Abstract
In this study, the inverse engineering problems of the Ostrovsky equation (OE), Kawahara equation (KE), modified Kawahara equation (mKE), and sixth-order Korteweg-de Vries (KdV) equation will be investigated numerically. An effective numerical approach to tackle these inverse Coriolis dispersion problems and the above-mentioned inverse problems are still not available. To use different boundary shape functions, we must deal with the boundary data, initial conditions, and terminal time conditions of the OE, KE, mKE, and sixth-order KdV equations. The unknown Coriolis dispersion of OE and unknown large external forces of those three equations can be retrieved through back-substitution of the solution into the OE, KE, mKE, and sixth-order KdV equations while we obtain the solution with the symmetry property by employing the boundary shape function scheme (BSFS). Five numerical experiments with noisy data are carefully validated and discussed.
Keywords:
Ostrovsky equation (OE); Kawahara equation (KE); modified Kawahara equation (mKE); sixth-order Korteweg-de Vries (KdV) equation; boundary shape functions scheme (BSFS); inverse Coriolis dispersion problems; highly ill-posed problems; meshless methods MSC:
35K41; 35K55; 65M30; 65M32; 35Q53
1. Introduction
Many researchers are interested in the direct and inverse problems of nonlinear evolution partial differential equations; however, only few researchers are concerned about the inverse problems because of their inherent ill-posed properties. Recently, nonlinear evolution equations [1] in mathematical physics play a major role in various fields, such as fluid mechanics, plasma physics, optical fibers, solid state physics, chemical kinematics, chemical physics, and geochemistry. In 1978, Ostrovsky derived an equation for weakly nonlinear surface and internal waves in a rotating ocean [2,3,4,5]. Many direct methods for obtaining the Ostrovsky equation (OE) have been resolved, such as the auxiliary equation method [6], the Exp-function method [7], the Fourier restriction norm method [8], the energy equation method [9], the improved tanh function method [10,11], the linear stability analysis [12], the mapping method [13], and the data-to-solution map [14].
The Cauchy problem for the quadratic and cubic OE with negative dispersion was studied in [15]. By using the Strichartz estimates instead of the Cauchy–Schwarz inequalities, they gave an alternative proof and only concentrated on the theoretical analysis. Yan et al. [16] solved the Cauchy problem for the cubic OE. They proved that the problem was locally well-posed for the initial data. Review [17] presented the theoretical, numerical, and experimental results of a study of the structure and dynamics of weak nonlinear internal waves in a rotating ocean accumulated over the past 40 years since the time when the approximate equation, called the OE, was derived in 1978. The relationship of this equation with other well-known wave equations, the integrability of the OE, and the condition for the existence of stationary solitary waves and envelope solitary waves were discussed. Coclite and di Ruvo [18] pondered an OE that included the regularized short pulse, the Korteweg-de Vries (KdV), and the modified KdV equations. They proved the well-posedness of the solutions for the Cauchy problem associated with these equations. Esfahani and Levandosky [19] proved that ground state solutions exist, which minimize the action among all nontrivial solutions, and that they used this variational characterization to study their stability. They also introduced a numerical method for computing ground states based on their variational properties. For inverse Coriolis dispersion problems of OEs, to the author’s best knowledge, there has been no report in the literature that the numerical approaches for these problems can deal with them.
For the engineering and mathematical problems of the Kawahara equation (KE), modified Kawahara equation (mKE), and sixth-order KdV equation, many direct approaches for acquiring the explicit travelling solitary wave solutions to the above-mentioned nonlinear evolution equations have been addressed, such as the algebraic method [20,21], the tanh method and the extended tanh method [22], the Adomian decomposition method [23], the Sine–Cosine method [24], the variational iteration method and the homotopy perturbation method [25,26], the dual-Petrov–Galerkin algorithm [27], the Crank–Nicolson differential quadrature algorithms [28], the variational iteration method and the Adomian decomposition method [29], the travelling wave ansatz [30], the multiplier techniques and compactness arguments [31], the general well-posedness principle [32], the optimal homotopy asymptotic method [33], the lattice Boltzmann model [34], the septic B-spline collocation method [35], the local radial basis functions method [36], the Crank-Nicolson discretization algorithm and the fifth-order quintic B-spline based differential quadrature method [37], the Kernel smoothing method and the Crank–Nicolson method [38], the complex method [39], and the generalized tanh–coth method [40]. The above-mentioned references did not mention the numerical solutions with noisy effect and did not demonstrate their real applications. For retrieving large external forces of KE, mKE, and sixth-order KdV equations, to the author’s best knowledge, there has been no published report in the literature that the numerical algorithms for these problems can tackle them. Our aim is to propose a method that can deal with the ill-posed problems without any regularization skills. In addition, we can demonstrate that this current scheme is adapted to tackle the inverse source issue of the higher-order nonlinear evolution equation by utilizing the boundary shape functions scheme (BSFS). We also use the techniques of superposition of the varied order boundary shape functions to cope with the inverse issue.
The rest of this study is organized as follows. Section 2 presents the nonlinear issue description and establishes the new boundary shape function, and boundary data of those problems. In Section 3, we attain shape functions and apply a free parameter into the boundary shape function, which results in different boundary shape functions. Five numerical experiments of the large external forces of higher-order nonlinear evolution equations are displayed in Section 4. Finally, we demonstrate the conclusions in Section 5.
2. Problem Description and Construction of Boundary Shape Function
For the unknown large external force of higher-order nonlinear evolution equation, we ponder the inverse source problem to manifest an unknown force function . They are seriously ill-posed problems in the engineering fields.
where , , , , , , , and are arbitrary constants; and display spatial and time variables; is the final time, is the nonlinear disturbance term; and , , , and are the dispersion terms of order two, three, four, five, and six, respectively. We will investigate the following four nonlinear partial differential equations (PDEs). When and , Equation (1) is called the Ostrovsky equation (OE). When , , and , Equation (1) is called the Kawahara equation (KE). When , , , and , Equation (1) is called the modified Kawahara equation (mKE). When , , , Equation (1) is called the sixth-order KdV equation. Moreover, Equation (2) is the initial condition, and Equation (3) is the boundary condition. The force function is obtained after the substitution of solution into the governing equations.
As Equations (1)–(3) have an unknown force function , we cannot resolve directly. In order to retrieve and resolve in the whole region, we interpret the following additional information of
In the beginning, we ponder a partial boundary shape function where
which spontaneously gratifies Equations (2) and (4) as follows:
Presuming
which indicates that functions and cannot be zeros at the same time.
We defined the following four polynomial-type shape functions
For those four boundary conditions in Equation (3), we reveal that they can be spontaneously satisfied by a nonzero boundary shape function as follows:
Through some calculations, we can demonstrate the following results:
3. Conjunction of Boundary Shape Functions
We defined that the boundary shape function is totally resolved by the shape functions , initial conditions, and the terminal time datum of in the region . By demonstrating a new algorithm, we can extend and utilize it to the higher-order nonlinear evolution Equation (1). For the inverse source problem of the higher-order nonlinear evolution equation, we employ the superposition of the varied order boundary shape functions to handle it. Recently, Liu and Chang [41] and Chang [42] have used similar skills to solve inverse problems of nonlinear external forces on vibrating Euler–Bernoulli beams.
Notice that we cannot employ as the basis of the solution because no free parameter occurs in . We utilize the th-order shape functions to extend Equations (9)–(17), which are resolved by
We can obtain the following derivations via some calculations:
in which the normalized coordinate is described as
We can extend in Equation (13) to the boundary shape functions as follows:
in which
4. Numerical Method and Examples
Presuming
where are unknown coefficients to be obtained, and are nonzero bases [42].
The condition is displayed in Equation (5). Hence, by employing the differential of Equation (30) with respect to and presenting , we can obtain
By collocating points to fit Equation (31), the linear equations can be obtained as follows:
where the last equation is employed to assure that in Equation (30) can gratify the data in Equations (2)–(4).
By dealing with the linear Equations (32) and (33), we can choose the weight coefficients . Moreover, we can retrieve by back replacing with Equation (1), as follows:
We can manifest that this proposed algorithm is fit to address the inverse source problem of the higher-order nonlinear evolution equation by employing the BSFS. As a matter of fact, is a small number so we simply want to resolve an -dimensional small-scale normal linear system to regain .
Equations (4) and (5) are usually infected by random disturbance such as
where are random functions and is the strength of noisy influence.
To add the disturbance with a small value might be nonsensical when the maximum values of and are large. Hence, instead of Equation (35), in several events, the noise with a relative strength can be contemplated by
For solving the unknown large external forces of higher-order nonlinear evolution equations, we define the following root mean square error (RMSEn):
where n is the number of iterations, is the exact solution, and is the numerical solution.
The computed order of convergence (COC) is calculated by
4.1. Example 1 of OE with First-Type Boundary Condition as Equation (3)
We often decide the absolute error in the following five numerical experiments to estimate the accuracy of a numerical solution, in which and are the numerically recovered force and the exact force at points , respectively. We also define a relative root mean square error as
to estimate the accuracy of numerically retrieved force. The flowchart of this current scheme is shown in Figure 1.
Figure 1.
A flowchart of the BSFS.
We utilize Equations (2)–(3) and deliberate the following OE:
where is the exact solution.
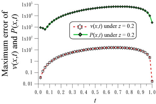
We employ the BSFS with a noise of , , and , showing the numerically recovered solution of with the exact force in Figure 2a,b. Moreover, we display the maximum errors (MEs) of and the retrieval of under the obstreperous influence in Figure 3. Note that significant results are obtained with the Mes over the plane where is for and for . Moreover, we acquire the maximum absolute value of as 3327.18, and . COC = 0.9464 is computed, which is near to a linear convergence.


Figure 2.
Example 1 showing (a) exact P, (b) numerical P with small disturbance z = 0.2, and (c) numerical retrieval of P with large disturbance = 0.5.
Figure 3.
Example 1 solved using the BSFS and demonstrating the maximum errors of and the recovered of P.
To ponder a large relative disturbance of in Equation (36), we utilize the BSFS with and to recover, as demostrated in Figure 2c. The accuracy lost one order compared with the above-mentioned results, in which the ME for is , the ME for is 56.52, and . For this case, the CPU time is 0.5 s.
4.2. Example 2 of OE with Second-Type Boundary Condition
We demonstrate that the OE with a second-type boundary condition possesses the following boundary data (40), shape Function (41), and boundary shape Function (42):
where is depicted using Equation (28).
We apply Equation (2), Equation (40) and refer to Chang [42] and contemplate a complex space–time-dependent force generated from
In this case, we use the BSFS with a noise of , , and to illustrate the numerically recovered solution of with the exact force in Figure 4a,b. In addition, we exhibit the MEs of and the retrieval of under the obstreperous influence in Figure 5. Significant results are obtained with the MEs over the plane where is for and for , respectively. Furthermore, we attain the maximum absolute value of as 3,220,412.97, and . COC = 0.9595 is computed, which is near to a linear convergence.


Figure 4.
Example 2 showing (a) exact P, (b) numerical P with small disturbance z = 0.2, and (c) numerical retrieval of P with large disturbance = 0.2.
Figure 5.
Example 2 solved by employing the BSFS and displaying the maximum errors of and the recovered of P.
To consider a large relative disturbance of in Equation (36), we apply the BSFS with and to recover, as displayed in Figure 4c. The accuracy was not significantly different and was compared with the above-mentioned results, in which the ME for is , the ME for is 143,421.83, and . For this instance, the CPU time is 1.5 s.
4.3. Example 3 of KE with Third-Type Boundary Condition
Considering the following KE with a third-type boundary condition, Equation (2), and referring to Chang [42] we get
where is the exact solution.
Moreover, the boundary data (45), shape Function (46), and boundary shape Function (47) are as follows:
where is described in Equation (28).
In this example, we utilize the BSFS with a noise of , , and , exhibiting the numerically recovered solution of with the exact force in Figure 6a,b. Moreover, we demonstrate the MEs of and the retrieval of under the obstreperous influence in Figure 7. Excellent results are obtained with the MEs over the plane , where is and is , respectively. Then, we acquire the maximum absolute value of as 5717.39, and . COC = 0.9493 is computed, which is near to a linear convergence.


Figure 6.
Example 3 showing (a) exact P, (b) numerical P with small disturbance z = 0.2, and (c) numerical retrieval of P with large disturbance = 0.2.
Figure 7.
Example 3 solved by utilizing the BSFS and showing the maximum errors of and the recovered of P.
To deliberate a large relative disturbance of in Equation (36), we utilize the BSFS with and to recover, as demonstrated in Figure 6c. The accuracy lost one order compared with the above-mentioned results, where the ME for is , the ME for is 429.02, and . For this example, the CPU time is 0.48 s.
4.4. Example 4 of mKE with Third-Type Boundary Condition as Equation (45)
In this study, we ponder the following mKE, Equation (2), Equation (45), and refer to Chang [42] to get
where is the exact solution.
In order to apply the BSFS with a noise of , , and we must show the numerically recovered solution of with the exact force in Figure 8a,b. In addition, we demonstrate the MEs of and the retrieval of under the obstreperous influence in Figure 9. Significant results are attained with the MEs over the plane , where is and is , respectively. Moreover, we obtain the maximum absolute value of as 74,330.49, and . COC = 0.9523 is computed, which is near to a linear convergence.


Figure 8.
Example 4 shows (a) exact P, (b) numerical P with small disturbance z = 0.2, and (c) numerical retrieval of P with large disturbance = 0.4.
Figure 9.
Example 4 solved by using the BSFS and exhibiting the maximum errors of and the recovered of P.
To ponder a large relative disturbance of in Equation (36), we show the BSFS with and to recover, as displayed in Figure 8c. The accuracy compared with the above-mentioned results is close, where the ME for is , the ME for is 2896.35, and . For this case, the CPU time is 0.6 s.
4.5. Example 5 of Sixth-Order KdV Equation with First-Type Boundary Condition as Equation (3)
We contemplate the following sixth-order KdV equation, Equations (2) and (3), and refer to Chang [42] to get
where is the exact solution.
In this numerical experiment, we utilize the BSFS with , , and , displaying the numerically recovered solution of with the exact force in Figure 10a,b. In addition, we exhibit the MEs of and the retrieval of under the obstreperous influence in Figure 11. Significant results are attained with the MEs over the plane , where is and is , respectively. Furthermore, we attain the maximum absolute value of as , and . COC = 0.985 is computed, which is near to a linear convergence.


Figure 10.
Example 5 shows (a) exact P, (b) numerical P with small disturbance z = 0.9, and (c) numerical retrieval of P with large disturbance = 0.05.
Figure 11.
Example 5 solved by employing the BSFS and demonstrating the maximum errors of and the recovered of P.
To consider a large relative disturbance of in Equation (36), we employ the BSFS with and to recover, as shown in Figure 10c, in which the ME for is , the ME for is 2,103,924.20, and . For this study, the CPU time is 1.4 s.
5. Discussion
In Example 1, we can find the rotational wave of OE occurs with the time increment until the final time, as shown in Figure 2. In Figure 3, we reveal that the robustness of the BSFS is significant so that we can obtain the accurate wave shape and unknown nonlinear external force under the noisy effect. In order to test a complicated space–time-dependent force by using the BSFS in Example 2, we also discover the rotational wave of OE occurs with the time increment until the terminal time, as shown in Figure 4. It is interesting to observe that the least maximum error of the wave of OE is at the final time in Figure 5 due to the decrease in wave motion. In Example 3, we can realize that the least wave motion of KE in the middle of the spatial location as displayed in Figure 6. In Figure 7, we reveal that the least maximum error of unknown nonlinear external force occurs at the beginning, and the maximum error increases with time. In Example 4, we can find that the largest unknown nonlinear external force of mKE occurs in the final spatial location, and that the least unknown nonlinear external force of mKE happens around the middle of the spatial location, as demonstrated in Figure 8. In Figure 9, we discover that the biggest maximum errors of the wave and the unknown nonlinear external force of mKE both occur at the final time because of the exponential function effect, and the unknown nonlinear external force increases dramatically at the final time. Finally, for Example 5, we can realize that the six-order dispersion term is so much larger than the vt term that the unknown nonlinear external force is negative in Figure 10. It is interesting to show that the least maximum error of the unknown nonlinear external force is t = 0.8 in Figure 11. To sum up, as the proposed algorithm does not need to utilize any discretization methods, we can obtain the correct and complete wave shape and the unknown nonlinear external force without the discretization error.
6. Conclusions
By employing the boundary shape functions scheme, we coped with the difficult retrieved problems of discovering unknown forces burdened with the higher-order inverse nonlinear evolution PDEs with two kinds of conditions. To make a comparison with the other expensive methods (Landweber iteration method, iteratively regularized Gauss–Newton method, Levenberg–Marquardt algorithm, Newton’s iterative method, homotopy perturbation method, level set method, and so forth) and the other identification methods (Tikhonov regularization procedures, quasi-inversion methods, etc.), we do not require the a priori data, need to cope with the complicated iteration techniques, find the optimal regularization parameter, deal with the complex computational procedure, tackle stability problems, and initial guesses in order to acquire significant results. Based on those numerical experiments, we demonstrate that the current scheme is proper for the nonlinear external forces of higher-order inverse nonlinear evolution PDEs and significant computational efficiency, and even for raising the large random disturbance up to 50%. Moreover, to the author’s best knowledge, there has been no report in the literature that the numerical methods for those five problems can deal with them. The current algorithm can be expanded to deal with the higher-order multi-dimensional inverse nonlinear evolution PDEs and the higher-order multi-dimensional inverse nonlinear wave PDEs, and will be explained further in the near future.
Funding
This work was financially supported by the National United University [grant number 111I1206-8] and the National Science and Technology Council [grant number NSTC 112-2221-E-239-022].
Institutional Review Board Statement
Not applicable.
Informed Consent Statement
Not applicable.
Data Availability Statement
Not applicable.
Conflicts of Interest
The author declares that he has no conflict of interest to report regarding this study.
References
- Ablowitz, M.J.; Clarkson, P.A. Solitons, Nonlinear Evolution Equations and Inverse Scattering Transform; Cambridge University Press: Cambridge, UK, 1990. [Google Scholar]
- Boyd, J.P.; Chen, G.Y. Five regimes of the quasi-cnoidal, steadily translating waves of the rotation modified Korteweg–de Vries (Ostrovsky) equation. Wave Motion 2002, 35, 141–155. [Google Scholar] [CrossRef]
- Gilman, O.A.; Grimshaw, R.; Stepanyants, Y.A. Approximate Analytical and Numerical Solutions of the Stationary Ostrovsky Equation. Stud. Appl. Math. 1995, 95, 115–126. [Google Scholar] [CrossRef]
- Ostrovsky, L.A. Nonlinear internal waves in a rotating ocean. Oceanology 1978, 18, 119–125. [Google Scholar]
- Yusufoğlu, E.; Bekir, A. A travelling wave solution to the Ostrovsky equation. Appl. Math. Comput. 2007, 186, 256–260. [Google Scholar] [CrossRef]
- Kangalgil, F.; Ayaz, F. New exact travelling wave solutions for the Ostrovsky equation. Phys. Lett. A 2008, 372, 1831–1835. [Google Scholar] [CrossRef]
- Köroğlu, C.; Öziş, T. A novel traveling wave solution for Ostrovsky equation using Exp-function method. Comput. Math. Appl. 2009, 58, 2142–2146. [Google Scholar] [CrossRef]
- Tsugawa, K. Well-posedness and weak rotation limit for the Ostrovsky equation. J. Differ. Equ. 2009, 247, 3163–3180. [Google Scholar] [CrossRef]
- Gao, A.; Tian, L. The global attractor of the viscous damped forced Ostrovsky equation. Nonlinear Anal. Real World Appl. 2009, 10, 2894–2904. [Google Scholar] [CrossRef]
- Yaşar, E. New travelling wave solutions to the Ostrovsky equation. Appl. Math. Comput. 2010, 216, 3191–3194. [Google Scholar] [CrossRef]
- Parkes, E.J. A note on “New travelling wave solutions to the Ostrovsky equation”. Appl. Math. Comput. 2010, 217, 3575–3577. [Google Scholar] [CrossRef][Green Version]
- Yin, J.; Tian, L. Linear stability of weak-compacton solutions to the nonlinear dispersive Ostrovsky equation. Nonlinear Anal. Real World Appl. 2010, 11, 1782–1789. [Google Scholar] [CrossRef]
- Biswas, A.; Krishnan, E.V. Exact solutions for Ostrovsky equation. Indian J. Phys. 2011, 85, 1513–1521. [Google Scholar] [CrossRef]
- Davidson, M. Continuity properties of the solution map for the generalized reduced Ostrovsky equation. J. Differ. Equ. 2012, 252, 3797–3815. [Google Scholar] [CrossRef]
- Wang, J.; Yan, W. The Cauchy problem for quadratic and cubic Ostrovsky equation with negative dispersion. Nonlinear Anal. Real World Appl. 2018, 43, 283–307. [Google Scholar] [CrossRef]
- Yan, W.; Zhang, Q.; Zhao, L.; Zhang, H. The local well-posedness and the weak rotation limit for the cubic Ostrovsky equation. Appl. Math. Lett. 2019, 96, 147–152. [Google Scholar] [CrossRef]
- Stepanyants, Y.A. Nonlinear Waves in a Rotating Ocean (The Ostrovsky Equation and Its Generalizations and Applications). Izv. Atmos. Ocean. Phys. 2020, 56, 16–32. [Google Scholar] [CrossRef]
- Coclite, G.M.; di Ruvo, L. On the solutions for an Ostrovsky type equation. Nonlinear Anal. Real World Appl. 2020, 55, 103141. [Google Scholar] [CrossRef]
- Esfahani, A.; Levandosky, S. Solitary waves of a generalized Ostrovsky equation. Nonlinear Anal. Real World Appl. 2021, 63, 103395. [Google Scholar] [CrossRef]
- Sirendaoreji. New exact travelling wave solutions for the Kawahara and modified Kawahara equations. Chaos Solitons Fractals 2004, 19, 147–150. [Google Scholar] [CrossRef]
- Zhang, D. Doubly periodic solutions of the modified Kawahara equation. Chaos Solitons Fractals 2005, 25, 1155–1160. [Google Scholar] [CrossRef]
- Wazwaz, A.-M. New solitary wave solutions to the Kuramoto-Sivashinsky and the Kawahara equations. Appl. Math. Comput. 2006, 182, 1642–1650. [Google Scholar] [CrossRef]
- Polat, N.; Kaya, D.; Tutalar, H.I. A analytic and numerical solution to a modified Kawahara equation and a convergence analysis of the method. Appl. Math. Comput. 2006, 179, 466–472. [Google Scholar] [CrossRef]
- Yusufoğlu, E.; Bekir, A.; Alp, M. Periodic and solitary wave solutions of Kawahara and modified Kawahara equations by using Sine–Cosine method. Chaos Solitons Fractals 2008, 37, 1193–1197. [Google Scholar] [CrossRef]
- Lu, J. Analytical approach to Kawahara equation using variational iteration method and homotopy perturbation method. Topol. Methods Nonlinear Anal. 2008, 31, 287–293. [Google Scholar]
- Lin, J. Application of variational iteration method and homotopy perturbation method to the modified Kawahara equation. Math. Comput. Model. 2009, 49, 573–578. [Google Scholar]
- Khanal, N.; Wu, J.; Yuan, J.-M. The Kawahara equation in weighted Sobolev spaces. Nonlinearity 2008, 21, 1489–1505. [Google Scholar] [CrossRef][Green Version]
- Korkmaz, A.; Dağ, İ. Crank-Nicolson—Differential quadrature algorithms for the Kawahara equation. Chaos Solitons Fractals 2009, 42, 65–73. [Google Scholar] [CrossRef]
- Darvishi, M.; Khani, F. Numerical and explicit solutions of the fifth-order Korteweg-de Vries equations. Chaos Solitons Fractals 2009, 39, 2484–2490. [Google Scholar] [CrossRef]
- Biswas, A. Solitary wave solution for the generalized Kawahara equation. Appl. Math. Lett. 2009, 22, 208–210. [Google Scholar] [CrossRef]
- Vasconcellos, C.F.; da Silva, P.N. Stabilization of the Kawahara equation with localized damping. ESAIM Control. Optim. Calc. Var. 2009, 17, 102–116. [Google Scholar] [CrossRef]
- Yan, W.; Li, Y. Ill-posedness of modified Kawahara equation and Kaup-Kupershmidt equation. Acta Math. Sci. 2012, 32B, 710–716. [Google Scholar]
- Ullah, H.; Nawaz, R.; Islam, S.; Idrees, M.; Fiza, M. The optimal homotopy asymptotic method with application to modified Kawahara equation. J. Assoc. Arab. Univ. Basic Appl. Sci. 2015, 18, 82–88. [Google Scholar] [CrossRef]
- Chai, Z.; He, N.; Guo, Z.; Shi, B. Lattice Boltzmann model for high-order nonlinear partial differential equations. Phys. Rev. E 2018, 97, 013304. [Google Scholar] [CrossRef] [PubMed]
- Ak, T.; Karakoc, S.B.G. A numerical technique based on collocation method for solving modified Kawahara equation. J. Ocean Eng. Sci. 2018, 3, 67–75. [Google Scholar] [CrossRef]
- Rasoulizadeh, M.N.; Rashidinia, J. Numerical solution for the Kawahara equation using local RBF-FD meshless method. J. King Saud Univ. Sci. 2020, 32, 2277–2283. [Google Scholar] [CrossRef]
- Başhan, A. Highly efficient approach to numerical solutions of two different forms of the modified Kawahara equation via contribution of two effective methods. Math. Comput. Simul. 2020, 179, 111–125. [Google Scholar] [CrossRef]
- Zara, A.; Rehman, S.U.; Ahmad, F.; Kouser, S.; Pervaiz, A. Numerical approximation of modified Kawahara equation using Kernel smoothing method. Math. Comput. Simul. 2021, 194, 169–184. [Google Scholar] [CrossRef]
- Ye, F.; Tian, J.; Zhang, X.; Jiang, C.; Ouyang, T.; Gu, Y. All Traveling Wave Exact Solutions of the Kawahara Equation Using the Complex Method. Axioms 2022, 11, 330. [Google Scholar] [CrossRef]
- Sierra, C.A.G. New exact solutions for a generalization of the Korteweg–de Vries equation (KdV6). Appl. Math. Comput. 2010, 216, 357–360. [Google Scholar] [CrossRef]
- Liu, C.-S.; Kuo, C.-L.; Chang, C.-W. Recovering external forces on vibrating Euler–Bernoulli beams using boundary shape function methods. Mech. Syst. Signal Process. 2020, 148, 107157. [Google Scholar] [CrossRef]
- Chang, C.-W. A Meshless Method for Retrieving Nonlinear Large External Forces on Euler-Bernoulli Beams. Comput. Mater. Contin. 2022, 73, 433–451. [Google Scholar] [CrossRef]
Disclaimer/Publisher’s Note: The statements, opinions and data contained in all publications are solely those of the individual author(s) and contributor(s) and not of MDPI and/or the editor(s). MDPI and/or the editor(s) disclaim responsibility for any injury to people or property resulting from any ideas, methods, instructions or products referred to in the content. |
© 2023 by the author. Licensee MDPI, Basel, Switzerland. This article is an open access article distributed under the terms and conditions of the Creative Commons Attribution (CC BY) license (https://creativecommons.org/licenses/by/4.0/).