Viability of Bauxite Deposits from Catalonia (Spain) for Ceramic Applications
Abstract
:1. Introduction
2. Materials and Methods
2.1. Study Area
2.2. Sampling
2.3. Analytical Methods
2.4. Technological Tests
3. Results
3.1. Chemical Composition
3.2. Mineralogical Composition
3.3. Rheological Properties
3.4. Thermal Evolution
3.5. Technological Properties
3.5.1. Gresification Curves
3.5.2. Mineralogy of the Fired Materials
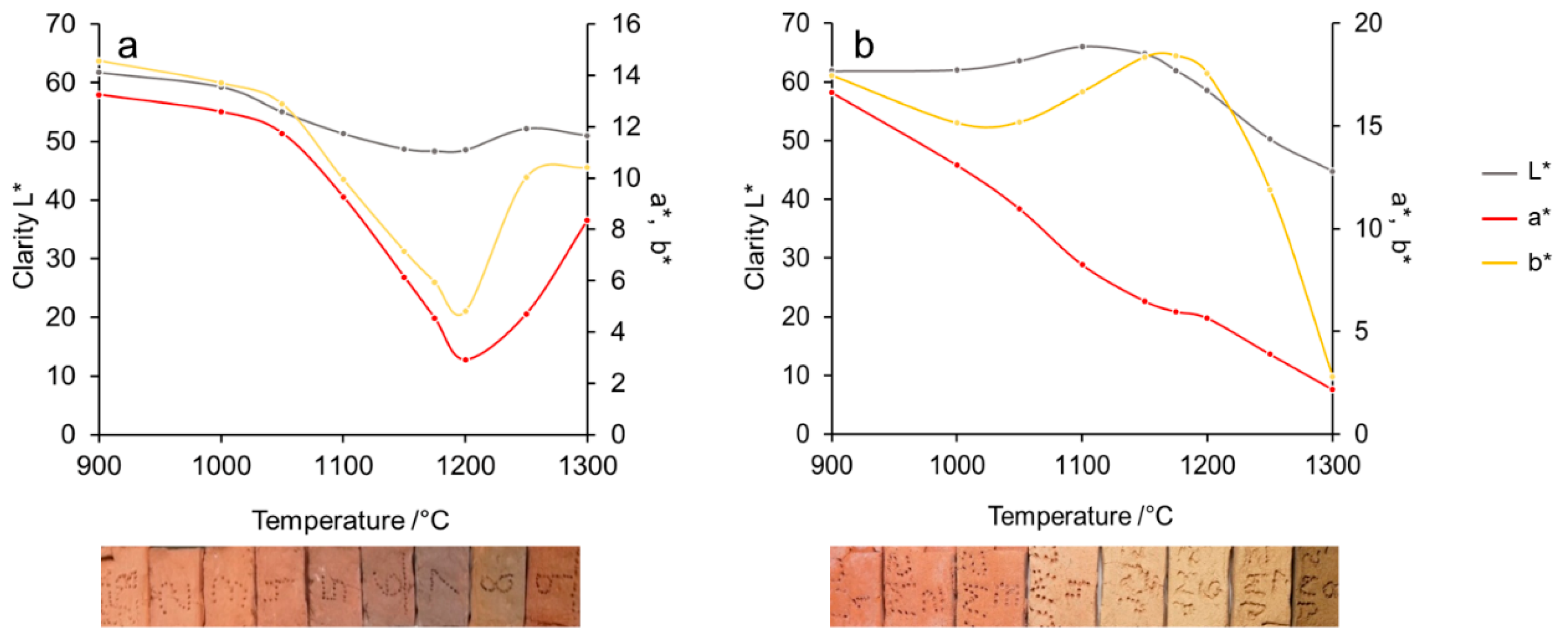
3.5.3. Color of Fired Tiles
4. Conclusions
Supplementary Materials
Author Contributions
Funding
Data Availability Statement
Acknowledgments
Conflicts of Interest
References
- Murray, H.H. Traditional and new applications for kaolin, smectite, and palygorskite: A general overview. Appl. Clay Sci. 2000, 17, 207–221. [Google Scholar] [CrossRef]
- Liew, Y.M.; Kamarudin, H.; Al Bakri, A.M.; Luqman, M.; Nizar, I.K.; Heah, C.Y. Investigating the possibility of utilization of kaolin and the potential of metakaolin to produce green cement for construction purposes—A review. Aust. J. Basic Appl. Sci. 2011, 5, 441–449. [Google Scholar]
- Cardinaud, G.; Rozière, E.; Martinage, O.; Loukili, A.; Barnes-Davin, L.; Paris, M.; Deneele, D. Calcined clay–Limestone cements: Hydration processes with high and low-grade kaolinite clays. Constr. Build. Mater. 2021, 277, 122271. [Google Scholar] [CrossRef]
- da Silva, M.R.C.; Malacarne, C.S.; Longhi, M.A.; Kirchheim, A.P. Valorization of kaolin mining waste from the Amazon region (Brazil) for the low-carbon cement production. Case Stud. Constr. Mater. 2021, 15, e00756. [Google Scholar] [CrossRef]
- Zheng, S.; Zhou, X.; Xing, W.; Zhao, P. Analysis on the evolution characteristics of kaolin international trade pattern based on complex networks. Resour. Policy 2022, 77, 102783. [Google Scholar] [CrossRef]
- Barreto, I.A.R.; da Costa, M.L. Use of the clayey cover of bauxite deposits of the Amazon region for geopolymer synthesis and its application in red ceramics. Constr. Build. Mater. 2021, 300, 124318. [Google Scholar] [CrossRef]
- Melo, C.C.A.; Melo, B.L.S.; Angelica, R.S.; Paz, S.P.A. Gibbsite-kaolinite waste from bauxite beneficiation to obtain FAU zeolite: Synthesis optimization using a factorial design of experiments and response surface methodology. Appl. Clay Sci. 2019, 170, 125–134. [Google Scholar] [CrossRef]
- Sglavo, V.M.; Maurina, S.; Conci, A.; Salviati, A.; Carturan, G.; Cocco, G. Bauxite red mud in the ceramic industry. Part 2: Production of clay-based ceramics. J. Eur. Ceram. Soc. 2000, 20, 245–252. [Google Scholar] [CrossRef]
- Yalçın, N.; Sevinç, V. Utilization of bauxite waste in ceramic glazes. Ceram. Int. 2000, 26, 485–493. [Google Scholar] [CrossRef]
- Dong, Y.; Feng, X.; Feng, X.; Ding, Y.; Liu, X.; Meng, G. Preparation of low-cost mullite ceramics from natural bauxite and industrial waste fly ash. J. Alloys Compd. 2008, 460, 599–606. [Google Scholar] [CrossRef]
- Fernández-Caliani, J.C.; Galán, E.; Aparicio, P.; Miras, A.; Márquez, M.G. Origin and geochemical evolution of the Nuevo Montecastelo kaolin deposit (Galicia, NW Spain). Appl. Clay Sci. 2010, 49, 91–97. [Google Scholar] [CrossRef]
- Martin-Moreno, C.; Martin-Duque, J.F.; Nicolau, J.M.; Sanchez, L.; Ruiz, R.; Sanz, M.A.; Lucía, A.; Zapico, I. A geomorphic approach for the ecological restoration of kaolin mines at the Upper Tagus Natural Park (Spain). In Proceedings of the 6th European Conference on Ecological Restoration, Ghent, Belgium, 8–12 September 2008; pp. 8–12. [Google Scholar]
- Dondi, M.; García-Ten, J.; Rambaldi, E.; Zanelli, C.; Vicent-Cabedo, M. Resource efficiency versus market trends in the ceramic tile industry: Effect on the supply chain in Italy and Spain. Resour. Conserv. Recycl. 2021, 168, 105271. [Google Scholar] [CrossRef]
- Molina, J.M. Paleokarsts in Spain. Acta Geol. Hung. 1991, 34, 179–194. [Google Scholar]
- Salas, R.; Vaquer, R.; Travé, A. Bauxitas kársticas y arcillas lateríticas barremienses de la Cadena Ibérica oriental y la Cadena Costera Catalana: Relaciones genéticas y áreas de procedencia. Geotemas 2004, 6, 123–126. [Google Scholar]
- Yuste, A.; Bauluz, B.; Mayayo, M.J. Genesis and mineral transformations in Lower Cretaceous karst bauxites (NE Spain): Climatic influence and superimposed processes. Geol. J. 2015, 50, 839–857. [Google Scholar] [CrossRef]
- Yuste, A.; Bauluz, B.; Mayayo, M.J. Origin and geochemical evolution from ferrallitized clays to karst bauxite: An example from the Lower Cretaceous of NE Spain. Ore Geol. Rev. 2017, 84, 67–79. [Google Scholar] [CrossRef]
- Reinhardt, N.; Proenza, J.A.; Villanova-de-Benavent, C.; Aiglsperger, T.; Bover-Arnal, T.; Torró, L.; Salas, R.; Dziggel, A. Geochemistry and mineralogy of rare earth elements (REE) in Bauxitic ores of the Catalan Coastal Range, NE Spain. Minerals 2018, 8, 562. [Google Scholar] [CrossRef]
- Garcia-Valles, M.; Alfonso, P.; Martínez, S.; Roca, N. Mineralogical and thermal characterization of kaolinitic clays from Terra Alta (Catalonia, Spain). Minerals 2020, 10, 142. [Google Scholar] [CrossRef]
- Vergés, J.; Munoz, J.A. Thrust sequence in the southern central Pyrenees. Bull. Soc. Géol. Fr. BSGF 1990, 6, 265–271. [Google Scholar] [CrossRef]
- Burbank, D.W.; Verges, J.; Muñoz, J.A.; Bentham, P. Coeval hindward-and forward-imbricating thrusting in the south-central Pyrenees, Spain: Timing and rates of shortening and deposition. Geol. Soc. Am. Bull. 1992, 104, 3–17. [Google Scholar] [CrossRef]
- Molina, J.M.; Ruiz-Ortiz, P.A.; Vera, J.A.; Calonge, A. Bauxitas kársticas de la Sierra de Boada. Geogaceta 1994, 16, 148–150. [Google Scholar]
- Closas i Miralles, J. Els nous jaciments de bauxita. Butlletí Inst. Catalana D’història Nat. 1949, 22–29. [Google Scholar]
- Closas i Miralles, J. Las bauxitas del NE de España. XIX Congr. Geol. Inrern 1952, 12, 199–223. [Google Scholar]
- Moore, D.M.; Reynolds, R.C., Jr. X-ray Diffraction and The Identification and Analysis of Clay Minerals, 2nd ed.; Oxford University Press OUP: Oxford, UK, 1997. [Google Scholar]
- Plançon, A.; Giese, R.F.; Snyder, R. The Hinckley index for kaolinites. Clay Miner. 1988, 23, 249–260. [Google Scholar] [CrossRef]
- AENOR. UNE 7-377-75; Determinación del Límite Líquido de un Suelo por el Método de la Cuchara. UNE: Madrid, Spain, 1976.
- AENOR. UNE 103-104-93; Determinación del Limite Plástico de un Suelo. UNE: Madrid, Spain, 1993.
- UNE-EN ISO 10545-3:2018; Ceramic Tiles—Part 3: Determination of Water Absorption, Apparent Porosity, Apparent Relative Density and Bulk Density (ISO 10545-3:2018). ISO: Madrid, Spain, 2018.
- Baccour, H.; Medhioub, M.; Jamoussi, F.; Mhiri, T. Influence of Firing Temperature on the Ceramic Properties of Triassic Clays from Tunisia. J. Mater. Proc. Technol. 2009, 209, 2812–2828. [Google Scholar] [CrossRef]
- Garcia-Valles, M.; Cuevas, D.; Alfonso, P.; Martínez, S. Thermal behaviour of ceramics obtained from the kaolinitic clays of Terra Alta, Catalonia, Spain. J. Thermal Anal. Calorim. 2022, 147, 5303–5312. [Google Scholar] [CrossRef]
- CIELab CIE. Technical Report, Colorimetry; Commission Internationale de L’Eclairage: St. Paul, MN, USA, 1931. [Google Scholar]
- Bárdossy, G.; Aleva, G.J.J. Lateritic Bauxites: Developments in Economic Geology; Elsevier Science: Amsterdam, The Netherlands, 1990; 624p. [Google Scholar]
- Laita, E.; Bauluz, B.; Mayayo, M.J.; Yuste, A. Mineral and textural transformations in mixtures of Al-rich and Al–K-rich clays with firing: Refractory potential of the fired products. Ceram. Int. 2021, 47, 14527–14539. [Google Scholar] [CrossRef]
- Galán, E.; Aparicio, P.; Gonzalez, I.; Miras, A. Contribution of multivariate analysis to the correlation of some properties of kaolin with its mineralogical and chemical composition. Clay Miner. 1998, 33, 65–75. [Google Scholar] [CrossRef]
- Aparicio, P.; Galán, E. Mineralogical interference on kaolinite crystallinity index measurements. Clays Clay Miner. 1999, 47, 12–27. [Google Scholar] [CrossRef]
- Hinckley, D.N. Mineralogical and chemical variations in kaolin deposits of the coastal plain of Georgia and South Carolina. Am. Miner. 1965, 70, 1865–1883. [Google Scholar]
- Christoph, G.G.; Corbato, C.E.; Hofmann, D.A.; Tettenhorst, R.T. The crystal structure of boehmite. Clays Clay Miner. 1979, 27, 81–86. [Google Scholar] [CrossRef]
- Kloprogge, J.T.; Ruan, H.D.; Frost, R.L. Thermal decomposition of bauxite minerals: Infrared emission spectroscopy of gibbsite, boehmite and diaspore. J. Mater. Sci. 2002, 37, 1121–1129. [Google Scholar] [CrossRef]
- Balde, M.Y.; Djangang, C.N.; Diallo, R.B.; Blanchart, P.; Njopwouo, D. Physicochemical Characterisation for Potential Uses as Industrial Mineral of Bauxite from Débélé, Guinea. J. Mater. Sci. Chem. Eng. 2021, 9, 9–22. [Google Scholar]
- Tettenhorst, R.; Hofmann, D.A. Crystal chemistry of boehmite. Clays Clay Miner. 1980, 28, 373–380. [Google Scholar] [CrossRef]
- Holtz, R.D.; Kovacs, W.D. An Introduction to Geotechnical Engineering, 1st ed.; Prentice-Hall: Englewood Cliffs, NJ, USA, 1981; 733p. [Google Scholar]
- El Ouahabi, M.; Daoudi, L.; Fagel, N. Mineralogical and geotechnical characterization of clays from northern Morocco for their potential use in the ceramic industry. Clay Miner. 2014, 49, 35–51. [Google Scholar] [CrossRef]
- Salah, I.B.; Sdiri, A.; Jemaia, M.B.M.; Boughdiria, I.M. Potential use of the lower Cretaceous clay (Kef area, Northwestern Tunisia) as raw material to supply ceramic industry. Appl. Clay Sci. 2018, 161, 151–162. [Google Scholar] [CrossRef]
- Kagonbé, B.P.; Tsozué, D.; Nzeukou, A.N.; Ngos, S., III. Mineralogical, physico-chemical and ceramic properties of clay materials from Sekandé and Gashiga (North, Cameroon) and their suitability in earthenware production. Heliyon 2021, 7, e07608. [Google Scholar] [CrossRef]
- Dodoo-Arhin, D.; Konadu, D.S.; Annan, E.; Buabeng, F.P.; Yaya, A.; Agyei-Tuffour, B. Fabrication and characterisation of Ghanaian bauxite red mud-clay composite bricks for construction applications. Am. J. Mater. Sci. 2013, 3, 110–119. [Google Scholar]
- Mishra, M.C.; Reddy, N.G.; Rao, B.H. Potential of citric acid for treatment of extremely alkaline bauxite residue: Effect on geotechnical and geoenvironmental properties. J. Hazard. Toxic Radioact. Waste 2020, 24, 04020047. [Google Scholar] [CrossRef]
- de Azevedo, A.R.G.; Marvila, M.T.; de Oliveira, M.A.B.; Umbuzeiro, C.E.M.; Huaman, N.R.C.; Monteiro, S.N. Perspectives for the application of bauxite wastes in the development of alternative building materials. J. Mater. Res. Technol. 2022, 20, 3114–3125. [Google Scholar] [CrossRef]
- Bokhimi, X.; Toledo-Antonio, J.A.; Guzman-Castillo, M.L.; Mar-Mar, B.; Hernandez-Beltran, F.; Navarrete, J. Dependence of boehmite thermal evolution on its atom bond lengths and crystallite size. J. Solid State Chem. 2001, 161, 319–326. [Google Scholar] [CrossRef]
- Denigres Filho, R.W.N.; Rocha, G.D.A.; Montes, C.R.; Vieira-Coelho, A.C. Synthesis and characterization of boehmites obtained from gibbsite in presence of different environments. Mater. Res. 2016, 19, 659–668. [Google Scholar] [CrossRef]
- Frost, R.L.; Vassallo, A.M. The dehydroxylation of the kaolinite clay minerals using infrared emission spectroscopy. Clays Clay Miner. 1996, 44, 635–651. [Google Scholar] [CrossRef]
- Földvári, M. Handbook of Thermogravimetric System of Minerals and Its Use in Geological Practice; Geological Institute of Hungary: Budapest, Hungary, 2011; Volume 213. [Google Scholar]
- Tsukada, T.; Segawa, H.; Yasumori, A.; Okada, K. Crystallinity of boehmite and its effect on the phase transition temperature of alumina. J. Mater. Chem. 1999, 9, 549–553. [Google Scholar] [CrossRef]
- Rudolph, M.; Salomon, A.; Schmidt, A.; Motylenko, M.; Zienert, T.; Stöcker, H.; Himcinschi, C.; Amirkhanyan, L.; Kortus, J.; Aneziris, C.G.; et al. Thermally induced formation of transition aluminas from boehmite. Adv. Engin. Mater. 2017, 19, 1700141. [Google Scholar] [CrossRef]
- Ramachandran, V.S.; Paroli, R.M.; Beaudoin, J.J.; Delgado, A.H. Handbook of Thermal Analysis of Construction Materials; William Andrew: Norwich, NY, USA, 2002. [Google Scholar]
- Cultrone, G.; Rodriguez-Navarro, C.; Sebastian, E.; Cazalla, O.; De La Torre, M.J. Carbonate and silicate phase reactions during ceramic firing. Eur. J. Mineral. 2001, 13, 621–634. [Google Scholar] [CrossRef]
- Karaman, S.; Ersahin, S.; Gunal, H. Firing Temperature and Firing Time Influence on Mechanical and Physical Properties of Clay Bricks; CSIR: Pretoria, South Africa, 2006. [Google Scholar]
- Sousa, S.; Holanda, J. Development of red wall tiles by the dry process using Brazilian raw materials. Ceram. Int. 2005, 31, 215–222. [Google Scholar] [CrossRef]
- Carretero, M.I.; Dondi, M.; Fabbri, B.; Raimondo, M. The influence of shaping and firing technology on ceramic properties of calcareous and non-calcareous illitic–chloritic clays. Appl. Clay Sci. 2002, 20, 301–306. [Google Scholar] [CrossRef]
- Celik, H. Technological characterization and comparison of two ceramic clays used for manufacturing of traditional ceramic products in Turkey. Sci. Min. J. 2017, 56, 137–147. [Google Scholar]
- Darbari, Z.; Jaradat, K.A.; Abdelaziz, S.L. Heating–freezing effects on the pore size distribution of a kaolinite clay. Environ. Earth Sci. 2017, 76, 713. [Google Scholar] [CrossRef]
- Osborn, E.F.; Muan, A. Al2O3-CaO-SiO2 system revised and redrawn. In Phase Equilibrium Diagrams of Oxides System; Hart, L.D., Ed.; American Ceramic Society and the Edward Orton, Jr., Ceramic Foundation: Columbus, OH, USA, 1960. [Google Scholar]
- Igami, Y.; Ohi, S.; Miyake, A. Sillimanite-mullite transformation observed in synchrotron X-ray diffraction experiments. J. Am. Ceram. Soc. 2017, 100, 4928–4937. [Google Scholar] [CrossRef]
- Montoya, N.; Serrano, F.J.; Reventós, M.M.; Amigo, J.M.; Alarcón, J. Effect of TiO2 on the mullite formation and mechanical properties of alumina porcelain. J. Eur. Ceram. Soc. 2010, 30, 839–846. [Google Scholar] [CrossRef]
- Xu, X.; Lao, X.; Wu, J.; Zhang, Y.; Xu, X.; Li, K. Microstructural evolution, phase transformation, and variations in physical properties of coal series kaolin powder compact during firing. Appl. Clay Sci. 2015, 115, 76–86. [Google Scholar] [CrossRef]
- Liu, Z.; Lian, W.; Liu, Y.; Zhu, J.; Xue, C.; Yang, Z.; Lin, X. Phase formation, microstructure development, and mechanical properties of kaolin-based mullite ceramics added with Fe2O3. Int. J. Appl. Ceram. Technol. 2021, 18, 1074–1081. [Google Scholar] [CrossRef]
- Pardo, F.; Meseguer, S.; Jordán, M.M.; Sanfeliu, T.; González, I. Firing transformations of Chilean clays for the manufacture of ceramic tile bodies. Appl. Clay Sci. 2011, 51, 147–150. [Google Scholar] [CrossRef]
- Wang, R.; Xu, S.; Yue, Y.; Wang, X. Thermal behavior of materials in laser-assisted extreme manufacturing: Raman-based novel characterization. Int. J. Extreme Manuf. 2020, 2, 032004. [Google Scholar] [CrossRef]
- Barba, A.; Beltrán, V.; Felíu, C.; García, F.; Sánchez, E.; Sanz, V. Materias Primas para la Fabricación de Soportes de Baldosas Cerámicas; Instituto de Tecnología Cerámica: Castellón, Spain, 1997. [Google Scholar]
- Bouzidi, N.; Siham, A.; Concha-Lozano, N.; Gaudon, P.; Janin, G.; Mahtout, L.; Merabet, D. Effect of chemico-mineralogical composition on color of natural and calcined kaolins. Color Res. Appl. 2014, 39, 499–505. [Google Scholar] [CrossRef]
- De Bonis, A.; Cultrone, G.; Grifa, C.; Langella, A.; Leone, A.P.; Mercurio, M.; Morra, V. Different shades of red: The complexity of mineralogical and physico-chemical factors influencing the colour of ceramics. Ceram. Int. 2017, 43, 8065–8074. [Google Scholar] [CrossRef]












| Sample | SiO2 | Al2O3 | TiO2 | Fe2O3 | MnO | MgO | CaO | Na2O | K2O | P2O5 | LOI | SiO2/Al2O3 | Al2O3/Fe2O3 |
|---|---|---|---|---|---|---|---|---|---|---|---|---|---|
| P1 | 9.51 | 47.20 | 2.16 | 27.70 | 0.00 | 0.07 | 0.15 | 0.04 | 0.02 | 0.05 | 12.40 | 0.20 | 2.08 |
| P2 | 48.0 | 27.10 | 1.14 | 8.44 | 0.00 | 0.64 | 0.32 | 0.20 | 1.99 | 0.06 | 11.85 | 1.77 | 3.21 |
| P3 | 30.50 | 34.60 | 1.71 | 19.40 | 0.01 | 0.10 | 0.32 | 0.04 | 0.10 | 0.02 | 12.95 | 0.88 | 1.78 |
| P10-B | 18.58 | 42.97 | 2.91 | 1.35 | 0.00 | 0.00 | 0.29 | - | 0.04 | 0.36 | - | 0.43 | 31.8 |
| P11-A | 25.29 | 28.74 | 1.75 | 21.60 | 0.00 | 0.00 | 0.89 | - | 2.62 | 0.00 | - | 0.88 | 1.33 |
| P11-B | 47.03 | 12.66 | 0.82 | 5.85 | 0.02 | 0.73 | 8.69 | - | 2.88 | 0.42 | 20.93 | 2.16 | 0.67 |
| P14-1 | 14.73 | 29.62 | 1.98 | 28.07 | 0.02 | 0.00 | 9.42 | - | 0.17 | 0.00 | - | 0.50 | 1.06 |
| P14-3 | 35.39 | 29.21 | 1.53 | 12.81 | 0.02 | 0.01 | 0.32 | - | 2.94 | - | 0.87 | 2.28 | |
| P15-1 | 8.97 | 32.15 | 2.08 | 38.40 | 0.00 | 0.00 | 0.64 | - | 0.05 | 0.38 | - | 0.28 | 0.84 |
| P15-4 | 16.75 | 41.64 | 2.65 | 24.80 | 0.00 | 0.00 | 4.76 | - | 0.23 | 0.42 | - | 1.68 | 5.21 |
| JM 1 | 24.00 | 42.80 | 2.39 | 18.00 | 0.01 | 0.10 | 0.16 | 0.05 | 0.02 | 0.06 | 12.85 | 0.56 | 2.38 |
| JM 2 | 23.43 | 16.69 | 0.95 | 8.21 | 0.01 | 0.43 | 24.52 | 0.06 | 0.60 | 0.08 | 25.02 | 1.40 | 2.03 |
| Sample | Kaolinite | Quartz | Bohemite | Hematite | Goethite | Rutile/Anatase | Calcite | Illite | Zircon | HI |
|---|---|---|---|---|---|---|---|---|---|---|
| P 1 | 28 | - | 54 | 15 | - | 3 | - | - | - | 1.39 |
| P 2 | 43 | 28 | - | 3 | - | 2 | - | 24 | - | 0.51 |
| P 3 | 68 | - | 16 | 13 | - | 2 | - | - | - | 0.96 |
| P 10-B | 47 | - | 51 | - | 2 | - | - | - | 1.12 | |
| P 11-A | 60 | - | 13 | 15 | 4 | 4 | 4 | - | 4 | 0.95 |
| P 11-B | 5 | 45 | - | 1 | - | 1 | 9 | 39 | - | |
| P 14-1 | 30 | - | 32 | 16 | - | 2 | 20 | - | - | 1.06 |
| P14-3 | 49 | 9 | 1 | 4 | 5 | 2 | - | 29 | - | 1.22 |
| P 15-1 | 54 | - | 26 | 17 | - | 3 | - | - | - | 1.28 |
| P 15 4 | 32 | 6 | 37 | 12 | - | 2 | 11 | - | - | 0.94 |
| JM 1 | 61 | - | 25 | 12 | - | 2 | - | - | - | 1.02 |
| JM 2 | 32 | - | 8 | 6 | - | - | 54 | - | - | 0.52 |
| Kaolinite [19] | Boehmite [38,39] | P1 | P2-B | P3 | JM1 | Assignment |
|---|---|---|---|---|---|---|
| 3670–3656 | 3693 | 3699 | 3695 | 3696 | Al-OH stretching | |
| 3645 | 3654 | 3654 | 3655 | 3654 | Al-OH stretching | |
| 3620 | 3622 | 3625 | 3623 | 3622 | Al-OH stretching | |
| 3295 | 3295 | 3299 | 3300 | Al-OH stretching | ||
| 3090 | 3103 | 3104 | 3097 | Al-OH stretching | ||
| 1638 | 1638 | 1639 | 1638 | 1639 | H-O-H stretching | |
| 1160 | 1150 | 1164 | 1172 | H-O-H stretching | ||
| 1117–1105 | 1108 | 1112 | 1112 | 1109 | Si-O stretching | |
| 1067 | 1020 | 1020 | 1018 | H-O-H stretching | ||
| 945 | 950 | 947 | 948 | Si-O | ||
| 918–909 | 919 | 924 | 931 | 915 | OH deformation | |
| 800–784 | 821 | 803 | 794 | 804 | OH deformation | |
| 730 | 728 | 750 | 732 | Si-O-Al stretching | ||
| 700–686 | 709 | 698 | 730 | 700 | Si-O | |
| 624 | 640 | 716 | 642 | Si-O-Al stretching | ||
| 535–524 | 556 | 530 | 520 | 523 | Si-O-Al stretching | |
| 490 | 528 | 489 | 489 | Si-O-Al stretching | ||
| 475–468 | 460 | 479 | 462 | 464 | Si-O-Si bending | |
| 430 | 426 | 431 | 440 | 431 | Si-O Bending |
| Sample | Temperature/°C | Weight Loss/% | ||||||
|---|---|---|---|---|---|---|---|---|
| Endothermic | Exothermic | Adsorbed Water < 200 °C | Structural Water 400–550 °C | Structural Water > 550 °C | Decarbonization | |||
| 1 Boehmite | 2 Kaolinite | γ-Al2O3 → θ-Al2O3 | Mullite Formation | |||||
| P1 | 538 | 568 | - | 978 | 0.55 | 5 | 6 | - |
| P2 | - | 547 | - | 950 | 1.89 | 4 | 4 | - |
| P3 | 530 | 568 | 952 | 972 | 1.49 | 6 | 5 | - |
| P10-B | 530 | 547 | 954 | 970 | 2.66 | 9 | 7 | - |
| JM 1 | 536 | 564 | - | 966 | 0.37 | 6 | 5 | - |
| JM 2 | - | 535 | 953 | - | 1.7 | 6 | - | 17 |
Disclaimer/Publisher’s Note: The statements, opinions and data contained in all publications are solely those of the individual author(s) and contributor(s) and not of MDPI and/or the editor(s). MDPI and/or the editor(s) disclaim responsibility for any injury to people or property resulting from any ideas, methods, instructions or products referred to in the content. |
© 2023 by the authors. Licensee MDPI, Basel, Switzerland. This article is an open access article distributed under the terms and conditions of the Creative Commons Attribution (CC BY) license (https://creativecommons.org/licenses/by/4.0/).
Share and Cite
Martínez, A.; Garcia-Valles, M.; Alfonso, P. Viability of Bauxite Deposits from Catalonia (Spain) for Ceramic Applications. Minerals 2023, 13, 1294. https://doi.org/10.3390/min13101294
Martínez A, Garcia-Valles M, Alfonso P. Viability of Bauxite Deposits from Catalonia (Spain) for Ceramic Applications. Minerals. 2023; 13(10):1294. https://doi.org/10.3390/min13101294
Chicago/Turabian StyleMartínez, Arnau, Maite Garcia-Valles, and Pura Alfonso. 2023. "Viability of Bauxite Deposits from Catalonia (Spain) for Ceramic Applications" Minerals 13, no. 10: 1294. https://doi.org/10.3390/min13101294
APA StyleMartínez, A., Garcia-Valles, M., & Alfonso, P. (2023). Viability of Bauxite Deposits from Catalonia (Spain) for Ceramic Applications. Minerals, 13(10), 1294. https://doi.org/10.3390/min13101294

