Next Article in Journal
Solving Feasibility Problems with Infinitely Many Sets
Next Article in Special Issue
Mathematical Model to Calculate Heat Transfer in Cylindrical Vessels with Temperature-Dependent Materials
Previous Article in Journal
Strong and Δ-Convergence Fixed-Point Theorems Using Noor Iterations
Previous Article in Special Issue
Robot Time-Optimal Trajectory Planning Based on Quintic Polynomial Interpolation and Improved Harris Hawks Algorithm
 
 
Font Type:
Arial Georgia Verdana
Font Size:
Aa Aa Aa
Line Spacing:
Column Width:
Background:
Article

Incentive Contracts for a Queueing System with a Strategic Server: A Principal-Agent Perspective

1
College of Science, Liaoning Technical University, Fuxin 123000, China
2
College of Information Science and Engineering, Northeastern University, Shenyang 110819, China
*
Author to whom correspondence should be addressed.
Axioms 2023, 12(3), 272; https://doi.org/10.3390/axioms12030272
Submission received: 8 January 2023 / Revised: 27 February 2023 / Accepted: 3 March 2023 / Published: 6 March 2023
(This article belongs to the Special Issue Applied Mathematical Modeling and Optimization)

Abstract

Queueing systems with strategic servers are common in the service industry. The self-interested service rate decision of the strategic server will be detrimental to the queueing system. To improve the service rates, designing incentive contracts for the server from the queueing system owner’s perspective is critical. This study investigates the incentive contracts of queueing systems under exogenous and endogenous price scenarios. The unit-price and cost-sharing contracts are introduced to coordinate the queueing system. The effects of pricing mechanisms and contract types on the queueing system are investigated theoretically and experimentally. The results reveal that regardless of whether the price scenario is exogenous or endogenous, the cost-sharing contract is more effective than the unit-price contract in incentivizing the server to make a service effort. The cost-sharing contract with endogenous price can reduce the service price. The cost-sharing contract can boost profits for both the owner and server, albeit with conditions.

1. Introduction

The service rate is an essential property of the queueing system, which determines the length of the queue and the benefits of the queueing system [1,2]. The queueing system can use an adjustable service rate to improve profit performance [3,4,5]. In particular, when the service rate is determined by a strategic server [6], the decision-making mechanism of the queueing system must be conducted from the queueing system owner’s perspective.
The service price of the queueing system affects the consumer market demand and determines the arrival rate [7,8]. The service price of the queueing system can be exogenous or endogenous, depending on the characteristics of different service industries [9]. The market determines an exogenous price, while an endogenous price is determined by the queueing system’s owner. Therefore, the optimal decision of the queueing system must be conducted under the exogenous and endogenous price scenarios. Furthermore, the interaction between the service price and service rate must be thoroughly investigated.
A strategic server optimizes the service rate to maximize profit, which can harm the queueing system’s owner and consumers. A moral hazard arises in a queueing system with a strategic server [10]. Therefore, the owner of a queueing system must design incentive contracts for the strategic server based on the principal-agent theory [11].
Maintaining the queueing system’s efficient operation becomes more complicated in a queueing system with strategic servers. Under the principal-agent framework, the owner of the queueing system is the principal, and the strategic server is the agent. Generally, the principal can incentivize the agent to improve the service rate by adjusting their payments. The payment can be expressed as different types of incentive contracts, such as unit-price and cost-sharing contracts.
The combination of pricing modes and contract types enables the authors to study the optimal decisions of the owner and the server under six different scenarios, including the centralized decision-making with exogenous price, the unit-price contract with exogenous price, the cost-sharing contract with exogenous price, the centralized decision-making with endogenous price, the unit-price contract with endogenous price, and the cost-sharing contract with endogenous price. The game mathematical models under different scenarios were established based on the principal-agent theory. The reverse derivation method was used to solve the game models to obtain the equilibrium results. The optimal results under different scenarios were analyzed theoretically and experimentally.
The modeling framework in this study is applicable to the queueing system with a strategic server. The owner of the system can motivate the server to improve the service rate through the incentive contract and adjust the arrival rate of customers through pricing. The real-life applications of this kind of queueing system can be found in restaurants, auto repair shops, ride sharing platform, and outpatient medical services, to name a few [12,13]. For example, the owner of a restaurant can encourage the cook to speed up cooking by increasing the wage, and can attract more consumers by reducing the price of the dishes. The owner of an auto repair shop can raise the wages of the workers to encourage them to speed up their work, and can raise the maintenance prices to avoid the congestion of the repair shop.
The main contributions of this study include two aspects. First, the joint decision-making of the service rate and service price of the queueing system is conducted under a principal-agent framework. In addition, the incentive contracts for the strategic server are designed under the exogenous and endogenous price scenarios. This study also investigates the interaction between the service rate and the service price, as well as the coordination effect of incentive contracts on the queueing system.
The rest of this study is organised as follows. Section 2 reviews the relevant literature and compares our study with the existing literature. Section 3 presents the problem description and notation of this study. Section 4 shows the optimal decisions under exogenous price scenarios. Section 5 gives the optimal decisions under endogenous price scenarios. Section 6 investigates the impact of the decision-making scenarios on the performance of the queueing system. Section 7 numerically presents optimal results for the queueing system. Section 8 concludes this study and identifies future directions for study. All proofs are provided in Appendix A.

2. Literature Review

This study belongs to three streams of the literature: pricing decision for queueing system, effort decision for queueing system, and incentive contract design for queueing system. The primary contribution of our research is to provide bridges among the above three steams. Specifically, our study investigates the pricing and contract design issues from the owner’s perspective of the queueing system. The contracts are used to motivate the server to make the optimal service effort. In the following, a review of related research papers is provided.

2.1. Service Pricing of Queueing System

The service price of the queueing system determines the arrival of consumers and the performance of the queueing system [14,15]. A lower service price can attract more customers to join the queueing system, and vice versa. Therefore, the arrival of customers in the queueing system depends on the service price. Furthermore, the profit of the queueing system depends on the arrival of consumers. This shows that the profit of the queueing system also depends on the service price [16]. Therefore, the service price needs to be optimized to maximize the profit of the queueing system.
Considering that consumers purchase in priority to maximize their utilities, Güler and Bilgiç [16] embedded the inventory-level decision of service facilities in the priority pricing problem of the queueing system. They found that whether time-sensitive consumers join the queueing system depends on the threshold of the inventory level. Different from the above research, Moshe and Oz [17] studied the priority pricing of the server under Stackelberg game, and they found that the server may obtain more revenue under the optimal two-part tariff pricing than that under linear pricing. Considering the patient time and priority of customers in the queueing system, Liu et al. [18] studied the pricing problem under the homogeneous customer scenario and heterogeneous customer scenario and found that the service provider should increase the priority price when customers have patience time. In a queueing system with complementary services, Zhang, Wang, and Wang [19] studied the pricing problem of servers based on the Stackelberg game, and found that the service provider server can obtain more profit than the scheduler server in the mixed pricing scheme. Considering the loss aversion behavior of customers to sojourn time and price, Yang, Guo, and Wang [20] studied the service pricing problem under the scenario of monopoly queueing system and duopoly queueing system, respectively. They found that competition could benefit the server. Zhang and Yin [21] studied public service pricing in different information scenarios for a queue consisting of a free queueing system and a toll queueing system, and found that disclosing queue length information was beneficial to the toll queueing system with the high price range.
Lin, Shang, and Sun [14] studied the dynamic pricing for queues with customer-chosen service time, and they found that the dynamic pricing based on waiting time can improve the utilization of the server. Considering the service provider does not know how the arrival and service rates depend on posted prices, Jia, Shi, and Shen [15] studied adaptive pricing decisions of reusable resource by proposing two effective online learning algorithms. Considering that on-demand service platform performance can be improved by managing user conduct, Mai, Hu, and Pekeč [22] developed an evolutionary game theory model of user conduct and provider responses. They found that supplementing the wage decision with priority matching could serve as an effective strategy to improve platform profitability.

2.2. Service Effort of Queueing System

The queue length and the customer’s sojourn time depend on not only the arrival rate of customers but also on the service rate of the queueing system. The service rate also needs to be optimized. Considering that the customer can strategically choose the free service or the toll service, Guo and Zhang [1] studied the congestion-based staffing policy based on the queueing game. They found that the staffing policy determined the impact of information on the system performance. Sunar and Ziya [2] investigated the social welfare under the scenario of pooled queue and separated queues by considering the customer’s sensitivity to sojourn time, and found that the pooled queue would reduce the social welfare. Gilbert and Weng [23] used the principal-agent theory to study the incentive effect of customer allocation scheme of the service system on the server’s service rate, and found that the separate queue could improve the server’s service rate and achieve the effective incentive. In view of the different queue structures of the service system and the visibility of the server, Shunko, Niederhoff, and Rosokha [24] studied the service rate decision of the server through behavioral experiments. They found that the server had the highest service rate under the scenario of parallel queues and high visibility. Considering the congestion of multiple queueing systems, Yu, Benjaafar, and Gerchak [25] studied capacity sharing and cost allocation among independent firms based on the cooperative game, and found that capacity sharing was not always beneficial.
Considering that the server can strategically choose its service rate to trade-off the idleness value and effort cost, Gopalakrishnan et al. [26] studied the incentive of the server from the perspective of staffing and routing. They found that the staffing must have a first-order term for obtaining the equilibrium solution. Different from the above research, Zhan and Ward [27] jointly studied the decision of staffing and routing and investigated the incentive effect of the payment contract. They found that there existed a symmetric equilibrium service rate under the piece-rate payment. For the outpatient service system of appointment or direct walk-in service, Liu et al. [28] studied service capacity allocation between the two channels, and found that the outpatient service system had no one-size-fits-all mode, which depended on the practice environment. Considering the problem of optimal fleet sizing in a vehicle sharing system, Benjaafar et al. [29] modeled the dynamics of the system using a closed queueing network. They showed important differences between the optimal sizing of standard queueing systems.
The joint optimization of service price and service effort is also studied. For a service facility composed of multiple queues, Ata and Shneorson [3] studied the service pricing and service rate decision of the system manager to maximize the social welfare. They found that the optimal service rate increased with the number of customers in the system. For the competition between the two independent queueing systems, Li, Jiang, and Liu [30] studied the pricing and service rate decision of two service providers based on the Nash game, and found that the service provider never provided a faster service rate at a lower price. For the after-sales service queueing system with strategic customers, Sun et al. [31] used the Stackelberg game method to study the service pricing and number of repairman decisions under the two scenarios with or without the sojourn time constraint. They found that the consumption of spare parts would be reduced even if selling the spare parts became more profitable. Considering the customers’ sensitivities to price and distance, Hoseinpour and Marand [32] studied the decisions of facility location, pricing, and service rate, and found that understanding customers’ behavior was conducive to the service provider’s profitability. Considering that customers are sensitive to service quality, service price, and waiting time, Yu et al. [33] studied the service pricing and wage rate strategy of housekeeping platform under the two scenarios of full market coverage and partial market coverage. They found that partial market was more favorable to the platform than the full market, but not always more favorable to the service suppliers.

2.3. Incentive Contract of Queueing System

When the server is strategic and can optimally select its service rate, the incentive for the server needs to be effectively designed. Considering the private cost information and moral hazard of the server, Jiang, Pang, and Savin [10], based on the principal-agent theory, studied the incentive contract design problem of the service buyer to the server. They found that the threshold-penalty performance-based contract could motivate the server. Considering that the server can dynamically adjust its service rate, Legros [11] studied the incentive contract design of the server under the principal-agent theory. They found that increasing the service rate of the server after the arrival of customers can reduce the proportion of customer churn. In view of the fact that pooling agents may reduce both customer satisfaction and agent payoff, Wang et al. [12] studied incentive contract design in a customer-intensive queueing service system. They found that the practical bonus pooling policy can change the lose–lose situation of pooling agents.
Considering the delay cost of the queueing system caused by the extension of the customer’s sojourn time, Jiang and Abraham [34] studied the joint decision problem of capacity investment and contract design. They found that a traditional incentive contract would provide incorrect incentives and lead to a more congested and less profitable system. Furthermore, considering that the agent has private market information, Jiang and Abraham [35] studied the incentive contract design under different information structures. They found that charging a fixed franchising fee higher than the total costs of capacity not only enabled the firm to obtain the real market information, but also incentivized the agent to make optimal efforts. In order to incentivize the agent to exert effort to raise the arrival rate, Sun and Tian [36] devised a mechanism involving payments and a potential stopping time, and found that the optimal contract had a simple and intuitive structure. Similar to the above work, Taylor [37] considered the uncertainty in customer’s valuation and server’s opportunity cost, and found that not only would the uncertainty in customer’s valuation affect the optimal wage of the server, but also the uncertainty in the server’s opportunity cost would affect the service price. Considering that the customer and the server can optionally join the service system, Bai et al. [38] studied the pricing and payment contract of the on-demand service platform based on the Stackelberg game, and found that the increase in customer request rate made the platform increase the service price. Since the server can freely choose to work or idle, Legros [39] studied the incentive contract design problem of the system manager for servers based on the principal-agent theory. They found that the system manager would incur high costs by incentivizing the server through linear payment. Considering that the service provider does not know whether to penetrate a market directly or through a platform, Benioudakis et al. [40] studied the service pricing and contract design of the reselling mode and the agency selling mode under the queueing system with strategic customers. They found that the revenue-sharing contract was more profitable for the provider than the single-price contract.
Considering that the arrival rate of customers is affected by the service price and the service rate of the queueing system is affected by service effort of the strategic server, this study explores the service pricing and the effort decision of the server under the principal-agent theory. The incentive contract design of the queueing system’s owner for the strategic server is introduced, and its incentive effect on the server’s effort and influence on the owner’s profit are discussed. The contribution of this study is presented in Table 1.
Next, this study briefly reviews the application of pricing and incentive contract design of a queueing system in real life. Table 2 lists the literature of relevant applied research. Service pricing has been applied in the fields of ride sharing platform [38,41,42], electric vehicle charging system [14,43,44], airport congestion pricing [45,46], etc. Service pricing is an effective means to improve the revenue of a queueing system and alleviate congestion. The contract design for the strategic server has been applied to the fields of ride sharing platform [38] and outpatient medical service [10]. Incentive contracts are used to guide servers to improve service efforts to improve queueing system efficiency and customer experience. For the queueing system with strategic servers, this study jointly studies service pricing and incentive contract design. The proposed modeling framework is applicable to any service system with strategic servers, including ride sharing platform, outpatient medical service, and so on. The application of this study is presented in Table 2.

3. Problem Description and Notations

This study investigates the pricing and incentive contract design for a queueing system with an owner and a strategic server from a principal-agent perspective. This queueing system is owned by the owner, who benefits from the consumers’ arrival. The owner entrusts a strategic server with the queueing system’s services and pays it through a contract. The server can strategically make service efforts, which the owner cannot observe in real time. Therefore, the strategic server will strive to maximize its profit, which may be detrimental to the owner and queueing system. In particular, the server tends to reduce the effort due to the effort cost. Hence, the owner must design an effective incentive contract to guide the server to make efforts in favor of the queueing system. A unit-price contract and a cost-sharing contract are introduced sequentially in this study. The incentive effect of the two types of contracts on server effort is analyzed and compared.
Considering that both exogenous and endogenous prices are common in the queueing system, the authors explore the design of incentive contracts under the exogenous and endogenous price scenarios. Under the exogenous price scenario, the queueing system’s service price is determined by the market. When the queueing system provides standardized service, the service price is often unified by the market. Under the endogenous price scenario, the owner decides the queueing system’s service price. The endogenous price will affect the consumers’ arrival and the owner’s profit. Thus, the joint optimization problem of service price decision and incentive contract design needs to be carefully investigated from the perspective of the queueing system’s owner.
According to different pricing modes and contract types, this study conducts research under six decision-making scenarios. This study uses “ x b ” to represent centralized decision-making with exogenous price, “ x u ” to denote unit-price contract with exogenous price, and “ x c ” to indicate cost-sharing contract with exogenous price. This study uses “ n b ” to refer to centralized decision-making with endogenous price, “ n u ” to symbolize unit-price contract with endogenous price, and “ n c ” to represent cost-sharing contract with endogenous price.
The queueing model considered in this study is a standard M / M / 1 queueing system. The customer arrivals are independent and random, i.e., a Poisson process. Let the customers’ arrival rate be λ , and λ = λ 0 α p , where λ 0 denotes the customers’ basic arrival rate and p denotes the queueing system’s service price. Let α denote the marginal effect coefficient of service price on the customers’ arrival rate. Let the server’s service rate be μ , and μ = μ 0 + β e , where μ 0 denotes the server’s basic service rate and e denotes the service effort made by the server. Let β denote the marginal effect coefficient of the effort on the service rate. The effort cost borne by the server is expressed as k e 2 / 2 , where k denotes the effort cost coefficient. This study uses c to denote the unit service cost borne by the owner for serving a customer. The sojourn time of customers refers to the sum of customers’ waiting time in the queue and customers’ service time, which can be denoted as w [20,47,48]. The customers’ experience can be improved by reducing the sojourn time, which subsequently enhances the queueing system’s reputation. The owner can benefit from improving the queueing system’s reputation, and the unit reputation income can be denoted by g.
Under the unit-price contract, the owner pays the server based on the number of customers served. The contractual payment that the server receives for each customer it serves is denoted by r. Under the cost-sharing contract, the owner shares the effort cost of the server, and the sharing proportion is represented by θ . In particular, this study assumes that this sharing proportion can neither be overly large nor overly small, i.e., θ [ θ l , θ h ] , where θ l > 0 and θ h < 1 . All the notations are summarized in Table 3.

4. Optimal Decisions under Exogenous Price

This part studies the incentive mechanism design of the queueing service system under the exogenous price. First, centralized decision-making is considered, in which the owner of the queueing system and the server form an interest community. The interest community decides the optimal service effort to maximize the revenue of the queueing system. Second, decentralized decision-making is considered, in which the owner and server of the queueing system, respectively, decide the unit contract payment and service effort to maximize their respective profits. Finally, a cost-sharing contract is proposed to coordinate the queueing system to address the unit-price contract’s shortcomings.

4.1. Centralized Decision-Making

Centralized decision-making is considered here, that is, the owner and server of the queueing system combine to make a joint decision-making service effort. Therefore, the profit function of the queueing system is
U x b = max e x b { λ p λ c + g λ w k 2 e x b 2 }
where the first item represents the income from customers, the second item denotes the service cost, the third item indicates the reputation income, and the fourth item refers to the effort cost of the queueing system.
By substituting, the queueing system’s profit function can be rewritten as
U x b = max e x b { λ 0 α p [ p c + g μ 0 + β e x b λ 0 + α p ] k 2 e x b 2 } .
It is clear that U x b is concave with e x b . Therefore, the first-order condition solved the service effort. The optimal results are placed in Proposition 1. Proposition 1 proof and all other proofs are shown in Appendix A.
Proposition 1. 
Under the scenario of centralized decision-making with exogenous price, the service effort of the queueing system is e x b = g β ( λ 0 α p ) / k , the service rate of the queueing system is μ x b = μ 0 + [ g β 2 ( λ 0 α p ) ] / k , and the queueing system profit is U x b = ( λ 0 α p ) [ p c + g μ 0 ] + ( λ 0 α p ) 2 [ ( g 2 β 2 / 2 k ) g ] .
Considering that the service effort is nonnegative, this study lets λ 0 α p > 0 . For e x b / g > 0 , it can be observed that g has a positive effect on e x b , that is, with the increase in the unit reputation income, the interest community increases the service effort. For e x b / β > 0 , β positively affects e x b , that is, the greater the marginal effect coefficient of the effort on the service rate, the more willing the interest community is to put in effort. Owing to e x b / λ 0 > 0 , e x b is monotonically increasing with λ 0 . That is, as the customers’ basic arrival rate increases, the interest community increases the service effort. The increased service effort reduces the sojourn time of the customers. For e x b / k < 0 , k negatively impacts e x b , that is, as the coefficient of effort cost increases, the interest community decreases the service effort. Here, raising the service effort is not recommended.
Proposition 1 benchmarks the performance of queueing systems in exogenous price scenarios.

4.2. Unit-Price Contract

Decentralized decision-making is considered here; that is, the owner and server of the queueing system are two subjects. Both the owner and the server are considered risk-neutral in this study. The owner decides the unit contract payment r x u paid to the server, and the server decides the service effort e x u . The profit function of the owner is
Π x u = max r x u { λ p λ c + g λ w r x u μ }
where the first item represents the income from customers, the second item denotes the service cost, the third item indicates the income of reputation, and the fourth item refers to the contract payment paid to the server.
The server’s profit function is
π x u = max e x u { r x u μ k 2 e x u 2 }
where the first and second items represent the contract payment and effort cost, respectively.
By substituting, the owner’s profit function can be rewritten as
Π x u = max r x u { λ 0 α p [ p c + g ( μ 0 + β e x u ) ] g λ 0 α p 2 r x u μ 0 + β e x u }
and the server’s profit function can be rewritten as
π x u = max e x u { r x u μ 0 + β e x u k 2 e x u 2 } .
By solving the model, the equilibrium results of the server’s service effort level and the unit contract payment are obtained. The optimal results are placed in Proposition 2.
Proposition 2. 
Under the scenario of unit-price contract with exogenous price, the service effort is e x u = g β ( λ 0 α p ) / ( 2 k ) ( μ 0 ) / ( 2 β ) , the unit contract payment is r x u = g ( λ 0 α p ) / 2 ( k μ 0 ) / ( 2 β 2 ) . The service rate of the server is μ x u = μ 0 / 2 + [ g β 2 ( λ 0 α p ) ] / ( 2 k ) . The owner’s profit is Π x u = ( λ 0 α p ) ( p c ) g ( λ 0 α p ) 2 + [ g 2 β 4 ( λ 0 α p ) 2 + 2 g k μ 0 β 2 ( λ 0 α p ) + k 2 μ 0 2 ] / ( 4 k β 2 ) and the server’s profit is π x u = g μ 0 ( λ 0 α p ) / 4 + [ g 2 β 2 ( λ 0 α p ) 2 ] / ( 8 k ) ( 3 k μ 0 2 ) / ( 8 β 2 ) .
Proposition 2 shows that μ 0 negatively affects e x u , that is, the greater the basic service rate, the lesser is the service effort made by the server. In contrast to centralized decision-making, the server’s service effort under the unit-price contract scenario depends on the basic service rate. The influence laws of other system parameters on the service effort under the unit-price contract with exogenous price scenario are similar to that under the centralized decision-making with exogenous price scenario and will not be described here.
To investigate the incentive of the unit-price contract for the server’s service effort, the server’s service effort under centralized decision-making with that under the unit-price contract is compared. The results are shown in Corollary 1.
Corollary 1. 
When the service price is exogenous, the service effort under the unit-price contract scenario is lower than that under the centralized decision-making scenario.
Recalling e x b = g β ( λ 0 α p ) / k and e x u = g β ( λ 0 α p ) / ( 2 k ) ( μ 0 ) / ( 2 β ) , it can be found that the server’s service effort under the centralized decision scenario is over two times higher than that under the unit-price contract scenario. To maximize the server’s profit, the server makes service effort under the unit-price contract scenario, which deviates from the optimal effort under centralized decision-making. Corollary 1 shows that the unit-price contract cannot incentivize the server to make the system producce optimal effort. Therefore, a cost-sharing contract will be introduced below to coordinate the queueing system.
Furthermore, the performance of the queueing system profit under the unit-price contract is investigated. Hence, the profit of the queueing system can be compared under centralized decision-making and the unit-price contract. The results are shown in Corollary 2.
Corollary 2. 
When the service price is exogenous, the queueing system’s profit under the unit-price contract scenario is lower than that under the centralized decision-making scenario.
Due to the fact that the server’s service effort under the unit-price contract scenario is reduced relative to the centralized decision-making scenario, a decrease in the profit of the queueing system under the unit-price contract scenario is expected. Corollary 2 shows that the unit-price contract cannot effectively coordinate the queueing system. Therefore, the coordination effect of the cost-sharing contract can be investigated.

4.3. Cost-Sharing Contract

This section considers that the queueing system’s owner utilizes a cost-sharing contract to incentivize the server to put effort into the service process. In this cost-sharing contract, the owner shares the effort cost of the server, and the sharing proportion is θ x c . Therefore, the proportion of effort cost borne by the server is 1 θ x c . Considering that the cost-sharing proportion cannot be overly large or overly small, the authors assume θ x c [ θ l , θ h ] , and θ l , θ h ( 0 , 1 ) . Without loss of generality, the authors assume that the cost-sharing proportion θ x c is determined by the owner.
The owner’s profit function under the cost-sharing contract scenario is
Π x c = max r x c , θ x c { λ p λ c + g λ w r x c μ θ x c 2 k e x c 2 }
where the first, second, third, fourth, and fifth items represent the income from customers, service cost, income of reputation, payment paid to the server, and sharing cost of the owner, respectively.
The server’s profit function under the cost-sharing contract scenario is
π x c = max e x c { r x c μ 1 θ x c 2 k e x c 2 }
where the first item represents the payment and the second item denotes the effort cost.
By substituting, the owner’s profit function can be rewritten as
Π x c = max r x c , θ x c { ( λ 0 α p ) [ p c + g ( μ 0 + β e x c ) ] g ( λ 0 α p ) 2 r x c μ 0 + β e x c θ x c 2 k e x c 2 }
and the server’s profit function can be rewritten as
π x c = max e x c { r x c μ 0 + β e x c 1 θ x c 2 k e x c 2 } .
By solving the model, the equilibrium results of the server’s service effort, the unit contract payment, and the owner’s sharing proportion of the server’s effort cost can be obtained. The optimal results are placed in Proposition 3.
Proposition 3. 
Under the scenario of cost-sharing contract with exogenous price, the service effort of server is e x c = [ g β 2 ( λ 0 α p ) k μ 0 ( 1 θ h ) ] / [ k β ( 2 θ h ) ] , the unit contract payment is r x c = [ g β 2 ( λ 0 α p ) ( 1 θ h ) k μ 0 ( 1 θ h ) 2 ] / [ β 2 ( 2 θ h ) ] , and the owner’s sharing proportion of server’s effort cost is θ x c = θ h . The server’s service rate is μ x c = [ g β 2 ( λ 0 α p ) + k μ 0 ] / [ k ( 2 θ h ) ] . The owner’s profit is Π x c = ( λ 0 α p ) ( p c ) g ( λ 0 α p ) 2 + [ g 2 β 4 ( λ 0 α p ) 2 + 2 g k μ 0 β 2 ( λ 0 α p ) + k 2 μ 0 2 ( 1 θ h ) 2 ] / [ 2 k β 2 ( 2 θ h ) ] , and the server’s profit is π x c = [ g 2 β 4 ( 1 θ h ) ( λ 0 α p ) 2 + 2 g k μ 0 β 2 ( λ 0 α p ) ( 1 θ h ) k 2 μ 0 2 ( 3 θ h ) ( 1 θ h ) 2 ] / [ 2 k β 2 ( 2 θ h ) 2 ] .
Proposition 3 indicates that the owner’s share of the effort cost of the server reaches its upper bound. Recalled θ x c [ θ l , θ h ] , a greater proportion of cost sharing is welcomed by the owner; this is intuitive. Considering the server’s service effort e x c increases with the owner’s sharing proportion of the server’s effort cost θ x c , a larger cost-sharing proportion will prompt the server to make a more significant serving effort.
Furthermore, to explore the incentive effect of the cost-sharing contract, the authors compare the server’s service effort under the aforementioned three decision scenarios when the service price is exogenous. Let Ω 1 = e x b e x c = ( 1 θ h ) [ g β 2 ( λ 0 α p ) + k μ 0 ] / [ k β ( 2 θ h ) ] denote the deviation of service effort under the cost-sharing contract from that under centralized decision-making. The result is shown in Corollary 3.
Corollary 3. 
Compared to the unit-price contract with an exogenous price, the cost-sharing contract increases the service effort of the server, which remains lower than that under centralized decision-making.
Corollary 3 indicates that the owner’s share of the server effort cost motivates the server to increase the effort in the service process. Although the service effort under the cost-sharing contract is lower than that under centralized decision-making, it incentivizes the server. For Ω 1 / θ h = [ g β 2 ( λ 0 α p ) + k μ 0 ] / [ k β ( 2 θ h ) 2 ] < 0 , it can be known that Ω 1 is monotonically decreasing with the sharing proportion θ h , which suggests that an increase in the owner’s sharing proportion decreases the service effort deviation. The greater the sharing proportion is, the closer the server’s service effort under the cost-sharing contract scenario is to that under the centralized decision-making scenario.
Furthermore, to explore the queueing system’s profit of the cost-sharing contract, the authors compare the profit under the above three decision scenarios when the service price is exogenous. Let Φ 1 = U x b U x c = ( 1 θ h ) 2 [ g β 2 ( λ 0 α p ) + k μ 0 ] 2 / [ 2 k β 2 ( 2 θ h ) 2 ] denote the deviation of the queueing system’s profit under the cost-sharing contract from that under centralized decision-making. The results are shown in Corollary 4.
Corollary 4. 
Compared to the unit-price contract with an exogenous price, the cost-sharing contract increases the queueing system’s profit, which remains lower than that under centralized decision-making.
Corollary 4 shows that the cost-sharing contract improves the queueing system’s profit under decentralized decision-making. This means that the owner’s share of the server’s effort cost benefits the queueing system. This is understandable as the cost-sharing contract increases the server’s service effort. It can be noticed that Φ 1 is monotonically decreasing with the sharing proportion θ h , which suggests that the increase in the owner’s sharing proportion decreases the queueing system’s profit deviation.
Furthermore, the performance of the owner and server profits under the aforementioned two contract scenarios is investigated. The results are shown in Corollary 5. For simplicity, the expressions for A 1 are placed in the proof of Corollary 5.
Corollary 5. 
Under the cost-sharing contract scenario, the owner’s profit is always improved, and the server’s profit is improved when θ h is smaller than A 1 .
Corollary 5 indicates that the cost-sharing contract increases the owner’s profit regardless of the value of the sharing proportion θ h . It is profitable for the owner to share the effort cost with the server. However, the cost-sharing contract does not always benefit the server. When the sharing proportion is less than A 1 , the profit obtained by the server from the cost-sharing contract is higher than that obtained from the unit-price contract. Here, both the owner and server prefer the cost-sharing contract. That is, a not-so-big sharing proportion is beneficial to both parties. The cost-sharing contract will harm the server when the sharing proportion is greater than A 1 . For the server, the unit-price contract is more profitable than the cost-sharing contract. Here, the server prefers the unit-price contract. Therefore, a cost-sharing contract with the right sharing proportion can benefit the server, owner, and queueing system.

5. Optimal Decisions under Endogenous Price

This section considers the endogenous price scenario where the service price of the queueing system is determined by the owner. Endogenous price is common in queueing systems. This section studies the incentive mechanism design of the queueing service system under endogenous prices.
This section mainly investigates the following questions on the unit-price contract and the cost-sharing contract. For the owner of the queueing system, under which contract can he set a lower service price? Which contract will drive the server to make greater efforts? Which contract do consumers prefer? The analysis results show that the service effort level under the cost-sharing contract is higher than that under the unit-price contract, while the service price is just the opposite. The cost-sharing contract can make consumers stay in the queueing system for a shorter time. Therefore, the cost-sharing contract is always liked by customers.
The structure of this section is similar to that of Section 4. Based on centralized decision-making, this section first designs a unit-price contract. Thereafter, a cost-sharing contract is proposed to improve the performance of the queueing system.

5.1. Centralized Decision-Making

Centralized decision-making is considered here; that is, the owner and the server combined jointly decide the service price and service effort. Therefore, the profit function of the queueing system is
U n b = max e n b , p n b { λ p n b λ c + g λ w k 2 e n b 2 }
where the first item represents the income from customers, the second item denotes the service cost, the third item indicates income of reputation, and the fourth item refers to the effort cost of the queueing system.
By substituting, the queueing system’s profit function can be rewritten as
U n b = max e n b , p n b { ( λ 0 α p n b ) [ p n b c + g ( μ 0 + β e n b ) ] g ( λ 0 α p n b ) 2 k 2 e n b 2 } .
It is clear that U n b is concave with respect to e n b and p n b . Therefore, the first-order conditions are used to solve the service effort and service price. The optimal results are shown in Proposition 4.
Proposition 4. 
Under the scenario of centralized decision-making with endogenous prices, the service effort of the queueing system is e n b = g β ( λ 0 α c + g α μ 0 ) / [ 2 k ( 1 + g α ) α g 2 β 2 ] and the service price is p n b = [ k ( λ 0 + α c + 2 g α λ 0 g α μ 0 ) α λ 0 g 2 β 2 ] / [ 2 k α ( 1 + g α ) α 2 g 2 β 2 ] . The service rate of queueing system is μ n b = μ 0 + [ g β 2 ( λ 0 c α + g α μ 0 ) ] / [ 2 k ( 1 + g α ) α g 2 β 2 ] .
Owing to e n b / g > 0 , it can be known that g has a positive effect on e n b . As the unit reputation income increases, the interest community increases service effort. For e n b / β > 0 , β positively impacts e n b . That is, the greater the marginal effect coefficient of effort on the service rate is, the more willing the interest community is to make an effort. For e n b / λ 0 > 0 , e n b is monotonically increasing with λ 0 . As the customers’ basic arrival rate increases, the interest community increases the service effort. For e n b / k < 0 , k negatively affects e n b . As the effort cost coefficient increases, the interest community reduces the service effort.
When the service price is endogenous, the service effort under the centralized decision-making is also affected by the basic service rate and the unit service cost, which differs from that under the exogenous price scenario. For e n b / μ 0 > 0 , μ 0 positively affects e n b , that is, the greater the basic service rate, the higher is the service effort. Owing to e n b / c < 0 , e n b is monotonically decreasing with c, that is, as the unit service cost increases, the interest community reduces the service effort.

5.2. Unit-Price Contract

This subsection considers the decentralized decision-making process, which involves two subjects, namely the owner and server of the queueing system. The owner decides the service price p n u , the unit contract payment r n u paid to the server, and the server decides service effort e n u . The owner’s profit function of the owner is
Π n u = max r n u , p n u { λ p n u λ c + g λ w r n u μ }
where the first item represents the income from customers, the second item denotes the service cost, the third item indicates the income of reputation, and the fourth item refers to the contract payment paid to the server.
The server’s profit function is
π n u = max e n u { r n u μ k 2 e n u 2 }
where the first item represents the contract payment and the second item represents effort cost.
By substituting, the owner’s profit function can be rewritten as
Π n u = max r n u , p n u { λ 0 α p n u [ p n u c + g ( μ 0 + β e n u ) ] g λ 0 α p n u 2 r n u μ 0 + β e n u }
and the server’s profit function can be rewritten as
π n u = max e n u { r n u μ 0 + β e n u k 2 e n u 2 } .
By solving the model, the equilibrium results of the server’s service effort, the service price, and the unit contract payment are obtained. The optimal results are shown in Proposition 5.
Proposition 5. 
Under the scenario of unit-price contract with endogenous price, the server’s service effort is e n u = g β 2 λ 0 2 α c + g α μ 0 / [ 8 k 1 + g α 2 α g 2 β 2 ] ( μ 0 ) / ( 2 β ) , the service price is p n u = [ 2 k α c + 2 k λ 0 1 + 2 g α α λ 0 g 2 β 2 k g α μ 0 ] / [ 4 k α 1 + g α α 2 g 2 β 2 ] , and the unit contract payment is r n u = g k ( 2 λ 0 2 α c + g α μ 0 ) / [ 8 k ( 1 + g α ) 2 α g 2 β 2 ] ( k μ 0 ) / ( 2 β 2 ) . The server’s service rate is μ n u = [ 2 k μ 0 ( 1 + g α ) + g β 2 ( λ 0 α c ) ] / [ 4 k ( 1 + g α ) α g 2 β 2 ] .
The effect of the system parameter on the server’s service effort is analyzed. For e n u / μ 0 < 0 , μ 0 negatively affects e n u . As the server’s basic service rate increases, the server reduces the service effort. This is an interesting observation. Under the unit-price contract with endogenous price scenario, the basic service rate negatively affects the service effort, which differs from that under the centralized decision-making with endogenous price scenario. The possible reasons are as follows. Under the centralized decision-making scenario, improving the basic service rate enables the interest community to reduce the service price to attract customers, which may extend the customers’ sojourn time. Here, the interest community addresses the issue by improving the service effort. However, the server is reluctant to work hard under the unit-price contract scenario. The increase in the basic service rate causes the server to reduce the service effort. This observation also illustrates that the unit-price contract cannot effectively incentivize the server.
Furthermore, the incentive effect of the unit-price contract on the server under the endogenous price scenario is explored, and the results are shown in Corollary 6.
Corollary 6. 
When the service price is endogenous, the service effort under the unit-price contract scenario is lower than that under the centralized decision-making scenario.
Corollary 6 demonstrates that the unit-price contract cannot incentivize the server to make the system optimal effort under the endogenous price scenario, which is the same as that under the exogenous price scenario. Therefore, a cost-sharing contract will be introduced below to coordinate the queueing system.
Here, the service price under the centralized decision-making with that under the unit-price contract is compared, and the results are shown in Corollary 7.
Corollary 7. 
The service price under the unit-price contract scenario is higher than that under the centralized decision-making scenario.
Corollary 7 indicates that the queueing system’s owner increases the service price under the unit-price contract scenario. Under the unit-price contract scenario, the owner and the server maximize their profit objective function, respectively, which causes the equilibrium strategy of the service price and service effort to deviate from the optimal strategy under the centralized decision-making scenario. A drop in the service effort causes a decrease in the server’s service rate, resulting in consumers spending more time in the queueing system. Therefore, the owner reduces the customers’ arrival rate by raising the service price.

5.3. Cost-Sharing Contract

Given that the unit-price contract does not enable the server and owner to optimize the system’s service effort and service price, this section utilizes a cost-sharing contract to coordinate the queueing system. Under the cost-sharing contract with endogenous price, the proportion of effort cost borne by the owner is θ n c and the proportion of effort cost borne by the server is 1 θ n c , where θ n c [ θ l , θ h ] , and θ l , θ h ( 0 , 1 ) .
Now, the owner’s profit function is
Π n c = max r n c , θ n c , p n c { λ p n c λ c + g λ w r n c μ θ n c 2 k e n c 2 }
and the server’s profit function is
π n c = max e n c { r n c μ 1 θ n c k 2 e n c 2 } .
By substituting, the owner’s profit function can be can rewritten as
Π n c = max r n c , θ n c , p n c { ( λ 0 α p n c ) [ p n c c + g ( μ 0 + β e n c ) ] g ( λ 0 α p n c ) 2 r n c ( μ 0 + β e n c ) θ n c 2 k e n c 2 }
and the server’s profit function can be can rewritten as
π n c = max e n c { r n c μ 0 + β e n c 1 θ n c k 2 e n c 2 } .
By solving the model, the equilibrium results of the server’s service effort, the service price, the unit contract payment, and the owner’s sharing proportion of the server’s effort cost are obtained. The optimal results are placed in Proposition 6.
Proposition 6. 
Under the scenario of cost-sharing contract with endogenous price, the server’s service effort is e n c = [ g β 2 ( λ 0 α c + g α μ 0 ) 2 k μ 0 ( 1 θ h ) ( 1 + g α ) ] / [ 2 k β ( 2 θ h ) ( 1 + g α ) α g 2 β 3 ] , the service price is p n c = [ k ( 2 θ h ) ( λ 0 + α c + 2 g α λ 0 ) α λ 0 g 2 β 2 k g α μ 0 ] / [ 2 k α ( 2 θ h ) ( 1 + g α ) α 2 g 2 β 2 ] , the unit contract payment is r n c = { g k β 2 ( 1 θ h ) ( λ 0 α c + g α μ 0 ) 2 μ 0 k 2 ( 1 + g α ) ( 1 θ h ) 2 } / [ 2 k β 2 ( 2 θ h ) ( 1 + g α ) α g 2 β 4 ] , and the owner’s sharing proportion of server’s effort cost is θ n c = θ h . The server’s service rate of server is μ n c = { g β 2 ( λ 0 α c ) + 2 k μ 0 ( 1 + g α ) } / [ 2 k ( 2 θ h ) ( 1 + g α ) α g 2 β 2 ] .
The effect of system parameters on the server’s service effort can be analyzed. Owing to e n c / θ h > 0 , it can be obtained that the server’s service effort monotonically increases with the owner’s sharing proportion θ h . Increasing the owner’s sharing proportion will incentivize the server to increase the service effort. Observed that e n c / μ 0 = [ α g 2 β 2 2 k ( 1 θ h ) ( 1 + g α ) ] / [ 2 k β ( 2 θ h ) ( 1 + g α ) α g 2 β 3 ] } , it cannot be verified whether it is positive or negative. Therefore, the basic service rate on the service effort is not monotonic.
Furthermore, the incentive effect of the cost-sharing contract with the endogenous price is explored by comparing the server’s service effort under the above three decision-making scenarios. The results are shown in Corollary 8.
Corollary 8. 
Compared to the unit-price contract with endogenous price, the cost-sharing contract increases the server’s service effort, which remains lower than that under the centralized decision-making scenario.
Corollary 8 indicates that when the service price is endogenous, the cost-sharing contract can incentivize the server to make a larger service effort than the unit-price contract. Due to the upper bound on the cost-sharing proportion, the cost-sharing contract cannot prompt the server to make the same service effort as that under the centralized decision-making scenario. Recalling Corollary 3, it can be argued that regardless of whether the price is exogenous or endogenous, the owner’s sharing of the server’s effort cost motivates the server to increase service effort.
Furthermore, the service price under the above three decision-making scenarios is compared, and the results are shown in Corollary 9.
Corollary 9. 
Compared to the unit-price contract with endogenous price, the cost-sharing contract decreases the service price, which remains higher than that under the centralized decision-making scenario.
Corollary 9 indicates that the cost-sharing contract makes the owner set a lower service price than the unit-price contract. Considering the negative impact of the service price on the arrival rate of customers, the cost-sharing contract can improve the arrival rate of customers. The cost-sharing contract improves the queueing system’s performance under the decentralized decision-making scenario. The service price under the cost-sharing contract scenario deviates from that under the centralized decision-making scenario, which is determined by the upper bound of the cost-sharing proportion.

6. Results Analysis

This section theoretically analyzes the service price and service effort strategy of the queueing system under the aforementioned six decision-making scenarios. It provides the impact of the decision-making scenarios on the queueing system’s performance. To reveal the impact of the decision-making scenarios on the queueing system, it can be listed that the service effort, service price, and the sojourn time of the customers under the above six decision-making scenarios. The results are shown in Table 4, where Δ 1 = λ 0 α c , Δ 2 = k μ 0 ( 1 + g α ) , Δ 3 = ( λ 0 + α c + 2 g α λ 0 g α μ 0 ) , Δ 4 = α λ 0 g 2 β 2 .
Recalling Corollaries 3 and 8, regardless of whether the price is exogenous or endogenous, the service effort under the centralized decision-making scenario is the highest, followed by the service effort under the cost-sharing contract scenario. However, it is difficult to distinguish between the rank service efforts under the exogenous and endogenous price scenarios, which depend on the exogenous price. Therefore, the authors focus on providing the value condition of p, which makes the minimum service effort under the endogenous price scenarios not lower than the maximum service effort under exogenous price scenarios.
By simple sorting, it can obtained that the service effort under the scenario of unit-price contract with endogenous price is not lower than that under the scenario of centralized decision-making with exogenous price when p > p n u + Δ 5 , where Δ 5 = [ k g β 2 ( λ 0 α c ) + 2 μ 0 ( 1 + g α ) k 2 ] / g α β 2 [ 4 k ( 1 + g α ) α g 2 β 2 ] . p n u is the maximum endogenous price, and Δ 5 is greater than 0. Therefore, the above condition states that regardless of the contract type, a sufficiently large exogenous price will make the service effort under the exogenous price scenarios fail to catch up with that under the endogenous price scenarios. Once the above condition is met, the service effort under the six decision-making scenarios can be ranked. The service rate of the queueing system is uniquely determined by the service effort, and it can be inferred that the above condition makes the service rate under the centralized decision-making scenario with the endogenous price the highest and that under the unit-price contract scenario with the exogenous price the lowest.
Now, the authors focus on the service price of the queueing system. Recalling Corollary 9, the price under the centralized decision-making scenario is the lowest when the service price is endogenous. Considering that the customers’ arrival rate is uniquely determined by the service price of the queueing system, the customers’ arrival rate is the highest under the centralized decision-making with endogenous price scenario. It is noted that the exogenous price is determined by the market. It can be higher or lower than the endogenous price determined by the queueing system’s owner. Once the exogenous price is lower than the endogenous price under the centralized decision-making scenario, the customers’ arrival rate under the endogenous price scenarios will always be lower than that under the exogenous price scenarios. However, this is precisely the advantage of endogenous price to the queueing system. The excessive customers’ arrival rate due to excessively low service price will prolong the customers’ sojourn time, which is not good for the queueing system. Alternatively, a sufficiently small service price will harm the queueing system even though it increases the customers’ arrival rate. Furthermore, the queueing system would reject an excessively high service price. The authors do not provide further discussion.
Now, the sojourn time of the customers is discussed. It is not difficult to see from Table 4 that regardless of whether the price is exogenous or endogenous, the sojourn time of customers under the centralized decision-making scenario is the smallest, followed by that under the cost-sharing contract scenario, and that under the unit-price contract scenario is the biggest. Considering that the consumer pays a fixed service price under the exogenous price scenario, the extended sojourn time is not preferred by the consumer. However, the extension of the sojourn time under the endogenous price scenario may mean more to the consumer, because the consumer is now required to pay a changing service price. Under the unit-price contract, the consumer pays the highest service price and stays the longest. Thus, the cost-sharing contract improves the queueing system in terms of service effort, service price, and the sojourn time of the customers.
Now, the relationship between the sojourn time can be investigated under the exogenous and endogenous price scenarios, which depend on the exogenous price. Hence, the value range of the exogenous price by comparing the shortest sojourn time under the exogenous price scenarios and the longest sojourn time under the endogenous price scenarios can be provided. By simple sorting, it can be obtained that the sojourn time of customers under the scenario of unit-price contract with endogenous price is not higher than that under the scenario of centralized decision-making with exogenous price when p > p n u + Δ 6 , where Δ 6 = [ k g β 2 ( λ 0 α c ) + 2 μ 0 ( 1 + g α ) k 2 ] / { α ( g β 2 k ) [ 4 k ( 1 + g α ) α g 2 β 2 ] } . Once the above condition is satisfied, the sojourn time of customers under the six decision-making scenarios can be ranked. Here, the sojourn time of consumers under the unit-price contract with the exogenous price scenario is the longest, and that under the scenario of centralized decision-making with the endogenous price is the shortest. Considering that the endogenous price is minimal under the centralized decision-making scenario, the consumer prefers the centralized decision-making scenario with the endogenous price.

7. Numerical Results

This section uses numerical experiments to investigate the performance of the server’s service effort, the sojourn time of consumers, and the profit of the queueing system under different decision-making scenarios. This study discusses the impact of different decision-making scenarios on the optimal results of the queueing system. This study also discusses contract options for the owner, server, and queueing system. The basic parameter settings are shown in Table 5. To compare the optimal results under the exogenous and endogenous price scenarios, this study lets the exogenous price vary in the interval [ 10 , 400 ] .
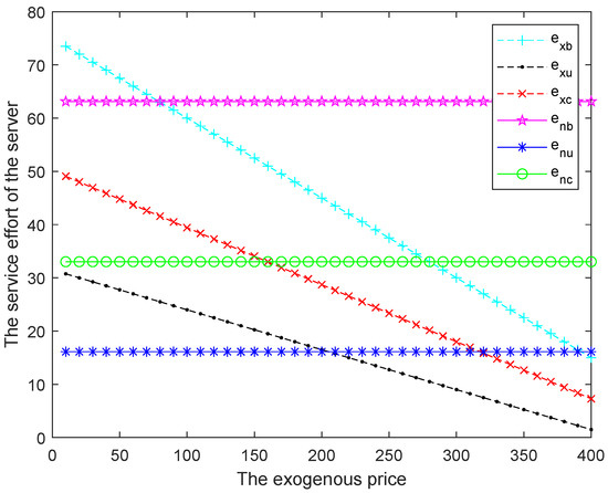
Figure 1 and Figure 2 show the service effort trends and sojourn time of customers with the exogenous price under different decision-making scenarios, respectively.
Figure 1 shows that when the service price is exogenous, the server’s service effort decreases with the service price, which is independent of the decision-making scenarios. An increase in the service price reduces the customers’ arrival rate, which allows the server to reduce the effort cost. When the service price is endogenous, the service effort does not change with the exogenous price. Figure 1 also shows that regardless of whether the price is exogenous or endogenous, the server’s service effort under the centralized decision-making scenario is the greatest, followed by that under the cost-sharing contract scenario, and that under the unit-price contract scenario is the smallest. These observations are consistent with Corollaries 3 and 8.
Furthermore, the authors compare the service effort under the exogenous price scenarios with that under the endogenous price scenarios. The relationship between them varies, which depends on the exogenous price. Figure 1 shows an intersection between the two service effort curves under the centralized decision-making scenarios. It can be easily inferred that the abscissa of this intersection is the optimal endogenous price under the centralized decision-making scenario. When the exogenous price is lower than the endogenous price, the service effort under the exogenous price scenario is higher than that under the endogenous price scenario. Conversely, the service effort under the exogenous price scenario is lower than that under the endogenous price scenario. Similar laws also exist under the unit-price and the cost-sharing contract scenarios. In addition, it can be found that the service effort under the unit-price contract scenario with endogenous price can be higher than that under the cost-sharing contract scenario with exogenous price, which is consistent with Section 6.
Figure 2 shows that when the service price is exogenous, the customers’ sojourn time increases with the service price, which is independent of the decision-making scenarios. An increase in the service price reduces the server’s service effort, which prolongs the customers’ sojourn time in the queueing system. Figure 2 also shows that regardless of whether the price is endogenous or exogenous, the customers’ sojourn time under the cost-sharing contract scenario is closer to that under the centralized decision-making scenario than that under the unit-price contract. This suggests that the cost-sharing contract improves the performance of the queueing system and benefits the consumer.
Furthermore, it can be compared that the sojourn time of customers under the exogenous price scenarios with that under the endogenous price scenarios. The relationship between them varies, which depends on the exogenous price. Figure 2 shows an intersection between the two sojourn time curves under the unit-price contract scenarios. It can be inferred that the abscissa of this intersection is the optimal endogenous price under the unit-price contract scenario. When the exogenous price is lower than the endogenous price, the sojourn time under the exogenous price scenario is shorter than that under the endogenous price scenario. Here, the consumer pays less and gets faster service. Thus, the consumer benefits from a low exogenous price. However, when the exogenous price is higher than the endogenous price, the opposite is true, and the exogenous price will be detrimental to the consumer. Similar laws also exist under centralized decision-making and cost-sharing contract scenarios.
Furthermore, the contract options for the owner and the server under the different price scenarios are discussed. Figure 3 shows the variation trend of the owner’s profit with the exogenous price and the sharing proportion. Figure 4 shows the variation trend of the server’s profit with the exogenous price and the sharing proportion.
Figure 3 shows the contract scenarios in which the owner obtains the highest and lowest profit. The owner’s profit under the cost-sharing contract scenario with endogenous price is the highest, and that under the unit-price contract scenario with exogenous price is the lowest. This relationship is not affected by the exogenous price and the sharing proportion.
Figure 3 also shows that under the unit-price contract scenarios, the endogenous service price mostly benefits the owner. The owner’s profit corresponding to the optimal exogenous price is equal to that under the endogenous price scenario. This also holds for cost-sharing contracts.
Figure 3 also presents suggestions for the owner’s contract selection. Regardless of the value of sharing proportion and exogenous price, the cost-sharing contract with endogenous price is always chosen first. Regardless of the value of sharing proportion and exogenous price, the unit-price contract with exogenous price is always chosen last. Regardless of whether the price is exogenous or endogenous, the cost-sharing contract is always the owner’s choice.
Figure 4 shows that under the joint influence of exogenous price and sharing proportion, the relationship between the server’s profits under the four contract scenarios is not certain. There is no certain contract scenario in which the server earns the maximum or minimum profit regardless of the value of the exogenous price and sharing proportion. When the sharing proportion is sufficiently large, the unit-price contract will benefit the server regardless of whether the price is exogenous or endogenous. On the contrary, the cost-sharing contract will benefit the server. In addition, regardless of the unit-price contract scenario or the cost-sharing contract scenario, a small exogenous price always benefits the server. When the exogenous price is high, the endogenous price will benefit the server.
Figure 4 also presents suggestions on contract selection for the server. The server’s choice of contract depends on the exogenous price and sharing proportion. When the sharing proportion is not excessively large, regardless of the exogenous or endogenous price scenario, a cost-sharing contract is more suitable for the server than a unit-price contract. Here, the server should choose the cost-sharing contract to maximize its profit. However, when the sharing proportion is excessively large, regardless of the exogenous or endogenous price scenario, the server obtains a larger profit from the unit-price contract than the cost-sharing contract. Here, it is optimal for the server to choose the unit-price contract.

8. Conclusions

In a queueing system where the server can strategically adjust the service rate to maximize its profit, the problem of incentives for strategic server arises. Considering the owner of the queueing system as the principal and the strategic server as the agent, this study investigates the incentive and pricing problems of the queueing system from the principal-agent perspective. For an M/M/1 queueing system, incentive contracts for the strategic server are designed under exogenous price and endogenous price scenarios, respectively. The unit-price contract and the cost-sharing contract are introduced to motivate the strategic server. Based on different combinations of pricing modes and contract types, this study defines six decision-making scenarios, including the centralized decision-making with exogenous price, the unit-price contract with exogenous price, the cost-sharing contract with exogenous price, the centralized decision-making with endogenous price, the unit-price contract with endogenous price, and the cost-sharing contract with endogenous price. The game mathematical models between the owner and the server under different decision-making scenarios are constructed based on the principal-agent theory. The reverse derivation method is used to solve those game models. Theoretical analysis and numerical experiments are used to discuss the equilibrium strategies of service effort and service price. The influence of the parameters of the queueing system on the optimal results is investigated. The main conclusions obtained in this study are summarized as follows.
First, regardless of the exogenous price scenario or endogenous price scenario, the cost-sharing contract is more effective than the unit-price contract in incentivizing the server to make service efforts. The service effort of the server under the centralized decision-making is the highest, followed by that under the cost-sharing contract, and that under the unit-price contract is the lowest. Compared to unit-price contracts, cost-sharing contracts can lead a strategic server to make higher service efforts to improve the service rate of the queueing system.
Second, the cost-sharing contract with endogenous price can reduce the service price. When the service price is endogenous, the service price under the centralized decision-making is the lowest, followed by that under the cost-sharing contract, and that under the unit-price contract is the highest. Compared with the unit-price contract, the cost-sharing contract allows the owner of the queueing system to set a lower service price to increase customer arrivals.
Finally, the cost-sharing contract can boost profits for both the owner and server, albeit with conditions. When the service price is exogenous, the cost-sharing contract improves system profit relative to the unit-price contract. When the owner’s cost-sharing proportion is within a certain range, the cost-sharing contract with exogenous price can benefit both the owner and server. This conclusion can also be observed numerically when the service price is endogenous.
This study investigates incentive contracts for strategic server in queueing systems. A strategic marketing agency in the queueing system may also exist that that makes sales efforts to increase customer arrival rates. Therefore, studying incentives for the queueing system with strategic marketing agents can be a future research direction. Furthermore, the information between the owner of the queueing system and the server may be asymmetric. Another research direction can be the design of incentive contracts for queueing systems under asymmetric information. Monte Carlo analysis and parameter sensitivity analyses can be used to further expand the applicability of the modeling framework.

Author Contributions

J.T., X.H. and M.H. have contributed equally to the work. All authors have read and agreed to the published version of the manuscript.

Funding

This study was supported by the National Natural Science Foundation of China (51704140), Natural Science Foundation of Liaoning Province (2021-MS-340), Foundation of the Education Department of Liaoning Province (LJKZ0347), Humanities and Social Sciences Project of Chongqing Municipal Education Commission (20SKGH163).

Institutional Review Board Statement

Not applicable.

Informed Consent Statement

Not applicable.

Data Availability Statement

Not applicable.

Conflicts of Interest

The authors declare no conflict of interest.

Appendix A

Proof of Proposition 1. 
The queueing system’s profit is described in Equation (1) and the optimal service effort can be solved from this equation. Before solving, the concavity of Equation (1) with e x b can be first discussed. For d 2 U x b d e x b 2 = k < 0 , it can be obtained that Equation (1) is concave with e x b . Therefore, using the first-order condition d U x b d e x b = 0 , the optimal service effort e x b = g β Λ k is obtained, where Λ = λ 0 α p . Then, the server’s service rate μ x b = μ 0 + g β 2 Λ k is obtained. Substituting e x b into Equation (1), the profit of the queueing system can be obtained. The proof of Proposition 1 is completed. □
Proof of Proposition 2. 
Under a decentralized decision-making scenario, the owner decides r x u to maximize the profit in Equation (2), while the server decides e x u to maximize the profit in Equation (3). First, the server’s service effort decision is analyzed. Due to d 2 π x u d e x u 2 = k < 0 , it can be known that Equation (3) is concave with e x u . Therefore, using the first-order condition d π x u d e x u = 0 , the service effort e x u = r x u β k is obtained. Substituting e x u into Equation (2), the owner’s profit can be rewritten as
Π x u = ( λ 0 α p ) ( p c ) + [ g ( λ 0 α p ) r x u ] ( μ 0 k + r x u β 2 ) k g ( λ 0 α p ) 2 .
Next, the unit contract payment decision of the owner is analyzed. For d 2 Π x u d r x u 2 = 2 β 2 k < 0 , it can be known that Equation (A1) is concave with r x u . Therefore, using the first-order condition d Π x u d r x u = 0 , the unit contract payment r x u = g Λ β 2 k μ 0 2 β 2 is got, where Λ = λ 0 α p . Then, the service effort e x u = g β Λ 2 k μ 0 2 β and the server’s service rate μ x u = μ 0 2 + g Λ β 2 2 k are got. Considering the service effort cannot be negative, there is g Λ β 2 k μ 0 0 . Substituting r x u , e x u into Equations (2) and (3), the owner’s profit and the server’s profit are obtained. The proof of Proposition 2 is completed. □
Proof of Corollary 1. 
Taking the difference between the service effort in Proposition 1 and that in Proposition 2, the deviation of service effort e x b e x u = g Λ β 2 k + μ 0 2 β is got, where Λ = λ 0 α p . Obviously, e x u < e x b . The proof of Corollary 1 is completed. □
Proof of Corollary 2. 
Taking the sum of the owner’s profit and the server’s profit in Proposition 2, the queueing system profit U x u = Λ [ 4 ( p c ) + 3 g μ 0 ] 4 + Λ 2 ( 3 g 2 β 2 8 k g ) 8 k k μ 0 2 8 β 2 is obtained, where Λ = λ 0 α p . Furthermore, taking the difference between the queueing system profit in Proposition 1 and U x u , U x b U x u = 2 g k μ 0 Λ β 2 + g 2 Λ 2 β 4 + k 2 μ 0 2 8 k β 2 is got. Evidently, U x b > U x u . The proof of Corollary 2 is completed. □
Proof of Proposition 3. 
Note that under the cost-sharing contract with exogenous price scenario, the owner decides r x c and θ x c to maximize the profit in Equation (4), and the server decides e x c to maximize the profit in Equation (5). First, the service effort decision of the server is analyzed. For d 2 π x c d e x c 2 = k ( 1 θ x c ) < 0 , it can be obtained that Equation (5) is concave with e x c . Therefore, using the first-order condition d π x c d e x c = 0 , the service effort e x c = r x c β k ( 1 θ x c ) is obtained. Substituting e x c into Equation (4), the owner’s profit can be rewritten as
Π x c = Λ ( p c ) + g Λ ( μ 0 Λ ) + r x c β 2 ( g Λ r x c ) k ( 1 θ x c ) r x c μ 0 θ x c r x c 2 β 2 2 k ( 1 θ x c ) 2 .
Now, the owner’s decision of unit contract payment and sharing proportion is analyzed. To obtain them, the authors take the derivative and obtain the corresponding Hessian matrix:
H 1 = β 2 k ( 1 θ x c ) 2 ( 2 θ x c ) g Λ ( 1 θ x c ) r x c ( 3 θ x c ) ( 1 θ x c ) g Λ ( 1 θ x c ) r x c ( 3 θ x c ) ( 1 θ x c ) 2 g r x c Λ ( 1 θ x c ) r x c 2 ( 4 θ x c ) ( 1 θ x c ) 2 .
Note that determinant of Hessian matrix H 1 = β 4 [ r x c g Λ ( 1 θ x c ) ] 2 k 2 ( 1 θ x c ) 6 < 0 , it can be argued that the Hessian matrix is indefinite. Therefore, Equation (A2) with first-order conditions cannot be solved. Note that Π x c θ x c = r x c β 2 [ 2 g Λ ( 1 θ x c ) r x c ( 3 θ x c ) ] [ 2 k ( 1 θ x c ) 3 ] , the authors find Π x c θ x c > 0 when r x c < 2 g Λ ( 1 θ x c ) 3 θ x c . Then, Π x c increases when θ x c is obtained. Considering that the sharing proportion cannot be greater than θ h , the owner optimally sets θ x c = θ h . Substituting θ x c into Equation (A2), the owner’s profit can be rewritten as
Π x c = Λ ( p c ) + g Λ ( μ 0 Λ ) + r x c β 2 ( g Λ r x c ) k ( 1 θ h ) r x c μ 0 θ h r x c 2 β 2 2 k ( 1 θ h ) 2 .
For d 2 Π x c d r x c 2 = 2 β 2 k ( 1 θ h ) θ h β 2 k ( 1 θ h ) 2 < 0 , it can be obtained that Equation (A3) is concave with r x c . Using the first-order condition d Π x c d r x c = 0 , the unit contract payment r x c = g Λ β 2 ( 1 θ h ) k μ 0 ( 1 θ h ) 2 β 2 ( 2 θ h ) is got, where Λ = λ 0 α p . Then, the service effort e x c = g Λ β 2 k μ 0 ( 1 θ h ) k β ( 2 θ h ) and the server’s service rate μ x c = g Λ β 2 + k μ 0 k ( 2 θ h ) are obtained. Substituting e x c , r x c and θ x c into Equation (4) and Equation (5), the owner’s profit and the server’s profit are obtained. The proof of Proposition 3 is completed. □
Proof of Corollary 3. 
Taking the difference between the service effort in Proposition 1 and that in Proposition 3, e x b e x c = ( 1 θ h ) ( g Λ β 2 + k μ 0 ) k β ( 2 θ h ) is obtained, where Λ = λ 0 α p . Obviously, e x b > e x c . Taking the difference between the service effort in Proposition 3 and that in Proposition 2, the deviation of service effort e x c e x u = θ h ( g Λ β 2 + k μ 0 ) 2 k β ( 2 θ h ) is obtained. Evidently, e x c > e x u . Thus, e x b > e x c > e x u is obtained. The proof of Corollary 3 is completed. □
Proof of Corollary 4. 
Taking the sum of the owner’s profit and the server’s profit in Proposition 3, the queueing system profit U x c = g 2 Λ 2 β 4 ( 3 2 θ h ) + 2 g k μ 0 Λ β 2 ( 3 2 θ h ) k 2 μ 0 2 ( 1 θ h ) 2 2 k β 2 ( 2 θ h ) 2 + Λ ( p c ) g Λ 2 is obtained, where Λ = λ 0 α p . Furthermore, taking the difference between the queueing system profit in Proposition 1 and U x c , U x b U x c = ( 1 θ h ) 2 ( g Λ β 2 + k μ 0 ) 2 2 k β 2 ( 2 θ h ) 2 is obtained. It is clear that U x b > U x c . Similarly, taking the difference between the queueing system profit under the cost-sharing contract and that under the unit-price contract, U x c U x u = θ h ( 4 3 θ h ) ( g Λ β 2 + k μ 0 ) 2 8 k β 2 ( 2 θ h ) 2 is obtained. Evidently, U x c > U x u . Thereafter, U x b > U x c > U x u is obtained. The proof of Corollary 4 is completed. □
Proof of Corollary 5. 
Taking the difference between the profit of owner in Proposition 2 and that in Proposition 3, Π x c Π x u = θ h [ g 2 Λ 2 β 4 + 2 g Λ β 2 k μ 0 + k 2 μ 0 2 ( 2 θ h 3 ) ] 4 k β 2 ( 2 θ h ) is obtained. For g Λ β 2 k μ 0 > 0 , it can be obtained that g 2 Λ 2 β 4 + 2 g Λ β 2 k μ 0 + k 2 μ 0 2 ( 2 θ h 3 ) > 3 k 2 μ 0 2 + k 2 μ 0 2 ( 2 θ h 3 ) > 0 . That is, regardless of the value of θ h , there is always Π x c > Π x u . Furthermore, taking the difference between the server’s profit in Propositions 2 and 3, π x c π x u = θ h [ θ h g 2 Λ 2 β 4 2 θ h k g μ 0 Λ β 2 + k 2 μ 0 2 ( 4 θ h 2 17 θ h + 16 ) ] 8 ( 2 θ h ) 2 k β 2 is obtained. Let π x c = π x u , the authors find two values of θ h :
θ h 1 = A 1 = g 2 Λ 2 β 4 + 2 g k μ 0 Λ β 2 + 17 k 2 μ 0 2 ( g Λ β 2 + k μ 0 ) g 2 Λ 2 β 4 + 2 g k μ 0 Λ β 2 + 33 k 2 μ 0 2 8 k 2 μ 0 2 ,
θ h 2 = g 2 Λ 2 β 4 + 2 g k μ 0 Λ β 2 + 17 k 2 μ 0 2 + ( g Λ β 2 + k μ 0 ) g 2 Λ 2 β 4 + 2 g k μ 0 Λ β 2 + 33 k 2 μ 0 2 8 k 2 μ 0 2 .
For θ h 2 > 1 , the authors argue that π x c > π x u when θ h < A 1 , and π x c < π x u when θ h ( A 1 , 1 ) . This means that the server’s profit is improved when θ h is smaller than A 1 . The proof of Corollary 5 is completed. □
Proof of Proposition 4. 
When the service price is endogenous, the queueing system’s profit is described in Equation (6), and the optimal service effort and service price can be solved from this equation. Before solving, the concavity of Equation (6) with e n b and p n b can be first discussed. By taking the derivation, the corresponding Hessian matrix can be obtained:
H 2 = k g α β g α β 2 α ( 1 + g α ) .
The Hessian matrix is negative definite when 2 k ( 1 + g α ) > α g 2 β 2 . Using the first-order conditions U n b e n b = 0 and U n b p n b = 0 , the optimal effort e n b = g β ( λ 0 c α + g α μ 0 ) 2 k ( 1 + g α ) α g 2 β 2 and the optimal service price p n b = k ( λ 0 + α c + 2 g α λ 0 g α μ 0 ) α λ 0 g 2 β 2 2 k α ( 1 + g α ) α 2 g 2 β 2 are obtained. Then, the service rate of queueing system is μ n b = μ 0 + g β 2 ( λ 0 c α + g α μ 0 ) 2 k ( 1 + g α ) α g 2 β 2 . The proof of Proposition 4 is completed. □
Proof of Proposition 5. 
Note that under the scenario of unit-price contract with endogenous price, the owner decides p n u and r n u to maximize the profit in Equation (7), and the server decides e n u to maximize the profit in Equation (8). First, the server’s service effort decision is analyzed. Owing to d 2 π n u d e n u 2 = k < 0 , Equation (8) is concave with e n u . Therefore, using the first-order condition d π n u d e n u = 0 , the service effort e n u = r n u β k is obtained. Substituting e n u into Equation (7), the owner’s profit can be rewritten as
Π n u = ( λ 0 α p n u ) ( p n u c ) + [ g ( λ 0 α p n u ) r n u ] ( μ 0 k + r n u β 2 ) k g ( λ 0 α p n u ) 2 .
Furthermore, the concavity of Equation (A4) with r n u and p n u is discussed. By taking the derivation, the corresponding Hessian matrix can be obtained:
H 3 = 2 β 2 k g α β 2 k g α β 2 k 2 α ( 1 + g α ) .
The authors note that the Hessian matrix is negative definite when 2 k ( 1 + g α ) > α g 2 β 2 . Using the first-order conditions Π n u r n u = 0 and Π n u p n u = 0 , the unit contract payment r n u = g k ( 2 λ 0 2 α c + g α μ 0 ) 8 k ( 1 + g α ) 2 α g 2 β 2 k μ 0 2 β 2 and the service price p n u = 2 c k α + 2 k λ 0 ( 1 + 2 g α ) α λ 0 g 2 β 2 g k α μ 0 4 k α ( 1 + g α ) α 2 g 2 β 2 are obtained. Thereafter, the server’s service effort e n u = g β ( 2 λ 0 2 α c + g α μ 0 ) 8 k ( 1 + g α ) 2 α g 2 β 2 μ 0 2 β and the server’s service rate μ n u = 2 k μ 0 ( 1 + g α ) + g β 2 ( λ 0 α c ) 4 k ( 1 + g α ) α g 2 β 2 are obtained. The proof of Proposition 5 is completed. □
Proof of Corollary 6. 
Taking the difference between the server’s service effort in Proposition 4 and that in Proposition 5, e n b e n u = 2 k ( 1 + g α ) [ g β 2 ( λ 0 α c ) + 2 k μ 0 ( 1 + g α ) ] [ 2 k β ( 1 + g α ) α g 2 β 3 ] [ 4 k ( 1 + g α ) α g 2 β 2 ] is obtained. It can be observe that e n b > e n u . The proof of Corollary 6 is completed. □
Proof of Corollary 7. 
Taking the difference between the service price in Proposition 5 and that in Proposition 4, p n u p n b = k α 2 g 2 β 2 ( λ 0 α c ) + 2 g μ 0 k 2 α 2 ( 1 + g α ) [ 2 k α ( 1 + g α ) α 2 β 2 g 2 ] [ 4 k ( 1 + g α ) α g 2 β 2 ] can be obtained. It is easily observed that p n u > p n b . The proof of Corollary 7 is completed. □
Proof of Proposition 6. 
Note that under the scenario of cost-sharing contract with endogenous price, the owner decides p n c , r n c and θ n c to maximize the profit in Equation (9), and the server decides e n c to maximize the profit in Equation (10). First, the server’s service effort decision is analyzed. Owing to d 2 π n c d e n c 2 = k ( 1 θ n c ) < 0 , Equation (10) is concave with e n c . Therefore, using the first-order condition d π n c d e n c = 0 , the service effort e n c = r n c β k ( 1 θ n c ) is obtained. Substituting e n c into Equation (9), the owner’s profit can be rewritten as
Π n c = ( λ 0 α p n c ) ( p n c c ) + g ( λ 0 α p n c ) [ μ 0 ( λ 0 α p n c ) ] + r n c β 2 [ g ( λ 0 α p n c ) r n c ] k ( 1 θ n c ) r n c μ 0 θ n c r n c 2 β 2 2 k ( 1 θ n c ) 2 .
To obtain r n c , θ n c and p n c , the authors take the derivative and obtain the corresponding Hessian matrix:
H 4 = β 2 ( 2 θ n c ) k ( 1 θ n c ) 2 g β 2 ( λ 0 α p n c ) k ( 1 θ n c ) 2 r n c β 2 ( 3 θ n c ) k ( 1 θ n c ) 3 α g β 2 k ( 1 θ n c ) g β 2 ( λ 0 α p n c ) k ( 1 θ n c ) 2 r n c β 2 ( 3 θ n c ) k ( 1 θ n c ) 3 2 g r n c β 2 ( λ 0 α p n c ) k ( 1 θ n c ) 3 r n c 2 β 2 ( 4 θ n c ) k ( 1 θ n c ) 4 α g r n c β 2 k ( 1 θ n c ) 2 g α β 2 k ( 1 θ n c ) g α r n c β 2 k ( 1 θ n c ) 2 2 α ( 1 + g α ) .
Let D 2 denote the second-order leading principle minor of H 4 matrix. Then, the authors obtain the D 2 = β 4 [ r n c g ( 1 θ n c ) ( λ 0 α p n c ) ] 2 k 2 ( 1 θ n c ) 6 < 0 . Therefore, it can be argued that the Hessian matrix is indefinite. Therefore, Equation (A5) cannot be solved with first-order conditions. Note that Π n c θ n c = r n c β 2 [ 2 g ( λ 0 α p n c ) ( 1 θ n c ) r n c ( 3 θ n c ) 2 k ( 1 θ n c ) 3 , the authors find that Π n c θ n c > 0 when r n c < 2 g ( λ 0 α p n c ) ( 1 θ n c ) 3 θ n c . Then, the Π n c increases with θ n c . Considering that the sharing proportion cannot be larger than θ h , the owner optimally sets θ n c = θ h . Substituting θ n c into Equation (A5), the owner’s profit can be rewritten as
Π n c = ( λ 0 α p n c ) ( p n c c ) + g ( λ 0 α p n c ) [ μ 0 ( λ 0 α p n c ) ] + r n c β 2 [ g ( λ 0 α p n c ) r n c ] k ( 1 θ h ) r n c μ 0 θ h r n c 2 β 2 2 k ( 1 θ h ) 2 .
To obtain r n c and p n c , take the derivative and obtain the corresponding Hessian matrix:
H 5 = ( 2 θ h ) β 2 ( 1 θ h ) 2 k g α β 2 ( 1 θ h ) k g α β 2 ( 1 θ h ) k 2 α ( 1 + g α )
Note that the Hessian matrix is negative definite when 2 k ( 1 + g α ) > α g 2 β 2 . Therefore, the first-order conditions can be used to obtain optimal results. Using the first-order conditions Π n c r n c = 0 and Π n c p n c = 0 , the service price p n c = k ( 2 θ h ) ( λ 0 + α c + 2 g α λ 0 ) α λ 0 g 2 β 2 k g α μ 0 2 k α ( 2 θ h ) ( 1 + g α ) α 2 g 2 β 2 and the unit contract payment r n c = k g β 2 ( 1 θ h ) ( λ 0 α c + g α μ 0 ) 2 μ 0 k 2 ( 1 + g α ) ( 1 θ h ) 2 2 k β 2 ( 2 θ h ) ( 1 + g α ) α g 2 β 4 are obtained. Then, the server’s service effort e n c = g β 2 ( λ 0 α c + g α μ 0 ) 2 k μ 0 ( 1 θ h ) ( 1 + g α ) 2 k β ( 2 θ h ) ( 1 + g α ) α g 2 β 3 and the service rate of server μ n c = g β 2 ( λ 0 α c ) + 2 k μ 0 ( 1 + g α ) 2 k ( 2 θ h ) ( 1 + g α ) α g 2 β 2 can be obtained. The proof of Proposition 6 is completed. □
Proof of Corollary 8. 
Taking the difference between the server’s service effort in Proposition 4 and that in Proposition 6, e n b e n c = 2 k ( 1 θ h ) ( 1 + g α ) [ g β 2 ( λ 0 α c ) + 2 k μ 0 ( 1 + g α ) ] [ 2 k β ( 1 + g α ) α g 2 β 3 ] [ 2 k ( 2 θ h ) ( 1 + g α ) α g 2 β 2 ] > 0 is obtained. Evidently, e n c < e n b . Furthermore, taking the difference between the server’s service effort in Propositions 5 and 6, e n c e n u = 2 k θ h ( 1 + g α ) [ g β 2 ( λ 0 α c ) + 2 k μ 0 ( 1 + g α ) β [ 4 k ( 1 + g α ) α g 2 β 2 ] [ 2 k ( 2 θ h ) ( 1 + g α ) α g 2 β 2 ] > 0 is obtained. Evidently, e n u < e n c . Thus, e n b > e n c > e n u . The proof of Corollary 8 is completed. □
Proof of Corollary 9. 
Taking the difference between the service price in Proposition 4 and that in Proposition 6, p n c p n b = k ( 1 θ h ) [ g 2 β 2 ( λ 0 α c ) + 2 k g μ 0 ( 1 + g α ) [ 2 k ( 2 θ h ) ( 1 + g α ) α g 2 β 2 ] [ 2 k ( 1 + g α ) α g 2 β 2 ] > 0 is obtained. Evidently, p n c > p n b . Furthermore, taking the difference between the service price in Propositions 5 and 6, p n c p n u = k θ h [ g 2 β 2 ( λ 0 α c ) + 2 k g μ 0 ( 1 + g α ) ] [ 2 k ( 2 θ h ) ( 1 + g α ) α g 2 β 2 ] [ 4 k ( 1 + g α ) α g 2 β 2 ] < 0 is obtained. Evidently, p n u > p n c . Thereafter, p n b < p n c < p n u can be obtained. The proof of Corollary 9 is completed. □

References

  1. Guo, P.; Zhang, Z.G. Strategic queueing behavior and its impact on system performance in service systems with the congestion-based staffing policy. Manuf. Serv. Oper. Manag. 2013, 15, 118–131. [Google Scholar] [CrossRef]
  2. Sunar, N.; Tu, Y.; Ziya, S. Pooled vs. dedicated queues when customers are delay-sensitive. Manag. Sci. 2021, 67, 3785–3802. [Google Scholar] [CrossRef]
  3. Ata, B.; Shneorson, S. Dynamic control of an M/M/1 service system with adjustable arrival and service rates. Manag. Sci. 2006, 52, 1778–1791. [Google Scholar] [CrossRef]
  4. Dimitrakopoulos, Y.; Burnetas, A.N. Customer equilibrium and optimal strategies in an M/M/1 queue with dynamic service control. Eur. J. Oper. Res. 2016, 252, 477–486. [Google Scholar] [CrossRef]
  5. Tan, B.; Khayyati, S. Supervised learning-based approximation method for single-server open queueing networks with correlated interarrival and service times. Int. J. Prod. Res. 2022, 60, 6822–6847. [Google Scholar] [CrossRef]
  6. Musalem, A.; Olivares, M.; Yung, D. Balancing agent retention and waiting time in service platforms. Oper. Res. 2023; accepted. [Google Scholar]
  7. Albana, A.S.; Frein, Y.; Hammami, R. Effect of a lead time-dependent cost on lead time quotation, pricing, and capacity decisions in a stochastic make-to-order system with endogenous demand. Int. J. Prod. Econ. 2018, 203, 83–95. [Google Scholar] [CrossRef]
  8. Kim, J.; Randhawa, R.S. The value of dynamic pricing in large queueing systems. Oper. Res. 2018, 66, 409–425. [Google Scholar] [CrossRef]
  9. Feldman, P.; Segev, E. The important role of time limits when consumers choose their time in service. Manag. Sci. 2022, 68, 6666–6686. [Google Scholar] [CrossRef]
  10. Jiang, H.; Pang, Z.; Savin, S. Performance-based contracts for outpatient medical services. Manuf. Serv. Oper. Manag. 2012, 14, 654–669. [Google Scholar] [CrossRef]
  11. Legros, B. The principal-agent problem for service rate event-dependency. Eur. J. Oper. Res. 2022, 297, 949–963. [Google Scholar] [CrossRef]
  12. Wang, Z.; Yang, L.; Cui, S.; Ülkü, S.; Zhou, Y.P. Pooling agents for customer-intensive services. Oper. Res. 2022; accepted. [Google Scholar]
  13. Armony, M.; Roels, G.; Song, H. Pooling queues with strategic servers: The effects of customer ownership. Oper. Res. 2021, 69, 13–29. [Google Scholar] [CrossRef]
  14. Lin, C.A.; Shang, K.; Sun, P. Wait Time–Based Pricing for Queues with Customer-Chosen Service Times. Manag. Sci. 2022; accepted. [Google Scholar]
  15. Jia, H.; Shi, C.; Shen, S. Online learning and pricing for service systems with reusable resources. Oper. Res. 2022; accepted. [Google Scholar]
  16. Güler, M.G.; Bilgiç, T.; Güllü, R. Joint inventory and pricing decisions when customers are delay sensitive. Int. J. Prod. Econ. 2014, 157, 302–312. [Google Scholar] [CrossRef]
  17. Moshe, S.; Oz, B. Charging more for priority via two-part tariff for accumulating priorities. Eur. J. Oper. Res. 2023, 304, 652–660. [Google Scholar] [CrossRef]
  18. Liu, J.; Chen, J.; Bo, R.; Meng, F.L.; Xu, Y.; Li, P. Increases or discounts: Price strategies based on customers’ patience times. Eur. J. Oper. Res. 2023, 305, 722–737. [Google Scholar] [CrossRef]
  19. Zhang, Y.; Wang, J.; Wang, F. Equilibrium pricing strategies in retrial queueing systems with complementary services. Appl. Math. Model. 2016, 40, 5775–5792. [Google Scholar] [CrossRef]
  20. Yang, L.; Guo, P.; Wang, Y. Service pricing with loss-averse customers. Oper. Res. 2018, 66, 761–777. [Google Scholar] [CrossRef]
  21. Zhang, Z.G.; Yin, X. Information and pricing effects in two-tier public service systems. Int. J. Prod. Econ. 2021, 231, 107897–107932. [Google Scholar] [CrossRef]
  22. Mai, Y.; Hu, B.; Pekeč, S. Courteous or Crude? Managing User Conduct to Improve On-Demand Service Platform Performance. Manag. Sci. 2022, 69, 996–1016. [Google Scholar] [CrossRef]
  23. Gilbert, S.M.; Weng, Z.K. Incentive effects favor nonconsolidating queues in a service system: The principal–agent perspective. Manag. Sci. 1998, 44, 1662–1669. [Google Scholar] [CrossRef]
  24. Shunko, M.; Niederhoff, J.; Rosokha, Y. Humans are not machines: The behavioral impact of queueing design on service time. Manag. Sci. 2018, 64, 453–473. [Google Scholar] [CrossRef]
  25. Yu, Y.; Benjaafar, S.; Gerchak, Y. Capacity sharing and cost allocation among independent firms with congestion. Prod. Oper. Manag. 2015, 24, 1285–1310. [Google Scholar] [CrossRef]
  26. Gopalakrishnan, R.; Doroudi, S.; Ward, A.R.; Wierman, A. Routing and staffing when servers are strategic. Oper. Res. 2016, 64, 1033–1050. [Google Scholar] [CrossRef]
  27. Zhan, D.; Ward, A.R. Staffing, routing, and payment to trade off speed and quality in large service systems. Oper. Res. 2019, 67, 1738–1751. [Google Scholar] [CrossRef]
  28. Liu, N.; Jaarsveld, W.; Wang, S.; Xiao, G. Managing Outpatient Service with Strategic Walk-ins. Manag. Sci. 2023; accepted. [Google Scholar]
  29. Benjaafar, S.; Wu, S.; Liu, H.; Gunnarsson, E.B. Dimensioning On-Demand Vehicle Sharing Systems. Manag. Sci. 2022, 68, 1218–1232. [Google Scholar] [CrossRef]
  30. Li, L.; Jiang, L.; Liu, L. Service and price competition when customers are naive. Prod. Oper. Manag. 2012, 21, 747–760. [Google Scholar] [CrossRef]
  31. Sun, M.; Ng, C.T.; Wu, F.; Cheng, T.C.E. Optimization of after-sales services with spare parts consumption and repairman travel. Int. J. Prod. Econ. 2022, 244, 108382–108392. [Google Scholar] [CrossRef]
  32. Hoseinpour, P.; Marand, A.J. Designing a service system with price-and distance-sensitive demand: A case study in mining industry. Eur. J. Oper. Res. 2022, 303, 1355–1371. [Google Scholar] [CrossRef]
  33. Yu, J.; Fang, Y.; Zhong, Y.; Zhang, X.; Zhang, R. Pricing and quality strategies for an on-demand housekeeping platform with customer-intensive services. Transp. Res. Part E Logist. Transp. Rev. 2022, 164, 102760–102779. [Google Scholar] [CrossRef]
  34. Jiang, Y.B.; Seidmann, A. Integrated capacity and marketing incentive contracting for capital-intensive service systems. Decis. Support Syst. 2011, 51, 627–637. [Google Scholar] [CrossRef]
  35. Jiang, Y.B.; Seidmann, A. Capacity planning and performance contracting for service facilities. Decis. Support Syst. 2014, 58, 31–42. [Google Scholar] [CrossRef]
  36. Sun, P.; Tian, F. Optimal Contract to Induce Continued Effort. Manag. Sci. 2017, 64, 4193–4217. [Google Scholar] [CrossRef]
  37. Taylor, T.A. On-demand service platforms. Manuf. Serv. Oper. Manag. 2018, 20, 704–720. [Google Scholar] [CrossRef]
  38. Bai, J.; So, K.C.; Tang, C.S.; Chen, M.; Wang, H. Coordinating supply and demand on an on-demand service platform with impatient customers. Manuf. Serv. Oper. Manag. 2019, 21, 556–570. [Google Scholar] [CrossRef]
  39. Legros, B. Agents’ Self-Routing for Blended Operations to Balance Inbound and Outbound Services. Prod. Oper. Manag. 2021, 30, 3599–3614. [Google Scholar] [CrossRef]
  40. Benioudakis, M.; Zissis, D.; Burnetas, A.; Ioannou, G. Service provision on an aggregator platform with time-sensitive customers: Pricing strategies and coordination. Int. J. Prod. Econ. 2023, 257, 108760–108775. [Google Scholar] [CrossRef]
  41. Jacob, J.; Roet-Green, R. Ride solo or pool: Designing price-service menus for a ride-sharing platform. Eur. J. Oper. Res. 2021, 295, 1008–1024. [Google Scholar] [CrossRef]
  42. Ravula, P. Monetary and hassle savings as strategic variables in the ride-sharing market. Res. Transp. Econ. 2022, 94, 101184–101194. [Google Scholar] [CrossRef]
  43. Babic, J.; Carvalho, A.; Ketter, W.; Podobnik, V. A data-driven approach to managing electric vehicle charging infrastructure in parking lots. Transp. Res. Part D Transp. Environ. 2022, 105, 103198–103223. [Google Scholar] [CrossRef]
  44. Aljafari, B.; Jeyaraj, P.R.; Kathiresan, A.C.; Thanikanti, S.B. Electric vehicle optimum charging-discharging scheduling with dynamic pricing employing multi agent deep neural network. Comput. Electr. Eng. 2023, 105, 108555–108570. [Google Scholar] [CrossRef]
  45. Hu, R.; Chen, L.; Zheng, L. Congestion pricing and environmental cost at Guangzhou Baiyun International Airport. J. Air Transp. Manag. 2018, 70, 126–132. [Google Scholar] [CrossRef]
  46. Zhang, B.; Ye, Z.; Wang, L.L. Airport airside congestion pricing considering price discrimination between aircraft type under a Stackelberg game. Transp. Plan. Technol. 2020, 43, 48–61. [Google Scholar] [CrossRef]
  47. Hum, S.H.; Parlar, M.; Zhou, Y. Measurement and optimization of responsiveness in supply chain networks with queueing structures. Eur. J. Oper. Res. 2018, 264, 106–118. [Google Scholar] [CrossRef]
  48. Sagir, M.; Saglam, V. Optimization and analysis of a tandem queueing system with parallel channel at second station. Commun. Stat. 2022, 51, 7547–7560. [Google Scholar] [CrossRef]
Figure 1. The service effort of the server under six decision-making scenarios.
Figure 1. The service effort of the server under six decision-making scenarios.
Axioms 12 00272 g001
Figure 2. The sojourn time of customers under the six decision-making scenarios.
Figure 2. The sojourn time of customers under the six decision-making scenarios.
Axioms 12 00272 g002
Figure 3. The impact of exogenous price and sharing proportion on the owner’s profit.
Figure 3. The impact of exogenous price and sharing proportion on the owner’s profit.
Axioms 12 00272 g003
Figure 4. The impact of exogenous price and sharing proportion on the server’s profit.
Figure 4. The impact of exogenous price and sharing proportion on the server’s profit.
Axioms 12 00272 g004
Table 1. Contribution of this study.
Table 1. Contribution of this study.
ReferencesService PricingService EffortIncentive Contract
Ata and Shneorson [3]
Li, Jiang, and Liu [30]
Sun et al. [31]
Hoseinpour and Marand [32]
Yu et al. [33]
Taylor [37]
Bai et al. [38]
Jiang, Pang, and Savin [10]
Legros [11]
Wang et al. [12]
This study
Table 2. Application of this study.
Table 2. Application of this study.
ReferencesRide Sharing PlatformElectric Vehicle Charging SystemAirport Congestion PricingOutpatient Medical Service
Bai et al. [38]
Jacob and Roet-Green [41]
Ravula [42]
Lin, Shang, and Sun [14]
Babic et al. [43]
Aljafari et al. [44]
Hu, Chen, and Zheng [45]
Zhang, Ye, and Wang [46]
Jiang, Pang, and Savin [10]
This study
Table 3. Notations and descriptions used in this study.
Table 3. Notations and descriptions used in this study.
NotationDescription
Parameters λ The arrival rate of customers
λ 0 The basic arrival rate of customers
μ The service rate of the server
μ 0 The basic service rate of the server
cThe unit service cost for serving a customer
gThe unit reputation income of the owner
kThe effort cost coefficient of the server
wThe sojourn time of customers
α The marginal effect coefficient of the service price on the arrival rate
β The marginal effect coefficient of the effort on the service rate
Decision variableseThe service effort of the server
pThe service price of queueing system
rThe unit contract payment provided by the owner to the server
θ The owner’s sharing proportion of the server’s effort cost
Subscripts x b Centralized decision-making with exogenous price
x u Unit-price contract with exogenous price
x c Cost-sharing contract with exogenous price
n b Centralized decision-making with endogenous price
n u Unit-price contract with endogenous price
n c Cost-sharing contract with endogenous price
Table 4. Optimal results under the six decision-making scenarios.
Table 4. Optimal results under the six decision-making scenarios.
ScenarioService EffortService PriceThe Sojourn Time of Customers
x b g β λ 0 α p k - k ( g β 2 k ) ( λ 0 α p ) + k μ 0
x u g β ( λ 0 α p ) 2 k μ 0 2 β - k ( g β 2 2 k ) ( λ 0 α p ) + k μ 0 2
x c g β ( λ 0 α p ) ( 2 θ h ) k ( 1 θ h ) μ 0 ( 2 θ h ) β - k [ g β 2 ( 2 θ h ) k ] ( λ 0 α p ) + k μ 0 ( 2 θ h )
n b g β Δ 1 + α g μ 0 2 k ( 1 + g α ) α β 2 g 2 k Δ 3 Δ 4 α [ 2 k ( 1 + g α ) α β 2 g 2 ] 2 k ( 1 + g α ) α g 2 β 2 k μ 0 ( 2 + α g ) + ( g β 2 k ) Δ 1
n u g β 2 ( Δ 1 + α g μ 0 ) 2 Δ 2 β [ 4 k ( 1 + g α ) α g 2 β 2 ] 2 k Δ 3 + k α g μ 0 Δ 4 α [ 4 k 1 + g α α g 2 β 2 ] 4 k 1 + g α α g 2 β 2 k μ 0 ( 2 + α g ) + ( g β 2 2 k ) Δ 1
n c g β 2 ( Δ 1 + α g μ 0 ) 2 ( 1 θ h ) Δ 2 β [ 2 ( 2 θ h ) k ( 1 + g α ) α g 2 β 2 ] k ( 2 θ h ) Δ 3 + ( 1 θ h ) k α g μ 0 Δ 4 α [ 2 ( 2 θ h ) k ( 1 + g α ) α g 2 β 2 ] 2 k ( 2 θ h ) ( 1 + g α ) α g 2 β 2 k μ 0 ( 2 + α g ) + [ g β 2 ( 2 θ h ) k ] Δ 1
Table 5. Parameter settings.
Table 5. Parameter settings.
Parametercgk λ 0 μ 0 α β θ h
Value812 0.4 56 0.01 0.5 0.6
Disclaimer/Publisher’s Note: The statements, opinions and data contained in all publications are solely those of the individual author(s) and contributor(s) and not of MDPI and/or the editor(s). MDPI and/or the editor(s) disclaim responsibility for any injury to people or property resulting from any ideas, methods, instructions or products referred to in the content.

Share and Cite

MDPI and ACS Style

Tu, J.; Hu, X.; Huang, M. Incentive Contracts for a Queueing System with a Strategic Server: A Principal-Agent Perspective. Axioms 2023, 12, 272. https://doi.org/10.3390/axioms12030272

AMA Style

Tu J, Hu X, Huang M. Incentive Contracts for a Queueing System with a Strategic Server: A Principal-Agent Perspective. Axioms. 2023; 12(3):272. https://doi.org/10.3390/axioms12030272

Chicago/Turabian Style

Tu, Jun, Xiaoying Hu, and Min Huang. 2023. "Incentive Contracts for a Queueing System with a Strategic Server: A Principal-Agent Perspective" Axioms 12, no. 3: 272. https://doi.org/10.3390/axioms12030272

APA Style

Tu, J., Hu, X., & Huang, M. (2023). Incentive Contracts for a Queueing System with a Strategic Server: A Principal-Agent Perspective. Axioms, 12(3), 272. https://doi.org/10.3390/axioms12030272

Note that from the first issue of 2016, this journal uses article numbers instead of page numbers. See further details here.

Article Metrics

Back to TopTop