Relationships between Alluvial Facies/Depositional Environments, Detrital Zircon U-Pb Geochronology, and Bulk-Rock Geochemistry in the Cretaceous Neungju Basin (Southwest Korea)
Abstract
1. Introduction
2. Geological Settings
3. Sampling and Analytic Methods
4. Results
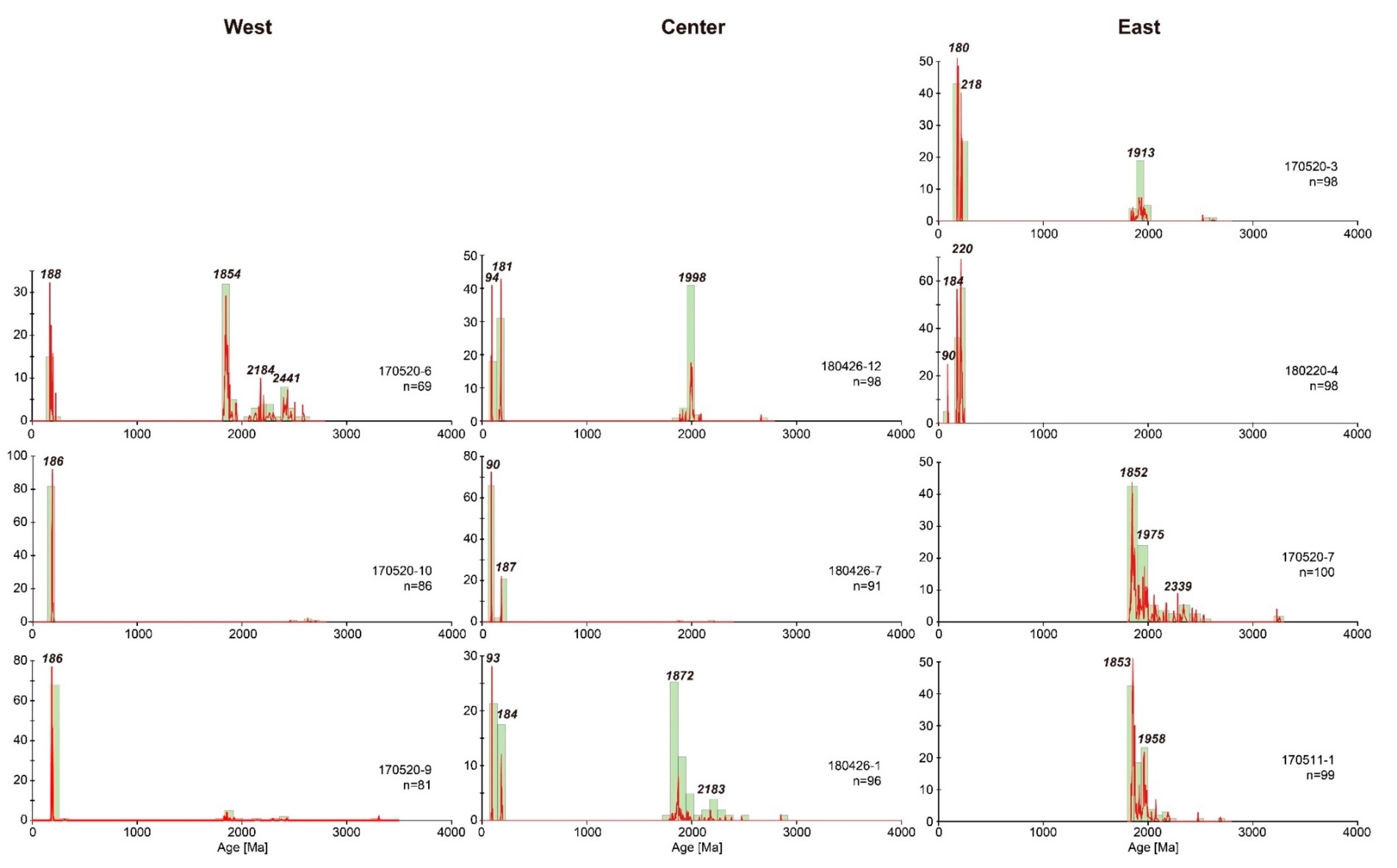
4.1. Detrital Zircon U-Pb Ages
4.2. Major Element Composition of Mudstones
4.3. Weathering Intensities of Mudstones
5. Discussion
5.1. Depositional Age of the Neungju Basin
5.2. Sediment Provenance of the Neungju Basin Based on Detrital Zircon Geochronology
5.3. Contrasting Geochemical Signatures of Tectonic Settings and Weathering Intensities in a Nonmarine Basin
6. Conclusions
Supplementary Materials
Author Contributions
Funding
Acknowledgments
Conflicts of Interest
References
- Ohta, T. Geochemistry of Jurassic to earliest Cretaceous deposits in the Nagato Basin, SW Japan: Implication of factor analysis to sorting effects and provenance signatures. Sediment. Geol. 2004, 171, 159–180. [Google Scholar] [CrossRef]
- Yang, J.; Du, Y.; Cawood, P.A.; Xu, Y. Modal and Geochemical Compositions of the Lower Silurian Clastic Rocks In North Qilian, NW China: Implications For Provenance, Chemical Weathering, and Tectonic Setting. J. Sediment. Res. 2012, 82, 92–103. [Google Scholar] [CrossRef]
- Gu, X.X.; Liu, J.M.; Zheng, M.H.; Tang, J.X.; Qi, L. Provenance and tectonic setting of the Proterozoic turbidites in Hunan, South China: Geochemical evidence. J. Sediment. Res. 2002, 72, 393–407. [Google Scholar] [CrossRef]
- Lee, J.I.; Lee, Y.I. Provenance of the lower Cretaceous Hayang Group, Gyeongsang Basin, southeastern Korea: Implications for continental-arc volcanism. J. Sediment. Res. 2000, 70, 151–158. [Google Scholar] [CrossRef]
- Joo, Y.J.; Lee, Y.I.; Hisada, K.I. Provenance of Jurassic accretionary complex: Mino terrane, inner zone of south-west Japan—Implications for palaeogeography of eastern Asia. Sedimentology 2007, 54, 515–543. [Google Scholar] [CrossRef]
- Roser, B.P.; Korsch, R.J. Provenance signatures of sandstone–mudstone suites determined using discriminant function analysis of major element data. Chem. Geol. 1988, 67, 119–139. [Google Scholar] [CrossRef]
- Roser, B.P.; Korsch, R.J. Determination of tectonic settings of sandstone–mudstone suites using SiO2 content and K2O/Na2O ratio. J. Geol. 1986, 94, 635–650. [Google Scholar] [CrossRef]
- Nesbitt, H.W.; Young, G.M. Early Proterozoic climates and plate motions inferred from major element chemistry of lutites. Nature 1982, 299, 715–717. [Google Scholar] [CrossRef]
- McLennan, S.M.; Hemming, S.; McDaniel, D.K.; Hanson, G.N. Geochemical approaches to sedimentation, provenance, and tectonics. Geol. Soc. Am. 1993, 284, 21–40. [Google Scholar]
- Critelli, S.; Le Pera, E.; Ingersoll, R.V. The effect of source lithology, transport, deposition and sampling scale on the composition of southern California sand. Sedimentology 1997, 44, 653–671. [Google Scholar] [CrossRef]
- Ingersoll, R.V. Actualistic sandstone petrofacies: Discriminating modern and ancient source rocks. Geology 1990, 18, 733–736. [Google Scholar] [CrossRef]
- Huntsman-Mapila, P.; Tiercelin, J.J.; Benoit, M.; Ringrose, S.; Diskin, S.; Cotten, J.; Hémond, C. Sediment geochemistry and tectonic setting: Application of discrimination diagrams to early stages of intracontinental rift evolution, with examples from the Okavango and Southern Tanganyika rift basins. J. Afr. Earth Sci. 2009, 53, 33–44. [Google Scholar] [CrossRef]
- Sarki Yandoka, B.M.; Abdullah, W.H.; Abubakar, M.B.; Hakimi, M.H.; Adegoke, A.K. Geochemical characterisation of Early Cretaceous lacustrine sediments of Bima Formation, Yola Sub-basin, Northern Benue Trough, NE Nigeria: Organic matter input, preservation, paleoenvironment and palaeoclimatic conditions. Mar. Pet. Geol. 2015, 61, 82–94. [Google Scholar] [CrossRef]
- Kotlia, B.S.; Joshi, L.M. Late Holocene climatic changes in Garhwal Himalaya. Curr. Sci. 2013, 104, 911–919. [Google Scholar]
- Rashid, S.A.; Ganai, J.A.; Masoodi, A.; Khan, F.A. Major and trace element geochemistry of lake sediments, India: Implications for weathering and climate control. Arab. J. Geosci. 2014, 8, 5677–5684. [Google Scholar] [CrossRef]
- Ryan, K.M.; Williams, D.M. Testing the reliability of discrimination diagrams for determining the tectonic depositional environment of ancient sedimentary basins. Chem. Geol. 2007, 242, 103–125. [Google Scholar] [CrossRef]
- Nesbitt, H.W.; Young, G.M.; McLennan, S.M.; Keays, R.R. Effects of chemical weathering and sorting on the petrogenesis of siliciclastic sediments, with implications for provenance studies. J. Geol. 1996, 104, 525–542. [Google Scholar] [CrossRef]
- Ohta, T. Measuring and adjusting the weathering and hydraulic sorting effects for rigorous provenance analysis of sedimentary rocks: A case study from the Jurassic Ashikita Group, south-west Japan. Sedimentology 2008, 55, 1687–1701. [Google Scholar] [CrossRef]
- Cheong, C.H.; Kim, G.S. The Geological Map of Neungju Sheet (1:50,000) and Explanatory Text; Geological Survey of Korea: Daejeon, Korea, 1966; p. 42, (In Korean and English). [Google Scholar]
- Kim, B.K.; Park, B.K. The Geological Map of Dongbok Sheet (1:50,000) and Explanatory Text; Geological Survey of Korea: Daejeon, Korea, 1966; p. 33, (In Korean and English). [Google Scholar]
- Kim, K.B.; Lee, B.J.; Hwang, S.K. The Geological Map of Kwangju Sheet (1:50,000) and Geological Report; Korea Institute of Energy and Resources: Daejeon, Korea, 1990; p. 20, (In Korean and English). [Google Scholar]
- Son, C.M.; Kim, S.J. The Geological Map of Changpyeong Sheet (1:50,000) and Explanatory Text; Geological Survey of Korea: Daejeon, Korea, 1966; p. 30, (In Korean and English). [Google Scholar]
- Choi, Y.K.; Yoon, H.D. The Geological Map of Jangheung Sheet (1:50,000) and Explanatory Text; Geological Survey of Korea: Daejeon, Korea, 1968; p. 18, (In Korean and English). [Google Scholar]
- Hong, S.H.; Yun, U. The Geological Map of Songjong Sheet (1:50,000) and Geological Report; Korea Institute of Energy and Resources: Daejeon, Korea, 1986; p. 23, (In Korean and English). [Google Scholar]
- Lee, S.M.; Kim, H.S. The Geological Map of Bongnae Sheet (1:50,000) and Explanatory Text; Geological Survey of Korea: Daejeon, Korea, 1966; p. 44, (in Korean and English). [Google Scholar]
- Lee, H.; Sim, M.S.; Choi, T. Stratigraphic evolution of the northern part of the Cretaceous Neungju Basin, South Korea. Geosci. J. 2019, 23, 849–865. [Google Scholar] [CrossRef]
- Chun, S.S.; Chough, S.K. Tectonic history of Cretaceous sedimentary basins in the southwestern Korean Peninsula and Yellow Sea. In Sedimentary Basins in the Korean Peninsula and Adjacent Seas; Chough, S.K., Ed.; Korean Sedimentology Research Group: Seoul, Korea, 1992; pp. 60–76, Special Publication 1. [Google Scholar]
- Chough, S.K.; Kwon, S.T.; Ree, J.H.; Choi, D.K. Tectonic and sedimentary evolution of the Korea peninsula: A review and new view. Earth Sci. Rev. 2000, 52, 175–235. [Google Scholar] [CrossRef]
- Wu, F.Y.; Han, R.H.; Yang, J.H.; Wilde, S.A.; Zhai, M.G.; Park, S.C. Initial constraints on the timing of granitic magmatism in North Korea using U–Pb zircon geochronology. Chem. Geol. 2007, 238, 232–248. [Google Scholar] [CrossRef]
- Ahn, K.S.; Huh, M.; Son, J.M. Geological history and landscape of Mudeungsan National Park. J. Geol. Soc. Korea 2014, 50, 91–105. [Google Scholar] [CrossRef]
- Turek, A.; Kim, C.B. U-Pb zircon ages of Mesozoic plutons in the Damyang–Geochang area, Ryongnam massif, Korea. Geochem. J. 1995, 29, 243–258. [Google Scholar] [CrossRef]
- Seo, H.G.; Paik, S.H. Researches on Coal Resources (II), North Part of the Iyang Area, Honam Coal Field, 83-Coal Resources-3-16; Geological Survey of Korea: Daejeon, Korea, 1984. (In Korean) [Google Scholar]
- You, H.S.; Moon, B.C.; Koh, Y.K.; Kim, H.G.; Lyu, S.O. A study on the paleodepositional environment of Cretaceous sedimentary rocks—Northeastern area of Chonnam. J. Korean Earth Sci. Soc. 1998, 19, 318–328. [Google Scholar]
- Paik, I.S.; Huh, M.; So, Y.H.; Lee, J.E.; Kim, H.J. Traces of evaporites in Upper Cretaceous lacustrine deposits of Korea: Origin and paleoenvironmental implications. J. Asian Earth Sci. 2007, 30, 93–107. [Google Scholar] [CrossRef]
- Wiedenbeck, M.; Alle, P.; Corfu, F.; Griffin, W.L.; Meier, M.; Oberli, F.; von Quadt, A.; Roddick, J.C.; Spiegel, W. Three natural zircon standards for U-Th-Pb, Lu-Hf, trace element and REE analyses. Geostand. Geoanal. Res. 1995, 19, 1–23. [Google Scholar] [CrossRef]
- Andersen, T. Correction of common lead in U-Pb analyses that do not report 204Pb. Chem. Geol. 2002, 192, 59–79. [Google Scholar] [CrossRef]
- Paton, C.; Hellstrom, J.; Paul, B.; Woodhead, J.D.; Hergt, J. Iolite: Freeware for the visualization and processing of mass spectrometric data. J. Anal. Atom. Spectrom. 2011, 26, 2508–2518. [Google Scholar] [CrossRef]
- Paton, C.; Woodhead, J.D.; Hellstrom, J.C.; Hergt, J.M.; Greig, A.; Maas, R. Improved laser ablation U-Pb zircon geochronology through robust downhole fractionation correction. Geochem. Geophy. Geosyst. 2010, 11, Q0AA06. [Google Scholar] [CrossRef]
- Ludwig, K.R. User’s Manual for Isoplot 3.6: A Geochronological Toolkit for Microsoft Excel; Berkeley Geochronology Center Special Publication: Berkeley, CA, USA, 2008. [Google Scholar]
- Taylor, S.R.; McLennan, S.M. The Continental Crust: Its Composition and Evolution; Blackwell Scientific Publications: Oxford, UK, 1985; p. 315. [Google Scholar]
- Verma, S.P.; Armstrong-Altrin, J.S. New multi-dimensional diagrams for tectonic discrimination of siliciclastic sediments and their application to Precambrian basins. Chem. Geol. 2013, 355, 117–133. [Google Scholar] [CrossRef]
- Fedo, C.M.; Nesbitt, H.W.; Young, G.M. Unraveling the effects of potassium metasomatism in sedimentary rocks and paleosols, with implications for paleoweathering conditions and provenance. Geology 1995, 23, 921–924. [Google Scholar] [CrossRef]
- Buggle, B.; Glaser, B.; Hambach, U.; Gerasimenko, N.; Marković, S. An evaluation of geochemical weathering indices in loess–paleosol studies. Quat. Int. 2011, 240, 12–21. [Google Scholar] [CrossRef]
- Vogt, T. Sulitjelmafeltets geologi og petrografi. Nor. Geol. Unders. 1927, 121, 1–560, (In Norwegian with English abstract). [Google Scholar]
- Parker, A. An index of weathering for silicate rocks. Geol. Mag. 1970, 107, 501–504. [Google Scholar] [CrossRef]
- Jayawardena, U.D.S.; Izawa, E. A new chemical index of weathering for metamorphic silicate rocks in tropical regions: A study from Sri Lanka. Eng. Geol. 1994, 36, 303–310. [Google Scholar] [CrossRef]
- Kim, S.W.; Kwon, S.; Park, S.I.; Lee, C.; Cho, D.L.; Lee, H.J.; Ko, K.; Kim, S.J. SHRIMP U–Pb dating and geochemistry of the Cretaceous plutonic rocks in the Korean Peninsula: A new tectonic model of the Cretaceous Korean Peninsula. Lithos 2016, 262, 88–106. [Google Scholar] [CrossRef]
- Kwon, C.W.; Ko, K.; Gihm, Y.S.; Koh, H.J.; Kim, H. Late Cretaceous volcanic arc system in southwest Korea: Distribution, lithology, age, and tectonic implications. Cretac. Res. 2017, 75, 125–140. [Google Scholar] [CrossRef]
- Gastil, R.G. The distribution of mineral dates in time and space. Am. J. Sci. 1960, 258, 1–35. [Google Scholar] [CrossRef]
- Condie, K.C. Episodic continental growth and supercontinents: A mantle avalanche connection? Earth Planet. Sci. Lett. 1998, 163, 97–108. [Google Scholar] [CrossRef]
- Kim, J.; Cho, M. Low-pressure metamorphism and leucogranite magmatism, northeastern Yeongnam Massif, Korea: Implication for Paleoproterozoic crustal evolution. Precambrian Res. 2003, 122, 235–251. [Google Scholar] [CrossRef]
- Lee, Y.I.; Choi, T.; Orihashi, Y. LA-ICP-MS zircon U-Pb ages of the Precambrian Yuli Group. J. Geol. Soc. Korea 2011, 47, 81–87, (In Korean with English abstract). [Google Scholar]
- Choi, T.; Lee, Y.I.; Orihashi, Y. Crustal growth history of the Korean Peninsula: Constraints from detrital zircon ages in modern river sediments. Geosci. Front. 2016, 7, 704–714. [Google Scholar]
- Park, Y.J. SHRIMP U-Pb Age Distribution of the Detrital Zircons from the Sedimentary and Metasedimentary Rocks of the Southwestern Part of the Korean Peninsula. Master’s Thesis, Pukyong National University, Busan, Korea, 2013. (In Korean with English abstract). [Google Scholar]
- Nakayama, K.; Yoshikawa, S. Depositional processes of primary to reworked volcaniclastics on an alluvial plain; an example from the Lower Pliocene Ohta tephra bed of the Tokai Group, central Japan. Sediment. Geol. 1997, 107, 211–229. [Google Scholar]
- Ashley, G.M.; Hay, R.L. Sedimentation patterns in a Plio-Pleistocene volcaniclastic rift-platform basin, Olduvai Gorge, Tanzania. In Sedimentation in Continental Rifts; Renaut, R.W., Ashley, G.M., Eds.; Society for Sedimentary Geology (SEPM): Broken Arrow, OK, USA, 2002. [Google Scholar] [CrossRef]
- Lee, S.G.; Kim, D.Y. Geochemical composition of the continental crust in Korean Peninsula. J. Pet. Soc. Korea 2012, 21, 113–128, (In Korean with English abstract). [Google Scholar]
- Koh, J.S.; Yun, S.H.; Kim, Y.L. Petrology of the Mt. Dungjuribong Volcanic Complex, Gurye-gun, southwest of Ryeongnam Massif. J. Pet. Soc. Korea 2009, 18, 349–370, (In Korean and English abstract). [Google Scholar]
- Kim, Y.L.; Koh, J.S.; Lee, J.H.; Yun, S.H. Petrological study on the Cretaceous volcanic rocks in the southwest Ryeongnam Massif: (1) the Mt. Moonyu volcanic mass, Seungju-gun. J. Pet. Soc. Korea 2008, 17, 57–82, (In Korean with English abstract). [Google Scholar]
- Jung, W.; Ki, Y.; Huh, M. A petrological study of the Mudeungsan Tuff focused on Cheonwangbong and Anyangsan. J. Pet. Soc. Korea 2014, 23, 325–336, (In Korean and English abstract). [Google Scholar]
- Huh, M.; Paik, I.S.; Lockley, M.G.; Hwang, K.G.; Kim, B.S.; Kwak, S.K. Well-preserved theropod tracks from the Upper Cretaceous of Hwasun County, southwestern South Korea, and their paleobiological implications. Cretac. Res. 2006, 27, 123–138. [Google Scholar] [CrossRef]
- Paik, I.S.; Lee, Y.I.; Kim, H.J.; Huh, M. Time, Space and Structure on the Korea Cretaceous Dinosaur Coast: Cretaceous Stratigraphy, Geochronology, and Paleoenvironments. Ichnos 2012, 19, 6–16. [Google Scholar] [CrossRef]
- Lee, J.I.; Lee, Y.I. Geochemistry and provenance of Lower Cretaceous Sindong and Hayang mudrocks, Gyeongsang Basin, southeastern Korea. Geosci. J. 2003, 7, 107–122. [Google Scholar]
- Nesbitt, H.W.; Fedo, C.M.; Young, G.M. Quartz and feldspar stability, steady and non-steady-state weathering, and petrogenesis of siliciclastic sands and muds. J. Geol. 1997, 105, 173–191. [Google Scholar] [CrossRef]
- Lee, Y.I. Geochemistry of shales of the Upper Cretaceous Hayang Group, SE Korea: Implications for provenance and source weathering at an active continental margin. Sediment. Geol. 2009, 215, 1–12. [Google Scholar] [CrossRef]
- Joo, Y.J.; Elwood Madden, M.E.; Soreghan, G.S. Anomalously low chemical weathering in fluvial sediment of a tropical watershed (Puerto Rico). Geology 2018, 46, 691–694. [Google Scholar] [CrossRef]
- Smith, G.A. Facies sequences and geometries in continental volcaniclastic sediments. In Sedimentation in Volcanic Settings; Fisher, R.V., Smith, G.A., Eds.; Society for Sedimentary Geology (SEPM): Broken Arrow, OK, USA, 1991. [Google Scholar]
- Smith, G.A. Sedimentology of proximal and distal volcaniclastics dispersed across an active foldbelt: Ellensburg Formation (late Miocene), central Washington. Sedimentology 1988, 35, 953–977. [Google Scholar] [CrossRef]











| Depositional Environment | Sample Code | CIA | PIA | CPA | WIP | V | STI |
|---|---|---|---|---|---|---|---|
| Alluvial plain | 180220-1 | 56 | 59 | 88 | 65 | 1.37 | 81.8 |
| Alluvial plain | 180426-4 | 57 | 61 | 80 | 64 | 1.92 | 85.1 |
| Alluvial plain | 180426-6 | 63 | 70 | 83 | 64 | 2.46 | 83.5 |
| Alluvial plain | 180426-12 | 60 | 66 | 78 | 64 | 2.37 | 86.8 |
| Alluvial plain | 180426-13 | 52 | 53 | 74 | 61 | 1.52 | 87.4 |
| Alluvial plain | 4-26-1050 | 64 | 74 | 84 | 58 | 2.92 | 85.5 |
| Alluvial plain | 4-26-1104 | 59 | 65 | 85 | 60 | 1.96 | 84.3 |
| Alluvial plain | 180426-11 | 59 | 63 | 83 | 74 | 1.78 | 80.0 |
| Alluvial plain | 180427-12-7 | 56 | 60 | 84 | 71 | 2.14 | 84.3 |
| Alluvial plain | 4-11-425 | 56 | 59 | 86 | 63 | 1.84 | 84.6 |
| Alluvial plain | 4-17-239-r | 59 | 67 | 88 | 67 | 2.13 | 83.6 |
| Alluvial plain | 4-17-239-g | 52 | 53 | 89 | 71 | 1.04 | 81.8 |
| Alluvial plain | 4-46-420 | 56 | 58 | 73 | 72 | 1.66 | 83.3 |
| Sandflat | 180426-7 | 64 | 74 | 83 | 59 | 3.49 | 84.5 |
| Sandflat | 4-11-1150 | 44 | 41 | 74 | 66 | 1.26 | 87.6 |
| Sandflat | 4-17-300 | 53 | 54 | 84 | 66 | 1.49 | 84.3 |
| Playa lake | 180426-8 | 47 | 47 | 65 | 82 | 0.94 | 83.5 |
| Playa lake | 4-10-239 | 44 | 42 | 65 | 75 | 0.89 | 86.8 |
| Playa lake | 4-10-445 | 41 | 38 | 74 | 73 | 0.82 | 86.1 |
| Playa lake | 0307-1-905 | 46 | 45 | 72 | 85 | 1.24 | 84.5 |
| Playa lake | 1129-1-1 | 52 | 52 | 68 | 78 | 1.22 | 84.8 |
| Playa lake | 1129-1-2 | 51 | 51 | 63 | 75 | 1.20 | 86.1 |
| Playa lake | 1129-3-2 | 41 | 38 | 71 | 88 | 0.96 | 84.4 |
| Playa lake | 180426-9 | 50 | 50 | 86 | 65 | 1.26 | 85.0 |
| Playa lake | 180427-14-37 | 55 | 60 | 77 | 88 | 2.16 | 83.8 |
| Playa lake | 180427-15-24 | 54 | 57 | 71 | 86 | 1.98 | 84.9 |
| Playa lake | 180427-15-39 | 55 | 58 | 70 | 86 | 1.43 | 83.5 |
| Playa lake | 4-10-408 | 55 | 57 | 67 | 72 | 1.40 | 86.3 |
| Playa lake | 4-11-110 | 63 | 69 | 79 | 66 | 2.18 | 84.0 |
| Playa lake | 4-17-340 | 41 | 37 | 75 | 81 | 0.91 | 85.1 |
Publisher’s Note: MDPI stays neutral with regard to jurisdictional claims in published maps and institutional affiliations. |
© 2020 by the authors. Licensee MDPI, Basel, Switzerland. This article is an open access article distributed under the terms and conditions of the Creative Commons Attribution (CC BY) license (http://creativecommons.org/licenses/by/4.0/).
Share and Cite
Lee, H.; Kwon, M.G.; Shin, S.; Cho, H.; Kim, J.-S.; Roh, Y.; Huh, M.; Choi, T. Relationships between Alluvial Facies/Depositional Environments, Detrital Zircon U-Pb Geochronology, and Bulk-Rock Geochemistry in the Cretaceous Neungju Basin (Southwest Korea). Minerals 2020, 10, 1023. https://doi.org/10.3390/min10111023
Lee H, Kwon MG, Shin S, Cho H, Kim J-S, Roh Y, Huh M, Choi T. Relationships between Alluvial Facies/Depositional Environments, Detrital Zircon U-Pb Geochronology, and Bulk-Rock Geochemistry in the Cretaceous Neungju Basin (Southwest Korea). Minerals. 2020; 10(11):1023. https://doi.org/10.3390/min10111023
Chicago/Turabian StyleLee, Hyojong, Min Gyu Kwon, Seungwon Shin, Hyeongseong Cho, Jong-Sun Kim, Yul Roh, Min Huh, and Taejin Choi. 2020. "Relationships between Alluvial Facies/Depositional Environments, Detrital Zircon U-Pb Geochronology, and Bulk-Rock Geochemistry in the Cretaceous Neungju Basin (Southwest Korea)" Minerals 10, no. 11: 1023. https://doi.org/10.3390/min10111023
APA StyleLee, H., Kwon, M. G., Shin, S., Cho, H., Kim, J.-S., Roh, Y., Huh, M., & Choi, T. (2020). Relationships between Alluvial Facies/Depositional Environments, Detrital Zircon U-Pb Geochronology, and Bulk-Rock Geochemistry in the Cretaceous Neungju Basin (Southwest Korea). Minerals, 10(11), 1023. https://doi.org/10.3390/min10111023

