Produced Gas and Condensate Geochemistry of the Marcellus Formation in the Appalachian Basin: Insights into Petroleum Maturity, Migration, and Alteration in an Unconventional Shale Reservoir
Abstract
1. Introduction
2. Geological Framework and Current Status of Marcellus Formation Research
3. Materials and Methods
4. Results and Discussion
4.1. Bulk Composition and Stable Isotopes of Produced Gases
4.2. Noble Gas Isotopic Analyses of Dry Gas Samples
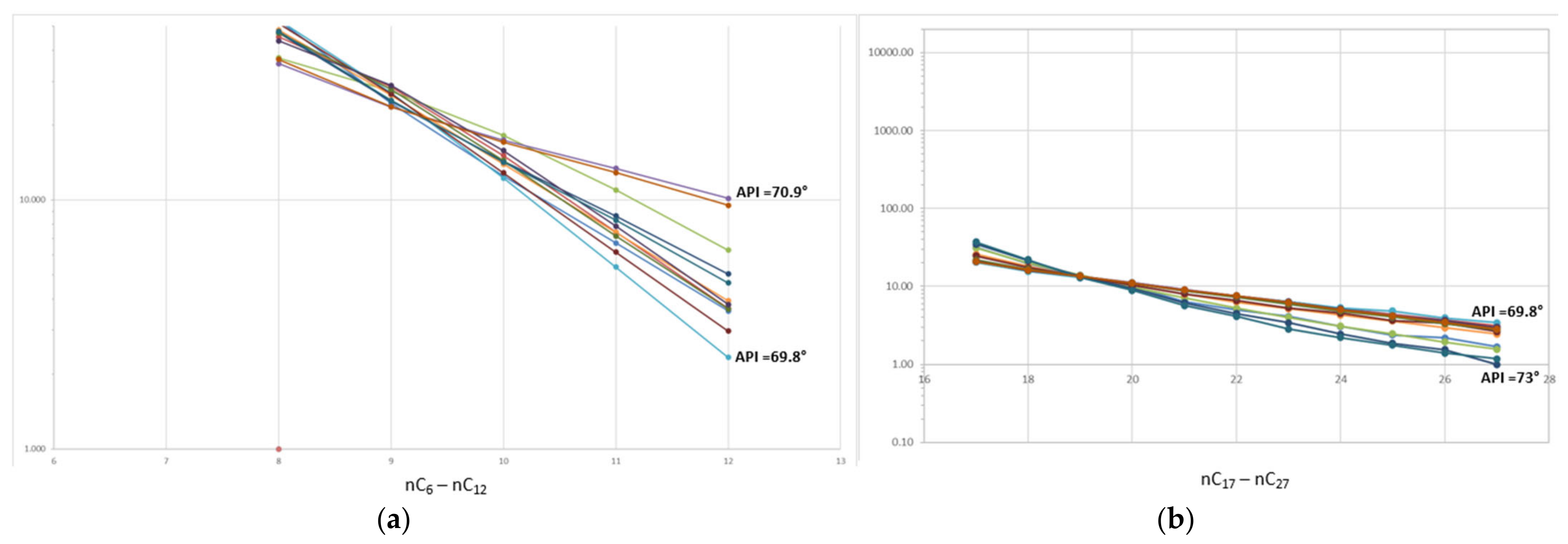
4.3. API Gravity and High-Resolution Gas Chromatography (HRGC) Analyses of Condensate Samples
4.4. Variations in Thermal Maturity of Marcellus Formation Hydrocarbon Gases
4.5. Secondary Effects
4.6. Isotopic Reversals: Origin and Significance
- A combination of mixing with either Rayleigh fractionation (for carbon isotopes) or the exchange of methane hydrogen with formation water [72];
- Destruction and subsequent reformation of C2+ alkanes via gas-phase radical recombination reactions at high temperatures and pressures [90];
- Depletion of 13C in residual ethane and propane as their molar fractions decrease during thermal decomposition [94];
- Diffusive gas leakage [95];
- Water reforming followed by Fischer–Tropsch synthesis [96];
- Carbon exchange at high temperature [97];
- Aerobic and anaerobic microbial oxidation of select alkane components [98];
- Thermochemical sulfate reduction [99];
- Isotopic fractionation during desorption from uplifted and de-pressurized late-mature shale resulting in isotope reversals in residual gas [92]; and
- Hydrogen and carbon isotope distributions reflecting thermodynamic equilibrium either at the conditions of gas formation or during reservoir storage [100].
4.7. Stable Isotope Systematics of Marcellus Formation Shale-Gas during Pressure Core Degassing and Production
4.8. Relevance to Environmental Issues in the Marcellus Play of the Appalachian Basin
5. Conclusions
Funding
Data Availability Statement
Acknowledgments
Conflicts of Interest
References
- Popova, O. Marcellus shale play geology review. U.S. Energy Administration Updates to Marcellus Shale Play Maps; U.S. Department of Energy: Washington, DC, USA, 2017; p. 14.
- Higley, D.K.; Leathers-Mills, H.M.; Enomoto, C.B. Controls on petroleum resources for the Devonian Marcellus Shale in the Appalachian basin province, Kentucky, West Virginia, Ohio, Pennsylvania, and New York. Mt. Geol. 2019, 56, 323–364. [Google Scholar] [CrossRef]
- U.S. Energy Information Administration. Proved Reserves of Crude Oil and Natural Gas in the United States; U.S. Energy Information Administration: Washington, DC, USA, 2022; p. 51.
- Khosrokhavar, R.; Griffiths, S.; Wolf, K.-H. Shale-gas formations and their potential for carbon storage: Opportunities and outlook. Environ. Process. 2014, 1, 595–611. [Google Scholar] [CrossRef]
- Carter, K.M.; Patchen, D.G. A geologic study to determine the potential to create an Appalachian storage hub for natural gas liquids. Final. Rep. Appalach. Oil Nat. Gas. Res. Consort. 2018, 3, 162. [Google Scholar]
- Blood, D.R.; Douds, A.S.B.; Wright, M. A proposed model for quantifying critical mineral occurrence from unconventional sources: An example from the Marcellus shale, Appalachian basin, USA. In Proceedings of the 50th Annual Eastern Section AAPG Meeting Program with Abstracts, Pittsburgh, PA, USA, 3–5 October 2021; p. 19. [Google Scholar]
- Baldassare, F.J.; McCaffrey, M.A.; Harper, J.A. A geochemical context for stray gas investigations in the northern Appalachian basin: Implications of analyses of natural gases from Neogene-through Devonian-age strata. AAPG Bull. 2014, 98, 341–372. [Google Scholar] [CrossRef]
- Darrah, T.H.; Vengosh, A.; Jackson, R.B.; Warner, N.R.; Poreda, R.J. Noble gases identify the mechanisms of fugitive gas contamination in drinking-water wells overlying the Marcellus and Barnett Shales. Proc. Natl. Acad. Sci. USA 2014, 111, 14076–14081. [Google Scholar] [CrossRef]
- Molofsky, L.; Connor, J.A.; Van De Ven, C.J.C.; Hemingway, M.P.; Richardson, S.D.; Strasert, B.A.; McGuire, T.M.; Paquette, S.M. A review of physical, chemical, and hydrogeologic characteristics of stray gas migration: Implications for investigation and remediation. Sci. Total Environ. 2021, 779, 146234. [Google Scholar] [CrossRef]
- Miles, N.L.; Martins, D.K.; Richardson, S.J.; Rella, C.W.; Arata, C.; Lauvaux, T.; Davis, K.J.; Barkley, Z.R.; McKain, K.; Sweeney, C. Calibration and field testing of cavity ring-down laser spectrometers measuring CH4, CO2, and δ13CH4 deployed on towers in the Marcellus Shale region. Atmos. Meas. Tech. 2018, 11, 1273–1295. [Google Scholar] [CrossRef]
- Zagorski, W.A.; Wrightstone, G.R.; Bowman, D.C. The Appalachian basin Marcellus gas play: Its history of development, geologic controls on production, and future potential as a world-class reservoir. Shale Reserv. AAPG Mem. 2012, 97, 15–18. [Google Scholar]
- Laughrey, C.D.; Lemmens, H.; Ruble, T.E.; Butcher, A.R.; Walker, G.; Kostelnik, J.; Barnes, J.; Knowles, W. Black shale diagenesis: Insights from integrated high-definition analyses of post-mature Marcellus Formation rocks, northeastern Pennsylvania. In Critical Assessment of Shale Resource Plays; AAPG Memoir 103; AAPG: Tulsa, OK, USA, 2013. [Google Scholar]
- Laughrey, C.D. Produced gas and condensate geochemistry of the Marcellus Formation: Insights into petroleum maturity, migration, and alteration in an unconventional shale reservoir. URTeC Paper 5195. In Proceedings of the Unconventional Resource Technology Conference, Houston, TX, USA, 16–18 November 2020. [Google Scholar]
- Faill, R.T. A geologic history of the north-central Appalachians; Part 2. The Appalachian basin from the Silurian through the Carboniferous. Am. J. Sci. 1997, 7, 729–761. [Google Scholar] [CrossRef]
- Ettensohn, F.R. Controls on the development of Catskill Delta complex basin-facies. Geol. Soc. Am. Spec. Pap. 1985, 201, 65–77. [Google Scholar]
- Beaumont, C.; Quinlan, B.; Hamilton, J. Orogeny and stratigraphy: Numerical models of the Paleozoic in the eastern interior of North America. Tectonics 1988, 7, 389–416. [Google Scholar] [CrossRef]
- Arthur, M.A.; Sageman, B.B. Sea-level control on source-rock development: Perspectives from the Holocene Black Sea, the mid-Cretaceous western interior basin of North America, and the Late-Devonian Appalachian basin. The deposition of carbon-rich sediments: Models, mechanisms, and consequences. SEPM Spec. Publ. 2005, 82, 35–59. [Google Scholar]
- Faill, R.T. The Acadian orogeny and the Catskill Delta. Geol. Soc. Am. Spec. 1985, 201, 15–37. [Google Scholar]
- Ettensohn, F.R. The Catskill delta complex and the Acadian orogeny. Geol. Soc. Am. Spec. 1985, 201, 39–49. [Google Scholar]
- Carter, K.M.; Harper, J.A.; Schmid, K.W.; Kostelnik, J. Unconventional natural gas resources in Pennsylvania: The backstory of the modern Marcellus shale play. AAPG Bull. 2011, 18, 217–257. [Google Scholar] [CrossRef]
- Harper, J.A.; Anthony, R.V.; Carter, K.; Schmid, K.W.; Dunst, B.J.; Cooney, M. Correlation of Middle and Upper Devonian shales in the Marcellus-producing regions of Pennsylvania. In Proceedings of the Geological Society of North America Joint 52nd Northeastern Annual Section/51st North-Central Annual Section Meeting Abstracts with Programs, Pittsburgh, PA, USA, 20 March 2017; p. 49. [Google Scholar] [CrossRef]
- Carter, K.M. Subsurface Lithostratigraphy of the Oil-and Gas-Producing Regions of Pennsylvania. Pennsylvania Geological Survey Fourth Series, Open-File Oil and Gas. Report 19-01.1; 1 Plate, 1 Appendix, and 6 Stratigraphic Cross Sections. 2019; p. 5. Available online: https://maps.dcnr.pa.gov/publications/Default.aspx?id=985 (accessed on 22 April 2022).
- De Witt, W., Jr.; Roen, J.B.; Wallace, L.G. Stratigraphy of Devonian Black Shales and Associated Rocks in the Appalachian Basin; United States Geological Survey Bulletin 1909: Reston, VA, USA, 1993.
- Lash, G.G.; Engelder, T. Thickness trends and sequence stratigraphy of the Middle Devonian Marcellus Formation, Appalachian basin: Implications for Acadian foreland basin evolution. AAPG Bull. 2011, 95, 61–103. [Google Scholar] [CrossRef]
- Boswell, R.; Pool, S. Lithostratigraphy of Middle and Upper Devonian organic-rich shales in West Virginia. WVGES Rep. Investig. 2018, 35, 55. [Google Scholar]
- Sageman, B.B.; Murphy, A.E.; Werne, J.P.; Ver Straeten, C.A.; Hollander, D.J.; Lyons, T.W. A tale of shales: The relative roles of production, decomposition, and dilution in the accumulation of organic-rich strata, Middle-Upper Devonian, Appalachian basin. Chem. Geol. 2003, 195, 229–273. [Google Scholar] [CrossRef]
- Hupp, B.N.; Donovan, J.J. Quantitative mineralogy for facies definition in the Marcellus Shale (Appalachian basin, USA) using XRD-XRF integration. Sediment. Geol. 2018, 371, 16–31. [Google Scholar] [CrossRef]
- Root, J.C. Petrological and Isotopic Evidence for Diagenetic Evolution in the Cherry Valley Carbonates and Adjacent Mudrocks of the Marcellus ‘Shale’ from West Virginia, Pennsylvania, and New York. Master’s Thesis, Cornell University, Ithaca, NY, USA, May 2018. [Google Scholar]
- Milliken, K.L.; Rudnicki, M.; Awwiller, D.N.; Zhang, T. Organic matter-hosted pore system, Marcellus Formation (Devonian), Pennsylvania. AAPG Bull. 2013, 97, 177–200. [Google Scholar] [CrossRef]
- Deller Piane, C.; Bourdet, J.; Josh, M.; Clennell, M.B.; Rickard, W.D.A.; Saunders, M.; Sherwood, N.; Le, Z.; Dewhurst, D.N.; Raven, M.D. Organic matter network in post-mature Marcellus Shale: Effects on petrophysical properties. AAPG Bull. 2018, 102, 2305–2332. [Google Scholar] [CrossRef]
- Obermajer, M.; Fowler, M.G.; Goodarzi, F.; Snowdon, L.R. Organic petrology and organic geochemistry of Devonian black shales in southwestern Ontario, Canada. Org. Geochem. 1997, 26, 229–246. [Google Scholar] [CrossRef]
- Hackley, P.C.; Ryder, R.T. Organic geochemistry and petrology of Devonian shale in eastern Ohio: Implications for petroleum system assessment. AAPG Bull. 2021, 105, 543–573. [Google Scholar] [CrossRef]
- Higley, D.K.; Enomoto, C.B. Burial history reconstruction of the Appalachian basin in Kentucky, West Virginia, Ohio, Pennsylvania, and New York, using 1D petroleum system models. Mt. Geol. 2019, 56, 365–3696. [Google Scholar] [CrossRef]
- Rowan, E.L. Burial and thermal history of the central Appalachian basin based on three 2-D models of Ohio, Pennsylvania, and West Virginia. U.S. Geol. Surv. Open-File Rep. 2006, 1019, 35. [Google Scholar]
- Bernard, B.; Brooks, J.M.; Sackett, W.M. A geochemical model for characterization of hydrocarbon gas sources in marine sediments. In Proceedings of the 9th Annual Offshore Technology Conference (OTC 2934), Houston, TX, USA, 2–5 May 1977; pp. 435–438. [Google Scholar]
- Schoell, M. Genetic characterization of natural gases. AAPG Bull. 1983, 67, 2225–2238. [Google Scholar]
- Golding, S.M.; Boreham, C.J.; Esterle, J.S. Stable isotope geochemistry of coal bed and shale gas and related production waters: A review. Int. J. Coal Geol. 2013, 120, 24–40. [Google Scholar] [CrossRef]
- Milkov, A.V.; Etiope, G. Revised genetic diagrams for natural gases based on a global dataset of >20,000 samples. Org. Geochem. 2018, 125, 109–120. [Google Scholar] [CrossRef]
- Chung, H.M.; Gormly, J.R.; Squires, R.M. Origin of gaseous hydrocarbons in subsurface environments: Theoretical considerations of carbon isotope distributions. Chem. Geol. 1988, 71, 97–103. [Google Scholar] [CrossRef]
- Rooney, M.A.; Claypool, G.E.; Chung, H.M. Modeling thermogenic gas generation using carbon isotope ratios of natural gas hydrocarbons. Chem. Geol. 1995, 126, 219–232. [Google Scholar] [CrossRef]
- Zumberge, J.; Ferworn, K.; Brown, S.D. Isotopic reversal (“rollover”) in shale gas produced from the Mississippian Barnett and Fayetteville formations. Mar. Pet. Geol. 2012, 31, 43–52. [Google Scholar] [CrossRef]
- Tilley, B.; Muehlenbachs, K. Isotopic reversals and universal stages and trends of gas maturation in sealed, self-contained petroleum systems. Chem. Geol. 2013, 339, 194–204. [Google Scholar] [CrossRef]
- Curiale, J.A.; Curtis, J.B. Organic geochemical applications to the exploration for source-rock reservoirs—A review. J. Unconv. Oil Gas. Resour. 2016, 13, 1–31. [Google Scholar] [CrossRef]
- Pinti, D.L.; Marty, B. Noble gases in oil and gas fields: Origins and processes. In Fluids Basin Evolution; Mineralogical Association of Canada: Quebec, Canada, 2000; Volume 28, pp. 160–196. [Google Scholar]
- Ballentine, C.J.; Burgess, R.; Marty, B. Tracing fluid origin, transport, and interaction in the crust. Rev. Mineral. Geochem. 2002, 47, 539–614. [Google Scholar] [CrossRef]
- Byrne, D.J.; Barry, P.H.; Lawson, M.; Ballentine, C.J. Noble gases in conventional and unconventional petroleum systems. Geol. Soc. Lond. 2017, 468, 23. [Google Scholar] [CrossRef]
- Ballentine, C.J.; Burnard, P.G. Production, release, and transport of noble gases in the continental crust. Rev. Mineral. Geochem. 2002, 47, 481–538. [Google Scholar] [CrossRef]
- Podosek, F.A.; Bernatowicz, T.J.; Kramer, F.E. Adsorption of xenon and krypton on shales. Geochim. Cosmochim. Acta 1981, 45, 2401–2415. [Google Scholar] [CrossRef]
- Marrocchi, Y.; Marty, B. Experimental determination of the xenon isotopic fractionation during adsorption. Geophys. Res. Lett. 2013, 40, 4165–4170. [Google Scholar] [CrossRef]
- Hunt, A.G.; Darrah, T.H.; Poreda, R.J. Determining the source and genetic fingerprint of natural gases using noble gas geochemistry: A northern Appalachian basin case study. AAPG Bull. 2012, 96, 1785–1811. [Google Scholar] [CrossRef]
- Battani, A.; Sarda, P.; Prinzhofer, A. Basin scale natural gas source, migration and trapping traced by noble gases and major elements: The Pakistan Indus basin. Earth Planet. Sci. Lett. 2000, 8, 229–249. [Google Scholar] [CrossRef]
- Miles, J.A. Illustrated Glossary of Petroleum Geochemistry; Clarendon Press-Oxford: Oxford, UK, 1994; p. 137. [Google Scholar]
- Holba, A.G.; Bone, R.L.; Huizinga, B.J.; Vasquez, J.R.; Stokes, S.M. Petroleum-fluid property prediction from gas chromatographic analysis of rock extracts or fluid samples. U. S. Pat. Appl. Publ. 2014, 31, 23. [Google Scholar]
- Adams, J.; Kornacki, A.S. Tailoring geochemical production monitoring for tight reservoirs that contain migrated oil. In Proceedings of the AAPG Hedberg Conference, The Evolution of Petroleum Systems Analysis, Houston, TX, USA, 4–6 March 2019; Available online: https://www.searchanddiscovery.com/abstracts/html/2019/hedberg-90349/abstracts/164.html (accessed on 22 April 2022).
- Thompson, K.F.M. Classification and thermal history of petroleum based on light hydrocarbons. Geochim. Cosmochim. Acta 1983, 11, 573–590. [Google Scholar] [CrossRef]
- Radke, M.; Horsfield, B.; Little, R.; Rullkötter, J. Petroleum and Basin Evolution, Chapter 3. In Maturation and Petroleum Generation; Welte, D.H., Horsfield, B., Baker, D.R., Eds.; Springer: Berlin/Heidelberg, Germany, 1997; pp. 169–229. [Google Scholar]
- BeMent, W.O.; Levey, R.A.; Mango, F.D. The Temperature of Oil Generation as Defined with C7 Chemistry Maturity Parameter (2-4-DMP/2,3-DMP Ratio). In Organic Geochemistry: Developments and Applications in Energy, Climate, Environment, and Human History; AIGOA: Donostia-San Sebastian, Spain, 1995; pp. 505–507. [Google Scholar]
- Mango, F.D. The light hydrocarbons in petroleum: A critical review. Org. Geochem. 1997, 26, 417–440. [Google Scholar] [CrossRef]
- Halpern, H.I. Development and applications of light-hydrocarbon-based star diagrams. AAPG Bull. 1995, 79, 801–815. [Google Scholar]
- Agrawal, V.; Sharma, S. Molecular characterization of kerogen and its implications for determining hydrocarbon potential, organic matter sources, and thermal maturity in Marcellus Shale. Fuel 2018, 228, 429–437. [Google Scholar] [CrossRef]
- Agrawal, V.; Sharma, S. Testing utility of organogeochemical proxies to assess sources of organic matter, paleo redox conditions, and thermal maturity in mature Marcellus shale. Front. Energy Res. 2018, 6, 42. [Google Scholar] [CrossRef]
- Laughrey, C.D.; Baldassare, F.J. Geochemistry and origin of some natural gases in the Plateau Province, central Appalachian basin, Pennsylvania and Ohio. AAPG Bull. 1998, 82, 317–335. [Google Scholar]
- Xia, X.; Chen, J.; Braun, R.; Tang, Y. Isotopic reversals with respect to maturity trends due to mixing of primary and secondary products in source rocks. Chem. Geol. 2013, 339, 205–212. [Google Scholar] [CrossRef]
- Stolper, D.A.; Lawson, M.; Davis, C.L.; Ferreira, A.A.; Santos Neto, E.V.; Ellis, G.S.; Lewan, M.D.; Martini, A.M.; Tang, Y.; Schoell, M.; et al. Formation temperatures of thermogenic and biogenic methane. Science 2014, 344, 1500–1503. [Google Scholar] [CrossRef] [PubMed]
- Whiticar, M.J. Correlation of Natural Gases with their Sources; AAPG Memoir 60: Tulsa, OK, USA, 1994; pp. 261–283. [Google Scholar]
- Faber, E. Zur Isotopengeochemie gasförmiger Kohlenwasserstoffe. Erdöl Eerdgas Kohle 1987, 103, 210–218. [Google Scholar]
- Whiticar, M.J. A geochemical perspective of natural gas and atmospheric methane. Adv. Org. Geochem. 1990, 16, 531–547. [Google Scholar] [CrossRef]
- Clayton, C. Carbon isotope fractionation during natural gas generation from kerogen. Mar. Pet. Geol. 1991, 8, 232–240. [Google Scholar] [CrossRef]
- Xia, X.; Tang, Y. Application of gas isotopes to the thermal history analysis of basins. SEPM Spec. Publ. 2012, 103, 147–152. [Google Scholar]
- Prinzhofer, A.; Battani, A. Gas isotope tracing: An important tool for hydrocarbons exploration. Oil Gas. Sci. Technol. 2003, 58, 299–311. [Google Scholar] [CrossRef]
- Kendall, C.; Caldwell, E.A. Isotope Tracers in Catchment Hydrology. In Fundamentals of Isotope Geochemistry; Kendell, C., McDonnell, J.J., Eds.; Elsevier: Amsterdam, The Netherlands, 1998; pp. 51–86. [Google Scholar]
- Burruss, R.C.; Laughrey, C.D. Carbon and hydrogen isotopic reversals in deep basin gas: Evidence for limits to the stability of hydrocarbons. Org. Geochem. 2010, 41, 1285–1296. [Google Scholar] [CrossRef]
- Harrison, M.J.; Marshak, S.; Onasch, C.M. Stratigraphic control of hot fluids on anthricitization, Lackawanna synclinorium, Pennsylvania. Tectonophysics 2004, 378, 85–103. [Google Scholar] [CrossRef]
- Kisch, H.J.; van den Kerkhof, A.M. CH4-rich inclusions from quartz veins in the Valley and Ridge province and the anthracite fields of the Pennsylvania Appalachians. Am. Mineral. 1991, 76, 230–240. [Google Scholar]
- Cook, J.E.; Dunne, W.M.; Onasch, C.M. Development of a dilatant damage zone along a thrust relay in a low-porosity quartz arenite. J. Struct. Geol. 2006, 28, 776–792. [Google Scholar] [CrossRef]
- O’Kane, A.; Onasch, C.M.; Farver, J.R. The role of fluids in low temperature fault-related deformation of quartz arenite. J. Struct. Geol. 2007, 29, 819–836. [Google Scholar] [CrossRef]
- Onasch, C.M.; Dunne, W.M.; Cook, J.E.; O’Kane, A. The effect of fluid composition on the behavior of well cemented, quartz-rich sandstone during faulting. J. Struct. Geol. 2009, 31, 961–971. [Google Scholar] [CrossRef]
- Lewan, M.D.; Kotarba, M.J. Thermal-maturity limits for primary thermogenic-gas generation from humic coals as determined by hydrous pyrolysis. AAPG Bull. 2014, 98, 2581–2610. [Google Scholar] [CrossRef]
- Lewan, M.D.; Law, B.E.; Wilson, M. Fundamental Issues on Thermogenic Gas Generation from Source-Rock Maturation and Reservoir-Oil Cracking. In Innovative Gas Exploration Concepts Symposium; Rocky Mountain Association of Geologists: Denver, CO, USA, 2020; Volume 4. [Google Scholar]
- Burruss, R.C. Stability and flux of methane in the deep crust—A review. U. S. Geol. Surv. Prof. Pap. 1993, 1570, 21–29. [Google Scholar]
- Schloemer, S.; Krooss, B.M. Molecular transport of methane, ethane, and nitrogen and the influence of diffusion on the chemical and isotopic composition of natural gas accumulations. Geofluids 2004, 4, 81–108. [Google Scholar] [CrossRef]
- Zhang, T.; Krooss, B.M. Experimental investigation on the carbon isotope fractionation of methane during gas migration by diffusion through sedimentary rocks at elevated temperature and pressure. Geochim. Cosmochim. Acta 2001, 65, 2723–2742. [Google Scholar] [CrossRef]
- Fuex, A.N. The use of stable carbon isotopes in hydrocarbon exploration. J. Geochem. Explor. 1977, 7, 155–188. [Google Scholar] [CrossRef]
- Jenden, P.D.; Kaplan, I.R. Analysis of Gases in the Earth’s Crust: Final Report to the Gas; Contract No. 5081-360-0533; National Technical Information Service Accession Number PB91-104273/XAB; Research Institute: Chicago, IL, USA, 1989. [Google Scholar]
- Jenden, P.D.; Kaplan, I.R. Abiogenic hydrocarbons and mantle helium in oil and gas fields. Future Energy Gases 1993, 1570, 31–56. [Google Scholar]
- Jenden, P.D.; Drazan, D.J.; Kaplan, I.R. Mixing of thermogenic natural gases in northern Appalachian basin. AAPG Bull. 1993, 77, 980–998. [Google Scholar]
- Laughrey, C.D.; Harper, R.M. Play Obe: Upper Ordovician Bald Eagle Formation fractured anticlinal play. In Atlas of Major Appalachian Gas Plays; West Virginia Economical and Geologic Survey Publication V-25: Morgantown, WV, USA, 1996; pp. 164–167. [Google Scholar]
- Sherwood Lollar, B.; Westgate, T.D.; Ward, J.A.; Slater, G.F.; Lacrampe-Couloume, G. Abiogenic formation of alkanes in the Earth’s crust as a minor source for global hydrocarbon reservoirs. Nature 2002, 416, 522–524. [Google Scholar] [CrossRef]
- Sherwood Lollar, B.; Lacrampe-Couloume, G.; Slater, G.F.; Ward, J.A.; Moser, D.P.; Gihring, T.M.; Lin, L.-H.; Onstott, T.C. Unraveling abiogenic and biogenic sources of methane in the earth’s deep subsurface. Chem. Geol. 2006, 226, 328–339. [Google Scholar] [CrossRef]
- Telling, J.; Lacrampe-Couloume, G.; Sherwood Lollar, B. Carbon and hydrogen isotopic composition of methane and C2+ alkanes in electrical spark discharge: Implications for identifying sources of hydrocarbons in terrestrial and extraterrestrial setting. Astrobiology 2013, 13, 480–483. [Google Scholar] [CrossRef]
- Sephton, M.A.; Hazen, R.M. On the origin of deep hydrocarbons. Rev. Mineral. Geochem. 2013, 75, 449–465. [Google Scholar] [CrossRef]
- Milkov, A.V.; Faiz, M.; Etiope, G. Geochemistry of shale gases from around the world: Composition, origins, isotope reversals and rollovers, and implications for the exploration of shale plays. Org. Geochem. 2020, 143, 103997. [Google Scholar] [CrossRef]
- Liu, Q.; Wu, X.; Wang, X.; Jin, Z.; Zhu, D.; Meng, Q.; Huang, S.; Liu, J.; Fu, Q. Carbon and hydrogen isotopes of methane, ethane, and propane: A review of genetic identification of natural gas. Earth-Sci. Rev. 2019, 190, 247–272. [Google Scholar] [CrossRef]
- Xia, X.; Gao, Y. Depletion of 13C in residual ethane and propane during thermal decomposition in sedimentary basins. Org. Geochem. 2018, 121–128. [Google Scholar] [CrossRef]
- Prinzhofer, A.; Huc, A.Y. Genetic and post-genetic molecular and isotopic fractionations in natural gases. Chem. Geol. 1995, 126, 281–290. [Google Scholar] [CrossRef]
- Tang, Y.; Xia, X. Kinetics and mechanism of shale gas formation: A quantitative interpretation of gas isotope “rollover” for shale gas formation. In Critical Assessment of Shale Resource Plays; AAPG Memoir 103; AAPG: Tulsa, OK, USA, 2013. [Google Scholar]
- Dai, J.; Xia, X.; Qin, S.; Zhao, J. Origins of partially reversed alkane δ13C values for biogenic gases in China. Org. Geochem. 2004, 35, 405–411. [Google Scholar] [CrossRef]
- James, A.T.; Burns, B.J. Microbial alteration of subsurface natural gas accumulations. AAPG Bull. 1984, 68, 957–960. [Google Scholar]
- Krouse, H.R.; Viau, C.A.; Eliuk, L.S.; Ueda, A.; Halas, S. Chemical and isotopic evidence of thermochemical sulfate reduction by light hydrocarbons in deep carbonate reservoirs. Nature 1988, 333, 415–419. [Google Scholar] [CrossRef]
- Thiagarajan, N.; Xie, H.; Ponton, C.; Kitchen, N.; Peterson, B.; Lawson, M.; Formolo, M.; Xiao, Y.; Eiler, J. Isotopic evidence for quasi-equilibrium chemistry in mature natural gas. Proc. Natl. Acad. Sci. USA 2020, 117, 3989–3995. [Google Scholar] [CrossRef]
- Rowan, E.L.; Engle, M.A.; Kraemer, T.F.; Schroeder, K.T.; Hammack, R.W.; Doughten, M.W. Geochemical and isotopic evolution of water produced from Middle Devonian Marcellus shale gas wells, Appalachian basin, Pennsylvania. AAPG Bull. 2015, 99, 181–206. [Google Scholar] [CrossRef]
- Horibe, Y.; Craig, H. D/H fractionation in the system methane-hydrogen-water. Geochim. Cosmochim. Acta 1995, 59, 5209–5217. [Google Scholar] [CrossRef]
- Whyte, C.; Darrah, T. Integrating noble gas geochemistry to better understand hydrocarbon stable isotope reversals. AAPG Search and Discovery abstract 2019, AAPG Annual Convention and Exhibition, San Antonio, Texas, 19–22 May 2019. Available online: https://www.searchanddiscovery.com/abstracts/html/2019/ace2019/abstracts/2180.html (accessed on 22 April 2022).
- Gao, L.; Schimmelmann, A.; Tang, Y.; Mastalerz, M. Isotope rollover in shale gas observed in laboratory pyrolysis experiments: Insight to the role of water in thermogenesis of mature gas. Org. Geochem. 2014, 68, 95–106. [Google Scholar] [CrossRef]
- Osborn, S.G.; McIntosh, J.C. Chemical and isotopic tracers of the contribution of microbial gas in Devonian organic-rich shales and reservoir sandstones, northern Appalachian basin. Appl. Geochem. 2010, 25, 456–471. [Google Scholar] [CrossRef]
- Gao, D.; Shumaker, R.C.; Wilson, T.H. Along-axis segmentation and growth history of the Rome Trough in the central Appalachian basin. AAPG Bull. 2000, 84, 75–99. [Google Scholar]
- Curtis, J.; Faure, G. Accumulation of organic matter in the Rome Trough of the Appalachian basin and its subsequent thermal history. AAPG Bull. 1997, 81, 424–437. [Google Scholar]
- Roden, M.K.; Miller, D.S. Apatite fission-track thermochronology of the Pennsylvania Appalachian basin. Geomorphology 1989, 2, 39–51. [Google Scholar] [CrossRef]
- Laughrey, C.D.; Billman, D.A.; Canich, M.R. Petroleum geology and geochemistry of the Council Run gas field, north central Pennsylvania. AAPG Bull. 2004, 88, 213–239. [Google Scholar] [CrossRef]
- Glick, E.V. Connectivity of the Oriskany Sandstone with the Marcellus Shale: Effects on Shale-Gas Operations in North Central Pennsylvania. Master’s Thesis, University of Pittsburgh, Pittsburgh, PA, USA, 2017. [Google Scholar]
- Laughrey, C.D.; Baldassare, F.J. Petroleum Geochemistry of Devonian Rocks and Produced Oil and Natural Gas in the Caseman-Gross Unit #1 Well, Bradford County, Pennsylvania. AAPG Search and Discovery Abstract. 2016. Available online: https://www.searchanddiscovery.com/abstracts/html/2016/90258es/abstracts/1.50.html (accessed on 11 May 2022).
- Turner, A.C.; Korol, R.; Eldridge, D.L.; Bill, M.; Conrad, M.E.; Miller, T.F.; Stolper, D.A. Experimental and theoretical determinations of hydrogen isotopic equilibrium in the system CH4-H2-H2O from 3 to 200 °C. Geochim. Cosmochim. Acta 2021, 314, 223–269. [Google Scholar] [CrossRef]
- Niemann, M.; Whiticar, M.J. Stable isotope systematics of coalbed gas during desorption and production. Geosciences 2017, 7, 43. [Google Scholar] [CrossRef]
- Mahzari, P.; Mitchell, T.M.; Jones, A.P.; Westacott, D.; Striolo, A. Direct gas-in-place measurements prove much higher production potential than expected for shale formations. Nat. Sci. Rep. 2021, 11, 10775. [Google Scholar] [CrossRef]
- Xia, X.; Tang, Y. Isotope fractionation of methane during natural gas flow with coupled diffusion and adsorption/desorption. Geochim. Cosmochim. Acta 2012, 77, 489–503. [Google Scholar] [CrossRef]
- Osborn, S.G.; Vengosh, A.; Warner, N.R.; Jackson, R.B. Methane contamination of drinking water accompanying gas-well drilling and hydraulic fracturing. Proc. Natl. Acad. Sci. USA 2011, 108, 172–178. [Google Scholar] [CrossRef]
- Warner, N.R.; Jackson, R.B.; Darrah, T.H.; Osborn, S.G.; Down, A.; Zhao, K.; White, A.; Vengosh, A. Geochemical evidence for possible natural migration of Marcellus Formation brine to shallow aquifers in Pennsylvania. Proc. Natl. Acad. Sci. USA 2012, 109, 11961–11966. [Google Scholar] [CrossRef]
- Darrah, T.H.; Jackson, R.B.; Vengosh, A.; Warner, N.R.; Whyte, C.J.; Walsh, T.B.; Kondash, A.J.; Poreda, R.J. The evolution of Devonian hydrocarbon gases in shallow aquifers in the northern Appalachian basin: Insights from integrating noble gas and hydrocarbon chemistry. Geochim. Cosmochim. Acta 2014, 170, 321–355. [Google Scholar] [CrossRef]
- Molofsky, L.J.; Connor, J.A.; Wylie, A.S.; Wagner, T.; Farhat, S.K. Evaluation of methane sources in groundwater in northeastern Pennsylvania. Groundwater 2018, 51, 333–349. [Google Scholar] [CrossRef]
- Hammond, P.A.; Wen, T.; Brantley, S.L.; Engelder, T. Gas well integrity and methane migration: Evaluation of published evidence during shale-gas development in the USA. Hydrol. J. 2020, 28, 1481–1502. [Google Scholar] [CrossRef]
- Reese, S.O.; Neboga, V.V.; Pelepko, S.; Kosmer, W.J.; Beattie, S. Groundwater and petroleum resources of Sullivan County, Pennsylvania. Pa. Geol. Surv. Fourth Ser. Water Resour. Rep. 2014, 71, 142. [Google Scholar]
- Milkov, A.V.; Schwietzke, S.; Allen, G.; Sherwood, O.; Etiope, G. Using global isotopic data to constrain the role of shale gas production in recent increases in atmospheric methane. Nat. Res. Sci. Rep. 2020, 10, 4199. [Google Scholar] [CrossRef]
- Schaefer, H.; Mikaloff-Fletcher, S.E.; Veidt, C.; Lassy, K.R.; Brailsford, G.W.; Bromley, T.M.; Dlubokencky, E.J.; Michel, S.E.; Miller, J.B.; Levin, I.; et al. A 21st Century shift from fossil-fuel to biogenic methane emissions indicated by 13CH4. Science 2016, 352, 80–84. [Google Scholar] [CrossRef]
- Schwietzke, S.; Sherwood, O.; Bruhwiler, L.M.P.; Miller, J.B.; Etiope, G.; Dlubokencky, E.J.; Michel, S.E.; Arling, V.A.; Vaugn, B.H.; White, J.W.C.; et al. Upward revision of global fossil fuel methane emissions based on isotope database. Nature 2016, 538, 88–91. [Google Scholar] [CrossRef]
- Lewan, M.D. Comments on “Ideas and perspectives: Is shale-gas a major driver of recent increase in global atmospheric methane?” by Robert, W. Howarth (2019). Biogeosci. Discuss. 2020. preprint. [Google Scholar] [CrossRef]
- Howarth, R.W. Ideas and perspectives: Is shale-gas a major driver of recent increase in global atmospheric methane? Biogeosciences 2019, 16, 3033–3046. [Google Scholar] [CrossRef]
- Barkley, Z.R. Estimating methane emissions from underground coal and natural gas production in southwestern Pennsylvania. Geophys. Res. Lett. 2019, 46, 4531–4540. [Google Scholar] [CrossRef]
- Barkley, Z.R.; Davis, K.J.; Feng, S.; Cui, Y.Y.; Fried, A.; Weibring, P.; Richter, D.; Walega, J.G.; Miller, S.M.; Eckl, M.; et al. Analysis of oil and gas ethane and methane emissions in the southcentral and eastern United States using four seasons of continuous aircraft ethane measurements. J. Geophys. Res. Atmos. 2021, 126, e2020JD034194. [Google Scholar] [CrossRef]
- Smith, C.; Pool, S.; Dinterman, P.; Moore, J.; Vance, T.; Smith, T.; Gordon, P.; Smith, M. Evaluating the liquids potential and distribution of West Virginia’s Marcellus liquids fairway. In Proceedings of the URTeC Paper 5540 Unconventional Resource Technology Conference, Houston, TX, USA; 2020; p. 22. [Google Scholar]
- Repetski, J.E.; Ryder, R.T.; Avary, K.L.; Trippi, M.H. Thermal maturity patterns (CAI and %Ro) in the Ordovician and Devonian rocks of the Appalachian basin in West Virginia. USGS Open File Rep. 2005, 1078, 69. [Google Scholar]
- Dorobek, S. Migration of orogenic fluids through the Silurio-Devonian Helderberg Group during late Paleozoic deformation: Constraints on fluid sources and implications for thermal histories of sedimentary basins. Tectonophysics 1989, 159, 25–45. [Google Scholar] [CrossRef]
- Evans, M.A. Fluid inclusions in veins from the Middle Devonian shales: A record of deformation conditions and fluid evolution in the Appalachian Plateau. Geol. Soc. Am. Bull. 1995, 107, 327–339. [Google Scholar] [CrossRef]
- Evans, M.A.; Battles, D.A. Fluid inclusion and stable isotope analyses of veins from the central Appalachian Valley and Ridge Province: Implications for regional synorogenic hydrologic structure and fluid migration. Geol. Soc. Am. Bull. 1999, 111, 1841–1860. [Google Scholar] [CrossRef]
- Tamulonis, K.L.; Carter, K.M. Evidence of hydrothermal alteration in Devonian shales from the Eastern Gas Shales Project 2 core of the Rome Trough, Appalachian basin, United States. AAPG Bull. 2021, 28, 1–24. [Google Scholar] [CrossRef]
- Atwah, I.; Sweet, S.; Pantano, J.; Knap, A. Light hydrocarbon geochemistry: Insight into Mississippian crude oil sources from the Anadarko basin, Oklahoma, USA. Geofluids 2019, 2019, 2795017. [Google Scholar] [CrossRef]
- Lemmens, H.; Richards, D. Multiscale Imaging of Shale Samples in the Scanning Electron Microscope. Electron Microsc. Shale Hydrocarb. Reserv. AAPG Mem. 2013, 102, 27–35. [Google Scholar]


























| Well ID/Group | O2 Mole% | CO2 Mole% | N2 Mole% | C1 Mole% | C2 Mole% | C3 Mole% | iC4 Mole% | nC4 Mole% | iC5 mole% | nC5 Mole% | C6+ Mole% | δ13C1 ‰ | δDC1 ‰ | δ13C2 ‰ | δ13C3 ‰ |
|---|---|---|---|---|---|---|---|---|---|---|---|---|---|---|---|
| DG1 | 0.099 | 0.02 | 0.47 | 97.45 | 1.87 | 0.0755 | 0.0017 | 0.0047 | 0.0013 | 0.0008 | 0.0076 | −27.08 | −158.5 | −33.2 | −36.3 |
| DG2 | 0.086 | 0.039 | 0.42 | 97.38 | 1.97 | 0.0865 | 0.0033 | 0.0065 | 0.0027 | 0.0014 | 0.009 | −28.69 | −157.7 | −34.74 | −36.79 |
| DG3 | 0.13 | 0.019 | 0.5 | 97.5 | 1.79 | 0.0561 | 0.0007 | 0.0024 | nd | nd | 0.0018 | −27.85 | −158.2 | −34.1 | −36.8 |
| DG4 | 0.16 | 0.018 | 0.57 | 97.35 | 1.84 | 0.0594 | 0.0008 | 0.0027 | nd | nd | 0.001 | −27.85 | −159.3 | −34.13 | −36.9 |
| DG5 | 0.071 | 0.018 | 0.4 | 97.54 | 1.9 | 0.0659 | 0.001 | 0.0033 | 0.0001 | 0.0001 | 0.0004 | −27.95 | −158.2 | −34.22 | −36.9 |
| DG6 | 0.13 | 0.023 | 0.53 | 97.39 | 1.86 | 0.063 | 0.0009 | 0.0028 | nd | nd | nd | −28.5 | −157.8 | −34.96 | −37.4 |
| DG7 | 0.06 | 0.021 | 0.47 | 97.79 | 1.61 | 0.0486 | 0.0006 | 0.0022 | nd | nd | nd | −26.09 | −159.1 | −32.52 | −35.1 |
| DG8 | 0.015 | 0.023 | 0.4 | 97.82 | 1.69 | 0.0491 | 0.0006 | 0.0017 | nd | nd | nd | −25.96 | −159.9 | −32.48 | −35 |
| DG9 | 0.16 | 0.017 | 0.73 | 97.32 | 1.71 | 0.0607 | 0.0009 | 0.0032 | 0.0001 | 0.0001 | nd | −25.41 | −158.4 | −32.19 | −34.9 |
| DG10 | 0.037 | 0.016 | 0.57 | 97.62 | 1.69 | 0.0639 | 0.001 | 0.0033 | 0.0001 | 0.0001 | nd | −24 | −158.6 | −30.8 | −33.9 |
| DG11 | 0.36 | 0.022 | 2.04 | 96.12 | 1.41 | 0.0425 | 0.0006 | 0.0017 | 0.0001 | 0.0001 | 0.0004 | −24.04 | −163.9 | −29.9 | −32.5 |
| DG12 | nd | 0.061 | 0.57 | 97.87 | 1.42 | 0.032 | 0.0004 | 0.0008 | nd | nd | nd | −23.9 | nm | −29.86 | −31.4 |
| DG13 | 0.025 | 0.009 | 0.48 | 97.69 | 1.74 | 0.0571 | 0.0008 | 0.0025 | 0.0001 | 0.0001 | nd | −25.27 | −161.5 | −31.58 | −34.8 |
| DG14 | 0.094 | 0.019 | 0.6 | 97.6 | 1.63 | 0.0513 | 0.0007 | 0.0022 | nd | nd | nd | −25.03 | −160.3 | −31.28 | −34.2 |
| DG15 | 0.16 | 0.031 | 0.68 | 97.37 | 1.7 | 0.0565 | 0.0008 | 0.0025 | nd | nd | nd | −25.36 | −161.1 | −31.72 | −35 |
| DG16 | 0.19 | 0.033 | 0.7 | 96.74 | 2.22 | 0.108 | 0.0021 | 0.0067 | 0.0003 | 0.0002 | nd | −26.23 | −158.3 | −32.79 | −35.2 |
| DG17 | nd | 0.011 | 0.39 | 97.52 | 1.93 | 0.035 | 0.0003 | 0.0011 | nd | nd | nd | −36.2 | nm | −42.11 | −43 |
| DG18 | nd | 0.017 | 0.38 | 97.05 | 2.41 | 0.093 | 0.0016 | 0.0058 | 0.0002 | 0.0002 | nd | −31.41 | nm | −38.73 | −40.9 |
| DG19 | 0.043 | 0.065 | 27.06 | 55.27 | 0.02 | nd | nd | 0.0001 | nd | nd | 0.0009 | −59.58 | nm | −32.7 | * |
| DG20 | nd | 0.028 | 0.23 | 97.57 | 2.09 | 0.057 | 0.0007 | 0.002 | nd | nd | nd | −29.34 | nm | −35.46 | −37.8 |
| DG21 | 0.06 | 0.021 | 0.4 | 97.02 | 2.37 | 0.0868 | 0.0014 | 0.0047 | 0.0002 | 0.0001 | nd | −30.8 | nm | −37.74 | −39.9 |
| DG22 | 0.016 | 0.042 | 0.28 | 97.33 | 2.21 | 0.0716 | 0.001 | 0.0033 | 0.0001 | 0.0001 | nd | −35.91 | nm | −41.13 | −43 |
| DG23 | 0.027 | 0.01 | 0.38 | 96.4 | 2.63 | 0.101 | 0.0016 | 0.0054 | 0.0002 | 0.0001 | nd | −33.57 | nm | −39.94 | −42.1 |
| DG24 | 0.056 | 0.029 | 0.42 | 96.99 | 2.37 | 0.0948 | 0.0016 | 0.0055 | 0.0002 | 0.0002 | nd | −28.78 | nm | −35.95 | −37.5 |
| DG25 | 0.11 | 0.037 | 0.61 | 96.78 | 2.33 | 0.0926 | 0.0015 | 0.004 | 0.0001 | 0.0001 | nd | −26.44 | nm | −33.4 | −34.6 |
| DG26 | 0.015 | nd | 0.37 | 94.45 | 2.48 | 0.105 | 0.0018 | 0.0062 | 0.0003 | 0.0002 | nd | −28.36 | nm | −34.97 | −37.6 |
| DG27 | 0.039 | 0.012 | 0.37 | 96.94 | 2 | 0.0505 | 0.001 | 0.0067 | 0.0004 | 0.0003 | nd | −31.12 | nm | −38.13 | −40.8 |
| DG28 | 0.038 | 0.009 | 0.69 | 96.46 | 2.31 | 0.0812 | 0.0013 | 0.0045 | 0.0002 | 0.0001 | 0.0049 | −33.98 | nm | −40.16 | −42.3 |
| DG29 | 0.2 | 0.014 | 1.02 | 96.44 | 2.11 | 0.0639 | 0.0009 | 0.0023 | nd | nd | nd | −27.29 | nm | −33.52 | −35.9 |
| DG30 | 0.055 | 0.031 | 0.55 | 97.56 | 1.71 | 0.0454 | 0.0005 | 0.0014 | nd | nd | nd | −24.94 | nm | −31.16 | −33.3 |
| DG31 | 0.045 | 0.026 | 0.49 | 97.62 | 1.74 | 0.0447 | 0.0005 | 0.0014 | nd | nd | nd | −25.13 | nm | −31.44 | −33.6 |
| DG32 | 0.048 | 0.03 | 0.62 | 97.81 | 1.39 | 0.0336 | 0.0004 | 0.0011 | nd | nd | nd | −23.53 | nm | −29.86 | −32 |
| DG33 | 0.052 | 0 | 0.74 | 96.78 | 0.546 | 0.0048 | nd | nd | nd | nd | nd | −23.59 | nm | −29.59 | * |
| DG34 | 0.034 | 0.015 | 0.96 | 97.42 | 1.44 | 0.0385 | 0.0005 | 0.0012 | nd | nd | 0.0054 | −24.63 | nm | −30.89 | −33.1 |
| WVDG1 | nd | nd | nd | 95.8 | 2.26 | 0.1329 | 0.0003 | 0.0064 | 1.82 | 0.013 | 0.003 | −39.1 | nm | −41.7 | −38.9 |
| WVDG2 | nd | nd | nd | 97 | 1.845 | 0.0579 | 0.0003 | 0.0034 | 1.074 | 0.0045 | 0.0069 | −39.2 | nm | −41.9 | −40.7 |
| WG1 | 0.016 | 0.15 | 0.4 | 80.85 | 12.95 | 3.68 | 0.471 | 0.817 | 0.22 | 0.187 | 0.236 | −43.7 | −189.2 | −32.74 | −28 |
| WG2 | nd | 0.17 | 0.51 | 75.4 | 15.61 | 5.49 | 0.573 | 1.4 | 0.272 | 0.317 | 0.223 | −45.5 | −200.8 | −35.28 | −30.34 |
| WG3 | 0.017 | 0.15 | 0.48 | 78.94 | 13.72 | 4.26 | 0.493 | 1.02 | 0.255 | 0.255 | 0.351 | −45.73 | −201.4 | −34.34 | −29.63 |
| WG4 | 0.015 | 0.14 | 0.48 | 76.41 | 14.88 | 5.2 | 0.614 | 1.37 | 0.299 | 0.319 | 0.243 | −45.41 | −201.5 | −34.41 | −29.7 |
| WG5 | 0.013 | 0.17 | 0.43 | 77.02 | 14.83 | 4.87 | 0.556 | 1.21 | 0.281 | 0.3 | 0.284 | −44.97 | −196.6 | −34.1 | −29.39 |
| WG6 | 0.011 | 0.18 | 0.47 | 79.62 | 13.36 | 4.1 | 0.528 | 0.964 | 0.255 | 0.225 | 0.247 | −44.94 | −191.1 | −33.67 | −29.04 |
| WG7 | 0.015 | 0.17 | 0.54 | 79.21 | 13.28 | 4.26 | 0.541 | 1.07 | 0.277 | 0.274 | 0.328 | −45.21 | −195.4 | −34.01 | −29.48 |
| WG8 | 0.011 | 0.16 | 0.44 | 78.77 | 13.87 | 4.32 | 0.508 | 1.05 | 0.255 | 0.259 | 0.31 | −45.25 | −197.5 | −33.98 | −29.13 |
| WG9 | 0.011 | 0.14 | 0.46 | 78.84 | 13.71 | 4.38 | 0.538 | 1.09 | 0.274 | 0.268 | 0.246 | −45.38 | −198.2 | −33.94 | −29.17 |
| WG10 WG11 | 0.015 0.013 | 0.16 0.16 | 0.44 0.44 | 78.77 78.94 | 13.85 13.83 | 4.31 4.27 | 0.506 0.495 | 1.05 1.02 | 0.258 0.245 | 0.267 0.25 | 0.328 0.289 | −45.22 −45.24 | −198.4 −198.3 | −33.9 −33.91 | −29.08 −29.11 |
| WG12 | 0.012 | 0.14 | 0.5 | 76.61 | 14.69 | 5.12 | 0.618 | 1.35 | 0.317 | 0.326 | 0.288 | −45.5 | −203.1 | −34.63 | −29.87 |
| WG13 | 0.095 | 0.16 | 0.71 | 69.37 | 16.68 | 6.86 | 0.854 | 2.33 | 0.578 | 0.81 | 1.53 | −45.23 | −197.6 | −35.12 | −30.15 |
| WG14 | 0.012 | 0.15 | 0.5 | 71.89 | 16.14 | 6.14 | 0.847 | 1.84 | 0.381 | 0.469 | 0.83 | −45.19 | −200.9 | −35.14 | −30.2 |
| WG15 | 0.014 | 0.21 | 0.34 | 90.49 | 7.56 | 1.04 | 0.118 | 0.115 | 0.0288 | 0.0137 | 0.0235 | −42.25 | −174.4 | −31.2 | −25.67 |
| WG16 | 0.32 | 0.14 | 1.4 | 92.27 | 5.27 | 0.457 | 0.0333 | 0.0356 | 0.0058 | 0.0029 | 0.004 | −40.15 | −167.2 | −33.34 | −28.18 |
| WG17 | nd | 0.15 | 0.54 | 76.52 | 14.52 | 5.11 | 0.632 | 1.4 | 0.304 | 0.269 | 0.456 | −46.74 | −210.6 | −35.87 | −31.05 |
| WG18 | nd | 0.18 | 0.42 | 84.51 | 10.64 | 2.41 | 0.358 | 0.507 | 0.184 | 0.133 | 0.568 | −42.98 | −179.5 | −32.15 | −27.18 |
| WG19 | nd | 0.2 | 0.33 | 90.96 | 7.35 | 0.876 | 0.082 | 0.0897 | 0.0202 | 0.0108 | 0.0456 | −40.83 | −172.1 | −31.38 | −26.33 |
| WG20 | nd | 0.18 | 0.43 | 80.35 | 13.42 | 3.75 | 0.473 | 0.805 | 0.197 | 0.159 | 0.192 | −44.06 | −186.6 | −33.11 | −28.54 |
| WG21 | nd | 0.15 | 0.44 | 79.2 | 13.84 | 4.23 | 0.498 | 0.998 | 0.213 | 0.205 | 0.185 | −45.27 | −192.5 | −33.9 | −29.13 |
| WG22 | nd | 0.15 | 0.39 | 82.48 | 12.38 | 3.1 | 0.392 | 0.599 | 0.157 | 0.112 | 0.205 | −43.21 | −179.4 | −32.37 | −27.56 |
| WG23 | nd | 0.16 | 0.48 | 83.37 | 11.49 | 2.98 | 0.379 | 0.624 | 0.164 | 0.124 | 0.177 | −44.53 | −184.9 | −33.17 | −28.48 |
| WG24 | nd | 0.16 | 0.47 | 83.14 | 11.41 | 3.1 | 0.427 | 0.691 | 0.196 | 0.143 | 0.204 | −44.61 | −186.7 | −33.28 | −28.75 |
| WG25 | nd | 0.15 | 0.49 | 74.93 | 16.48 | 5.58 | 0.549 | 1.25 | 0.198 | 0.221 | 0.125 | −44.97 | −200.4 | −34.66 | −29.78 |
| WG26 | 0.014 | 0.15 | 0.52 | 81.85 | 12.29 | 3.32 | 0.359 | 0.598 | 0.164 | 0.175 | 0.502 | −45.29 | −196 | −33.89 | −29.18 |
| WG27 | nd | 0.12 | 0.39 | 73.07 | 15.61 | 6.01 | 0.868 | 1.73 | 0.369 | 0.409 | 0.813 | −44.5 | −242.8 | −33.82 | −29.25 |
| WV28 | 0.015 | 0.13 | 0.39 | 73.49 | 15.21 | 5.65 | 0.852 | 1.62 | 0.378 | 0.413 | 1.18 | −44.36 | −197.7 | −33.69 | −28.96 |
| PAWG1 | nd | 0.086 | 0.57 | 70.64 | 16.42 | 7.81 | 0.792 | 2.2 | 0.387 | 0.555 | 0.49 | −45.23 | −212.3 | −35.84 | −31.22 |
| PAWG2 | nd | 0.085 | 0.49 | 77.24 | 14.48 | 5.24 | 0.544 | 1.15 | 0.215 | 0.243 | 0.249 | −43.82 | −193.5 | −33.83 | −29.37 |
| PAWG3 | nd | 0.084 | 0.47 | 79.79 | 12.67 | 4.32 | 0.519 | 1.1 | 0.261 | 0.287 | 0.434 | −42.19 | −185.4 | −33.15 | −28.46 |
| Well ID/Group | δDC2 ‰ | δ13CO2 ‰ | δ15N2 ‰ |
|---|---|---|---|
| DG1 | −188.2 | nm | nm |
| DG2 | −190.6 | nm | nm |
| DG3 | −191.6 | nm | nm |
| DG4 | −191.5 | nm | nm |
| DG5 | −192 | nm | nm |
| DG6 | −189.7 | nm | nm |
| DG7 | −188.9 | nm | nm |
| DG8 | −192.6 | nm | nm |
| DG9 | −191.3 | nm | nm |
| DG10 | −190.4 | nm | nm |
| DG11 | −189.4 | nm | −10.223 |
| DG12 | nm | −26.5 | nm |
| DG13 | −192.9 | nm | nm |
| DG14 | −189.4 | nm | nm |
| DG15 | −190.9 | nm | nm |
| DG16 | −190.9 | nm | nm |
| DG19 | nm | −31.8 | nm |
| PAWG1 | −171.4 | nm | −13.9 |
| PAWG2 | −162.7 | nm | −13.3 |
| PAWG3 | −162.4 | nm | −12.7 |
| Cumulative Degassing Volume % | δ13C1 ‰ | δ13C2 ‰ | δ13C3 ‰ |
|---|---|---|---|
| 21.77 | −26.3 | −31 | nm |
| 22.93 | −26.88 | −32.7 | −34.8 |
| 33.12 | −27.64 | −33.15 | −33.5 |
| 25.47 | −27.31 | −32.93 | −35.1 |
| 28.45 | −27.49 | −32.92 | −32.3 |
| 37.52 | −27.62 | −33.39 | −33.57 |
| 40.69 | −27.68 | −33.45 | −35 |
| 53.53 | −27.03 | −33.5 | −35 |
| 66.03 | −26.25 | −32.94 | −34.8 |
| 75.35 | −25.63 | −33.45 | −34.7 |
| 71.81 | −25.69 | −33.24 | −34.8 |
| 100 (crushed gas) | −22.8 | −29.1 | −34.7 |
| Well | 3He pcc/cc | 4He µcc/cc | 20Ne µcc/cc | 21Ne µcc/cc | 22Ne µcc/cc | Ne µcc/cc | 36Ar µcc/cc | 38Ar µcc/cc | 40Ar µcc/cc | Ar µcc/cc | 84Kr ncc/cc | Kr ncc/cc | 132Xe ncc/cc | Xe ncc/cc |
|---|---|---|---|---|---|---|---|---|---|---|---|---|---|---|
| DG19 | 39.67 | 501.6 | 6.53 | 2.609 | 93.25 | 9.14 | 9.65 | 1.97 | 3088.4 | 3100.0 | 132.14 | 231.9 | 3.720 | 13.8 |
| DG17 | 4.56 | 298.2 | 0.45 | 0.002 | 0.06 | 0.46 | 0.29 | 0.06 | 108.6 | 109.0 | 6.63 | 11.6 | 0.164 | 0.6 |
| DG12 | 41.17 | 774.3 | 0.07 | 0.001 | 0.05 | 0.07 | 0.22 | 0.04 | 90.9 | 91.1 | 6.33 | 11.1 | 0.335 | 1.2 |
| DG20 | 27.42 | 276.2 | 1.46 | 0.005 | 0.18 | 1.46 | 0.67 | 0.13 | 216.7 | 217.5 | 64.00 | 112.3 | 4.713 | 17.5 |
| DG18 | 17.23 | 300.1 | 0.23 | 0.001 | 0.03 | 0.23 | 0.30 | 0.06 | 93.9 | 94.2 | 9.46 | 16.6 | 0.377 | 1.4 |
| Well | R/Ra | 20Ne 22Ne | 21Ne 22Ne | 38Ar 36Ar | 40Ar 36Ar | 82Kr 84Kr | 83Kr 84Kr | 86Kr 84Kr | 128Xe 132Xe | 129Xe 132Xe | 130Xe 132Xe | 131Xe 132Xe | 134Xe 132Xe | 136Xe 132Xe |
| DG19 | 0.057 | 9.597 | 0.0289 | 0.204 | 320.100 | 0.194 | 0.248 | 0.297 | 0.146 | 0.973 | 0.148 | 0.828 | 0.394 | 0.354 |
| DG17 | 0.011 | 8.223 | 0.0332 | 0.189 | 373.200 | 0.190 | 0.247 | 0.294 | 0.135 | 0.985 | 0.155 | 0.802 | 0.452 | 0.422 |
| DG12 | 0.038 | 9.674 | 0.0311 | 0.189 | 404.100 | 0.194 | 0.242 | 0.289 | 0.181 | 0.992 | 0.160 | 0.821 | 0.411 | 0.348 |
| DG20 | 0.071 | 9.472 | 0.0290 | 0.200 | 324.600 | 0.190 | 0.252 | 0.295 | 0.114 | 0.965 | 0.134 | 0.800 | 0.396 | 0.365 |
| DG18 | 0.041 | 9.597 | 0.0341 | 0.198 | 315.690 | 0.176 | 0.224 | 0.277 | 0.157 | 0.965 | 0.136 | 0.799 | 0.398 | 0.346 |
| R/Ra | 20Ne 22Ne | 21Ne 22Ne | 40Ar 36Ar | 84Kr 36Ar | 132Xe 84Kr | 4He 40Ar* | 21Ne* 40Ar* | 20Ne 36Ar | 84Kr 36Ar | |
|---|---|---|---|---|---|---|---|---|---|---|
| Water | 1 | 9.8 | 0.029 | 295.5 | 0.038 | 0.021 | ||||
| Crust | 0.02 | 0.09 | 0.450 | 3000 | 0.029 | 0.138 | ||||
| DG19 | 0.057 | 9.597 | 0.0289 | 320.100 | 0.0137 | 0.028 | 196.7 | 0 | 0.677 | 0.014 |
| Dg17 | 0.011 | 8.223 | 0.0332 | 373.200 | 0.0228 | 0.025 | 1.12 | 0.43 | 1.559 | 0.023 |
| DG12 | 0.038 | 9.674 | 0.0311 | 404.100 | 0.0281 | 0.053 | 1.60 | 0 | 0.294 | 0.028 |
| DG20 | 0.071 | 9.472 | 0.0290 | 324.600 | 0.0959 | 0.074 | 6.343 | 0 | 2.180 | 0.096 |
| DG18 | 0.041 | 9.597 | 0.0341 | 315.690 | 0.0318 | 0.040 | 4.42 | 43.3 | 0.765 | 0.032 |
| Well ID/Group | °API Gravity | C7 Temp °C | Pristane/Phytane | Toluene/nC7 | nC7/MCH | Heptane Ratio | Isoheptane Ratio |
|---|---|---|---|---|---|---|---|
| WG1 | 65.5 | 129.27 | 1.84 | 0.17 | 1.37 | 31.3 | 9.16 |
| WG2 | 74.6 | 131.88 | 1.94 | 0.11 | 1.83 | 33.56 | 8.55 |
| WG3 | 69.8 | 131.09 | 1.48 | 0.16 | 1.63 | 32.93 | 9.18 |
| WG4 | 69.6 | 131.47 | 2.05 | 0.14 | 1.87 | 34.05 | 9.98 |
| WG5 | 69.4 | 130.17 | 1.42 | 0.13 | 1.74 | 33.95 | 9.92 |
| WG6 | 70.9 | 131.23 | 1.35 | 0.21 | 1.12 | 29.85 | 5.71 |
| WG7 | 57.8 | 132.03 | 1.35 | 0.2 | 1.16 | 30.72 | 5.09 |
| WG8 | 65.3 | 130.05 | 1.58 | 0.15 | 1.64 | 33.91 | 9.75 |
| WG9 | 68.3 | 130.86 | 1.7 | 0.16 | 1.67 | 32.99 | 10.05 |
| WG10 | 66.5 | 130.04 | 1.62 | 0.15 | 1.67 | 33.91 | 9.93 |
| WG11 | 64.8 | 129.79 | 1.61 | 0.16 | 1.65 | 34.07 | 9.86 |
| WG12 | 73 | 132.21 | 1.94 | 0.14 | 1.81 | 33.36 | 9.26 |
| WG13 | - | 131.2 | 1.91 | 0.11 | 1.88 | 34.29 | 8.94 |
| WG14 | 70.8 | 130.7 | 1.92 | 0.106 | 1.95 | 34.8 | 9.25 |
| WG18 | 60.1 | 129.23 | 1.88 | 0.2 | 1.17 | 30.45 | 7.34 |
| WG20 | 57.4 | 130.1 | 1.38 | 0.22 | 1.14 | 30.16 | 6.34 |
| WG21 | 70.4 | 130.9 | 2.21 | 0.14 | 1.76 | 33.36 | 10.43 |
| WG23 | - | 130.5 | 1.61 | 0.232 | 1.21 | 28.86 | 8.58 |
| WG24 | 58.4 | 131.55 | 1.43 | 0.2 | 1.12 | 27.33 | 8.15 |
| WG25 | 53.2 | 131.1 | 1.89 | 0.12 | 1.97 | 34.45 | 9.77 |
| WG26 | - | 131.6 | 1.38 | 0.41 | 1.16 | 30.9 | 5.41 |
| WG27 | - | 131.5 | 2 | 0.12 | 1.78 | 33.92 | 9.46 |
| WV28 | - | 131.7 | 1.82 | 0.17 | 1.71 | 32.32 | 9.97 |
| PAWG1 | 74.6 | - | - | - | - | - | - |
| PAWG2 | 53.2 | - | - | - | - | - | - |
Publisher’s Note: MDPI stays neutral with regard to jurisdictional claims in published maps and institutional affiliations. |
© 2022 by the author. Licensee MDPI, Basel, Switzerland. This article is an open access article distributed under the terms and conditions of the Creative Commons Attribution (CC BY) license (https://creativecommons.org/licenses/by/4.0/).
Share and Cite
Laughrey, C.D. Produced Gas and Condensate Geochemistry of the Marcellus Formation in the Appalachian Basin: Insights into Petroleum Maturity, Migration, and Alteration in an Unconventional Shale Reservoir. Minerals 2022, 12, 1222. https://doi.org/10.3390/min12101222
Laughrey CD. Produced Gas and Condensate Geochemistry of the Marcellus Formation in the Appalachian Basin: Insights into Petroleum Maturity, Migration, and Alteration in an Unconventional Shale Reservoir. Minerals. 2022; 12(10):1222. https://doi.org/10.3390/min12101222
Chicago/Turabian StyleLaughrey, Christopher D. 2022. "Produced Gas and Condensate Geochemistry of the Marcellus Formation in the Appalachian Basin: Insights into Petroleum Maturity, Migration, and Alteration in an Unconventional Shale Reservoir" Minerals 12, no. 10: 1222. https://doi.org/10.3390/min12101222
APA StyleLaughrey, C. D. (2022). Produced Gas and Condensate Geochemistry of the Marcellus Formation in the Appalachian Basin: Insights into Petroleum Maturity, Migration, and Alteration in an Unconventional Shale Reservoir. Minerals, 12(10), 1222. https://doi.org/10.3390/min12101222
