Next Article in Journal
Paint Relics on Middle Age Building Stones as Proxies of Commercial Routes and Artistic Exchanges: A Multi-Analytical Investigation
Previous Article in Journal
Influence of pH on Molecular Hydrogen (H2) Generation and Reaction Rates during Serpentinization of Peridotite and Olivine
 
 
Font Type:
Arial Georgia Verdana
Font Size:
Aa Aa Aa
Line Spacing:
Column Width:
Background:
Article

The Role of Siliceous High-Magnesium Basalts during the Formation of a Neoproterozoic Mafic-Ultramafic Intrusion in the Tarim Craton (China)

1
School of Earth Science and Resources, Chang’an University, 126 Yanta Road, Xi’an 710054, China
2
Geophysical and Geochemical Exploration Corporation, Bureau of Geological Exploration for Nonferrous Metals in Northwest China, Xi’an 710068, China
*
Author to whom correspondence should be addressed.
Minerals 2019, 9(11), 662; https://doi.org/10.3390/min9110662
Submission received: 18 September 2019 / Revised: 25 October 2019 / Accepted: 25 October 2019 / Published: 28 October 2019
(This article belongs to the Section Mineral Deposits)

Abstract

The Xingdi No.2 intrusion in the Kuluktag Block of northeastern Tarim Craton, which intrudes into the Palaeoproterozoic basement with an exposed area of ca. 12 km2, is an orthopyroxene-rich mafic-ultramafic intrusion in a continental rift setting. It consists of gabbros, pyroxenites, and peridotites, and exhibits a crystallization sequence of the principal rock-forming minerals from olivine, orthopyroxene, clinopyroxene, to plagioclase. The gabbros show a concordant SHRIMP U-Pb zircon age of 752 ± 5.4 Ma. In addition, the olivine grains have forsterite content values of 78–85 mole% and mostly contain low NiO, MnO, CaO, and Cr2O3. The rocks are relatively enriched in large ion lithophile elements and LREE, and depleted in HSFE, have non-radiogenic Pb, low εNd (t) values (−2.8 to −23), initial 87Sr/86Sr ratios (0.7059–0.7130). It could be concluded that the rocks represent an analogue of siliceous high magnesium basaltic magma originated by the partial melting of a hydrous and enriched subcontinental lithospheric mantle and contaminated by the continental crust.

1. Introduction

Siliceous high-magnesium basalt (SHMB) is a rare rock type that occurs mostly at the Archean-Proterozoic boundaries. It is characterized by high MgO (>8%) and SiO2 (51–55%) along with low TiO2 and HFSE [1,2,3,4,5,6,7,8]. The origin of some mafic-ultramafic complexes, such as Bushveld, Munni-Munni, and Huangshandong, involved SHMB-like magmas [1,7,9], which were likely to be also important for the formation of magmatic sulfide deposits [10].
The Tarim Craton is one of the three large cratons in China and has an area of more than 600,000 km2. Precambrian basement has been observed in core samples from a deep (>7000 m) drill hole in the central Tarim Craton, and similar rocks are distributed along the margin of the Tarim Craton [11,12,13,14,15]. The Tarim Craton was associated with the assembly and breakup of Rodinia supercontinent during Neoproterozoic [16,17], although its paleogeographic position within Rodinia and the timing of its final separation from this supercontinent have been poorly constrained [16,17]. Multiphase and voluminous Neoproterozoic igneous rocks cropping out along the northern margin of Tarim [18,19,20,21], include mafic dike swarms, ultramafic-mafic intrusions, adakitic granitoids, and bimodal volcanic rocks [15,22,23,24,25,26,27,28,29,30,31]. In fact, several recent studies have examined Neoproterozoic mafic-ultramafic intrusions along the north margin of Tarim [19,20,22,23,24,32], originating during continental rifting are thought to be associated with mantle plumes or superplume that have been assumed to be responsible for the breakup of Rodinia [22,23,24,32], although lacking of direct evidence for mantle plumes.
The Xingdi No.2 and No.3 intrusions, from the southern margin of the Kuluktag Block in the Tarim Craton contain orthopyroxene and are reminiscent of intrusions derived from Siliceous high-magnesium basalt (SHMB) magmas. Although previous studies documented the presence of orthopyroxene in the Xingdi intrusions, the SHMB-like geochemical affinity has not been addressed. Since the Xingdi No.2 and No.3 intrusions are mineralized with Ni–Cu sulfide, their origin (possibly linked with SHMB-like magma) is important for the understanding of the petrogenesis of the rocks and the genesis of the associated Ni–Cu sulfide deposits.
In this work, we constrain the parental magmas of the Xingdi No.2 intrusion in Kuluktag of northeastern Tarim Craton. Specifically, we study the target rocks by employing the SHRIMP U-Pb dating of their zircon, whole-rock elemental geochemistry, mineral compositions, as well as Sr–Nd–Pb isotope data.

2. Geological Setting

The Kuluktag Block is situated in the northeastern Tarim Craton, northwestern China. Precambrian rocks are widely exposed in the Kuluktag Block and exhibit relatively complete stratigraphic sequence [23]. The basement of the Kuluktag Block consists of the Neoarchean Tuogelakebulake, Paleoproterozoic Xingditag, Mesoproterozoic Aierjigan, and Neoproterozoic Paergangtag groups [33,34]. The Tuogelakebulake group is composed primarily of gneiss, migmatite, and amphibolites. The Xingditag group [18] consists mainly of biotite schist, garnet biotite schist (gneiss), biotite hornblende gneiss, garnet sillimanite gneiss, and marble. The Aierjigan group consists of Si–Mg-rich neritic facies carbonate rocks. The Paergangtag group is composed of silty mudstone, argillaceous siltstone, sandstone, and crystalline limestone. The cover of the Kuluktag Block is the Neoproterozoic Kuluktag group. There are five layers of volcanic rocks in Neoproterozoic strata, which are found in the top and bottom parts of the Beiyixi Formation, in the upper part of the Alletonggou Formation, in the Zhamoketi Formation, and in the Shuiquan Formation [25,26,35]. The eruption age of the Beiyixi volcanic rocks is 755 ± 15 Ma [25]. The volcanic rocks from the Beiyixi formation are bimodal, with 75% felsic and 25% basaltic rocks, respectively [26]. The assemblage of these rocks and their geochemical properties indicate formation in a continental rift environment [35], which might be related to the Rodinia supercontinent rifting [25,36].
There are a total of four mafic-ultramafic intrusions along the southern margin of the Kuluktag Block, identified from east to west as the Xingdi No.1 (~20 km2), No.2 (~12 km2), No.3 (~1.7 km2), and No.4 (~8.3 km2) intrusions (Figure 1a). Cu-Ni-(PGE) mineralization occurs in the Xingdi No.2 and No.3 intrusions. The Xingdi No.2 intrusion, an irregular funnel-shaped lopolith, intruded amphibolite facies meta-sedimentary rocks of the Paleoproterozoic Xingditag group.

3. Petrography

The Xingdi No.2 intrusion consists of gabbro, pyroxenite, and peridotite units (Figure 1b).
The gabbro unit in the west and on the margin accounts for about 70–75% of the outcropped area of the intrusion. Several rock types can be recognised, including olivine norite, olivine gabbronorite, olivine gabbro, gabbronorite, gabbro, along with a lesser amount of pyroxene diorite. The rocks mainly show a typical gabbro and poikilitic textures (Figure 2a), and have a medium-to-coarse grain structure. They comprise of clinopyroxene (35–40%), orthopyroxene (10–15%), plagioclase (30–40%), minor amounts of olivine, biotite, and hornblende, and accessory apatite, zircon, and ilmenite.
The pyroxenite unit in the northeast makes up about 15–20% of the outcropped area of the intrusion. The pyroxenites are mainly websterite and olivine websterite and consist of clinopyroxene (40–50%), orthopyroxene (35–45%), olivine (1–10%), plagioclase (1–10%), along with minor hornblende and spinel. Clinopyroxene and orthopyroxene occur as anhedral grains with diameters ranging from 0.5 to 6 mm (Figure 2b), some pyroxene grains have been altered to tremolite, actinolite, or chlorite.
The peridotite unit exposed in the northeast of the intrusion has mainly lherzolite-containing olivine (40–70%), clinopyroxene (10–30%), orthopyroxene (10–20%), along with minor plagioclase, amphibole, phlogopite, spinel, and sulphide. Olivine grains are subhedral or rounded, with a variable diameter of 0.5–4 mm. They are generally enclosed in clinopyroxene or orthopyroxene, and have a poikilitic texture (Figure 2c). Locally, serpentinization and talcization are visible around the olivine grain margins (Figure 2d). Clinopyroxene and orthopyroxene occur as anhedral crystals with diameters ranging from 1 to 6 mm and are interstitial to olivine. Some pyroxene grains have been altered to tremolite or actinolite. The plagioclase exhibits an irregular distribution in the olivine and pyroxene grains, and similarly does the phlogopite in the olivine grains.

4. Analytical Methods

One coarse-grained gabbro sample (41°07′33.7″ N, 87°49′52.7″ E) is collected from the Xingdi No.2 intrusion for U–Pb zircon dating. Zircons are extracted from crushed rock (5–10 kg) using heavy liquids and a Frantz magnetic separator, and then handpicked, mounted on epoxy resin, and polished until the grain centers are exposed. Before isotopic analysis, photographs are obtained using an optical microscope, and cathodoluminesce (CL) images are recorded under a scan electron microprobe (SEM), to identify the morphology and internal textures. Isotope analyses are performed using a SHRIMP II ion microprobe at the Beijing SHRIMP Centre, Institute of Geology, Chinese Academy of Geological Sciences. The analytical procedures are similar to those described in [37]. Mass resolution during the analytical sessions is 5000 (1% definition), and the intensity of the primary ion beam is 5–8 nA. Primary beam size is 25–30 μm normally and 10–15 μm when analyzing very narrow overgrowth of zircons. Each analytical site is rastered for 120–200 s prior to analysis, and five scans through the mass stations are made. Standards SL13 (U = 238ppm) and TEMORA (206Pb/238U age = 417 Ma) are used for calibrating the U abundance and isotope ratios, respectively. The decay constants used for age calculation are those recommended in [38]. Common lead correction is applied, and data processing is carried out using the SQUID and ISOPLOT programs [39]. The uncertainties for individual analyses are quoted at the 1σconfidence level, whereas errors for pooled ages are quoted at 95% confidence. Due to the small amount of 207Pb in young (i.e., <1000 Ma) zircons, which resulted in low count rates and high analytical uncertainties, the ages have to be determined primarily based on their 206Pb/238U ratios, whereas the ages of older zircon are determined from 207Pb/206Pb ratios.
Mineral compositions are determined by wavelength-dispersive X-ray analysis using an EPMA-8100 electron microprobe (JEOL, Tokyo, Japan) at Chang’an University, Xi’an, China, with 15 kV acceleration voltage, 20 nA beam current, 1 μm beam size, and a peak counting time of 20 s for major elements. The Ni in olivine is analyzed using a beam current of 80 nA and a peak counting time of 50 s. The detection limit for Ni is 100 ppm. Analytical error is within 2%, which ensured test reproducibility. The accuracy of olivine analysis is monitored using the San Carlos olivine standard.
Rock samples for whole-rock analyses are crushed and then pulverized in an agate mill. The whole-rock major elements are analyzed using X-ray fluorescence (RIX2100, SHIMADZU, Kyoto, Japan) on fused glass beads at the Key Laboratory of Western China’s Mineral Resources and Geological Engineering of Ministry of Education at Chang’an University. The analytical error is between 1% and 5%.
A Thermo-X7 ICP-MS is used to analyze trace elements at Chang’an University. Sample powders (50 mg) are dissolved in high-pressure Teflon vessels in a mixture of HF: HNO3. Rh is used as an internal standard to monitor signal drift during ion counting. The analytical error for most elements is less than 5%.
Whole-rock Sr-Nd-Pb isotope analyses are carried out at Guangzhou Institute of Geochemistry, Chinese Academy of Sciences. Rb–Sr and Sm–Nd isotopes are determined using MC-ICP-MS. Total procedural blanks are 10 pg for Sm and Nd, and 20 pg for Rb and Sr. The values for the La Jolla Nd standard and the SRM987 Sr standard measured during data acquisition are 143Nd/144Nd = 0.511861 ± 10 and 87Sr/86Sr = 0.710263 ± 10, respectively. Pb isotopes are determined using a VG354 thermal ionization mass spectrometer. The total procedural blank is ~100 pg for Pb. Values for the SRM981 Pb standard measured during data acquisition are 206Pb/204Pb = 16.934 ± 0.007, 207Pb/204Pb = 15.486 ± 0.017, and 208Pb/204Pb = 36.673 ± 0.033 (n = 20).

5. Analytical Results

5.1. Zircon U-Pb Isotopes

Table S1 and Figure 3 and Figure 4 show the analytical data obtained from 10 samples. The zircons from the Xingdi No.2 intrusion are transparent, 40–100 μm in length, and mostly euhedral to subhedral. Their zoning (Figure 3) and Th/U ratios (0.46–1.01) indicate a magmatic origin. All analyses show concordant U–Pb ages within analytical errors corresponding to a concordia age of 752 ± 5.4 Ma (95% confidence, MSWD = 0.97) (Figure 4).

5.2. Olivine Compositions

All olivine grains in the Xingdi No.2 intrusion have also low CaO (<0.05 wt %), MnO (<0.40 wt %), and Cr2O3 (<0.50 wt %). Most olivine grains have low Ni content (<0.20 wt %) (Table S2). The Fo value varies from 85 to 71 mole% and decreases gradually from lherzolite to gabbro.

5.3. Whole-Rock Major and Trace Elements

Table S3 lists concentrations of major oxides in the Xingdi No.2 intrusion. The mafic-ultramafic rocks have a SiO2 content of 38.46–56.25 wt %, an Al2O3 content of 2.14–24.71 wt %, and a CaO content of 2.11–22.43 wt %. These rocks have highly variable MgO from 2.24 wt % to 33.21 wt %, and variable Fe2O3* content from 4.83 wt % to 15.09 wt %, with Mg# being 0.48–0.85 [Mg# = MgO/(MgO + FeO*)], corresponding to the variety and content of minerals in rocks. Most rocks have low TiO2 (<2.00 wt %), and most rocks have low Na2O + K2O (0.48–3.65 wt %) except two samples (5.22 and 5.45 wt %). The results show that all peridotites along with some pyroxenites and gabbros belong to the tholeiitic series, whereas most pyroxenites and gabbros belong to the calc-alkaline series (Figure 5). The CIPW calculation shows that all rocks contain significant hypersthene (1.85–69.37%) and variable quartz (0.03–12.10%).
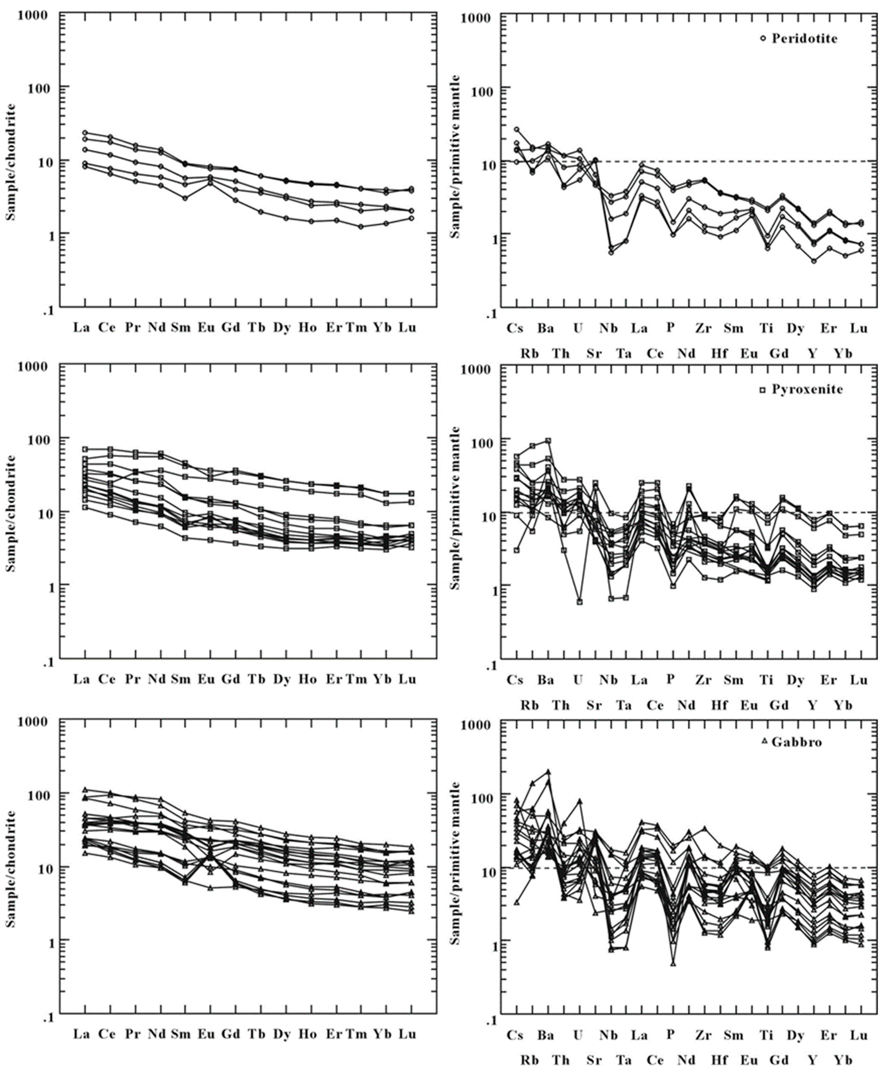
Most rocks of the Xingdi No.2 mafic-ultramafic intrusion have a ΣREE of 10.8–159 ppm, and ΣREE gradually increasing from peridotite to gabbro (Table S4). Chondrite-normalized REE patterns of the mafic-ultramafic rocks are invariably enriched in LREE compared with HREE, and show slight to moderate fractionation [(La/Yb)N = 2.22–10.27; (La/Sm)N = 0.98–3.66; (Gd/Yb)N = 1.23–3.19]. The primitive mantle-normalized trace element diagram show that all rocks are enriched in large ion lithophile elements (i.e., Cs, Rb, Sr, Th, U) and depleted in high field strength elements (HFSE, i.e., Nb, Ta, P) (Figure 6). Peridotite and pyroxenite show relative enrichment of Cr, Co, Ni, and Cu, whereas gabbro is relatively enriched in Ti.

5.4. Sr-Nd-Pb Isotopes

The Sr-Nd-Pb isotopic compositions (Table S5) show that the 87Rb/86Sr and 87Sr/86Sr ratios of all samples range in 0.012–0.564 and 0.7067–0.7153, respectively, with the initial 87Sr/86Sr ratios ranging in 0.7059–0.7130. The 147Sm/144Nd and 143Nd/144Nd ratios are 0.1214–0.1799 and 0.511147–0.512193, respectively. The calculated initial 143Nd/144Nd ratios are 0.510489–0.512270, and the εNd(t) values vary from −23 to −2.8 (Figure 7). The modern 206Pb/204Pb, 207Pb/204Pb, and 208Pb/204Pb values of the mafic-ultramafic rocks fall within 17.0850–17.5765, 15.4191–15.4655, and 37.6036–38.2067, respectively (Figure 8).

6. Discussions

6.1. The Compositions of the Parental Magmas

All rocks contained variable amounts of orthopyroxene, indicating that the parental magmas for the Xingdi No.2 intrusion must have been rich in Si and Mg [3,7,45]. No chilled margins or coeval small dikes that may represent magma compositions have been found in the Xingdi area, the compositions of the parental magmas for the mafic-ultramafic intrusion could be estimated by whole-rock average composition, the composition of most primitive olivine in the rocks, and olivine–liquid compositional relationships [46]. To reduce the uncertainty due to the occurrence of other cumulus phases such as clinopyroxene (CaO-rich phase) and plagioclase (Al2O3-rich phase) in the Xingdi No.2 olivine cumulates, we selected four samples of Al2O3 < 4 wt % and CaO < 3.5 wt %. The contents of MgO in the parental magma for the Xingdi No.2 intrusion are then estimated using their average whole-rock composition, the highest Fo content in olivine (85), the olivine–liquid Fe-Mg exchange coefficient [Kd = FeO/MgO)Ol/(FeO/MgO)liq] of 0.3 [47], and an assumed FeO/Fe2O3 of 0.9 for the liquid. The estimated MgO contents in the parental magma are 11.6 wt %. Although the estimated MgO content of the Xingdi No.2 intrusion is likely to be a minimum because the observed olivine composition may have been affected by subsequent re-equilibration with trapped silicate liquid, it also suggested that the parental magma was high magnesium basaltic magma.
Experiments have demonstrated that the CaO content of olivine depends on both the Fo contents in the olivine and the composition of coexisting melt [46]. Many komatiitic or high-Mg basalts contain olivine with <0.2 wt % CaO, whereas alkaline basalts, ferro-basalts, and MORBs have olivine with CaO ranging at 0.2–1.0 wt % [48]. Thus, Ca-poor olivine is believed either to represent xenocrysts or to have formed from Si-rich and Ca-poor mafic magmas (e.g., SHMB) [49,50,51,52]. Most olivine grains of the Xingdi No.2 intrusion have very low CaO content (<0.06 wt %). Since their Fo content are lower than 85 mol%, they could not represent mantle xenocrysts. In addition, the Xingdi magmas have an initial CaO content of 5.5 wt % according to the equation published in [49]. Therefore, the Ca-poor olivine from the Xingdi No.2 intrusion was likely derived from low-Ca SHMB-like magmas.

6.2. Assimilation and Fractional Crystallization

Trace elements such as La, Sm, Nb, U, Ce, Pb, Lu, and Yb have similar geochemical characteristics, and the La/Sm, Nb/U, Ce/Pb, and Lu/Yb ratios cannot thus be significantly modified by partial melting or fractional crystallization. However, these ratios are significantly different in the mantle and in the crust. Whereas mantle-derived magmas are characterized by high Ce/Pb (25 ± 5) and Nb/U (47 ± 10), low Lu/Yb (0.14–0.15), and relatively lower La/Sm (<4.5) [53,54,55], continental crust has relatively low Ce/Pb (<15) and Nb/U (~9.7) [56], along with higher Lu/Yb (0.16–0.18) and La/Sm (>4.5). Thus, these ratios can be used to reveal the crustal contamination.
Six samples of the Xingdi No.2 intrusion have a La/Sm ratio of 4.5–5.8, suggesting limited crustal contamination. In addition, the Nb/U ratio of seven samples is within the range of 9.69–11.48, and three samples have a Ce/Pb ratio of 13.05–16.26, which also indicate some crustal contamination. Although the Sr- and Nd- isotopic compositions belong to the enrichment type, the wide ranges of Sr- and Nd- isotope ratios are also reported crustal contamination. Initial 143Nd/144Nd values plotted against the initial 87Sr/86Sr ratios plot on the mixing line between DMM and crustal rocks (Figure 7), suggesting variable degrees of the crustal contamination during magma ascent and differentiation. Hence, samples with low εNd(t) values may have undergone variable degrees (up to 10–20%) of contamination by the Tarim Proterozoic paragneiss (Figure 7).
Fractional crystallization is likewise no less important than assimilation in magmatic evolution. Petrological studies on the Xingdi No.2 intrusion indicate the crystallization sequence from olivine, orthopyroxene, clinopyroxene, to plagioclase. The whole-rock geochemical characteristics of the intrusion also reflect these features. Crystal fractionation of olivine and orthopyroxene is the primary factor that controls the abundance of Fe, Ni, and Co in the magma. Since SiO2, FeO*, Ni, and Co show significant correlations with MgO (Figure 9b,g,h), their presence is an indication of the fractionation of olivine and orthopyroxene. The positive Eu and Sr anomalies in several samples could be attributed to the cumulation of plagioclase (Figure 6). In the presence of plagioclase, a pronounced trend of decreasing CaO/Al2O3 along with decreasing Mg-number (Figure 9f) could corroborate the importance of clinopyroxene in the crystal fractionation [57]. Therefore, the magmas of the Xingdi No.2 intrusion might have undergone assimilation and fractionation of olivine, pyroxene, and plagioclase.

6.3. The Melting of a Hydrous and Enriched Lithospheric Mantle Source

Rocks from the Xingdi No.2 intrusion have high initial 87Sr/86Sr ratio, low initial 143Nd/144Nd ratio, and a common isotopic composition indicative of nonradiogenic lead. Figure 8 shows that compositions of the Xingdi No.2 mafic-ultramafic rocks fell in the fields of basalts from the Parana Basin of southwestern Brazil (PBB). Figure 9 shows that their projection points agreed with the basalt of the Sky island in the North Atlantic, the Mull island, and ODDleg152 (SMOB) [58]. The Pb isotope ratio of the mafic-ultramafic rocks varies within a narrow range and is devoid of radiogenic lead, thus belonging to normal lead with minimal U(Th)/Pb. Non-altered olivine pyroxenite sample (XDII-1) has no obvious hydrothermal alteration, with a εNd(t) value of −4.91 and an initial 87Sr/86Sr ratio of 0.7068. This composition could basically represent the mantle source, indicating that the Xingdi No.2 intrusion originated by the partial melting of an enriched lithospheric mantle.
Although crustal contamination is evident in the Xingdi No.2 intrusion, hydrous melting of mantle peridotites is also important for the generation of SHMB-like magmas. In the Xingdi No.2 intrusion, biotite and amphibole in gabbro, norite, olivine gabbro, pyroxenite, and peridotite show the hydrous nature of the parental magma [59]. Meanwhile, high Ba/Zr ratios (1.11–25.72) also suggest the presence of fluids in the parental magma [7]. Hence, the SHMB-like parental magma might have originated by the partial melting of hydrous and enriched lithospheric mantle.

6.4. Implications for the Genesis of SHMB-Like Magmas in Continental Rifts

Extensive Neoproterozoic magmatism has produced abundant volcanic rocks and mafic-ultramafic intrusions in the Kuluktag Block of the Tarim Craton. Representative Beiyixi volcanic rocks that erupted at 755 ± 15 Ma represent a bimodal suite of basalt and dacite-rhyolite with a SiO2 gap between 55% and 65%. According to their petrological and geochemical features, these volcanic rocks formed in a continental rift related to mantle plume activity beneath the Rodinia supercontinent [25]. Analogously, the Xingdi No.2 intrusion displays similar negative εNd(t) values (−23 to −2.8), suggesting the partial melting of enriched lithospheric mantle source. According to olivine geo-thermometer by [47], olivine starts to crystallize alone from the parental magma at ~1300 °C, indicating that the parental magma should be high temperature basaltic magma. The high temperature characteristic for the parental magma may be related to mantle plume.
According to the paleomagnetic data, the Tarim Craton is believed to have been located along the northern margin of Rodinia adjacent to northwestern Australia during the early Neoproterozoic [60,61,62]. Some previous studies have suggested that the Rodinia supercontinent rifting began at ca. 780 Ma, which led to the final breakup of the supercontinent between 750 and 725 Ma [63,64]. The mantle plume activity at ca. 780–745 Ma has been reported in northern Namibia [65], North America [66,67], northwestern India [68], Australia [69], India [70] and South China [71] (Figure 10). As discussed above, the ca. 752 Ma Xingdi No.2 mafic-ultramafic intrusion in northeastern Tarim Craton could be genetically related to the mantle plume activity. In addition, a coeval magmatism has also been documented in the Tarim Craton, including the ca. 783 Ma basalts in the Sugetbtak, NW Tarim [72], ca. 773 Ma mafic dyke swarms [73], ca. 760 Ma bimodal volcanic rocks [25] in Kuluktag, NE Tarim, ca. 759 Ma mafic dyke swarms in Aksu, NW Tarim [73]. Thus, the ca. 780–750 Ma igneous events in Tarim are a part of the global magmatism during the breakup of the Rodinia supercontinent and related to the mantle plume activity.
In summary, the current identification of SHMB-like magmas in a Neoproterozoic craton suggests that SHMB-like magmas could also be generated by AFC and partial melting of hydrated lithospheric mantle in continental rift settings related to the mantle plume activity.

7. Conclusions

It could be inferred that the Xingdi No.2 mafic-ultramafic intrusion in the Kuluktag Block in northeastern Tarim Craton was emplaced at ca. 752 Ma. Whole-rock major and trace element geochemistry data suggested that the intrusion was derived from magma enriched in LREE and LILE and depleted in HFSE. The intrusion has initial 87Sr/86Sr ratios in 0.7059–0.7130 and εNd(t) values from −23 to −2.8, which suggests an enriched lithospheric mantle source. It could be additionally argued that the Xingdi No.2 mafic-ultramafic intrusion was derived from low-Ca parental magmas that resembled Siliceous high-magnesium basalt (SHMB). Hence, SHMB-like mafic-ultramafic magmatism could also occur in continental rift settings in the presence of hydrous and enriched mantle sources.

Supplementary Materials

The following are available online at https://www.mdpi.com/2075-163X/9/11/662/s1. Table S1: Zicron U–Pb isotope data for gabbro sample at the Xingdi No.2 intrusion in Kuluktag block, NE Tarim. Table S2: Microprobe analyses of olivine from the Xingdi No.2 intrusion. Table S3: Maior oxides data for the Xingdi No.2 mafic-ultramafic rocks. Table S4: Trace element data for the Xingdi No.2 mafic-ultramafic rocks. Table S5: Sr–Nd–Pb isotopic data for the Xingdi No. 2 Intrusion, Tarim carton, NW China.

Author Contributions

Conceptualization, Z.X. and M.X.; methodology, Z.X.; software, Z.X. and Y.R.; validation, Z.X., M.X. and Y.R.; formal analysis, Z.X. and M.X.; investigation, Z.X. and M.X.; resources, Z.X.; data curation, Z.X. and Y.R.; writing—original draft preparation, Z.X.; writing—review and editing, Z.X. and M.X.; visualization, Z.X.; supervision, Z.X.; project administration, Z.X.; funding acquisition, Z.X. and M.X.

Funding

This work was supported by the National Natural Science Foundation of China (grants 41302070), the Natural Science Foundation of Shaanxi Province (grant 2019JQ-690), and the Fundamental Research Funds for the Central Universities (grant 300102279210, grant 300102279211).

Acknowledgments

We appreciate two anonymous reviewers for their constructive comments and suggestions.

Conflicts of Interest

The authors declare no conflict of interest.

References

  1. Redman, B.A.; Keays, R.R. Archaean basic volcanism in the Eastern Goldfields Province, Yilgarn Block, Western Australia. Precambrian Res. 1985, 30, 113–152. [Google Scholar] [CrossRef]
  2. Hall, R.P.; Hughes, D.J. Noritic dykes of southern West Greenland: Early Proterozoic boninitic magmatism. Contrib. Miner. Petrol. 1987, 97, 169–182. [Google Scholar] [CrossRef]
  3. Sun, S.S.; McDonough, W.F. Chemical and isotopic systematics of oceanic basalts: Implications for mantle composition and processes. Geol. Soc. Spec. Publ. Lond. 1989, 42, 313–345. [Google Scholar] [CrossRef]
  4. Cadman, A.C.; Tarney, J.; Hamilton, M.A. Petrogenetic relationships between Palaeoproterozoic tholeiitic dykes and associated high-Mg noritic dykes, Labrador, Canada. Precambrian Res. 1997, 82, 63–84. [Google Scholar] [CrossRef]
  5. Srivastava, R.K.; Singh, R.K. Petrology and geochemistry of the Late Archaean siliceous high-magnesian basalts (SHMB) from Kaklur, southern Bastar craton, Central India. J. Geol. Soc. India 1999, 53, 693–704. [Google Scholar]
  6. Smithies, R.; Champion, D.; Sun, S.S. The case for Archaean boninites. Contrib. Miner. Petrol. 2004, 147, 705–721. [Google Scholar] [CrossRef]
  7. Gao, J.F.; Zhou, M.F. Generation and evolution of siliceous high magnesium basaltic magmas in the formation of the Permian Huangshandong intrusion (Xinjiang, NW China). Lithos 2013, 162–163, 128–139. [Google Scholar] [CrossRef]
  8. Peng, T.P.; Wilde, S.A.; Fan, W.M.; Peng, B.X. Neoarchean siliceous high-Mg basalt (SHMB) from the Taishan granite–greenstone terrane, Eastern North China Craton: Petrogenesis and tectonic implications. Precambrian Res. 2013, 228, 233–249. [Google Scholar] [CrossRef]
  9. Hoatson, D.M.; Keays, R.R. Formation of platiniferous sulfide horizons by crystal fractionation and magma mixing in the Munni-Munni layered intrusion, West Pilbara Block, Western Australia. Econ. Geol. 1989, 84, 1775–1804. [Google Scholar] [CrossRef]
  10. Maier, W.D.; Barnes, S.J. The Kabanga Ni sulfide deposits, Tanzania: II. Chalcophile and siderophile element geochemistry. Miner. Depos. 2010, 45, 443–460. [Google Scholar] [CrossRef]
  11. Dong, F.; Li, S.; Feng, X. Features of lithologic association of Archean metamorphic rocks in Xinjiang. Xinjiang Geol. 2001, 19, 251–255, (In Chinese with English Abstract). [Google Scholar]
  12. Guo, Z.J.; Zhang, Z.C.; Liu, S.W.; Li, H.M. U–Pb geochronological evidence for the early Precambrian complex of the Tarim Craton, NW China. Acta Petrol. Sin. 2003, 19, 537–542, (In Chinese with English Abstract). [Google Scholar]
  13. Lu, S.N.; Li, H.K.; Zhang, C.L.; Niu, G.H. Geological and geochronological evidence for the Precambrian evolution of the Tarim Craton and surrounding continental fragments. Precambrian Res. 2008, 160, 94–107. [Google Scholar] [CrossRef]
  14. Turner, S.A. Sedimentary record of Late Neoproterozoic rifting in the NW Tarim Basin, China. Precambrian Res. 2010, 181, 85–96. [Google Scholar] [CrossRef]
  15. Long, X.P.; Yuan, C.; Sun, M.; Xiao, W.J.; Zhao, G.C.; Zhou, K.F.; Wang, Y.J.; Hu, A.Q. The discovery of the oldest rocks in the Kuluketage area and its geological implications. Sci. China Earth Sci. 2011, 54, 342–348. [Google Scholar] [CrossRef]
  16. Wen, B.; Evans, D.A.D.; Li, Y.X. Neoproterozoic paleogeography of the Tarim Block: An extended or alternative “missing-link” model for Rodinia? Earth Planet. Sci. Lett. 2017, 458, 92–106. [Google Scholar] [CrossRef]
  17. Zhang, F.Q.; Dilek, Y.; Cheng, X.G.; Wu, H.X.; Lin, X.B.; Chen, H.-L. Late Neoproterozoic–early Paleozoic seismic structure–stratigraphy of the SW Tarim Block (China), its passive margin evolution and the Tarim–Rodinia breakup. Precambrian Res. 2019, 334, 105456. [Google Scholar] [CrossRef]
  18. Xinjiang Bureau and of Geology and Mineral Resources (XBGMR). Regional Geology of the Xinjiang Uygur Autonomous Region. Geol. Publ. House Beijing 1993, 1993, 17–45. (In Chinese)
  19. Li, H.Q.; Xie, C.F.; Chang, H.L.; Cai, H.; Zhu, J.P.; Zhou, S. Study on the Metallogenetic Chronology of Nonferrous and Precious Metallic Ore Deposits in North Xinjiang. Geol. Publ. House 1998, 1998, 1–250, (In Chinese with English Abstract). [Google Scholar]
  20. Yang, H.Q.; Luo, C.Y.; Zhu, B.Q.; Zhang, K.C. The geological features and metallogenetic conditions of the copper–nickel-bearing basic-ultrabasic intrusion in Xingdi, Xinjiang. Northwestern Geosci. 1997, 18, 43–53, (In Chinese with English Abstract). [Google Scholar]
  21. Zhang, C.L.; Li, X.H.; Li, Z.X.; Lu, S.N.; Ye, H.M.; Li, H.M. Neoproterozoic ultramafic-mafic-carbonatite complex and granitoids in Quruqtagh of northeastern Tarim Block, western China: Geochronology, geochemistry and tectonic implications. Precambrian Res. 2007, 152, 149–169. [Google Scholar] [CrossRef]
  22. Zhang, C.L.; Yang, D.S.; Wang, H.Y.; Takahashi, Y.; Ye, H.M. Neoproterozoic mafic–ultramafic layered intrusion in Quruqtagh of northeastern Tarim Block, NW China: Two phases of mafic igneous activity with different mantle sources. Gonawana Res. 2011, 19, 177–1902. [Google Scholar] [CrossRef]
  23. Zhang, C.L.; Li, H.K.; Zou, H.B.; Wang, H.Y. Multiple phases of Neoproterozoic ultramafic–mafic complex in Kuruqtagh, northern margin of Tarim: Interaction between plate subduction and mantle plume? Precambrian Res. 2012, 222–223, 488–502. [Google Scholar] [CrossRef]
  24. Cao, X.F.; Lü, X.B.; Yuan, Q.; Wang, X.D.; Liu, H.; Shen, W. Neoproterozoic granitic activities in the Xingdi plutons at the Kuluketage block, NW China: Evidence from zircon U-Pb dating, geochemical and Sr–Nd–Hf isotopic analyses. J. Asian Earth Sci. 2014, 96, 93–107. [Google Scholar] [CrossRef]
  25. Xu, B.; Jiang, P.; Zhang, H.F.; Zou, H.B.; Zhang, L.F.; Liu, D.Y. U–Pb zircon geochronology and geochemistry of Neoproterozoic volcanic rocks in the Tarim Block of northwest China: Implications for the breakup of Rodinia supercontinent and Neoproterozoic glaciations. Precambrian Res. 2005, 136, 107–123. [Google Scholar] [CrossRef]
  26. Xu, B.; Kou, X.W.; Song, B.; Wei, W.; Wang, Y. SHRIMP dating of the upper Proterozoic volcanic rocks in the Tarim plate and constraints on the Neoproterozoic glaciations. Acta Petrol. Sin. 2008, 24, 2857–2862, (In Chinese with English Abstract). [Google Scholar]
  27. Xu, Z.Q.; He, B.Z.; Zhang, C.L.; Zhang, J.X.; Wang, Z.M.; Cai, Z.H. Tectonic framework and crustal evolution of the Precambrian basement of the Tarim Block in NW China: New geochronological evidence from deep drilling samples. Precambrian Res. 2013, 235, 150–162. [Google Scholar] [CrossRef]
  28. Zhu, W.B.; Zhang, Z.Z.; Shu, L.S.; Lu, H.F.; Sun, J.B.; Yang, W. SHRIMP U–Pb zircon geochronology of Neoproterozoic Korla mafic dykes in the northern Tarim Block, NW China: Implications for the long-lasting breakup process of Rodinia. J. Geol. Soc. Lond. 2008, 165, 887–890. [Google Scholar] [CrossRef]
  29. Zhu, W.B.; Zheng, B.H.; Shu, L.S.; Ma, D.S.; Wan, J.L.; Zheng, D.W.; Zhang, Z.Y.; Zhu, X.Q. Geochemistry and SHRIMP U–Pb zircon geochronology of the Korla mafic dykes: Constrains on the Neoproterozoic continental breakup in the Tarim Block, northwest China. J. Asian Earth Sci. 2011, 42, 791–804. [Google Scholar] [CrossRef]
  30. Xia, Z.D.; Shi, F.P.; Hu, X.J.; Jiang, C.Y. Geochemistry and petrogenesis of Xingdi No.2 mafic-ultramafic intrusion in the Kuluketag area, Xinjiang. Acta Petrol. Sin. 2009, 25, 805–816. [Google Scholar]
  31. Xia, Z.D.; Xia, M.Z.; Jiang, C.Y. Geochronology, Petrology and Geochemistry of Xingdi No. 3 Mafic-Ultramafic Intrusions in the Northeastern Tarim Craton, NW China. Acta Geol. Sin. 2017, 91, 500–514. [Google Scholar] [CrossRef]
  32. Chen, H.J.; Chen, Y.J.; Ripley, E.M.; Li, C.S.; Deng, X.H.; Yue, S.W.; Zheng, Z.; Fu, B. Isotope and trace element studies of the Xingdi II mafic–ultramafic complex in the northern rim of the Tarim Craton: Evidence for emplacement in a Neoproterozoic subduction zone. Lithos 2017, 278, 274–284. [Google Scholar] [CrossRef]
  33. Lu, S.N. Preliminary Study of Precambrian Geology in the north Tibet-Qinghai Plateau. Geol. Publ. House Beijing 2002, 2002, 1–125. (In Chinese) [Google Scholar]
  34. Zhou, X.B.; Li, J.H.; Li, W.S.; Cheng, Y.L.; Wang, H.H. Tectonic units division of crystalline basement in the Tarim Basin, NW China. Acta Geol. Sin. 2015, 89, 127. [Google Scholar] [CrossRef]
  35. Jiang, C.Y.; Bai, K.Y.; Hei, A.Z.; Zhao, X.N.; Zhang, H.B. Petrology, geochemistry, magmatic process and source composition of Sinian–Cambrian volcanic rocks in Kuruktag area. Acta Petrol. Et Miner. 2000, 19, 8–18, (In Chinese with English Abstract). [Google Scholar]
  36. Qin, Q. Studies of Xingdi River Neoproterozoic Mafic–Ultramafic Intrusions in Quruqtagh, Xinjiang and Their Constraints on Breakup of Rodinia. Master’s Thesis, Xinjiang University, Urumqi, China, 2012; pp. 1–56. [Google Scholar]
  37. Compston, W.; Williams, I.S.; Kirschvink, J.L.; Zichau, Z.; Ma, G. Zircon U-Pb ages for the Early Cambrian time-scale. J. Geol. Soc. Lond. 1992, 149, 171–184. [Google Scholar] [CrossRef]
  38. Steiger, R.H.; Jager, E. Subcommission on geochronology: Convection or the use of decay constants in geochronology and cosmochronology. Earth Planet. Sci. Lett. 1997, 36, 359–362. [Google Scholar] [CrossRef]
  39. Ludwig, K.R. User’s Manual for Isoplot 3.00: A Geochronological Toolkit for Microsoft Excel. Berkeley Geochronol. Center Spec. Publ. 2003, 4, 25–32. [Google Scholar]
  40. Irvine, T.N.; Baragar, W.R.A. A guide to the chemical classification of the common volcanic rocks. Can. J. Earth Sci. 1971, 8, 523–548. [Google Scholar] [CrossRef]
  41. McDonough, W.F.; Sun, S.S. The composition of the Earth. Chem. Geol. 1995, 120, 223–253. [Google Scholar] [CrossRef]
  42. Comin-Chiaramonti, P.; Cundari, A.; Piccirillo, E.M.; Gomes, C.B.; Castrorina, F.; Censi, P.; De Min, A.; Marzoli, A.; Speziale, S.; Velázqccez, V.F. Potassic and Sodic igneous rocks from Eastern Paraguay: Their origin from the lithospheric mantle and genetic relationships with the associated Paraná flood tholeiites. J. Petrol. 1997, 38, 495–528. [Google Scholar] [CrossRef]
  43. Hu, A.Q.; Zhang, G.X.; Chen, Y.B. Isotope geochronology and geochemistry for major geological events of continental crustal evolution of Xinjiang, China. Geol. Publ. House Beijing 2006, 2006, 427. (In Chinese) [Google Scholar]
  44. Zindler, A.; Hart, S.R. Chemical geodynamics. Annu. Rev. Earth Planet. Sci. 1986, 14, 493–571. [Google Scholar] [CrossRef]
  45. Wang, C.Y.; Zhou, M.F.; Keays, R.R. Geochemical constraints on the origin of the Permian Baimazhai mafic–ultramafic intrusion, SW China. Contrib. Miner. Petrol. 2006, 152, 309–321. [Google Scholar] [CrossRef]
  46. Li, C.; Ripley, E.M. Sulfur contents at sulfide-liquid or anhydrite saturation in silicate melts: Empirical equations and example applications. Econ. Geol. 2009, 104, 405–412. [Google Scholar] [CrossRef]
  47. Roeder, P.L.; Emslie, R.F. Olivine-liquid equilibrium. Contrib. Miner. Petrol. 1970, 29, 275. [Google Scholar] [CrossRef]
  48. Ghiorso, M.S.; Sack, R.O. Chemical mass-transfer in magmatic processes IV: A revised and internally consistent thermodynamic model for the interpolation and extrapolation of liquid–solid equilibria in magmatic systems at elevated-temperatures and pressures. Contrib. Miner. Petrol. 1995, 119, 197–212. [Google Scholar] [CrossRef]
  49. Libourel, G. Systematics of calcium partitioning between olivine and silicate melt: Implications for melt structure and calcium content of magmatic olivines. Contrib. Miner. Petrol. 1999, 136, 63–80. [Google Scholar] [CrossRef]
  50. Boudier, F. Olivine xenocrysts in picritic magmas: An experimental and microstructural study. Contrib. Miner. Petrol. 1991, 109, 114–123. [Google Scholar] [CrossRef]
  51. Hirano, N.; Yamamoto, J.; Kagi, H.; Ishii, T. Young, olivine xenocryst-bearing alkali-basalt from the oceanward slope of the Japan Trench. Contrib. Miner. Petrol. 2004, 148, 47–54. [Google Scholar] [CrossRef]
  52. Kamenetsky, V.S.; Elburg, M.; Arculus, R.; Thomas, R. Magmatic origin of low-Ca olivine in subduction-related magmas: Co-existence of contrasting magmas. Chem. Geol. 2006, 233, 346–357. [Google Scholar] [CrossRef]
  53. Ramsay, W.R.H.; Crawford, A.J.; Foden, J.D. Field setting, mineralogy, chemistry, and genesis of arc picrites, New Georgia, Solomon Islands. Contrib. Miner. Petrol. 1984, 88, 386–402. [Google Scholar] [CrossRef]
  54. Hofmann, W. Chemical differentiation of the earth: The relationship between mantle, continental crust, and oceanic crust. Earth Planet. Sci. Lett. 1988, 90, 297–314. [Google Scholar] [CrossRef]
  55. Campbell, I.H.; Griffiths, R.W. The evolution of mantle’s chemical structure. Lithos 1993, 30, 389–399. [Google Scholar] [CrossRef]
  56. Baker, J.A.; Menzies, M.A.; Thirlwall, M.F.; Macpherson, C.G. Petrogenesis of Quaternary intraplate volcanism, Sana’a Yenmen: Implication and polybaric melt hybridization. J. Petrol. 1997, 38, 1359–2390. [Google Scholar] [CrossRef]
  57. Späth, A.; Le Roex, A.P.; Opiyo-Akech, N. Plume–Lithosphere Interaction and the Origin of Continental Rift-related Alkaline Volcanism—the Chyulu Hills Volcanic Province, Southern Kenya. J. Petrol. 2001, 42, 765–787. [Google Scholar] [CrossRef]
  58. Ellam, R.M.; Stuart, F.M. The sub-lithospheric source of North Atlantic basalts: Evidence for, and significance of, a common end-member. J. Petrol. 2000, 41, 919–932. [Google Scholar] [CrossRef]
  59. Himmelberg, G.R.; Loney, R.A. characteristic and petrogenesis of Alaskan-type ultramafic-mafic intrusions, southern Alaska. USGS Prof Pap. 1995, 1564, 47. [Google Scholar]
  60. Chen, Y.; Xu, B.; Zhan, S.; Li, Y.A. First mid-Neoproterozoic paleomagnetic results from the Tarim Basin (NW China) and their geodynamic implications. Precambrian Res. 2004, 133, 271–281. [Google Scholar] [CrossRef]
  61. Li, Z.X.; Bogdanova, S.V.; Collins, A.S.; Davidson, A.; De Waele, B.; Ernst, R.E.; Fitzsimons, I.C.W.; Fuck, R.A.; Gladkochub, D.P.; Jacobs, J. Assembly, configuration, and break-up history of Rodinia: A synthesis. Precambrian Res. 2008, 160, 179–210. [Google Scholar] [CrossRef]
  62. Zhan, S.; Chen, Y.; Xu, B.; Wang, B.; Faure, M. Late Neoproterozoic paleomagnetic results from the Sugetbrak Formation of the Aksu area, Tarim basin (NW China) and their implications to paleogeographic reconstructions and the snowball Earth hypothesis. Precambrian Res. 2007, 154, 143–158. [Google Scholar] [CrossRef]
  63. Evans, D.A.D. The palaeomagnetically viable, long-lived and all-inclusive Rodinia supercontinent reconstruction. In Ancient Orogens and Modern Analogues, Special Publication; Murphy, J.B., Keppie, J.D., Hynes, A., Eds.; Geological Society London: London, UK, 2009; Volume 327, pp. 371–404. [Google Scholar]
  64. Torsvik, T.H.; Carter, L.M.; Ashwal, L.D.; Bhushan, S.K.; Pandit, M.K.; Jamtveit, B. Rodinia refined or obscured: Palaeomagnetism of the Malani igneous suite (NW India). Precambrian Res. 2001, 108, 319–333. [Google Scholar] [CrossRef]
  65. Hoffman, P.F.; Hawkins, D.P.; Isachsen, C.E.; Bowring, S.A. Precise U–Pb zircon ages for early Damaran magmatism in the Summas Mountains and Welwitschia Inlier, northern Damaran belt Namibia. Commun. Geol. Surv. Namib. 1996, 11, 47–52. [Google Scholar]
  66. Aleinikoff, J.N.; Zartman, R.E.; Walter, M.; Rankin, D.W.; Lyttle, P.T.; Burton, W.C. U–Pb ages of metarhyolites of the Catoctin and Mount Rogers Formations, central and southern Appalachians: Evidence for two pulses of Iapetan rifting. Am. J. Sci. 1995, 295, 428–454. [Google Scholar] [CrossRef]
  67. Fetter, A.H.; Goldberg, S.A. Age and geochemical characteristics of bimodal magmatism in the Neoproterozoic Grandfather Mountain rift basin. J. Geol. 1995, 103, 313–326. [Google Scholar] [CrossRef]
  68. Kochhar, N. Role of Malani anorogenic magmatism in the crustal evolution of the northwest Indian shield. Proterozoic Crustal and Metallogenic Evolution. Geol. Soc. Geol. Surv. Namib. 1994, 1994, 43. [Google Scholar]
  69. Wingate, M.T.D.; Giddings, J.W. Age and Palaeomagnetism of the Mundine Well dyke swarm, Western Australia: Implications for an Australia–Laurentia connection at 755 Ma. Precambrian Res. 2000, 100, 335–357. [Google Scholar] [CrossRef]
  70. Miyazaki, T.; Miyazaki, T.; Kagami, H.; Shuto, K.; Morikiyo, T.; Mohan, V.R.; Rajasekaran, C. Rb–Sr geochronology, Nd–Sr isotopes and whole rock geochemistry of Yelagiri and Sevattur syenites, Tamil Nadu, South India. Gondwana Res. 2000, 3, 39–53. [Google Scholar] [CrossRef]
  71. Li, X.H.; Li, Z.X.; Zhou, H.W.; Liu, Y.; Kinny, P.D. U–Pb zircon geochronology, geochemistry and Nd isotopic study of Neoproterozoic bimodal volcanic rocks in the Kangdian Rift of South China: Implications for the initial rifting of Rodinia. Precambrian Res. 2002, 113, 135–154. [Google Scholar] [CrossRef]
  72. Zhang, Z.C.; Kang, J.L.; Kusky, T.; Santosh, M.; Huang, H.; Zhang, D.Y.; Zhu, J. Geochronology, geochemistry and petrogenesis of Neoproterozoic basalts from Sugetbrak, northwest Tarim block, China: Implications for the onset of Rodinia supercontinent breakup. Precambrian Res. 2012, 220–221, 158–176. [Google Scholar] [CrossRef]
  73. Zhang, C.L.; Li, Z.X.; Li, X.H.; Ye, H.M. Neoproterozoic mafic dyke swarm in north margin of the Tarim, NW China: Age, geochemistry, petrogenesis and tectonic implications. J. Asian Earth Sci. 2009, 35, 167–179. [Google Scholar] [CrossRef]
Figure 1. The regional geological map (a) and simplified sketch of the Xingdi No.2 Intrusion (b), Kuluktag area, Tarim Carton.
Figure 1. The regional geological map (a) and simplified sketch of the Xingdi No.2 Intrusion (b), Kuluktag area, Tarim Carton.
Minerals 09 00662 g001
Figure 2. Photomicrographs of rocks from the Xingdi No.2 intrusion. (a) Plagioclase (Pl) and clinopyroxene (Cpx) showing typical gabbro texture; (b) euhedral-subhedral clinopyroxene (Cpx) and orthopyroxene (Opx) in pyroxenites with less plagioclase (Pl); (c) olivine (Ol) enclosed by interstitial clinopyroxene (Cpx) and biotite (Bi) in peridotites; (d) serpentinized cumulus olivine and interstitial plagioclase in peridotites.
Figure 2. Photomicrographs of rocks from the Xingdi No.2 intrusion. (a) Plagioclase (Pl) and clinopyroxene (Cpx) showing typical gabbro texture; (b) euhedral-subhedral clinopyroxene (Cpx) and orthopyroxene (Opx) in pyroxenites with less plagioclase (Pl); (c) olivine (Ol) enclosed by interstitial clinopyroxene (Cpx) and biotite (Bi) in peridotites; (d) serpentinized cumulus olivine and interstitial plagioclase in peridotites.
Minerals 09 00662 g002
Figure 3. Cathodoluminescence figure of zircons from the Xingdi No.2 gabbro.
Figure 3. Cathodoluminescence figure of zircons from the Xingdi No.2 gabbro.
Minerals 09 00662 g003
Figure 4. U–Pb concordia diagram of zircons from the Xingdi No.2 gabbro (D2-1-10).
Figure 4. U–Pb concordia diagram of zircons from the Xingdi No.2 gabbro (D2-1-10).
Minerals 09 00662 g004
Figure 5. The petrochemical series classification diagram from [40].
Figure 5. The petrochemical series classification diagram from [40].
Minerals 09 00662 g005
Figure 6. Chondrite-normalized rare earth element (REE) and primitive mantle-normalized trace element patterns for the Xingdi No.2 intrusive rocks. The normalizing values are from [41].
Figure 6. Chondrite-normalized rare earth element (REE) and primitive mantle-normalized trace element patterns for the Xingdi No.2 intrusive rocks. The normalizing values are from [41].
Minerals 09 00662 g006
Figure 7. εNd(t)–εSr(t) diagram for the Xingdi No.2 mafic-ultramafic rocks and εNd(t) versus initial 87Sr/86Sr plot (t = 752 Ma) and model calculations of Sr-Nd isotopes suggest that the intrusion experienced variable contamination of Tarim Proterozoic gneiss and granite. The isotopic compositions of Nd and Sr for PBB and ALB values are from [42]. Data for depleted mid ocean ridge basalt (MORB) mantle (DMM) are from [41] and Tarim Proterozoic gneissic granite from [43]. BSE: Bulk standard earth, PBB: Paraná basin basalt in Brazil, ALB: Archean lithospheric mantle in western United States, EMI: I-typed enriched mantle, EMII: II-typed enriched mantle.
Figure 7. εNd(t)–εSr(t) diagram for the Xingdi No.2 mafic-ultramafic rocks and εNd(t) versus initial 87Sr/86Sr plot (t = 752 Ma) and model calculations of Sr-Nd isotopes suggest that the intrusion experienced variable contamination of Tarim Proterozoic gneiss and granite. The isotopic compositions of Nd and Sr for PBB and ALB values are from [42]. Data for depleted mid ocean ridge basalt (MORB) mantle (DMM) are from [41] and Tarim Proterozoic gneissic granite from [43]. BSE: Bulk standard earth, PBB: Paraná basin basalt in Brazil, ALB: Archean lithospheric mantle in western United States, EMI: I-typed enriched mantle, EMII: II-typed enriched mantle.
Minerals 09 00662 g007
Figure 8. 206Pb/204Pb versus 207Pb/204Pb and 208Pb/204Pb diagram for the Xingdi No.2 mafic-ultramafic rocks. Values typical of various mantle reservoirs are taken from [44]. BSE: Bulk standard earth, SMOB: Sky island in the North Atlantic, Mull island, and ODPLeg 152 basalt, EMI: I-typed enriched mantle, NHRL: Northern hemisphere reference line.
Figure 8. 206Pb/204Pb versus 207Pb/204Pb and 208Pb/204Pb diagram for the Xingdi No.2 mafic-ultramafic rocks. Values typical of various mantle reservoirs are taken from [44]. BSE: Bulk standard earth, SMOB: Sky island in the North Atlantic, Mull island, and ODPLeg 152 basalt, EMI: I-typed enriched mantle, NHRL: Northern hemisphere reference line.
Minerals 09 00662 g008
Figure 9. Other oxides and trace elements versus MgO plots and CaO/Al2O3 versus Mg# from the Xingdi No.2 intrusive rocks. (a) SiO2 versus MgO; (b) FeO* versus MgO; (c) Al2O3 versus MgO; (d) CaO versus MgO; (e) Na2O versus MgO; (f) CaO/Al2O3 versus Mg#; (g) Ni versus MgO; (h) Co versus MgO.
Figure 9. Other oxides and trace elements versus MgO plots and CaO/Al2O3 versus Mg# from the Xingdi No.2 intrusive rocks. (a) SiO2 versus MgO; (b) FeO* versus MgO; (c) Al2O3 versus MgO; (d) CaO versus MgO; (e) Na2O versus MgO; (f) CaO/Al2O3 versus Mg#; (g) Ni versus MgO; (h) Co versus MgO.
Minerals 09 00662 g009
Figure 10. Tectonic model showing Tarim is adjacent to northwestern Australia during the early Neoproterozoic (a) and igneous activity (780–745 Ma) genetically related to the mantle plume during the breakup of the Rodinia supercontinent (b), the model is modified after [22,72]. A: Australia, EA: East Antarctica, GI: Great India, S: Siberia, SC: South China, T: Tarim.
Figure 10. Tectonic model showing Tarim is adjacent to northwestern Australia during the early Neoproterozoic (a) and igneous activity (780–745 Ma) genetically related to the mantle plume during the breakup of the Rodinia supercontinent (b), the model is modified after [22,72]. A: Australia, EA: East Antarctica, GI: Great India, S: Siberia, SC: South China, T: Tarim.
Minerals 09 00662 g010

Share and Cite

MDPI and ACS Style

Xia, Z.; Xia, M.; Ru, Y. The Role of Siliceous High-Magnesium Basalts during the Formation of a Neoproterozoic Mafic-Ultramafic Intrusion in the Tarim Craton (China). Minerals 2019, 9, 662. https://doi.org/10.3390/min9110662

AMA Style

Xia Z, Xia M, Ru Y. The Role of Siliceous High-Magnesium Basalts during the Formation of a Neoproterozoic Mafic-Ultramafic Intrusion in the Tarim Craton (China). Minerals. 2019; 9(11):662. https://doi.org/10.3390/min9110662

Chicago/Turabian Style

Xia, Zhaode, Mingzhe Xia, and Yanjiao Ru. 2019. "The Role of Siliceous High-Magnesium Basalts during the Formation of a Neoproterozoic Mafic-Ultramafic Intrusion in the Tarim Craton (China)" Minerals 9, no. 11: 662. https://doi.org/10.3390/min9110662

APA Style

Xia, Z., Xia, M., & Ru, Y. (2019). The Role of Siliceous High-Magnesium Basalts during the Formation of a Neoproterozoic Mafic-Ultramafic Intrusion in the Tarim Craton (China). Minerals, 9(11), 662. https://doi.org/10.3390/min9110662

Note that from the first issue of 2016, this journal uses article numbers instead of page numbers. See further details here.

Article Metrics

Back to TopTop