Geochronology and Geochemistry of Granitic Gneisses in the Dabie Orogen, Central China: Constraints on the Petrogenesis of Mid-Neoproterozoic Magmatic Rocks in the Northern Yangtze Block
Abstract
1. Introduction
2. Geological Setting and Sample Descriptions

3. Analytical Methods
3.1. Zircon LA-ICP-MS U-Pb Geochronology
3.2. Zircon Lu-Hf Isotope Analyses
3.3. Whole-Rock Geochemical Analyses
4. Analytical Results
4.1. Zircon LA-ICP-MS U-Pb Ages
4.2. Zircon Lu-Hf Analysis
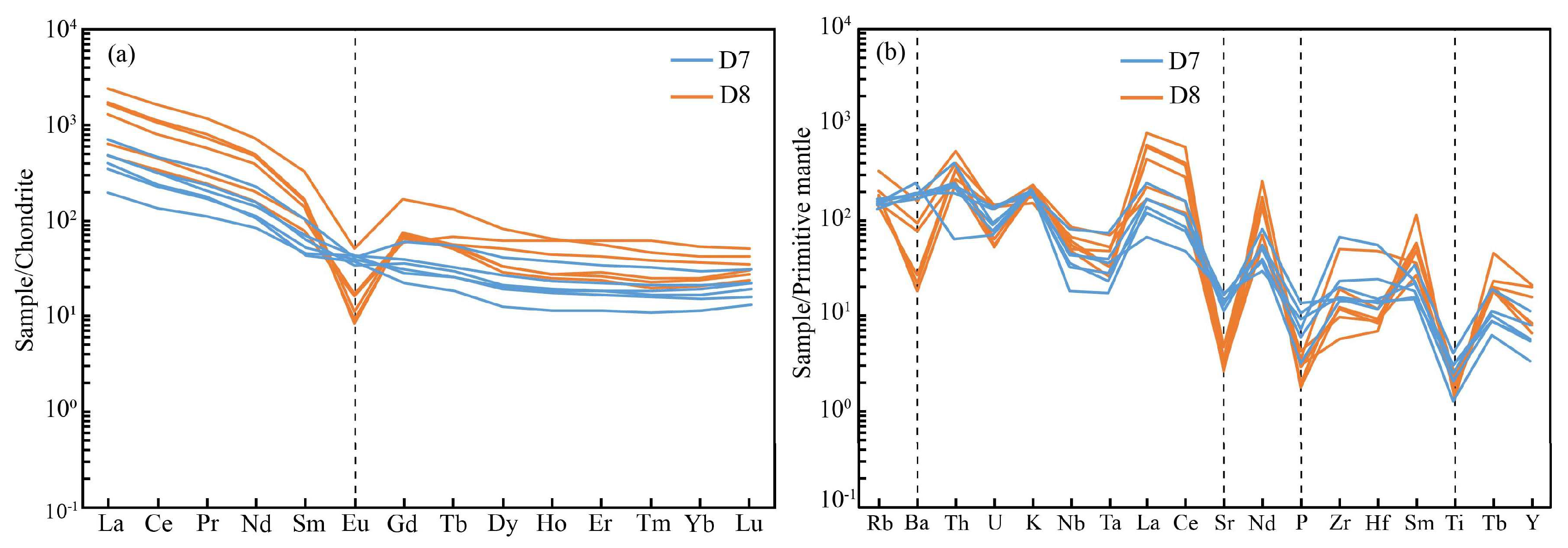
4.3. Whole-Rock Major and Trace Element Compositions

| Samples | D7-1 | D7-2 | D7-3 | D7-4 | D7-5 | D7-6 | D8-1 | D8-2 | D8-3 | D8-4 | D8-5 | D8-6 |
|---|---|---|---|---|---|---|---|---|---|---|---|---|
| Major elements (wt.%) | ||||||||||||
| SiO2 | 61.5 | 60.9 | 61.4 | 60.1 | 60.6 | 60.0 | 65.8 | 70.6 | 63.7 | 63.6 | 63.0 | 60.9 |
| TiO2 | 0.54 | 0.46 | 0.67 | 0.89 | 0.28 | 0.65 | 0.33 | 0.29 | 0.40 | 0.48 | 0.41 | 0.51 |
| Al2O3 | 18.2 | 19.2 | 19.4 | 19.3 | 19.2 | 19.5 | 17.9 | 14.7 | 16.6 | 17.2 | 18.3 | 18.6 |
| FeOT | 4.43 | 3.42 | 2.93 | 3.30 | 2.99 | 3.07 | 1.68 | 2.73 | 2.31 | 2.61 | 2.95 | 3.39 |
| MnO | 0.10 | 0.13 | 0.20 | 0.19 | 0.11 | 0.17 | 0.05 | 0.08 | 0.08 | 0.21 | 0.09 | 0.15 |
| MgO | 0.90 | 0.77 | 0.72 | 0.70 | 0.42 | 0.68 | 0.45 | 0.50 | 0.15 | 0.25 | 1.26 | 0.29 |
| CaO | 2.28 | 1.87 | 1.49 | 2.01 | 2.36 | 2.34 | 1.90 | 0.60 | 2.64 | 1.97 | 1.47 | 1.72 |
| Na2O | 4.96 | 5.87 | 5.49 | 5.98 | 5.92 | 5.75 | 5.36 | 4.91 | 5.58 | 4.86 | 4.31 | 5.42 |
| K2O | 5.74 | 5.97 | 6.17 | 5.82 | 6.32 | 5.96 | 5.23 | 4.50 | 5.71 | 6.36 | 6.68 | 6.78 |
| P2O5 | 0.16 | 0.13 | 0.23 | 0.29 | 0.07 | 0.20 | 0.07 | 0.07 | 0.04 | 0.04 | 0.09 | 0.06 |
| LOI | 1.02 | 1.04 | 1.12 | 1.11 | 1.45 | 1.33 | 0.56 | 0.69 | 2.55 | 2.15 | 1.19 | 1.99 |
| Total | 98.8 | 98.7 | 98.6 | 98.6 | 98.3 | 98.4 | 98.8 | 99.0 | 97.2 | 97.6 | 98.6 | 97.8 |
| A/CNK | 0.98 | 0.99 | 1.05 | 0.97 | 0.92 | 0.97 | 1.00 | 1.05 | 0.83 | 0.93 | 1.08 | 0.96 |
| A/NK | 1.27 | 1.19 | 1.23 | 1.19 | 1.16 | 1.23 | 1.24 | 1.14 | 1.08 | 1.16 | 1.28 | 1.14 |
| K2O + Na2O | 10.8 | 12.0 | 11.8 | 12.0 | 12.5 | 11.9 | 10.7 | 9.51 | 11.6 | 11.5 | 11.2 | 12.5 |
| (K2O + Na2O)/Al2O3 | 0.59 | 0.62 | 0.60 | 0.61 | 0.64 | 0.60 | 0.59 | 0.64 | 0.68 | 0.65 | 0.60 | 0.66 |
| FeOT/MgO | 4.92 | 4.44 | 4.07 | 4.71 | 7.12 | 4.51 | 3.73 | 5.46 | 15.4 | 10.4 | 2.34 | 11.7 |
| Trace and rare earth elements (ppm) | ||||||||||||
| Ba | 1359 | 1251 | 1292 | 1251 | 1170 | 1666 | 657 | 541 | 183 | 153 | 1107 | 127 |
| Rb | 94.3 | 83.3 | 99.2 | 104 | 91.2 | 95.4 | 125 | 94.1 | 86.1 | 112 | 204 | 117 |
| Sr | 349 | 290 | 240 | 273 | 294 | 362 | 70.9 | 56.4 | 98.6 | 72.7 | 59.2 | 55.1 |
| Zr | 734 | 257 | 223 | 168 | 159 | 172 | 559 | 62.1 | 139 | 206 | 105 | 127 |
| Nb | 25.9 | 23.0 | 31.4 | 57.3 | 13.0 | 32.3 | 47.6 | 34.8 | 38.4 | 33.0 | 60.6 | 42.2 |
| Ni | 2.29 | — | 0.24 | 2.61 | 0.09 | 2.00 | 1.53 | 0.52 | — | — | — | — |
| Co | 3.89 | 2.86 | 4.31 | 5.93 | 2.33 | 4.44 | 1.63 | 5.76 | 0.87 | 0.88 | 3.56 | 0.97 |
| Zn | 83.5 | 48.6 | 93.4 | 164 | 52.4 | 86.4 | 16.4 | 21.3 | 30.4 | 71.1 | 37.9 | 64.7 |
| Cr | 13.8 | 9.03 | 9.65 | 11.7 | 10.2 | 10.0 | 7.78 | 7.31 | 4.50 | 6.98 | 5.67 | 7.11 |
| La | 114 | 80.4 | 114 | 164 | 93.4 | 46.5 | 151 | 563 | 390 | 411 | 115 | 301 |
| Ce | 197 | 136 | 197 | 280 | 148 | 84.1 | 281 | 998 | 653 | 692 | 208 | 500 |
| Pr | 19.9 | 15.9 | 22.4 | 32.4 | 16.7 | 10.5 | 28.3 | 110 | 70.0 | 76.8 | 22.9 | 54.8 |
| Nd | 67.2 | 52.4 | 73.0 | 108 | 50.0 | 39.1 | 92.9 | 348 | 220 | 238 | 73.3 | 179 |
| Sm | 10.4 | 7.86 | 9.65 | 15.3 | 6.57 | 6.80 | 15.8 | 50.0 | 24.2 | 25.6 | 11.9 | 20.9 |
| Eu | 2.51 | 2.25 | 1.93 | 2.42 | 2.13 | 2.54 | 0.99 | 2.92 | 0.49 | 0.64 | 0.93 | 0.55 |
| Gd | 8.20 | 6.20 | 7.28 | 12.6 | 4.63 | 5.68 | 13.3 | 33.6 | 14.3 | 15.6 | 12.3 | 13.9 |
| Tb | 1.21 | 0.97 | 1.12 | 2.01 | 0.69 | 0.93 | 2.12 | 4.93 | 1.93 | 2.10 | 2.48 | 1.96 |
| Dy | 6.81 | 5.04 | 5.41 | 10.4 | 3.24 | 4.77 | 12.7 | 20.9 | 7.39 | 8.30 | 15.6 | 8.60 |
| Ho | 1.34 | 1.05 | 1.08 | 2.07 | 0.65 | 1.00 | 2.49 | 3.65 | 1.44 | 1.59 | 3.44 | 1.56 |
| Er | 3.65 | 3.05 | 3.07 | 5.51 | 1.89 | 2.76 | 6.92 | 9.34 | 3.96 | 4.83 | 10.1 | 4.40 |
| Tm | 0.55 | 0.46 | 0.43 | 0.82 | 0.28 | 0.41 | 0.99 | 1.18 | 0.51 | 0.64 | 1.55 | 0.59 |
| Yb | 3.53 | 3.20 | 2.78 | 5.00 | 1.91 | 2.55 | 6.31 | 7.16 | 3.52 | 4.33 | 9.29 | 3.98 |
| Lu | 0.55 | 0.55 | 0.48 | 0.77 | 0.33 | 0.40 | 0.90 | 1.05 | 0.59 | 0.78 | 1.31 | 0.68 |
| Y | 36.5 | 25.6 | 26.1 | 49.7 | 14.9 | 25.1 | 70.3 | 93.9 | 30.0 | 36.2 | 88.9 | 37.2 |
| Cs | 0.56 | 0.59 | 0.74 | 0.99 | 0.30 | 0.63 | 0.54 | 0.55 | 0.99 | 1.65 | 1.12 | 2.77 |
| Ta | 0.93 | 1.12 | 1.59 | 3.00 | 0.71 | 1.48 | 2.11 | 1.93 | 1.31 | 1.03 | 2.88 | 1.34 |
| Hf | 17.0 | 7.34 | 4.63 | 3.68 | 4.49 | 4.24 | 14.5 | 2.15 | 2.78 | 3.61 | 2.71 | 2.52 |
| Li | 5.90 | 5.95 | 9.70 | 11.4 | 4.48 | 7.42 | 6.97 | 6.84 | 4.01 | 8.01 | 8.82 | 7.48 |
| Be | 2.28 | 1.61 | 1.43 | 1.59 | 1.78 | 1.61 | 3.55 | 1.58 | 1.18 | 0.96 | 3.62 | 0.97 |
| Sc | 4.65 | 5.50 | 5.67 | 9.73 | 2.75 | 5.11 | 4.66 | 8.57 | 10.1 | 13.1 | 5.24 | 17.0 |
| V | 26.8 | 22.1 | 30.7 | 30.2 | 14.3 | 33.6 | 8.01 | 10.5 | 3.57 | 4.05 | 10.8 | 4.18 |
| Cu | 3.89 | 10.8 | 4.50 | 2.44 | 1.83 | 4.79 | 2.22 | 4.26 | 1.02 | 1.76 | 1.29 | 1.53 |
| Ga | 26.7 | 26.1 | 28.6 | 31.0 | 25.6 | 24.2 | 25.0 | 42.3 | 35.1 | 36.5 | 26.7 | 32.6 |
| Mo | — | 1.67 | 1.97 | 0.99 | 2.21 | 0.90 | — | 8.45 | 1.71 | 1.64 | 0.22 | 0.87 |
| Cd | — | 0.10 | 0.20 | 0.15 | 0.11 | 0.09 | — | 0.02 | 0.08 | 0.14 | 0.01 | 0.08 |
| In | — | 0.05 | 0.06 | 0.09 | 0.03 | 0.05 | — | 0.13 | 0.11 | 0.15 | 0.11 | 0.18 |
| Sn | 1.21 | 0.93 | 0.91 | 1.06 | 0.79 | 0.82 | 3.05 | 2.37 | 0.59 | 0.61 | 2.55 | 0.67 |
| Sb | — | 0.58 | 0.63 | 0.50 | 0.25 | 0.50 | — | 0.35 | 0.33 | 0.29 | 0.48 | 0.21 |
| Te | — | 0.11 | 0.05 | 0.04 | 0.01 | 0.08 | — | 0.02 | 0.01 | 0.04 | 0.01 | 0.03 |
| W | — | 0.25 | 0.72 | 0.46 | 0.26 | 0.28 | — | 0.63 | 0.23 | 0.58 | 0.24 | 0.39 |
| Tl | — | 0.34 | 0.44 | 0.41 | 0.37 | 0.39 | — | 0.42 | 0.40 | 0.52 | 0.82 | 0.49 |
| Pb | 21.6 | 23.8 | 21.6 | 18.2 | 21.6 | 20.1 | 6.04 | 8.16 | 16.5 | 16.8 | 5.11 | 14.0 |
| Bi | — | 0.05 | 0.25 | 0.08 | 0.03 | 0.02 | — | 0.30 | 0.05 | 0.03 | 0.08 | 0.03 |
| Th | 16.4 | 19.4 | 20.3 | 32.8 | 18.9 | 5.33 | 32.5 | 22.6 | 28.9 | 29.0 | 43.4 | 20.9 |
| U | 2.71 | 2.86 | 1.83 | 2.00 | 1.58 | 1.48 | 2.96 | 2.90 | 1.13 | 1.30 | 2.72 | 1.10 |
| Zr + Nb + Ce + Y | 993 | 442 | 477 | 555 | 335 | 313 | 958 | 1189 | 860 | 967 | 463 | 707 |
| 10,000 × Ga/Al | 2.73 | 2.53 | 2.75 | 2.99 | 2.48 | 2.31 | 2.61 | 5.37 | 3.88 | 3.91 | 2.72 | 3.24 |
| Y + Nb | 62.4 | 57.5 | 107 | 27.9 | 57.4 | 48.6 | 118 | 129 | 68.4 | 69.2 | 150 | 79.4 |
| Yb + Ta | 4.46 | 4.32 | 4.37 | 8.00 | 2.62 | 4.03 | 8.42 | 9.09 | 4.83 | 5.36 | 12.2 | 5.32 |
| ΣREE | 473 | 466 | 691 | 346 | 233 | 341 | 686 | 2249 | 1422 | 1518 | 577 | 1130 |
| ΣLREE | 411 | 418 | 602 | 317 | 190 | 294 | 570 | 2073 | 1358 | 1444 | 432 | 1057 |
| ΣHREE | 62.3 | 47.7 | 88.9 | 28.5 | 43.6 | 46.1 | 116 | 176 | 63.6 | 74.3 | 145 | 72.9 |
| (La/Yb)N | 23.2 | 29.5 | 23.5 | 35.1 | 13.1 | 18.0 | 17.2 | 56.5 | 79.5 | 68.2 | 8.90 | 54.2 |
| (La/Sm)N | 7.08 | 7.66 | 6.94 | 9.18 | 4.42 | 6.60 | 6.17 | 7.28 | 10.4 | 10.4 | 6.24 | 9.29 |
| (Gd/Yb)N | 1.92 | 2.16 | 2.08 | 2.00 | 1.85 | 1.61 | 1.74 | 3.88 | 3.35 | 2.98 | 1.10 | 2.88 |
| Eu* | 0.83 | 0.70 | 0.53 | 1.18 | 1.25 | 0.99 | 0.21 | 0.22 | 0.08 | 0.10 | 0.24 | 0.10 |
5. Discussion
5.1. Petrologic Genesis and Tectonic Setting


5.2. Implication for the Neoproterozoic Tectono-Magmatic Evolution

6. Conclusions
Supplementary Materials
Author Contributions
Funding
Data Availability Statement
Acknowledgments
Conflicts of Interest
References
- Hoffman, P.F.; Abbot, D.S.; Ashkenazy, Y.; Benn, D.I.; Brocks, J.J.; Cohen, P.A.; Cox, G.M.; Creveling, J.R.; Donnadieu, Y.; Erwin, D.H.; et al. Snowball Earth climate dynamics and Cryogenian geology-geobiology. Sci. Adv. 2017, 3, e1600983. [Google Scholar] [CrossRef]
- Hoffman, P.F.; Kaufman, A.J.; Halverson, G.P.; Schrag, D.P. A Neoproterozoic snowball earth. Science 1998, 281, 1342–1346. [Google Scholar] [CrossRef]
- Li, Z.X.; Bogdanova, S.V.; Collins, A.S.; Davidson, A.; De Waele, B.; Ernst, R.E.; Fitzsimons, I.C.W.; Fuck, R.A.; Gladkochub, D.P.; Jacobs, J.; et al. Assembly, configuration, and break-up history of Rodinia: A synthesis. Precambrian Res. 2008, 160, 179–210. [Google Scholar] [CrossRef]
- Li, Z.X.; Li, X.H.; Kinny, P.D.; Wang, J.; Zhang, S.H.; Zhou, H. Geochronology of Neoproterozoic syn-rift magmatism in the Yangtze craton, South China and correlations with other continents: Evidence for a mantle superplume that broke up Rodinia. Precambrian Res. 2003, 122, 85–109. [Google Scholar] [CrossRef]
- Zheng, Y.F.; Zhang, S.B.; Zhao, Z.F.; Wu, Y.B.; Li, X.H.; Li, Z.X.; Wu, F.Y. Contrasting zircon Hf and O isotopes in the two episodes of Neoproterozoic granitoids in South China: Implications for growth and reworking of continental crust. Lithos 2007, 96, 127–150. [Google Scholar] [CrossRef]
- Zheng, Y.F.; Wu, R.X.; Wu, Y.B.; Zhang, S.B.; Yuan, H.L.; Wu, F.Y. Rift melting of juvenile arc-derived crust: Geochemical evidence from Neoproterozoic volcanic and granitic rocks in the Jiangnan Orogen, South China. Precambrian Res. 2008, 163, 351–383. [Google Scholar] [CrossRef]
- Zhou, C.M.; Tucker, R.; Xiao, S.H.; Peng, Z.X.; Yuan, X.L.; Chen, Z. New constraints on the ages of Neoproterozoic glaciations in south China. Geology 2004, 32, 437–440. [Google Scholar] [CrossRef]
- Shields-Zhou, G.; Och, L. The case for a Neoproterozoic oxygenation event: Geochemical evidence and biological consequences. GSA Today 2011, 21, 4–11. [Google Scholar] [CrossRef]
- Shu, D.G.; Chen, L.; Han, J.; Zhang, X.L. An early Cambrian tunicate from China. Nature 2001, 411, 472–473. [Google Scholar] [CrossRef]
- Wang, X.L.; Zhou, J.C.; Qiu, J.S.; Gao, J.F. Geochemistry of the Meso- to Neoproterozoic basic-acid rocks from Hunan Province, South China: Implications for the evolution of the western Jiangnan orogen. Precambrian Res. 2004, 135, 79–103. [Google Scholar] [CrossRef]
- Zhou, M.F.; Yan, D.P.; Wang, C.L.; Qi, L.; Kennedy, A. Subduction related origin of the 750 Ma Xuelongbao adakitic complex (Sichuan Province, China): Implications for the tectonic setting of the giant Neoproterozoic magmatic event in South China. Earth Planet. Sci. Lett. 2006, 248, 286–300. [Google Scholar] [CrossRef]
- Wang, R.R.; Xu, Z.Q.; Santosh, M.; Zeng, B. Mid-Neoproterozoic magmatism in the northern margin of the Yangtze Block, South China: Implications for transition from subduction to post-collision. Precambrian Res. 2021, 354, 106073. [Google Scholar] [CrossRef]
- Huang, Y.; Wang, X.L.; Li, J.Y.; Li, R.C.; Du, D.H.; Jiang, C.H.; Li, L.S.; Ding, N. From arc accretion to within-plate extension: Geochronology and geochemistry of the Neoproterozoic magmatism on the northern margin of the Yangtze Block. Precambrian Res. 2023, 395, 107133. [Google Scholar] [CrossRef]
- Yao, J.L.; Shu, L.S.; Santosh, M.; Li, J.Y. Precambrian crustal evolution of the South China Block and its relation to supercontinent history: Constraints from U–Pb ages, Lu–Hf isotopes and REE geochemistry of zircons from sandstones and granodiorite. Precambrian Res. 2012, 208–211, 19–48. [Google Scholar] [CrossRef]
- Zhao, J.H.; Li, Q.; Liu, H.; Wang, W. Neoproterozoic magmatism in the western and northern margins of the Yangtze Block (South China) controlled by slab subduction and subduction-transform-edge-propagator. Earth-Sci. Rev. 2018, 187, 1–18. [Google Scholar] [CrossRef]
- Hui, B.; Dong, Y.P.; Liu, G.; Zhao, H.; Sun, S.S.; Zhang, F.F.; Liu, X.M. Origin of mafic intrusions in the Micangshan Massif, Central China: Implications for the Neoproterozoic tectonic evolution of the northwestern Yangtze Block. J. Asian Earth Sci. 2020, 190, 104132. [Google Scholar] [CrossRef]
- Wu, P.; Wu, Y.B.; Zhang, S.B.; Zheng, Y.F.; Li, L.; Gao, Y.; Song, H.; Xu, Z.Q.; Shi, Z.M. Revisiting Neoproterozoic tectono-magmatic evolution of the northern margin of the Yangtze Block, South China. Earth-Sci. Rev. 2024, 255, 104825. [Google Scholar] [CrossRef]
- Wang, Q.; Wymanc, D.; Li, Z.; Bao, Z.; Zhao, Z.; Wang, Y.; Jian, P.; Yang, Y.; Chen, L. Petrology, geochronology and geochemistry of ca. 780 Ma A-type granites in South China: Petrogenesis and implications for crustal growth during the breakup of the supercontinent Rodinia. Precambrian Res. 2010, 178, 185–208. [Google Scholar] [CrossRef]
- Zhou, M.F.; Yan, D.P.; Kennedy, A.K.; Li, Y.Q.; Ding, J. SHRIMP U–Pb zircon geochronological and geochemical evidence for Neoproterozoic arc-magmatism along the western margin of the Yangtze Block, South China. Earth Planet. Sci. Lett. 2002, 196, 51–67. [Google Scholar] [CrossRef]
- Zheng, Y.F.; Wu, Y.B.; Chen, F.K.; Gong, B.; Li, L.; Zhao, Z.F. Zircon U-Pb and oxygen isotope evidence for a large-scale 18O depletion event in igneous rocks during the Neoproterozoic. Geochim. Cosmochim. Acta 2004, 68, 4145–4165. [Google Scholar] [CrossRef]
- Wu, Y.B.; Zheng, Y.F.; Tang, J.; Gong, B.; Zhao, Z.F.; Liu, X.M. Zircon U–Pb dating of water–rock interaction during Neoproterozoic rift magmatism in South China. Chem. Geol. 2007, 246, 65–86. [Google Scholar] [CrossRef]
- Yang, Y.N.; Wang, X.C.; Li, Q.L.; Li, X.H. Integrated in situ U–Pb age and Hf–O analyses of zircon from Suixian Group in northern Yangtze: New insights into the Neoproterozoic low-18O magmas in the South China Block. Precambrian Res. 2016, 273, 151–164. [Google Scholar] [CrossRef]
- Hu, J.; Qiu, J.S.; Xu, X.S.; Wang, X.L.; Li, Z. Geochronology and geochemistry of gneissic metagranites in eastern Dabie Mountains: Implications for the Neoproterozoic tectono-magmatism along the northeastern margin of the Yangtze Block. Sci. China Earth Sci. 2010, 53, 501–517. [Google Scholar] [CrossRef]
- Liu, J.B.; Zhang, L.M.; Ye, K.; Su, W.; Cheng, N.F. Oxygen isotopes of whole-rock and zircon and zircon U-Pb ages of meta-rhyolite from the Luzhenguan Group and associated meta-granite in the northern Dabie Mountains. Acta Petrol. Sin. 2013, 29, 1511–1524. [Google Scholar]
- Lin, W.; Wang, Q.C.; Faure, M.; Arnaud, N. Tectonic evolution of the Dabieshan orogen: In the view from polyphase deformation of the Beihuaiyang metamorphic zone. Sci. China Earth Sci. 2005, 48, 886–899. [Google Scholar] [CrossRef]
- Zheng, Y.F.; Zhou, J.B.; Wu, Y.B.; Xie, Z. Low-grade metamorphic rocks in the Dabie–Sulu orogenic belt: A passive-margin accretionary wedge deformed during continent subduction. Int. Geol. Rev. 2005, 47, 851–871. [Google Scholar] [CrossRef]
- Xu, S.T.; Wu, W.P.; Lu, Y.Q.; Wang, D.H. Tectonic setting of the low-grade metamorphic rocks of the Dabie Orogen, central eastern China. J. Struct. Geol. 2012, 37, 134–149. [Google Scholar] [CrossRef]
- Rowley, D.B.; Xue, F.; Tucker, R.D.; Peng, Z.X.; Baker, J.; Davis, A. Ages of ultrahigh pressure metamorphism and protolith orthogneisses from the eastern Dabie Shan: U/Pb zircon geochronology. Earth Planet. Sci. Lett. 1997, 151, 191–203. [Google Scholar] [CrossRef]
- Hacker, B.R.; Ratschbacher, L.; Webb, L.; Ireland, T.; Walker, D.; Dong, S.W. U/Pb zircon ages constrain the architecture of the ultrahigh-pressure Qinling-Dabie Orogen, China. Earth Planet. Sci. Lett. 1998, 161, 215–230. [Google Scholar] [CrossRef]
- Zheng, Y.F.; Zhao, Z.F.; Wu, Y.B.; Zhang, S.B.; Liu, X.M.; Wu, F.Y. Zircon U–Pb age, Hf and O isotope constraints on protolith origin of ultrahigh-pressure eclogite and gneiss in the Dabie orogen. Chem. Geol. 2006, 231, 135–138. [Google Scholar] [CrossRef]
- Prave, A.R.; Meng, F.W.; Lepland, A.; Kirsimäe, K.; Kreitsmann, T.; Jiang, C.Z. A refined late-Cryogenian–Ediacaran earth history of South China: Phosphorous-rich marbles of the Dabie and Sulu orogens. Precambrian Res. 2018, 305, 166–176. [Google Scholar] [CrossRef]
- Li, S.G.; Jagoutz, E.; Chen, Y.Z.; Li, Q.L. Sm-Nd and Rb-Sr isotopic chronology and cooling history of ultrahigh pressure metamorphic rocks and their country rocks at Shuanghe in the Dabie Mountains, Central China. Geochim. Cosmochim. Acta 2000, 64, 1077–1093. [Google Scholar] [CrossRef]
- Liu, F.L.; Gerdes, A.; Liou, J.G.; Xue, H.M.; Liang, F.H. SHRIMP U-Pb zircon dating from Sulu-Dabie dolomitic marble, eastern China: Constraints on prograde, ultrahigh-pressure and retrograde metamorphic ages. J. Metamorph. Geol. 2006, 24, 569–589. [Google Scholar] [CrossRef]
- Lin, W.; Ji, W.B.; Faure, M.; Wu, L.; Li, Q.L.; Shi, Y.H.; Schärer, U.; Wang, F.; Wang, Q.C. Early Cretaceous extensional reworking of the Triassic HP-UHP metamorphic orogen in Eastern China. Tectonophysics 2015, 662, 256–270. [Google Scholar] [CrossRef]
- Wang, Y.S.; Yang, J.H.; Bai, Q.; Zhang, X.; Li, Z.S. Determination of the formation time of the present tectonic framework in the Dabie Orogen, eastern China: Zircon U-Pb geochronology and Al-in-Hornblende geobarometer. Minerals 2024, 14, 562. [Google Scholar] [CrossRef]
- Zhao, G.C.; Cawood, P.A. Precambrian geology of China. Precambrian Res. 2012, 222–223, 13–54. [Google Scholar] [CrossRef]
- Wang, Y.S.; Jiang, C.; Yang, J.H.; Bai, Q. Geochronology and geochemistry of Beilou granitic pluton: Identification of early Paleozoic arc magmatic rock in the Dabie Orogen, central China. Geol. J. 2022, 57, 2540–2563. [Google Scholar] [CrossRef]
- Zhu, G.; Wang, Y.S.; Wang, W.; Zhang, S.; Liu, C.; Gu, C.C.; Li, Y.J. An accreted micro-continent in the north of the Dabie Orogen, East China: Evidence from dating results of detrital zircons. Tectonophysics 2017, 698, 47–64. [Google Scholar] [CrossRef]
- Tang, J.K.; Shi, Y.H.; Cheng, N.F.; Yang, G.S.; Li, J.J.; Tang, G.X. Tectonic affinity and evolution of the Foziling Group: A window into the Dabie orogenic belt’s shallow subduction process. Lithos 2024, 488–489, 107804. [Google Scholar] [CrossRef]
- Liu, Y.S.; Gao, S.; Hu, Z.C.; Gao, C.G.; Zong, K.Q.; Wang, D.B. Continental and oceanic crust recycling-induced melt-peridotite interactions in the Trans-North China Orogen: U-Pb dating, Hf isotopes and trace elements in zircons from mantle xenoliths. J. Petrol. 2010, 51, 537–571. [Google Scholar] [CrossRef]
- Andersen, T. Correction of common lead in U-Pb analyses that do not report 204Pb. Chem. Geol. 2002, 192, 59–79. [Google Scholar]
- Ludwig, K.R. User’s Manual for Isoplot 3.14: A Geochronological Toolkit for Microsoft Excel; Berkeley Geochronology Center: Berkeley, CA, USA, 2004. [Google Scholar]
- Hu, Z.C.; Liu, Y.S.; Gao, S.; Liu, W.; Zhang, W.; Tong, X.; Lin, L.; Zong, K.Q.; Li, M.; Chen, H.; et al. Improved in situ Hf isotope ratio analysis of zircon using newly designed X skimmer cone and jet sample cone in combination with the addition of nitrogen by laser ablation multiple collector ICP-MS. J. Anal. At. Spectrom 2012, 27, 1391–1399. [Google Scholar] [CrossRef]
- Belousova, E.A.; Griffin, W.L.; O’Reilly, S.Y.; Fisher, N. Igneous zircon: Trace element composition as an indicator of source rock type. Contrib. Mineral. Petrol. 2002, 143, 602–622. [Google Scholar] [CrossRef]
- Middlemost, E.A.K. Naming materials in the magma/igneous rock system. Earth-Sci. Rev. 1994, 37, 215–224. [Google Scholar]
- Rickwood, P.C. Boundary lines within petrologic diagrams which use oxides of major and minor elements. Lithos 1989, 22, 247–263. [Google Scholar] [CrossRef]
- Maniar, P.D.; Piccoli, P.M. Tectonic discrimination of granitoids. Geol. Soc. Am. Bull. 1989, 101, 635–643. [Google Scholar] [CrossRef]
- Wu, P.; Zhang, S.B.; Zheng, Y.F.; Li, Q.L.; Lia, Z.X.; Sun, F.Y. The occurrence of Neoproterozoic low δ18O igneous rocks in the northwestern margin of the South China Block: Implications for the Rodinia configuration. Precambrian Res. 2020, 347, 105841. [Google Scholar] [CrossRef]
- Wang, S.; Liu, Y.H.; Yang, B.Z.; Tan, L.; Li, X.Y.; Deng, N. Neoproterozoic (750–711 Ma) Tectonics of the South Qinling Belt, Central China: New Insights from Geochemical, Zircon U-Pb Geochronological, and Sr-Nd Isotopic Data from the Niushan Complex. Acta Geol. Sin.-Engl. Ed. 2023, 97, 106–121. [Google Scholar] [CrossRef]
- Qiu, X.F.; Xu, Q.; Jiang, T.; Lu, S.S.; Zhao, L. Petrogenesis and tectonic significance of the middle Neoproterozoic highly fractionated A-type granite in the South Qinling block. Geol. Mag. 2021, 158, 1891–1910. [Google Scholar] [CrossRef]
- Xu, Y.; Yang, K.G.; Liu, Y.; Yang, Z.N.; Deng, X. Ca. 800 Ma I-type granites from the Hong’an Terrane, central China: New constraints on the mid-Neoproterozoic tectonic transition from convergence to extension in the northern margin of the Yangtze Block. J. Asian Earth Sci. 2022, 239, 105433. [Google Scholar] [CrossRef]
- Chen, C.; She, Z.B.; Ma, C.Q.; Yuan, J.L.; Kong, L.Y.; Wang, D.; Zhu, J.; Fan, C.; Guo, P.; Deng, H.; et al. Widespread ca. 800 Ma granitoids in the southern Dabie Orogen: Petrogenesis and implications for Neoproterozoic accretion-type orogeny in the northern Yangtze Block. Precambrian Res. 2024, 414, 107610. [Google Scholar] [CrossRef]
- Li, L.J.; Hu, M.Y.; Kong, L.Y.; Wang, L.; Lyu, Q.Q. Discovery and Geological Significance of Neoproterozoic Bimodal Intrusive Rocks in the Dabie Orogen, China. Minerals 2024, 14, 1199. [Google Scholar] [CrossRef]
- Tuo, J.C.; Wu, C.; Wang, G.S.; Wu, J.W.; Zhou, Z.G.; Li, J.L.; Haproff, P.J. Neoproterozoic–mesozoic tectono-magmatic evolution of the northern Dabie Orogen, eastern China. J. Asian Earth Sci. 2022, 228, 105138. [Google Scholar] [CrossRef]
- He, X.L.; Yang, Z.Y.; Liu, K.; Zhu, W.; Zhan, H.L.; Yang, P.; Wei, T.Z.; Wang, S.X.; Zhang, Y.Y. Involvement of the Northeastern Margin of South China Block in Rodinia Supercontinent Evolution: A Case Study of Neoproterozoic Granitic Gneiss in Rizhao Area, Shandong Province. Minerals 2024, 14, 807. [Google Scholar] [CrossRef]
- Wang, Z.; Wang, L.; Brown, M.; Johnson, T.E.; Kirkland, C.L.; Clark, C.; Blereau, E. Not all Neoproterozoic continental crust exposed in the Sulu belt was deeply subducted. Lithos 2025, 510–511, 108116. [Google Scholar] [CrossRef]
- Sun, S.S.; McDonough, W.F. Chemical and isotopic systematics of oceanic basalts: Implications for mantle composition and processes. Geol. Soc. Spec. Publ. 1989, 42, 313–345. [Google Scholar] [CrossRef]
- Wang, X.L.; Zhou, J.C.; Qiu, J.S.; Jiang, S.Y.; Shi, Y.R. Geochronology and geochemistry of Neoproterozoic mafic rocks from western Hunan, South China: Implications for petrogenesis and post-orogenic extension. Geol. Mag. 2008, 145, 215–233. [Google Scholar] [CrossRef]
- Chappell, B.W. Aluminium saturation in I- and S-type granites and the characterization of fractionated haplogranites. Lithos 1999, 46, 535–551. [Google Scholar] [CrossRef]
- Miller, C.F. Are strongly peraluminous magmas derived from pelitic sedimentary sources? J. Geol. 1985, 93, 673–689. [Google Scholar] [CrossRef]
- Wu, F.Y.; Liu, X.C.; Ji, W.Q.; Wang, J.M.; Yang, L. Highly fractionated granites: Recognition and research. Sci. China Earth Sci. 2017, 60, 1201–1219. [Google Scholar] [CrossRef]
- Whalen, J.B.; Currie, K.L.; Chappell, B.W. A-type granites: Geochemical characteristics, discrimination and petrogenesis. Contrib. Mineral. Petrol. 1987, 95, 407–419. [Google Scholar] [CrossRef]
- Regelous, A.; Scharfenberg, L.; De Wall, H. Origin of S-, A- and I-Type Granites: Petrogenetic Evidence from Whole Rock Th/U Ratio Variations. Minerals 2021, 11, 672. [Google Scholar] [CrossRef]
- King, P.L.; White, A.J.R.; Chappell, B.W.; Allen, C.M. Characterization and origin of aluminous A-type granites from the Lachlan fold belt, southeastern Australia. J. Petrol. 1997, 38, 371–391. [Google Scholar] [CrossRef]
- Ferry, J.M.; Watson, E.B. New thermodynamic models and revised calibrations for the Ti-in-zircon and Zr-in-rutile thermometers. Contrib. Mineral. Petrol. 2007, 154, 429–437. [Google Scholar] [CrossRef]
- Roberts, N.M.W.; Yakymchuk, C.; Spencer, C.J.; Keller, C.B.; Tapster, S.R. Revisiting the discrimination and distribution of S-type granites from zircon trace element composition. Earth Planet. Sci. Lett. 2024, 633, 118638. [Google Scholar] [CrossRef]
- Taylor, S.R.; McLennan, S.M. The geochemical evolution of the continental crust. Rev. Geophys. 1995, 33, 241–265. [Google Scholar] [CrossRef]
- Pearce, J.A.; Harris, N.B.W.; Tindle, A.G. Trace element discrimination diagrams for the tectonic interpretation of granitic rocks. J. Petrol. 1984, 25, 956–983. [Google Scholar] [CrossRef]
- Watson, E.B.; Cherniak, D.J. Oxygen diffusion in zircon. Earth Planet. Sci. Lett. 1997, 148, 527–544. [Google Scholar] [CrossRef]
- He, Q.; Zhang, S.B.; Zheng, Y.F.; Xia, Q.X.; Rubatto, D. Geochemical evidence for hydration and dehydration of crustal rocks during continental rifting. J. Geophys. Res. Solid Earth 2019, 124, 12593–12619. [Google Scholar] [CrossRef]
- Wu, Y.B.; Zheng, Y.F.; Gao, S.; Jiao, W.F.; Liu, Y.S. Zircon U-Pb age and trace element evidence for Paleoproterozoic granulite-facies metamorphism and Archean crustal rocks in the Dabie Orogen. Lithos 2008, 101, 308–322. [Google Scholar] [CrossRef]
- Wang, Y.S.; Bai, Q.; Tian, Z.Q.; Du, H. Detrital zircon U–Pb dating in the southern Hefei Basin: Evidence for exhumation of HP–UHP rocks of the Dabie Orogen. Sci. China Earth Sci. 2020, 63, 954–968. [Google Scholar] [CrossRef]
- Zhao, T.; Zhu, G.; Wu, Q.; Hu, R.M.; Wu, Y.H.; Xu, Z.Y.; Ye, J. Evidence for discrete Archean microcontinents in the Yangtze Craton. Precambrian Res. 2021, 361, 106259. [Google Scholar] [CrossRef]
- Liu, L.; Yang, X.Y.; Santosh, M.; Aulbach, S.; Zhou, H.Y.; Geng, J.Z.; Sun, W.D. Neoproterozoic intraplate crustal accretion on the northern margin of the Yangtze Block: Evidence from geochemistry, zircon SHRIMP U-Pb dating and Hf isotopes from the Fuchashan Complex. Precambrian Res. 2015, 268, 97–114. [Google Scholar] [CrossRef]
- Wang, J.; He, J.; Zhao, J.X.; Yang, Y.Z.; Chen, F.K. Multiple-stage Neoproterozoic magmatism recorded in the Zhangbaling uplift of the Northeastern Yangtze Block: Evidence from zircon ages and geochemistry. Minerals 2023, 13, 562. [Google Scholar] [CrossRef]
- Zhang, W.X.; Wu, Y.B.; Zhou, G.Y.; He, Y.; Liu, X.C.; Hu, P.; Chang, H.; Liu, C.Y.H. Crustal architecture of the southern Tongbai orogen, central China: Insight from migmatites and post-collisional granites. Lithos 2021, 404, 106439. [Google Scholar] [CrossRef]
- Dai, F.Q.; Zhao, Z.F.; Dai, L.Q.; Zheng, Y.F. Slab–mantle interaction in the petrogenesis of andesitic magmas: Geochemical evidence from postcollisional intermediate volcanic rocks in the Dabie Orogen, China. J. Petrol. 2016, 57, 1109–1134. [Google Scholar] [CrossRef]
- He, Q.; Zhang, S.B.; Zheng, Y.F. High temperature glacial meltwater–rock reaction in the Neoproterozoic: Evidence from zircon in-situ oxygen isotopes in granitic gneiss from the Sulu orogen. Precambrian Res. 2016, 284, 1–13. [Google Scholar] [CrossRef]
- Zhao, Y.J.; Wu, Y.B.; Liu, X.C.; Gao, S.; Wang, H.; Zheng, J.P.; Yang, S.H. Distinct zircon U–Pb and O–Hf–Nd–Sr isotopic behaviour during fluid flow in UHP metamorphic rocks: Evidence from metamorphic veins and their host eclogite in the Sulu Orogen, China. J. Metamorph. Geol. 2016, 34, 343–362. [Google Scholar] [CrossRef]
- Wang, R.R.; Xu, Z.Q.; Santosh, M. Neoproterozoic magmatism in the northern margin of the Yangtze Block, China: Implications for slab rollback in a subduction-related setting. Precambrian Res. 2019, 327, 176–195. [Google Scholar] [CrossRef]






Disclaimer/Publisher’s Note: The statements, opinions and data contained in all publications are solely those of the individual author(s) and contributor(s) and not of MDPI and/or the editor(s). MDPI and/or the editor(s) disclaim responsibility for any injury to people or property resulting from any ideas, methods, instructions or products referred to in the content. |
© 2025 by the authors. Licensee MDPI, Basel, Switzerland. This article is an open access article distributed under the terms and conditions of the Creative Commons Attribution (CC BY) license (https://creativecommons.org/licenses/by/4.0/).
Share and Cite
Bai, Q.; Wang, Y.; Ma, L.; Zhang, X.; Zhang, S. Geochronology and Geochemistry of Granitic Gneisses in the Dabie Orogen, Central China: Constraints on the Petrogenesis of Mid-Neoproterozoic Magmatic Rocks in the Northern Yangtze Block. Minerals 2025, 15, 1323. https://doi.org/10.3390/min15121323
Bai Q, Wang Y, Ma L, Zhang X, Zhang S. Geochronology and Geochemistry of Granitic Gneisses in the Dabie Orogen, Central China: Constraints on the Petrogenesis of Mid-Neoproterozoic Magmatic Rocks in the Northern Yangtze Block. Minerals. 2025; 15(12):1323. https://doi.org/10.3390/min15121323
Chicago/Turabian StyleBai, Qiao, Yongsheng Wang, Liquan Ma, Xu Zhang, and Shuai Zhang. 2025. "Geochronology and Geochemistry of Granitic Gneisses in the Dabie Orogen, Central China: Constraints on the Petrogenesis of Mid-Neoproterozoic Magmatic Rocks in the Northern Yangtze Block" Minerals 15, no. 12: 1323. https://doi.org/10.3390/min15121323
APA StyleBai, Q., Wang, Y., Ma, L., Zhang, X., & Zhang, S. (2025). Geochronology and Geochemistry of Granitic Gneisses in the Dabie Orogen, Central China: Constraints on the Petrogenesis of Mid-Neoproterozoic Magmatic Rocks in the Northern Yangtze Block. Minerals, 15(12), 1323. https://doi.org/10.3390/min15121323
