Strong Interacting Internal Waves in Rotating Ocean: Novel Fractional Approach
Abstract
1. Introduction
2. Preliminaries
3. Fundamental Procedure of the Considered Method
4. Solution for FO and FGO Equations
4.1. Existence of Solution for Ostrovsky Equation
4.2. Existence of Solution for Fractional Gardner’s Ostrovsky Equation
4.3. Existence of Solution for the Fractional Gardner–Ostrovsky Equation
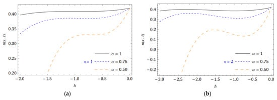
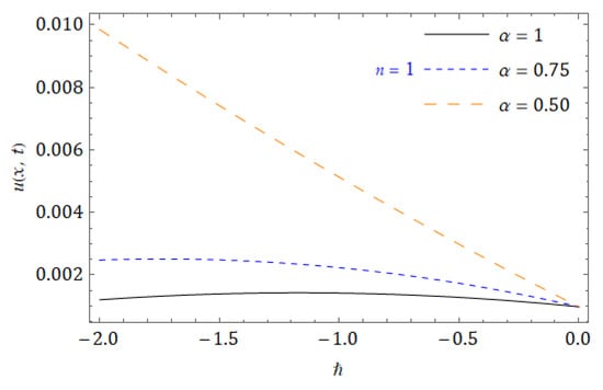
5. Results and Discussion
6. Conclusions
Author Contributions
Funding
Institutional Review Board Statement
Informed Consent Statement
Data Availability Statement
Acknowledgments
Conflicts of Interest
References
- Liouville, J. Memoire surquelques questions de geometrieet de mecanique, et sur un nouveau genre de calcul pour resoudreces questions. J. Ec. Polytech. 1832, 13, 1–69. [Google Scholar]
- Riemann, G.F.B. Versuch Einer Allgemeinen Auffassung der Integration und Differentiation, Gesammelte Mathematische Werke; Leipzig, Germany, 1896. [Google Scholar]
- Caputo, M. Elasticita e Dissipazione; Zanichelli: Bologna, Italy, 1969. [Google Scholar]
- Miller, K.S.; Ross, B. An Introduction to Fractional Calculus and Fractional Differential Equations; A Wiley: New York, NY, USA, 1993. [Google Scholar]
- Podlubny, I. Fractional Differential Equations; Academic Press: New York, NY, USA, 1999. [Google Scholar]
- Kilbas, A.A.; Srivastava, H.M.; Trujillo, J.J. Theory and Applications of Fractional Differential Equations; Elsevier: Amsterdam, The Netherlands, 2006. [Google Scholar]
- Baleanu, D.; Guvenc, Z.B.; Tenreiro Machado, J.A. New Trends in Nanotechnology and Fractional Calculus Applications; Springer: Dordrecht, The Netherlands; Heidelberg, Germany; London, UK; New York, NY, USA, 2010. [Google Scholar]
- Baishya, C.; Achar, S.J.; Veeresha, P.; Prakasha, D.G. Dynamics of a fractional epidemiological model with disease infection in both the populations. Chaos 2021, 31. [Google Scholar] [CrossRef]
- Akinyemi, L.; Veeresha, P.; Senol, M. Numerical solutions for coupled nonlinear schrodinger-Korteweg-de Vries and Maccari’s systems of equations. Mod. Phys. Lett. B 2021. [Google Scholar] [CrossRef]
- Baishya, C.; Jaipala. Numerical solution of fractional predator-prey model by trapezoidal based homotopy perturbation method. Int. J. Math. Arch. 2018, 9, 252–259. [Google Scholar]
- Antonova, M.; Biswas, A. Adiabatic parameter dynamics of perturbed solitary waves. Commun. Nonlinear Sci. Numer. Simul. 2009, 14, 734–748. [Google Scholar] [CrossRef]
- Holloway, P.; Pelinovsky, E.; Talipova, T. A generalised Korteweg-de Vries model of internal tide transformation in the coastal zone. J. Geophys. 1999, 104, 333–350. [Google Scholar] [CrossRef]
- Wazwaz, A.M. The variational iteration method for solving linear and nonlinear ODEs and scientific models with variable coefficients. Cent. Eur. J. Eng. 2014, 4, 64–71. [Google Scholar] [CrossRef]
- Apel, J.; Ostrovsky, L.A.; Stepanyants, Y.A.; Lynch, J.F. Internal solitons in the ocean and their effect on underwater sound. J. Acoust. Soc. Am. 2007, 121, 695–722. [Google Scholar] [CrossRef]
- Ostrovsky, L.A.; Pelinovsky, E.N.; Shrira, V.I.; Stepanyants, Y.A. Beyond the KDV: Post-explosion development. Chaos 2015, 25, 097620. [Google Scholar] [CrossRef]
- Biswas, A.; Krishnan, E.V. Exact solutions for Ostrovsky equation. Indian J. Phys. 2011, 85, 1513–1521. [Google Scholar] [CrossRef]
- Grimshaw, R.; Stepanyants, Y.; Alias, A. Formation of wave packets in the Ostrovsky equation for both normal and anomalous dispersion. Proc. R. Soc. A 2015, 472. [Google Scholar] [CrossRef]
- Stepanyants, Y.A. Nonlinear Waves in a rotating ocean the Ostrovsky equation and its generalizations and Applications. Atmos. Ocean. Phys. 2020, 56, 16–32. [Google Scholar] [CrossRef]
- Caputo, M.; Fabrizio, M. A new definition of fractional derivative without singular kernel. Prog. Fract. Differ. Appl. 2015, 1, 73–85. [Google Scholar]
- Liao, S.J. Homotopy analysis method and its applications in mathematics. J. Basic Sci. Eng. 1997, 5, 111–125. [Google Scholar]
- Liao, S.J. Homotopy analysis method: A new analytic method for nonlinear problems. Appl. Math. Mech. 1998, 19, 957–962. [Google Scholar]
- Singh, J.; Kumar, D.; Swroop, R. Numerical solution of time- and space-fractional coupled Burgers’ equations via homotopy algorithm. Alex. Eng. J. 2016, 55, 1753–1763. [Google Scholar] [CrossRef]
- Srivastava, H.M.; Kumar, D.; Singh, J. An efficient analytical technique for fractional model of vibration equation. Appl. Math. Model. 2017, 45, 192–204. [Google Scholar] [CrossRef]
- Safare, K.M.; Betageri, V.S.; Prakasha, D.G.; Veeresha, P.; Kumar, S. A mathematical analysis of ongoing outbreak COVID-19 in India through nonsingular derivative. Numer. Methods Partial Differ. Equ. 2021, 37, 1282–1298. [Google Scholar] [CrossRef]
- Bulut, H.; Kumar, D.; Singh, J.; Swroop, R.; Baskonus, H.M. Analytic study for a fractional model of HIV infection of CD4+T lymphocyte cells. Math. Nat. Sci. 2018, 2, 33–43. [Google Scholar] [CrossRef]
- Prakasha, D.G.; Malagi, N.S.; Veeresha, P.; Prasannakumara, B.C. An efficient computational technique for time-fractional Kaup-Kupershmidt equation. Numer. Methods Partial Differ. Equ. 2021, 37, 1299–1316. [Google Scholar] [CrossRef]
- Kumar, D.; Agarwal, R.P.; Singh, J. A modified numerical scheme and convergence analysis for fractional model of Lienard’s equation. J. Comput. Appl. Math. 2018, 399, 405–413. [Google Scholar] [CrossRef]
- Akinyemi, L.; Huseen, S.N. A powerful approach to study the new modified coupled Korteweg-de Vries system. Math. Comput. Simul. 2021, 177, 556–567. [Google Scholar] [CrossRef]
- Veeresha, P.; Ilhan, E.; Baskonus, H.M. Fractional approach for analysis of the model describing wind-influenced projectile motion. Phys. Scr. 2021, 96, 075209. [Google Scholar] [CrossRef]
- Akinyemi, L.; Şenol, M.; Huseen, S.N. Modified homotopy methods for generalized fractional perturbed Zakharov–Kuznetsov equation in dusty plasma. Adv. Differ. Equ. 2021, 45. [Google Scholar] [CrossRef]
- Losada, J.; Nieto, J.J. Properties of the new fractional derivative without singular Kernel. Prog. Fract. Differ. Appl. 2015, 1, 87–92. [Google Scholar]








Publisher’s Note: MDPI stays neutral with regard to jurisdictional claims in published maps and institutional affiliations. |
© 2021 by the authors. Licensee MDPI, Basel, Switzerland. This article is an open access article distributed under the terms and conditions of the Creative Commons Attribution (CC BY) license (https://creativecommons.org/licenses/by/4.0/).
Share and Cite
Veeresha, P.; Baskonus, H.M.; Gao, W. Strong Interacting Internal Waves in Rotating Ocean: Novel Fractional Approach. Axioms 2021, 10, 123. https://doi.org/10.3390/axioms10020123
Veeresha P, Baskonus HM, Gao W. Strong Interacting Internal Waves in Rotating Ocean: Novel Fractional Approach. Axioms. 2021; 10(2):123. https://doi.org/10.3390/axioms10020123
Chicago/Turabian StyleVeeresha, Pundikala, Haci Mehmet Baskonus, and Wei Gao. 2021. "Strong Interacting Internal Waves in Rotating Ocean: Novel Fractional Approach" Axioms 10, no. 2: 123. https://doi.org/10.3390/axioms10020123
APA StyleVeeresha, P., Baskonus, H. M., & Gao, W. (2021). Strong Interacting Internal Waves in Rotating Ocean: Novel Fractional Approach. Axioms, 10(2), 123. https://doi.org/10.3390/axioms10020123

