
where
b i = 1 γ 1 + ξ i 1 ξ i 2 2 π W S N 1 ( α 1 ) ξ i 2 W S N 2 π ξ i 2 W S N 1 2 π ( α 1 ) ( 1 + λ 2 ) W S N 2 1 α + log ( Φ S N ( ξ i 2 ) ) i = 1 , 2 , , n
and  a ^ i  and  b ^ i  are the estimates of  a i  and  b i  for  i = 1 , 2 , , n  which are obtained by replacing  β j , γ , λ and α ,  by the respective ML estimates  β ^ j , γ ^ , λ ^ and α ^ .

3.2.2. Perturbation in the Response Variable

Suppose  y i  presents a perturbation of the form  y i ω = y i + ω i S y , where  S y   is a scale factor that can be estimated as the standard deviation of Y and  ω i R . Thus, the logarithm of the perturbed likelihood function takes the form
( θ | ω ) = n log ( α ) + i = 1 n log ( ξ i 1 ω 1 ) + i = 1 n log ( ϕ S N ( ξ i 2 ω 1 ) ) + ( α 1 ) i = 1 n log ( Φ S N ( ξ i 2 ω 1 ) ) ,
where  ξ i 1 ω 1 = 2 γ cosh y i ω 1 ψ ( x i , β ) 2  and  ξ i 2 ω 1 = 2 γ sinh y i ω 1 ψ ( x i , β ) 2  for  i = 1 , 2 , , n .
The elements of the  Δ  array are  Δ β = S y D d i a g m ^ i ,  where
m i = 1 4 ξ i 2 2 ( ξ i 2 2 ξ i 1 2 ) + ( ξ i 2 2 + ξ i 1 2 ) 2 λ ξ i 2 2 π W S N 1 [ 1 ξ i 1 2 λ 2 ] + λ 2 ξ i 1 π W S N 1 2 ( α 1 ) 4 W S N [ ξ 2 i ξ i 1 2 ( ξ i 2 + W S N ) ] + 2 π λ ξ i 1 2 W S N 2
while  Δ θ 2 = s y ( c ^ 1 , c ^ 2 , , c ^ n ) , where
c i = κ 1 i κ 2 i ξ i 1 2 W S N i = 1 , , n ,
κ 1 i  and  κ 2 i  are defined in Appendix B.

3.2.3. Perturbation in the Explanatory Variable

Let us now consider the case where an explanatory variable,  x q ,  presents an additive perturbation of the form  x i q w = x i q + ω i S q ,  where  S q  is a scale factor that can be estimated by the standard deviation of  x q  and  ω i R , q { 1 , 2 , , p } . Thus, the logarithm of the perturbed likelihood function takes the form
( θ | ω ) = n log ( α ) + i = 1 n log ( ξ i 1 ω 2 ) + i = 1 n log ( ϕ S N ( ξ i 2 ω 2 ) ) + ( α 1 ) i = 1 n log ( Φ S N ( ξ i 2 ω 2 ) ) ,
where  ξ i 1 ω 2 = 2 γ cosh y i ψ ( x i ω 2 , β ) 2  and  ξ i 2 ω 2 = 2 γ sinh y i ψ ( x i ω 2 , β ) 2  for  i = 1 , 2 , , n .
The array elements  Δ β  are  Δ β i j = S i j w κ 3 i + S i w S i j κ 4 i  where  κ 3 i  and  κ 4 i  are defined in Appendix B and
S i j w = 2 ψ ( x i w , β ) ω 2 β j θ = θ ^ , ω = 0 , S i w = ψ ( x i w , β ) ω 2 θ = θ ^ , ω = 0 , a n d S i j = ψ ( x i w , β ) β j θ = θ ^ , ω = 0 .
Even so, we have  θ 2
Δ θ 2 = ( d ^ 1 , d ^ 2 , , d ^ n ) ,
where
d i = κ 5 i κ 6 i 1 2 d i w ξ i 1 w W S N i = 1 , , n ,
κ 5 i κ 6 i , and  d i w  are defined in Appendix B.

3.3. Residual Analysis

To analyze the existence of influential observations and high leverage points that may be affecting parameter estimates, we define residual components and a matrix of generalized leverage for the nonlinear log–BS exponentiated skew-normal.

3.3.1. Residual Components

Considering  γ ,   λ , and  α   as fixed (known) quantities, according to Galea et al. [26], the residual components are given by
r D C i = s g n ( e i ^ ) 2 log cosh e ^ i 2 + 1 2 ξ ^ i 2 2 log 2 Φ λ ξ ^ i 2 ( α ^ 1 ) log Φ S N ( 0 ) Φ S N ξ ^ i 2 1 / 2 ,
i = 1 , 2 , , n ,  where sgn is the sign function and  e ^ i = y i ψ ( x i , β ^ ) .

3.3.2. Standardized Residuals

The standardized residual components are given by
r D C i * = r D C i 1 G L i i ,
where  G L i i  is the i-th element of the main diagonal of the matrix of generalized leverage (see Wei et al. [30]), as defined by
GL ( θ ) = D θ ( L ¨ ) 1 L ¨ θ y ,
where  D θ = μ θ T = ( D , 0 ) L ¨  is the Hessian matrix and
L ¨ θ y = L ¨ β y L ¨ θ 2 y ,
with
L ¨ β y i = Ddiag { ν i }
where
ν i = 1 4 2 ξ i 2 2 + 4 γ 2 2 π λ ξ i 2 W S N 1 1 γ 2 ξ i 1 2 + 2 π λ ξ i 1 2 ξ i 2 W S N + 2 π λ 2 ξ i 1 2 W S N 1 2 ( α 1 ) 4 ξ i 2 W S N ( 1 ξ i 1 2 ) + 2 π λ ξ i 1 2 W S N 2 ξ i 1 2 W S N 2
for  i = 1 , 2 , , n ,  and
L ¨ θ 2 y i = κ ^ 7 i κ ^ 8 i 1 2 ξ ^ i 1 W S N ^ i = 1 , , n ,
where  κ 1 i  and  κ 2 i  are defined in Appendix B θ 2 = ( γ , λ , α )  and  ξ ^ i 1 ,    ξ ^ i 2  are the ML estimators for  ξ i 1  and   ξ i 2 .

4. Simulation Study

In this section, we present a simulation study in order to assess the properties of the ML estimators. We consider that  y i S E X P s n ( γ , ψ i , 2 , λ , α ) , for  i = 1 , , n  and  ψ i = β 0 + β 1 x i β 2 , where  x i  is drawn from the  U ( 0 , 10 )  distribution. We consider two vectors for  β = ( β 0 , β 1 , β 2 ) ( 1.5 , 0.5 , 0.25 )  and  ( 2 , 1.5 , 0.5 ) ; two values for  γ : 0.5 and 1.8, and two vectors for  ( λ , α ) ( 1 , 0.8 )  and  ( 1 , 1.25 ) . In addition, we consider three sample sizes: 50, 100, and 200. Each of the 24 different cases was replicated 1000 times. For each replicate, we compute the ML estimator of  ( β 0 , β 1 , β 2 , γ , λ , α )  and the corresponding standard error. Table 1 summarizes the bias, the standard deviation of the estimators ( S E 1 ), the mean of the estimated standard errors ( S E 2 ), and the 95% coverage probabilities (CP), based on the asymptotic distribution for the ML estimators. We highlight that the bias is acceptable and is reduced when n is increased. Moreover, the terms  S E 1  and  S E 2  are closer when the sample size is increased, suggesting that the variances of the estimators are also well estimated. Finally, the CP terms being closer to the nominal values used for their construction suggest a good performance of the asymptotic normal distribution for the ML estimators. In short, the estimators have desirable properties even in finite samples.

5. Application

This section illustrates the SEXPsn model using a real data application. We consider the data of 202 athletes collected at the Australian Institute of Sport (AIS), which is available in the sn package [31] of the R software, [32]. The data are intended to explain the hematocrit (Hc) in terms of hemoglobin (Hg). Figure 2 shows the plot for Hg versus  log ( Hc ) .
Based on the figure, we consider that  log ( Hc i ) S E X P s n ( γ , ψ ( Hg i , β ) , 2 , λ , α ) , where we consider two proposals for the function  ψ :
  • A linear relation:  ψ ( Hg i , β ) = β 0 + β 1 × Hg i ; and
  • A nonlinear relation:  ψ ( Hg i , β ) = β 0 × Hg i β 1 .
In both cases, we also consider particular models,  α = 1  (ssinh model),  α = 1 , and  λ = 0  (nonlinear log–BS exponentiated, ssinh model). The results are presented in Table 2. Note that the nonlinear relation provides better results than the linear relations for the three models. To compare the fit of these models, we use the Akaike criterion (AIC) see [33]. According to this criterion, the model that best fits the data is the one with the lowest AIC value. The lowest AIC is achieved by the SEXPsn model with a nonlinear relation. Note that all parameters are significant in this model. Moreover, Figure 3 shows the rQR of the SEXPsn, ssinh, and sinh models using a nonlinear relation. Based on the three normality tests presented, those residuals are random samples from the standard normal distribution for the SEXPsn model, whereas those for the ssinh and sinh models are not. Therefore, the SEXPsn model is appropriate for this dataset, while the ssinh and sinh models are not.
For this reason, the local influence analysis will be performed only for the SEXPsn model with the nonlinear regression. Figure 4 shows the local influence of the weight, response, and covariate perturbation for the partition  ψ = ( β , θ ) , where  θ = ( γ , λ , α ) . Note that only observations 68 and 169 are potentially influential. Table 3 shows the relative changes (RC, in %) for the ML estimates in the model when observations 68 and 169 are dropped (separately and jointly). Note that the major changes are given for  α . However, in all the cases, the significance for all parameters is maintained.

6. Conclusions

In the present work, we developed a new nonlinear regression model that is more flexible in terms of asymmetry and kurtosis than asymmetric nonlinear regression models known in the literature. This is an important contribution given the few models in the literature, and it extends the study of nonlinear models to cases of symmetric and asymmetric elliptic distributions. This new proposal also avoids the need for transformation to obtain an intrinsically linear model. We studied the model’s properties and estimated its parameters; we deduced its information matrix and the asymptotic distribution of the ML estimator vector; moreover, we presented an analysis of its diagnostics and residuals.
More precisely, we presented the exponentiated skew-elliptical and the exponentiated skew-elliptical sinh-normal families of distributions and studied some of their properties. We proposed the nonlinear skew-elliptical log–BS exponentiated regression model and discussed some particular cases of this model known in the literature. We discussed the ML estimation procedures in finite samples for the parameters of the nonlinear skew-elliptical log–BS exponentiated regression model, deducing the observed and expected information matrices and covariance matrix of the estimated parameter vector. We studied the diagnostic analysis of influence under some perturbation schemes and also addressed the residual analysis of the deviance component. We carried out a simulation study to assess some properties of the estimators, showing the good performance of the proposed estimation procedure in finite samples. In the analysis of real data, the model produced a better fit than other models known in the literature, measured by the AIC criterion.

Author Contributions

Conceptualization, G.M.-F. and Y.M.G.; methodology, G.M.-F. and Y.M.G.; software, G.M.-F. and Y.M.G.; validation, G.M.-F., Y.M.G. and O.V.; formal analysis, Y.M.G. and O.V.; investigation, G.M.-F., Y.M.G., and O.V.; writing—original draft preparation, G.M.-F. and Y.M.G.; writing—review and editing, Y.M.G. and O.V.; funding acquisition, Y.M.G. and O.V. All authors have read and agreed to the published version of the manuscript.

Funding

The research of G. Martínez-Flórez was supported by project: “Estudio de la Deserción en los Programas de Pregrado de la Universidad de Córdoba Usando Diferentes Metodologías estadísticas”, grant FCB-06-22.

Institutional Review Board Statement

Not applicable.

Informed Consent Statement

Not applicable.

Data Availability Statement

Dataset available in the sn package [31].

Acknowledgments

G. Martínez-Flórez acknowledges the support from the Universidad de Córdoba, Montería, Colombia.

Conflicts of Interest

The authors declare no conflict of interest.

Appendix A. The Elements of the Information Matrix

The entries in the information matrix  j γ γ j β j γ , …,  j α α  can be written as:
j γ γ = 1 γ 2 i = 1 n 1 + ξ i 2 2 ( ξ i 2 2 3 ) + 2 π λ ξ i 2 W S N 1 [ 2 2 ξ i 2 2 ( 1 + λ 2 ) ] ξ i 2 2 2 π λ ξ i 2 W S N 1 2 + α 1 γ 2 i = 1 n ξ i 2 ( ξ i 2 2 3 ) W S N 2 π λ ξ i 2 W S N 2 + 2 ( ξ i 2 W S N ) 2 ,
j β j γ = 1 2 γ i = 1 n d i j ( ξ i 1 ξ i 2 ) ( ξ i 2 2 2 ) + 2 π λ ξ i 1 W S N 1 ( λ 2 ξ i 2 2 1 ) ξ i 1 ξ i 2 ξ i 2 2 π λ W S N 1 2 + α 1 γ i = 1 n d i j ξ i 1 2 W S N ( ξ i 2 2 1 ) λ ξ 12 2 π W S N 2 + ξ i 1 ξ i 2 2 W S N 2 ,
j λ γ = 1 γ i = 1 n 2 π ξ i 2 W S N 1 [ ξ i 2 2 ( 1 + λ 2 W S N ) 1 ] + 2 λ π [ ξ i 2 W S N 1 ] 2 + α 1 γ i = 1 n 2 π ξ i 2 W S N 2 2 ξ i 2 + 2 1 + λ 2 W S N ,
j β j β k = i = 1 n ξ i 2 2 ξ i 1 g i j k [ ξ i 2 2 ξ i 1 2 ] 4 ξ i 1 2 d i j d i k + ξ i 1 2 g i j k d i k 2 ξ i 2 2 π λ W S N 1 i = 1 n ξ i 1 4 d i j d i k [ ξ i 2 2 1 ] 2 π ( λ 3 + 2 λ ) ξ i 2 W S N 1 ξ i 2 2 π λ W S N 1 2 + ( α 1 ) i = 1 n ξ i 1 2 g i j k W S N + ξ i 1 2 d i j d i k ξ i 2 2 ξ i 1 [ ξ i 1 2 1 ] W S N λ ξ i 1 2 π W S N 2 + ξ i 1 2 π ξ i 1 2 ,
j λ β j = 1 2 i = 1 n ξ i 1 d i j 2 π W S N 1 [ ξ i 1 ξ i 2 1 + λ 2 ξ i 2 2 ] ξ i 2 2 π λ W S N 1 2 π ξ i 2 W S N 1 + ( α 1 ) i = 1 n ξ i 1 2 π d i j ξ i 2 W S N 2 + 1 1 + λ 2 W S N W S N 2 ,
j λ λ = 2 π i = 1 n λ ξ i 2 3 W S N 1 + 2 π W S N 1 2 2 π ( α 1 ) i = 1 n 2 λ ( 1 + λ 2 ) 3 W S N 3 2 λ 1 + λ 2 W S N 2 + 2 π 1 1 + λ 2 W S N 2 2 ,
j α γ = 1 γ i = 1 n ξ i 2 W S N , j α β j = 1 2 i = 1 n ξ i 1 d i j W S N , j α λ = i = 1 n 2 π W S N 2 1 + λ 2 , j α α = n α 2 ,
where  g i j k  is the second partial derivative of  ψ ( x i , β )  with respect to  β j  and  β k .

Appendix B. Definitions of κji for j = 1, 2, …, 8

The expressions of the terms  κ 1 i κ 2 i , …,  κ 8 i  can be written as:
κ 1 i = 1 γ ξ i 1 ξ i 2 ξ i 1 2 π W S N 1 [ 1 ξ i 2 2 λ 2 ] + λ ξ i 1 ξ i 2 π W S N 1 2 ( α 1 ) γ ξ i 1 W S N 2 [ 1 ξ i 2 2 ξ i 2 W S N ] + λ ξ i 1 ξ i 2 2 π W S N 2 ,
κ 2 i = 1 2 π ξ i 1 W S N 1 [ 1 ξ i 2 2 λ 2 ] 1 π ξ i 1 W S N 1 2 + α 1 2 π ξ i 1 ξ i 2 W S N 2 + 1 1 + λ 2 ξ i 1 W S N W S N 2 ,
κ 3 i = 1 2 ξ i 1 ξ i 2 ξ i 2 ξ i 1 ξ i 1 λ 2 π W S N 1 + ( α 1 ) W S N , κ 4 i = 1 4 4 γ 2 1 ξ i 1 2 1 2 ξ i 2 2 + 2 π λ W S N 1 ξ i 2 + ξ i 1 2 λ 2 ξ i 2 2 π W S N 1 + ( α 1 ) + 1 4 { W S N [ ( α 1 ) ξ i 2 ξ i 1 2 ( ( α 1 ) ξ i 2 + W S N ) ] } ,
κ 5 i = 1 γ d i w ξ i 1 w ξ i 2 w + 1 2 π ξ i 1 w W S N 1 [ 1 ξ i 2 w 2 ( 2 + λ 2 ) ] λ π ξ i 1 w ξ i 2 w W S N 1 2 ( α 1 ) 2 γ d i w ξ i 1 w W S N [ ξ i 2 w 2 1 ] 2 π λ ξ i 1 w ξ i 2 w W S N 2 + ξ i 1 w ξ i 2 w W S N 2 ,
κ 6 i = 1 2 π d i w ξ i 1 w W S N 1 1 + ξ i 2 w ( 1 + λ 2 ) ξ i 2 w + 2 π W S N 1 α 1 1 + λ 2 1 2 π d i w ξ i 1 w W S N 2 [ ξ i 2 w ( 1 + λ 2 ) + W S N ] ,
and  d i w = ψ ( x i ω , β ) ω ,
κ 7 i = 1 γ ξ i 1 ξ i 2 1 + λ 2 π W S N 1 + λ π ξ i 1 W S N 1 2 α 1 γ 1 2 ξ i 1 W S N ( 1 ξ i 2 2 ξ i 2 W S N ) + λ 2 π ξ i 1 ξ i 2 W S N 2 ,
κ 8 i = 1 2 π ξ i 1 W S N 1 ( 1 λ 2 ξ i 2 ) 2 λ 2 π ξ i 1 ξ i 2 W S N 1 2 + α 1 1 + λ 2 1 2 π [ ξ i 1 W S N 2 [ ( 1 + λ 2 ) ξ i 2 + W S N ] ] .

References

  1. Cancho, V.G.; Lachos, V.H.; Ortega, E.M.M. A nonlinear regression model with skew-normal errors. Stat. Pap. 2010, 51, 547–558. [Google Scholar] [CrossRef]
  2. Martínez-Flórez, G.; Bolfarine, H.; Gómez, H.W. Likelihood-based inference for the power regression model. SORT-Stat. Oper. Res. Trans. 2015, 39, 187–208. [Google Scholar]
  3. Lemonte, A.J.; Cordeiro, G.M. Birnbaum–Saunders nonlinear regression models. Comput. Stat. Data Anal. 2010, 53, 4441–4452. [Google Scholar] [CrossRef]
  4. Lemonte, A. A log-Birnbaum-Saunders Regression Model with Asymmetric Errors. J. Stat. Comput. Simul. 2012, 82, 1775–1787. [Google Scholar] [CrossRef]
  5. Martínez-Flórez, G.; Bolfarine, H.; Gómez, H.W. An extension of the generalized Birnbaun-Saunders distribution. Stat. Probab. Lett. 2017, 19, 913–933. [Google Scholar]
  6. Cambanis, S.; Huang, S.; Simons, G. On the Theory of Elliptically Contoured Distributions. J. Multivar. Anal. 1981, 11, 365–385. [Google Scholar] [CrossRef]
  7. Fang, K.T.; Kotz, S.; Ng, K.W. Symmetric Multivariate and Related Distribution; Chapman and Hall: London, UK, 1990. [Google Scholar]
  8. Gupta, A.K.; Varga, T. Elliptically Contoured Models in Statistics; Kluwer Academic Publishers: Boston, MA, USA, 1993. [Google Scholar]
  9. Díaz-García, J.A.; Leiva-Sánchez, V. A new family of life distributions based on the elliptically contoured distributions. J. Statist. Plann. Inference 2005, 128, 445–457. [Google Scholar] [CrossRef]
  10. Kelker, D. Distribution Theory of Spherical Distributions and a Location Scale Parameter Generalization. Sankhya Ser. A 1970, 32, 419–430. [Google Scholar]
  11. Lachos, V.H.; Bolfarine, H.; Arellano-Valle, R.B.; Montenegro, L.C. Likelihood-based inference for multivariate skew-normal regression models. Commun. Stat. Theory Methods 2007, 36, 1769–1786. [Google Scholar] [CrossRef]
  12. Azzalini, A. A class of distributions which includes the normal ones. Scand. J. Stat. 1985, 12, 171–178. [Google Scholar]
  13. Owen, D.B. Tables for computing bi-variate normal probabilities. Ann. Math. Stat. 1956, 27, 1075–1090. [Google Scholar] [CrossRef]
  14. Durrans, S.R. Distributions of fractional order statistics in hydrology. Water Resour. Res. 1992, 28, 1649–1655. [Google Scholar] [CrossRef]
  15. Pewsey, A.; Gómez, H.; Bolfarine, H. Likelihood-based inference for power distributions. Test 2012, 21, 775–789. [Google Scholar] [CrossRef]
  16. Birnbaum, Z.W.; Saunders, S.C. A New Family of Life Distributions. J. Appl. Probab. 1969, 6, 319–327. [Google Scholar] [CrossRef]
  17. Castillo, N.O.; Gómez, H.W.; Bolfarine, H. Epsilon Birnbaum–Saunders distribution family: Properties and inference. Stat. Pap. 2011, 6, 871–883. [Google Scholar] [CrossRef]
  18. Gómez, H.W.; Olivares-Pacheco, J.F.; Bolfarine, H. An extension of the generalized Birnbaun-Saunders distribution. Stat. Probab. Lett. 2009, 79, 331–338. [Google Scholar] [CrossRef]
  19. Rieck, J.R.; Nedelman, J.R. A log-linear model for the Birnbaum-Saunders distribution. Technometrics 1991, 33, 51–60. [Google Scholar]
  20. Barros, M.; Paula, G.A.; Leiva, V. A new class of survival regression models with heavy-tailed errors: Robustness and diagnostics. Lifetime Data Anal. 2008, 14, 316–332. [Google Scholar] [CrossRef]
  21. Leiva, V.; Vilca, F.; Balakrishnan, N.; Sanhueza, A. A skewed sinh-normal distribution and its properties and application to air pollution. Commun. Stat. Theory Methods 2010, 39, 426–443. [Google Scholar] [CrossRef]
  22. Santana, L.; Vilca, F.; Leiva, V. Influence analysis in skew-Birnbaum-Saunders regression models and applications. J. Appl. Stat. 2011, 38, 1633–1649. [Google Scholar] [CrossRef]
  23. Martínez-Flórez, G.; Bolfarine, H.; Gómez, H.W. Skew-normal alpha power model. Statistics 2014, 48, 1414–1428. [Google Scholar] [CrossRef]
  24. Martínez-Flórez, G.; Bolfarine, H.; Gómez, Y.M. The Skewed-Elliptical Log–Linear Birnbaum–Saunders Alpha-Power Model. Symmetry 2021, 13, 1297. [Google Scholar] [CrossRef]
  25. Cook, R.D. Assessment of local influence. J. R. Stat. Soc. B 1986, 48, 133–169. [Google Scholar] [CrossRef]
  26. Galea, M.; Leiva, V.; Paula, G.A. Influence diagnostics in log-Birnbaum-Saunders regression models. J. Appl. Stat. 2004, 31, 1049–1064. [Google Scholar] [CrossRef]
  27. Lesaffre, E.; Verbeke, G. Local influence in linear mixed models. Biometrics 1998, 54, 570–582. [Google Scholar] [CrossRef] [PubMed]
  28. Verbeke, G.; Molenberghs, G. Linear Mixed Models for Longitudinal Data; Springer: New York, NY, USA, 2000. [Google Scholar]
  29. Poon, W.Y.; Poon, Y.S. Conformal normal curvature and assessment of local influence. J. R. Stat. Soc. B 1999, 61, 51–61. [Google Scholar] [CrossRef]
  30. Wei, B.C.; Hu, Y.Q.; Fung, W.K. Generalized leverage and its applications. Scand. J. Stat. 1998, 25, 25–37. [Google Scholar] [CrossRef]
  31. Azzalini, A. The R Package ’sn’: The Skew-Normal and Related Distributions such as the Skew-t and the SUN (Version 2.1.0). 2022. Available online: https://cran.r-project.org/package=sn (accessed on 15 October 2022).
  32. R Core Team. R: A Language and Environment for Statistical Computing; R Foundation for Statistical Computing: Vienna, Austria, 2022; Available online: https://www.R-project.org/ (accessed on 15 October 2022).
  33. Akaike, H. A new look at statistical model identification. IEEE Trans. Autom. Control 1974, 19, 716–723. [Google Scholar] [CrossRef]
Figure 1. Plots of the EXPsn distribution. (a α = 1.5  and  λ = 0.75  (dotted dashed line), 0 (dotted line), 1 (dashed line), 1.75 (solid line), (b λ = 0.70 α =  0.50 (dotted-dashed line), 1.0 (dotted line), 2.0 (dashed line), and 5.0 (solid line).
Figure 1. Plots of the EXPsn distribution. (a α = 1.5  and  λ = 0.75  (dotted dashed line), 0 (dotted line), 1 (dashed line), 1.75 (solid line), (b λ = 0.70 α =  0.50 (dotted-dashed line), 1.0 (dotted line), 2.0 (dashed line), and 5.0 (solid line).
Axioms 12 00624 g001
Figure 2. Plot for Hg versus  log ( Hc )  in the AIS dataset.
Figure 2. Plot for Hg versus  log ( Hc )  in the AIS dataset.
Axioms 12 00624 g002
Figure 3. QQ plots and p-values for three normality tests for rQR for SEXPsn, ssinh, and sinh models in the AIS dataset, using a nonlinear relation.
Figure 3. QQ plots and p-values for three normality tests for rQR for SEXPsn, ssinh, and sinh models in the AIS dataset, using a nonlinear relation.
Axioms 12 00624 g003
Figure 4. Index plots of  C i  for  β  (top) and  θ  (bottom) under the weight perturbation (left), response perturbation (center), and covariate perturbation (right) schemes for SEXPsn nonlinear regression in the AIS dataset.
Figure 4. Index plots of  C i  for  β  (top) and  θ  (bottom) under the weight perturbation (left), response perturbation (center), and covariate perturbation (right) schemes for SEXPsn nonlinear regression in the AIS dataset.
Axioms 12 00624 g004
Table 1. Simulation study for the ML estimators obtained from the  S E X P s n ( γ , ψ i , 2 , λ , α )  model.
Table 1. Simulation study for the ML estimators obtained from the  S E X P s n ( γ , ψ i , 2 , λ , α )  model.
True Values n = 50 n = 100 n = 200
β γ ( λ , α ) param.biasSE1SE2CPbiasSE1SE2CPbiasSE1SE2CP
1.50 0.50 0.25 0.5 1.0 0.8 β 0 −0.1680.3720.2690.940−0.0940.2750.2050.940−0.0380.0660.0550.949
β 1 −0.0690.6480.4670.927−0.0240.3720.2930.933−0.0130.1200.1000.947
β 2 0.0360.1160.0880.9210.0090.0710.0530.9330.0060.0170.0150.947
γ 0.4910.8800.5230.8720.1380.5140.4020.9100.0710.1440.1280.945
λ −1.2322.9741.9320.994−0.4551.5841.2700.978−0.1880.5610.4930.972
α −0.5320.8470.5180.877−0.1550.4540.3480.891−0.0730.1270.1100.950
1.00 1.25 β 0 0.2102.4141.6900.9170.0571.3311.0200.9390.0330.3070.2700.946
β 1 0.0790.5070.3830.9350.0300.3390.2810.9400.0130.0820.0720.946
β 2 −0.0370.1710.1200.902−0.0110.1140.0860.931−0.0040.0370.0320.948
γ −0.4330.7150.4410.909−0.1250.3360.2680.935−0.0680.0980.0840.947
λ −1.4373.7542.4540.972−0.4642.2181.7820.964−0.2290.8210.6850.959
α 0.8162.1571.3470.8940.2691.2411.0060.9090.1130.4380.3950.947
1.8 1.0 0.8 β 0 0.2083.2442.2590.9330.0712.1441.6880.9380.0450.6920.6130.949
β 1 0.0500.1510.1100.9390.0230.0940.0720.9400.0170.0290.0250.946
β 2 −0.0280.0570.0400.918−0.0100.0360.0290.938−0.0040.0110.0090.947
γ 1.6497.5894.5630.8730.5254.4813.3740.8960.2820.9820.8710.948
λ −1.1883.5412.1860.972−0.3912.0241.5030.963−0.2180.5410.4910.957
α −0.4671.3880.8770.904−0.1710.9120.7000.928−0.0780.2210.1940.946
1.00 1.25 β 0 0.1852.7941.8660.9010.0951.8211.4570.9070.0480.5980.5230.946
β 1 −0.0540.1460.1040.938−0.0290.1060.0800.939−0.0150.0310.0270.946
β 2 0.0240.2620.2010.9060.0090.1850.1520.9370.0060.0700.0600.947
γ 1.5285.4503.3360.8810.4872.6382.1320.9420.2880.8520.7310.945
λ −1.2734.8032.8620.975−0.4112.8782.2770.965−0.2230.7780.6790.965
α 0.7802.2301.4350.8780.2841.2441.0180.8940.1250.3140.2710.949
2.0 1.5 0.5 0.5 1.0 0.8 β 0 −0.2173.7832.8190.910−0.1022.4371.9800.912−0.0370.6520.5770.945
β 1 −0.2830.7570.5440.939−0.0600.5050.4020.939−0.0290.1550.1380.950
β 2 −0.0740.7600.5210.915−0.0270.5020.3740.923−0.0110.1360.1210.947
γ 0.4370.8260.4970.8940.1630.4360.3480.9430.0740.1490.1250.947
λ −1.0742.3331.5420.990−0.3791.3441.0440.976−0.2430.4090.3430.961
α −0.4911.9111.1270.886−0.1401.1170.8560.890−0.0920.2620.2350.946
1.00 1.25 β 0 0.2910.7520.5010.9170.1040.3970.3160.9200.0380.1020.0910.949
β 1 0.2831.5841.2040.9190.0840.9770.7330.9280.0500.2940.2530.949
β 2 −0.0610.8720.6330.903−0.0260.6480.5010.908−0.0090.2190.1920.949
γ −0.4170.4020.2670.913−0.1510.2510.2070.935−0.0670.0660.0590.946
λ −1.0362.6271.6180.993−0.4491.5171.2520.975−0.1810.4940.4470.967
α 0.6842.7301.7130.8930.2861.7631.3160.9090.1330.4690.3980.950
1.8 1.0 0.8 β 0 −0.3484.1583.0500.914−0.1192.8692.3210.940−0.0600.9740.8740.949
β 1 0.2241.4381.0500.9160.0870.8370.6640.9350.0280.3080.2630.945
β 2 0.0560.2470.1720.9220.0280.1380.1040.9320.0100.0460.0410.947
γ −1.5114.3822.6880.888−0.5142.5962.0620.920−0.2590.7160.6110.947
λ −1.3743.6182.2200.991−0.4171.9561.4800.975−0.2110.5100.4410.972
α −0.4512.1411.4220.878−0.1391.2780.9870.936−0.0780.3680.3120.949
1.00 1.25 β 0 −0.3613.6582.7410.915−0.1112.5462.0980.918−0.0460.7470.6540.946
β 1 −0.2492.0801.4430.931−0.0601.4781.1200.935−0.0470.4200.3700.947
β 2 0.0810.7270.5260.9210.0270.4430.3370.9220.0120.1470.1310.947
γ 1.4765.6143.3820.8850.5463.2242.5410.9020.2770.8350.7560.950
λ −1.4525.8703.4740.990−0.4362.7512.2370.979−0.1970.9480.8370.961
α 0.8733.9332.5450.8800.2892.5971.9320.8870.1350.6510.5760.949
Table 2. Estimates and standard errors (s.e.) for SEXPsn, ssinh, and sinh models in the AIS dataset.
Table 2. Estimates and standard errors (s.e.) for SEXPsn, ssinh, and sinh models in the AIS dataset.
Model
SEXPsnssinhsinh
RelationParameterEstimates.e.Estimates.e.Estimates.e.
linear β 0 2.91730.01932.90920.02122.89680.0199
β 1 0.05960.00130.05930.00140.05920.0014
γ 0.03180.00750.02960.00490.02620.0013
λ 4.39791.8245−0.70880.60700-
α 0.05650.03181-1-
log-likelihood452.16448.82448.73
AIC−894.31−889.64−891.46
nonlinear β 0 2.06020.02472.02170.02792.03430.0282
β 1 0.22740.00440.23020.00510.22960.0052
γ 0.03500.00900.03110.00370.02580.0013
λ 5.36832.31880.97220.43270-
α 0.04890.02701-1-
log-likelihood456.81452.33451.86
AIC−903.61−896.65−897.71
Table 3. RCs (in %) in the ML estimates and the corresponding SEs for the indicated parameters and respective p-values for the SEXPsn nonlinear regression model in the AIS dataset when observations 68 and 169 are dropped.
Table 3. RCs (in %) in the ML estimates and the corresponding SEs for the indicated parameters and respective p-values for the SEXPsn nonlinear regression model in the AIS dataset when observations 68 and 169 are dropped.
Dropped Parameter
Cases β 0 β 1 γ λ α
68RC0.160.380.563.8721.22
RCSE5.916.257.446.1525.23
p-value<0.0001<0.0001<0.00010.0130<0.0001
169RC0.460.680.702.6312.78
RCSE2.582.665.054.4014.41
p-value<0.0001<0.0001<0.00010.0135<0.0001
68, 169RC0.330.331.447.2341.67
RCSE7.377.8914.4912.5948.96
p-value<0.0001<0.0001<0.00010.0100<0.0001
Disclaimer/Publisher’s Note: The statements, opinions and data contained in all publications are solely those of the individual author(s) and contributor(s) and not of MDPI and/or the editor(s). MDPI and/or the editor(s) disclaim responsibility for any injury to people or property resulting from any ideas, methods, instructions or products referred to in the content.

Share and Cite

MDPI and ACS Style

Martínez-Flórez, G.; Gómez, Y.M.; Venegas, O. An Exponentiated Skew-Elliptic Nonlinear Extension to the Log–Linear Birnbaum–Saunders Model with Diagnostic and Residual Analysis. Axioms 2023, 12, 624. https://doi.org/10.3390/axioms12070624

AMA Style

Martínez-Flórez G, Gómez YM, Venegas O. An Exponentiated Skew-Elliptic Nonlinear Extension to the Log–Linear Birnbaum–Saunders Model with Diagnostic and Residual Analysis. Axioms. 2023; 12(7):624. https://doi.org/10.3390/axioms12070624

Chicago/Turabian Style

Martínez-Flórez, Guillermo, Yolanda M. Gómez, and Osvaldo Venegas. 2023. "An Exponentiated Skew-Elliptic Nonlinear Extension to the Log–Linear Birnbaum–Saunders Model with Diagnostic and Residual Analysis" Axioms 12, no. 7: 624. https://doi.org/10.3390/axioms12070624

APA Style

Martínez-Flórez, G., Gómez, Y. M., & Venegas, O. (2023). An Exponentiated Skew-Elliptic Nonlinear Extension to the Log–Linear Birnbaum–Saunders Model with Diagnostic and Residual Analysis. Axioms, 12(7), 624. https://doi.org/10.3390/axioms12070624

Note that from the first issue of 2016, this journal uses article numbers instead of page numbers. See further details here.

Article Metrics

Back to TopTop