Cupric and Chloride Ions: Leaching of Chalcopyrite Concentrate with Low Chloride Concentration Media
Abstract
1. Introduction
- pH is preserved for longer at a desired valued in the presence of excess chloride ions.
- The porosity of the product layer and its surface area are increased by the addition of chloride, reducing the passivation tendency of chalcopyrite.
- The oxidation–reduction potential is lower in a chloride media than in a sulfate media.
2. Materials and Methods
2.1. Chalcopyrite Concentrate Sample
2.2. Modeling Software
2.3. Scanning Electron Microscope and Energy Dispersive Spectrometry
2.4. Quantitative Evaluation of Minerals by Scanning Electron Microscopy
2.5. Leach Tests
3. Results and Discussion
3.1. Chalcopyrite Concentrate Sample Analysis
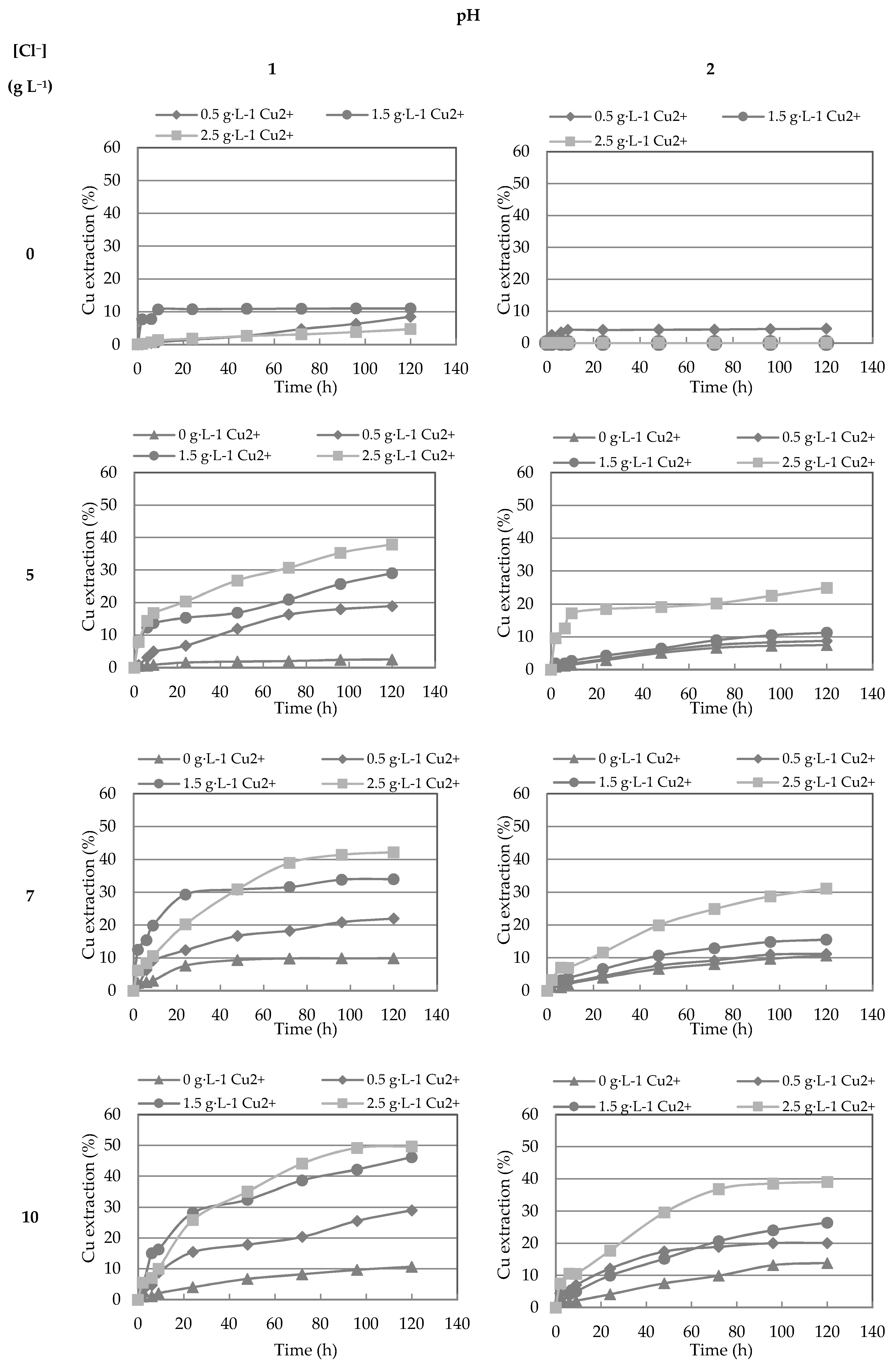
3.2. Effect of Cu2+ and Cl− Concentration on Copper Extraction at Different pH
3.3. Reaction Kinetics during Leaching
3.4. Predicted Distribution of Major Copper Species and Free Chloride in Leach Media
3.5. Characterization of the Leached Residue
4. Conclusions
- The addition of Cl− to the system improves copper extractions, mainly in presence of a high concentration of Cu2+. The initial copper concentrations in the leaching solution did not significantly affect the copper extraction when Cl− is not present in the medium.
- In all the performed tests, better copper extractions were obtained at pH 1 compared with those at pH 2.
- As Cu2+ and Cl− concentrations increase, higher values for the redox potential are obtained.
- The cupric chloride complex species concentrations were obtained using Excel with Solver, applying the formation constants (K1–K2–K3–K4) and using HSC software. The predominant species in the Cu2+/Cl− system in the concentration intervals studied were CuCl+ and Cu2+.
- According to the modeling of copper speciation, for each copper concentration with increasing Cl− concentration, the Cu2+ concentration decreased significantly while the chloro-complex species CuCl+ concentration increased.
- Using the information obtained by speciation, the predominant cupric chloride complexes species were Cu2+ and CuCl+. These species contribute to the chalcopyrite leaching mechanism according chemical reactions where the thermodynamic feasibility was indicated by negative Gibbs free energies.
Author Contributions
Funding
Acknowledgments
Conflicts of Interest
References
- Barriga, F.; Palencia, I.; Carranza, F. The passivation of chalcopyrite subjected to ferric sulfate leaching and its reactivation with metal sulfides. Hydrometallurgy 1987, 19, 159–167. [Google Scholar] [CrossRef]
- Córdoba, E.; Muñoz, J.; Blázquez, M.; González, F.; Ballester, A. Passivation of chalcopyrite during its chemical leaching with ferric ion at 68 °C. Miner. Eng. 2009, 22, 229–235. [Google Scholar] [CrossRef]
- Hackl, R.P.; Dreisinger, D.B.; Peters, E.; King, J.A. Passivation of chalcopyrite during oxidative leaching in sulfate media. Hydrometallurgy 1995, 39, 25–48. [Google Scholar] [CrossRef]
- Harmer, S.L.; Thomas, D.F.; Gerson, A.R. The evolution of surface layers formed during chalcopyrite leaching. Geochim. Cosmochim. Acta 2006, 70, 4392–4402. [Google Scholar] [CrossRef]
- Watling, H. Chalcopyrite hydrometallurgy at atmospheric pressure: 1. Review of acidic sulfate, sulfate–chloride and sulfate–nitrate process options. Hydrometallurgy 2013, 140, 163–180. [Google Scholar] [CrossRef]
- Romero, R.; Mazuelos, I.P.; Carranza, F. Copper recovery from chalcopyrite concentrates by the BRISA process. Hydrometallurgy 2003, 70, 205–215. [Google Scholar] [CrossRef]
- Barr, G.; Defreyne, D.J.; Moore, R. The CESL process–successful refinery of a low grade copper concentrate. In Proceedings of the ALTA Copper 2000, Adelaide, Australia, 2–3 October 2000. [Google Scholar]
- Collins, M.; Buban, F.d.; Xue, T. Copper processing in the Dynatec miniplant. In Proceedings of the ALTA 1998 Copper Sulphides Symposium, Melbourne, Australia, 19 October 1998. [Google Scholar]
- King, J.A.; Dreisinger, D.B. Autoclaving of copper concentrates. In Proceedings of the Copper 95 International Conference: Electrorefining and Hydrometallurgy of Copper, Santiago, Chile, 26–29 November 1995; pp. 511–533. [Google Scholar]
- King, A.J.; Dreisinger, D.B.; Knight, D.A.; King, A.J.; Dreisinger, D.B.; Knight, D.A. The total pressure oxidation of copper concentrates. In Proceedings of the CIMM District 6 Meeting, Vancouver, B.C., Canada, In Proceedings of the CIMM District 6 Meeting, Vancouver, BC, Canada, 1 March 1994. [Google Scholar]
- Corrans, I.J.; Angove, J.E. Activation of a Mineral Species. Australian Patent 663523, 29 April 1993. [Google Scholar]
- Hourn, M.; Halbe, D. The NENATECH process: Results on Frieda River copper gold concentrates. In Proceedings of the International Conference of Randol Copper Hydromet Roundtable’99, Phoenix, AZ, USA, 10–13 October 1999. [Google Scholar]
- Nakazawa, H.; Fujisawa, H.; Sato, H. Effect of activated carbon on the bioleaching of chalcopyrite concentrate. Int. J. Miner. Proc. 1998, 55, 87–94. [Google Scholar] [CrossRef]
- Barta, L.; Buban, J.S.; Collins, M. Pressure leaching of chalcopyrite concentrates by Dynatec. In Proceedings of the Copper 99 Conference, Phoenix, AZ, USA, 10–13 October 1999. [Google Scholar]
- Carranza, F.; Palencia, I.; Romero, R. Silver catalyzed IBES process: Application to a Spanish copper-zinc sulphide concentrate. Hydrometallurgy 1997, 44, 29–42. [Google Scholar] [CrossRef]
- Hernández, P.C.E.; Taboada, M.E.; Herreros, O.O.; Graber, T.A.; Ghorbani, Y. Leaching of Chalcopyrite in Acidified Nitrate Using Seawater-Based Media. Minerals 2018, 8, 238. [Google Scholar]
- Gok, O.; Anderson, C.G. Dissolution of low-grade chalcopyrite concentrate in acidified nitrite electrolyte. Hydrometallurgy 2013, 134, 40–46. [Google Scholar] [CrossRef]
- Sokić, D.M.; Marković, B.; Živković, D. Kinetics of chalcopyrite leaching by sodium nitrate in sulphuric acid. Hydrometallurgy 2009, 95, 273–279. [Google Scholar] [CrossRef]
- Sanchez, C.E.; Umetsu, Y.; Saito, F. Effect of iron powder on copper extraction by acid leaching of chalcopyrite concentrate. J. Chem. Eng. Jpn. 1996, 29, 720–722. [Google Scholar] [CrossRef][Green Version]
- Velásquez-Yévenes, L.; Nicol, M.; Miki, H. The dissolution of chalcopyrite in chloride solutions: Part 1. The effect of solution potential. Hydrometallurgy 2010, 103, 108–113. [Google Scholar] [CrossRef]
- Li, Y.; Kawashima, N.; Li, J.; Chandra, A.; Gerson, A. A review of the structure, and fundamental mechanisms and kinetics of the leaching of chalcopyrite. Adv. Colloid Interface Sci. 2013, 197, 1–32. [Google Scholar] [CrossRef] [PubMed]
- Watling, H. Chalcopyrite hydrometallurgy at atmospheric pressure: 2. Review of acidic chloride process options. Hydrometallurgy 2014, 146, 96–110. [Google Scholar] [CrossRef]
- Dutrizac, J. The leaching of sulphide minerals in chloride media. Hydrometallurgy 1992, 29, 1–45. [Google Scholar] [CrossRef]
- Hirato, T.H. Majima, and Y. Awakura. The leaching of chalcopyrite with cupric chloride. Metall. Mater. Trans. B 1987, 18, 31–39. [Google Scholar] [CrossRef]
- Lu, J.; Dreisinger, D. Copper chloride leaching from chalcopyrite and bornite concentrates containing high levels of impurities and minor elements. Hydrometallurgy 2013, 138, 40–47. [Google Scholar] [CrossRef]
- Lu, Y.Z.; Jeffrey, M.I.; Lawson, F. The effect of chloride ions on the dissolution of chalcopyrite in acidic solutions. Hydrometallurgy 2000, 56, 189–202. [Google Scholar] [CrossRef]
- Lu, Y.Z.; Jeffrey, M.I.; Lawson, F. An electrochemical study of the effect of chloride ions on the dissolution of chalcopyrite in acidic solutions. Hydrometallurgy 2000, 56, 145–155. [Google Scholar] [CrossRef]
- Parker, A.; Klauber, A.; Kougianos, H.W.; van Bronswijk, W. An X-ray photoelectron spectroscopy study of the mechanism of oxidative dissolution of chalcopyrite. Hydrometallurgy 2003, 71, 265–276. [Google Scholar] [CrossRef]
- Atwood, G.E.; Curtis, H.C. Hydrometallurgical Process for the Production of Copper. U.S. Patent 3785944, 15 January 1974. [Google Scholar]
- Aroca, F.; Backit, A.; Jacob, J. CuproChlor® a hydrometallurgical technology for mineral sulphides leaching. In Hydroprocess 2012, Proceedings of the 4th International Seminar on Process Hydrometallurgy, Santiago, Chile, 12–13 July 2012; Casas, S., Ciminelli, V., Montes-Atenas, G., Stubina, N., Eds.; The Institute of Materials, Minerals and Mining: Santiago, Chile, 2012; pp. 96–180. [Google Scholar]
- Moyes, J.; Houllis, F. Intec base metal processes—Releasing the potential of chloride metallurgy technical update and commercialization status. In Chloride Metallurgy; Peek, E., Van Weert, G., Eds.; Metallurgical Society of the Canadian Institute of Mining, Metallurgy and Petroleum: Montreal, QC, Canada, 2002; pp. 577–593. [Google Scholar]
- Dalton, R.; Diaz, R.P.; Zunkel, A. The Cuprex metal extraction process: Recovering copper from sulfide ores. JOM 1991, 43, 51–56. [Google Scholar] [CrossRef]
- Hyvärinen, O.; Hämäläinen, M. HydroCopper™—A new technology producing copper directly from concentrate. Hydrometallurgy 2005, 77, 61–65. [Google Scholar] [CrossRef]
- Córdoba, E.M.; Muñoz, M.L.; Blázquez, F.G. Leaching of chalcopyrite with ferric ion. Part II: Effect of redox potential. Hydrometallurgy 2008, 93, 88–96. [Google Scholar] [CrossRef]
- Córdoba, E.M.; Muñoz, M.L.; Blázquez, F.G.; Ballester, A. Leaching of chalcopyrite with ferric ion. Part III: Effect of redox potential on the silver-catalyzed process. Hydrometallurgy 2008, 93, 97–105. [Google Scholar] [CrossRef]
- Hiroyoshi, N.; Kitagawa, H.; Tsunekawa, M. Effect of solution composition on the optimum redox potential for chalcopyrite leaching in sulfuric acid solutions. Hydrometallurgy 2008, 91, 144–149. [Google Scholar] [CrossRef]
- Lundström, M.; Aromaa, J.; Forsén, O. Redox potential characteristics of cupric chloride solutions. Hydrometallurgy 2009, 95, 285–289. [Google Scholar] [CrossRef]
- Miki, H.; Nicol, M. The dissolution of chalcopyrite in chloride solutions. IV. The kinetics of the auto-oxidation of copper (I). Hydrometallurgy 2011, 105, 246–250. [Google Scholar] [CrossRef]
- Miki, H.; Nicol, M.; Velásquez-Yévenes, L. The kinetics of dissolution of synthetic covellite, chalcocite and digenite in dilute chloride solutions at ambient temperatures. Hydrometallurgy 2011, 105, 321–327. [Google Scholar] [CrossRef]
- Nicol, M.; Miki, H.; Velásquez-Yévenes, L. The dissolution of chalcopyrite in chloride solutions: Part 3. Mechanisms. Hydrometallurgy 2010, 103, 86–95. [Google Scholar] [CrossRef]
- Velásquez, L.; Miki, H.; Nicol, M. The dissolution of chalcopyrite in chloride solutions: Part 2, Effect of various parameters on the rate. Hydrometallurgy 2010, 103, 80–85. [Google Scholar] [CrossRef]
- Kekesi, T.; Isshiki, M. Anion Exchange for Ultra-High Purification of Transition Metals. Erzmetall 2003, 56, 59–67. [Google Scholar]
- Wilson, J.; Fisher, W. Cupric chloride leaching of chalcopyrite. JOM 1981, 33, 52–57. [Google Scholar] [CrossRef]
- Winand, R. Chloride hydrometallurgy. Hydrometallurgy 1991, 27, 285–316. [Google Scholar] [CrossRef]
- Muir, D. Basic principles of chloride hydrometallurgy. In Proceedings of the Chloride Metallurgy, 32nd Annual Hydrometallurgy Meeting, Montreal, Canada, 19–23 October 2002. [Google Scholar]
- Dutrizac, J.E. The kinetics of dissolution of chalcopyrite in ferric ion media. Metall. Trans. B 1978, 9, 431–439. [Google Scholar] [CrossRef]
- Berger, M.J.; Winand, R. Solubilities, densities and electrical conductivities of aqueous copper(I) and copper(II) chlorides in solutions containing other chlorides such as iron, zinc, sodium and hydrogen chlorides. Hydrometallurgy 1984, 12, 61–81. [Google Scholar] [CrossRef]
- Benner, B.; Roman, R. The dissolution of copper concentrates. Miner. Sci. Eng. 1973, 5, 3–24. [Google Scholar]
- Stephen, H.; Stephen, T. Solubilities of Inorganic and Organic Compounds; Binary systems: Pt. 1; Elsevier: Amsterdam, The Netherlands; Pergamon Press: Oxford, UK, 1963; Volume 1, pp. 14, 15, 184, 185. [Google Scholar]
- Christov, C. Thermodynamic study of the Na-Cu-Cl-SO4-H2O system at the temperature. J. Chem. Thermodynam. 2000, 32, 285–295. [Google Scholar] [CrossRef]
- Haung, H.-H. Estimation of Pitzer’s ion interaction parameters for electrolytes involved in complex formation using a chemical equilibrium model. J. Solut. Chem. 1989, 18, 1069–1084. [Google Scholar] [CrossRef]
- Lundström, M.; Aromaa, O.F.; Haavanlammi, L. Concentrated cupric chloride solutions: Possibilities offered in copper production. Acta Metallurgica. Slovaca. 2007, 13, 447–459. [Google Scholar]
- Velásquez, L. The Kinetics of Dissolution of Chalcopyrite in Chloride Media; Murdoch University: Perth, Australia, 2008; p. 291. [Google Scholar]
- HSC-Chemistry. Outokumpu Researcher Oy; HSC-Chemistry: Piori, Finland, 2006. [Google Scholar]
- Dutrizac, J. The dissolution of chalcopyrite in ferric sulfate and ferric chloride media. Metall. Trans. B 1981, 12, 371–378. [Google Scholar] [CrossRef]
- Miki, H.; Nicol, M. The kinetics of the copper-catalysed oxidation of iron (II) in chloride solutions. In Hydrometallurgy 2008 Sixth International Symposium; Society for Mining, Metallurgy, and Exploration: Englewood, CO, USA, 2008; pp. 971–979. [Google Scholar]
- Ciavatta, L.; Iuliano, M. Copper (I) chloride complexes in aqueous solution. Ann. Chim. 1998, 88, 71–89. [Google Scholar]
- Lobo, M. Handbook of Electrolyte Solutions (Part B): Sodium Chloride-Aqueous Solutions at 25 C; Elsevier: New York, NY, USA, 1989. [Google Scholar]
- Lundström, M.; Aromaa, O.; Forsén, O.H.; Barker, M.H. Cathodic reactions of Cu2+ in cupric chloride solution. Hydrometallurgy 2007, 85, 9–16. [Google Scholar] [CrossRef]
- Lundström, M.; Aromaa, O.; Forsén, O.H.; Barker, M.H. Leaching of chalcopyrite in cupric chloride solution. Hydrometallurgy 2005, 77, 89–95. [Google Scholar] [CrossRef]
- Torres, C.; Taboada, T.; Graber, O.; Herreros, Y.G.; Watling, H. The effect of seawater based media on copper dissolution from low-grade copper ore. Miner. Eng. 2015, 71, 139–145. [Google Scholar] [CrossRef]
- Herreros, O.; Quiroz, H.; Longueira, G.F.; Viñals, J. Leaching of djurleite in Cu2+/Cl− media. Hydrometallurgy 2006, 82, 32–39. [Google Scholar] [CrossRef]
- Torres, C.M.; Taboada, T.A.; Graber, O.O.; Herreros, H.R.; Watling, D.W.S.; Hernández, P.C. Possible role of copper species in enhanced chalcopyrite dissolution. Hydroprocess. 2014. Available online: http://gecamin.com/hydroprocess/. (accessed on 8 October 2019).








| Element | Cu | Fe | S | As | Si | Na | K | Al | Mg | Others |
|---|---|---|---|---|---|---|---|---|---|---|
| Amount (wt. %) | 24.5 | 25.9 | 28.6 | 0.13 | 5.19 | 0.04 | <0.05 | 0.32 | 0.95 | <14.4 |
| [Cl−]/(g L−1) | pH = 1 | pH = 2 | ||||
|---|---|---|---|---|---|---|
| [Cu2+]/(g L−1) | [Cu2+]/(g L−1) | |||||
| 0.5 | 1.5 | 2.5 | 0.5 | 1.5 | 2.5 | |
| 0 | 545–564 | 564–577 | 568–601 | 527–546 | 534–541 | 535–541 |
| 5 | 576–611 | 579–624 | 577–625 | 535–560 | 548–568 | 552–587 |
| 7 | 579–620 | 581–631 | 582–637 | 536–574 | 540–570 | 552–579 |
| 10 | 580–627 | 586–638 | 593–642 | 543–592 | 556–582 | 558–593 |
| Reaction | Reaction | ∆G60 °C (kJ mol−1) | K |
|---|---|---|---|
| (1) | Cu2+ + Cl– → CuCl+ | −3.150 | K1 = 3.118 |
| (2) | CuCl+ + Cl– → CuCl2(aq) | 7.153 | K2 = 0.076 |
| (3) | CuCl2(aq) + Cl– → CuCl3– | 11.196 | K3 = 0.018 |
| (4) | CuCl3– + Cl– → CuCl42– | 17.197 | K4 = 0.002 |
| Equation | ∆G (25°C) | ∆ G (60°C) | Reaction |
|---|---|---|---|
| CuFeS2 + 3Cu2+ + 4Cl− → 4CuCl + Fe2+ + 2S0 | −51.08 kJ mol−1 | −61.19 kJ mol−1 | (5) |
| CuFeS2 + 3CuCl+ + Cl− → 4CuCl + Fe2+ + 2S0 | −44.61 kJ mol−1 | −51.74 kJ mol−1 | (6) |
| 4CuCl + O2 + 4H+ → 4CuCl+ + 2H2O | −267.96 kJ mol−1 | −250.22 kJ mol−1 | (7) |
© 2019 by the authors. Licensee MDPI, Basel, Switzerland. This article is an open access article distributed under the terms and conditions of the Creative Commons Attribution (CC BY) license (http://creativecommons.org/licenses/by/4.0/).
Share and Cite
Torres, C.M.; Ghorbani, Y.; Hernández, P.C.; Justel, F.J.; Aravena, M.I.; Herreros, O.O. Cupric and Chloride Ions: Leaching of Chalcopyrite Concentrate with Low Chloride Concentration Media. Minerals 2019, 9, 639. https://doi.org/10.3390/min9100639
Torres CM, Ghorbani Y, Hernández PC, Justel FJ, Aravena MI, Herreros OO. Cupric and Chloride Ions: Leaching of Chalcopyrite Concentrate with Low Chloride Concentration Media. Minerals. 2019; 9(10):639. https://doi.org/10.3390/min9100639
Chicago/Turabian StyleTorres, Cynthia M., Yousef Ghorbani, Pía C. Hernández, Francisca J. Justel, Matías I. Aravena, and Osvaldo O. Herreros. 2019. "Cupric and Chloride Ions: Leaching of Chalcopyrite Concentrate with Low Chloride Concentration Media" Minerals 9, no. 10: 639. https://doi.org/10.3390/min9100639
APA StyleTorres, C. M., Ghorbani, Y., Hernández, P. C., Justel, F. J., Aravena, M. I., & Herreros, O. O. (2019). Cupric and Chloride Ions: Leaching of Chalcopyrite Concentrate with Low Chloride Concentration Media. Minerals, 9(10), 639. https://doi.org/10.3390/min9100639

