The Tocantinzinho Paleoproterozoic Porphyry-Style Gold Deposit, Tapajós Mineral Province (Brazil): Geology, Petrology and Fluid Inclusion Evidence for Ore-Forming Processes
Abstract
1. Introduction
2. Materials and Methods
3. Geological and Petrological Characterization of the Tocantinzinho Deposit
3.1. Geological Context of the Tapajos Province
3.2. Local Geology
4. Results
4.1. Petrography
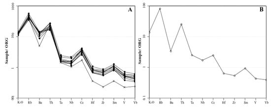
4.2. Lithogeochemistry
4.3. Hydrothermal Alteration and Mineralization
4.4. Mineralogy and Chemistry of Chlorite
4.5. Mineralogy of Gold and Associated Minerals
4.6. Fluid Inclusions
4.6.1. Petrography and Microthermometric Data
4.6.2. Interpretation of the Fluid Inclusion Data
5. Discussion
6. Conclusions
Author Contributions
Funding
Acknowledgments
Conflicts of Interest
References
- Coutinho, M.G.d.N. (Ed.) Província Mineral do Tapajós: Geologia, Metalogenia e Mapa Previsional Para Ouro em SIG; CPRM: Rio de Janeiro, Brazil, 2008; p. 420. [Google Scholar]
- Barros, M.A.S.; Barros, A.J.P.; Santos, J.O.S.; Rocha, M.L.B.P. Extension of the Tapajós Domains to the Alta Floresta Gold Province: Evidence from U-Pb SHRIMP ages of the Nhandu Intrusive Suite at 1962 and 1967 Ma. In Proceedings of the 14° Simpósio de Geologia da Amazônia, Belém, Pará, Brazil, 27 September–1 October 2015. v. CD-ROM. [Google Scholar]
- Tassinari, C.C.G.; Macambira, M.J.B. Geochronological provinces of the Amazonian Craton. Episodes 1999, 22, 174–186. [Google Scholar]
- Santos, J.O.S.; Hartmann, L.A.; Gaudette, H.E.; Groves, D.I.; Almeida, M.E.; McNaughton, N.J.; Fletcher, I.R. A new understanding of the provinces of the Amazon Craton based on integration of filed mapping and U-Pb and Sm-Nd geochronology. Gondwana Res. 2000, 3, 453–488. [Google Scholar] [CrossRef]
- Juliani, C.; Vasquez, M.L.; Klein, E.L.; Villas, R.N.N.; Misas, C.M.E.; Santiago, E.S.B.; Monteiro, L.V.S.; Carneiro, C.d.C.; Fernandes, C.M.D.; Usero, G. Metalogênese da Província Tapajós. In Metalogênese das Províncias Tectônicas Brasileiras; Da Silva, G., Da Rocha Neto, M.B., Jost, H., Kuyumjian, R.M., Eds.; CPRM: Belo Horizonte, Brazil, 2014; p. 589. [Google Scholar]
- Mello, R.B. A Preliminary Assessment of the Tocantinzinho Gold Project, Tapajós Gold District, Pará State, Brazil—Three Million tons/year Scenario; Brazauros Resources Corporation: Nova Lima, Brazil, 2007. [Google Scholar]
- Juras, S.; Gregersen, S.; Alexander, R. Technical Report for the Tocantinzinho Gold Project, Brazil; Eldorado Gold Corporation: Vancouver, BC, Canada, 2011. [Google Scholar]
- Villas, R.N.N.; Santiago, E.S.B.; Castilho, M.P. Contexto geológico, estudos isotópicos (C, O e Pb) e associação metálica do depósito aurífero Tocantinzinho, domínio Tapajós, Província Tapajós-Parima. Rev. do Instituto de Geociências 2013, 13, 119–138. [Google Scholar] [CrossRef]
- Dreher, A.M.; Vlach, S.R.F.; Martini, S.L. Adularia associated with epithermal gold veins in the Tapajós Mineral Province, Pará State, northern Brazil. Rev. Bras. Geocienc. 1998, 28, 397–404. [Google Scholar] [CrossRef]
- Faraco, M.T.L.; Carvalho, J.M.d.A.; Klein, E.L. Carta Metalogenética da Província Aurífera do Tapajós. In Contribuições à Geologia da Amazônia; Costa, M.L., Angélica, R.S., Eds.; SBG-NO: Belém, Brazil, 1997; pp. 423–437. [Google Scholar]
- Klein, E.L.; Vasquez, M.L.; Rosa Costa, L.T.; Carvalho, J.M.A. Geology of Paleoproterozoic gneiss- and granitoid-hosted gold mineralization in southern Tapajós gold province, Amazonian Craton, Brazil. Int. Geol. Rev. 2002, 44, 544–558. [Google Scholar] [CrossRef]
- Jacobi, P. The discovery of epithermal Au-Cu-Mo Proterozoic deposits in the Tapajós Province, Brazil. Rev. Bras. Geocienc. 1999, 29, 277–279. [Google Scholar] [CrossRef]
- Nunes, C.M.D. Caracterização de um Sistema Epitermal High-Sulfidation Paleoproterozóico na Província Aurífera do Tapajós, Pará. Dissertação de Mestrado, Universidade de São Paulo, São Paulo, Brazil, 2001. [Google Scholar]
- Lamarão, C.N. Geoquímica, Petrologia e Geocronologia das Associações Magmáticas da Região de Vila Riozinho, Província Aurífera do Tapajós, Sudeste do Estado do Pará. Ph.D. Thesis, Universidade Federal do Pará, Belém, Pará, Brazil, 2001. [Google Scholar]
- Juliani, C.; Corrêa Silva, R.H.; Monteiro, L.V.S.; Bettencourt, J.S.; Nunes, C.M.D. The Batalha Au-Granite system—Tapajós Province, Amazonian Craton, Brazil: Hydrothermal alteration and regional implication. Precambrian Res. 2002, 119, 225–256. [Google Scholar] [CrossRef]
- Juliani, C.; Rye, R.O.; Nunes, C.M.D.; Silva, R.H.C.; Monteiro, L.V.S.; Neumann, R.; Alcover Neto, A.; Bettencourt, J.S.; Snee, L.W. Paleoproterozoic high-sulfidation mineralization in the Tapajós Gold Province, Amazonian craton, Brazil: Geology, mineralogy, alunite argon age and stable isotopes constraints. Chem. Geol. 2005, 215, 95–125. [Google Scholar] [CrossRef]
- Borges, R.M.K.; Dall’ Agnol, R.; Lamarão, C.N.; Figueiredo, M.A.B.M.; Leite, A.A.d.S.; Barros, C.E.d.M.; Costi, H.T. Petrografia, química mineral e processos hidrotermais associados ao depósito de ouro São Jorge, Província Aurífera do Tapajós, Cráton Amazônico. Revista Brasileira de Geociências 2009, 39, 375–393. [Google Scholar] [CrossRef]
- Veloso, A.S.R.; Santos, M.D. Geologia, petrografia e geocronologia das rochas do depósito aurífero Ouro Roxo, Província Tapajós, Jacareacanga (PA), Brasil. Braz. J. Geol. 2013, 43, 22–36. [Google Scholar] [CrossRef]
- Assunção, R.F.S.; Klein, E.L. The Moreira Gomes deposit of the Cuiú-Cuiú goldfield: Fluid inclusions and stable isotope constraints and implications for the genesis of granite-hosted gold mineralization in the Tapajós Gold Province, Brazil. J. South Am. Earth Sci. 2014, 49, 85–105. [Google Scholar] [CrossRef]
- Moura, M.A.; Botelho, N.F. Granite-Related Paleoproterozoic, Serrinha Gold Deposit, Southern Amazonia, Brazil: Hydrothermal Alteration, Fluid Inclusion and Stable Isotope Constraints on Genesis and Evolution. Econ. Geol. 2006, 101, 585–605. [Google Scholar] [CrossRef]
- Santiago, E.S.B. Rochas Hospedeiras, Alteração Hidrotermal e Avaliação do Balanço Geoquímico de Massa do Depósito Aurífero Tocantinzinho, Província do Tapajós-PA. Master’s Thesis, Instituto de Geociências, Universidade Federal do Pará, Belém, Pará, Brazil, 2012. [Google Scholar]
- Santiago, E.S.B.; Villas, R.N.N.; Ocampo, R.C. The Tocantinzinho gold deposit, Tapajós province, state of Pará: Host granite, hydrothermal alteration and mineral chemistry. Braz. J. Geol. 2013, 43, 185–208. [Google Scholar] [CrossRef]
- Queiroz, J.D.S.; Villas, R.N. Estudo dos fluidos hidrotermais relacionados ao depósito Tocantinzinho, Província Aurífera do Tapajós (PA), com base em inclusões fluidas. In Contribuições à Geologia da Amazônia, 1st ed.; Sociedade Brasileia de Geologia—Núcleo Norte: Belém, Pará, Brazil, 2015; Volume 9, pp. 93–117. [Google Scholar]
- Borgo, A.; Biondi, J.C.; Chauvet, A.; Ocampo, R. Depósito de ouro Tocantinzinho (Pará): análise preliminar do controle das alterações hidrotermais e da deformação sobre a mineralização. In Proceedings of the Anais do 47° Congresso Brasileiro de Geologia, Salvador, Bahia, Brazil, 21–26 September 2014. [Google Scholar]
- Cathelineau, M. Cation site occupancy in chlorites and illites as a function of temperature. Clay Miner. 1998, 23, 471–485. [Google Scholar] [CrossRef]
- Bodnar, R.J. Introduction to fluid inclusions. In Fluid inclusions: Analysis and interpretation; Samson, I., Anderson, A., Marshall, D., Eds.; Mineralogical Association of Canada: Quebec, QC, Canada, 2003; Volume 32, pp. 1–8. [Google Scholar]
- Bodnar, R.J. Introduction to aqueous-electrolyte fluid inclusions. In Fluid Inclusions: Analysis and Interpretation; Samson, I., Anderson, A., Marshall, D., Eds.; Short Course Series; Mineralogical Association of Canada: Quebec, QC, Canada, 2003; Volume 32, pp. 81–100. [Google Scholar]
- Santos, J.O.S.; Groves, D.I.; Hartmann, L.A.; Moura, M.A.; McNaughton, N.J. Gold deposits of the Tapajós and Alta Floresta Domains, Tapajós-Parima orogenic belt. Amazon craton, Brazil. Miner. Depos. 2001, 36, 453–488. [Google Scholar] [CrossRef]
- Tassinari, C.C.G.; Macambira, M.J.B. A evolução tectônica do Cráton Amazônico. In Geologia do Continente Sulamericano: Evolução da obra de Fernando Flávio Marques de Almeida; Neto, V.M., Barorelly, A., Carneiro, C., Brito-Neves, B., Eds.; Ed. Beca: São Paulo, Brazil, 2004; pp. 471–485. [Google Scholar]
- Vasquez, M.L.; Rosa-Costa, L.T.; Silva, C.M.G.; Klein, E.L. Compartimentação tectônica. In Geologia e Recursos Minerais do Estado do Pará: Sistema de Informações Geográficas e SIG: texto explicativo dos mapas Geológico e Tectônico e de Recursos Minerais do Estado do Pará. Escala 1:1.000.000; Vasquez, M.L., Rosa-Costa, L.T., Eds.; CPRM—Serviço Geológico do Brasil: Belém, Brazil, 2008. [Google Scholar]
- Santos, J.O.S.; Van Breemen, O.T.; Groves, D.I.; Hartmann, L.A.; Almeida, M.E.; McNaughton, N.J.; Fletcher, I.R. Timing an evolution of multiple Paleoproterozoic magmatic arcs in the Tapajós Domain, Amazon Craton: Constraints from SHRIMP and TIMS zircon, baddeleyite and titanite U-Pb geochronology. Precambrian Res. 2004, 131, 73–109. [Google Scholar] [CrossRef]
- Ricci, P.S.F.; Vasques, M.L.; Santos, A.; Klein, E.L.; Jorge João, X.S.; Martins, R.C. Suíte Intrusiva Creporizão- Província do Tapajós: Proposta e critérios de definição. SBG-NO Simp. Geol. Amaz. 1999, 6, 519–522. [Google Scholar]
- Lamarão, C.N.; Dall’Agnol, R.; Pimentel, M.M. Nd isotopic composition of Paleoproterozoic volcanic rocks of Vila Riozinho: Implications for the crustal evolution of the Tapajós gold province, Amazon craton. J. South Am. Earth Sci. 2005, 18, 277–292. [Google Scholar] [CrossRef]
- Lamarão, C.N.; Dall’agnol, R.; Lafon, J.M.; Lima, E.F. Geology, geochemistry and Pb–Pb zircon geochronology of the Paleoproterozoic magmatism of Vila Riozinho, Tapajós Gold Province Amazonian Craton, Brazil. Precambrian Res. 2002, 119, 189–223. [Google Scholar] [CrossRef]
- Juliani, C.; Fernandes, C.M.D.; Carneiro, C.C.; Misas, C.M.E.; Lagler, B.; Aguja-Bocanegra, M.A.; Tokashiki, C.C. Controle tectônico e eventos magmáticos associados às mineralizações epitermais, do tipo pórfiro e IOCG Paleoproterozóicas na parte sul do Cráton Amazônico e seu potencial de prospectividade. In Proceedings of the Anais do 3° Simpósio Brasileiro de Metalogenia, Gramado, Rio Grande do Sul, Brazil, 2–5 June 2003. [Google Scholar]
- Teixeira, N.A.; Matos, F.M.V.; Ganade, C.E.; Klein, E.L.; Dreher, A.M.; Tavares, F.M.; Leandre, D.C.; Porto, F. Carajás and Tapajós Mineral Province: Cratonic and pericratonic Lithosphere keel metallogeny. In Proceedings of the Anais do 14° Simpósio de Geologia da Amazônia, Belém, Pará, Brazil, 27 September–1 October 2015. [Google Scholar]
- Borgo, A.; Biond, J.C.; Chauvet, A.; Bruguier, O.; Monié, P.; Baker, T.; Ocampo, R.; Friendman, R.; Mortensen, J. Geochonological, geochemical and petrographic constrain on the Paleoproterozoic Tocantinzinho gold deposit (Tapajós Gold Province, Amazonian Craton-Brazil): Implications for timing, regional evolution and deformation style of its host rocks. J. South Am. Earth Sci. 2017, 75, 92–115. [Google Scholar] [CrossRef]
- Castro, A.A.; Villas, R.N.N.; Pereira, E.L. Geologia e Alteração Hidrotermal do Depósito Aurífero Tocantinzinho, Província Aurífera do Tapajós. In Proceedings of the Anais do 45º Congresso Brasileiro de Geologia, Belém, Pará, Brazil, 26 September–1 October 2010. [Google Scholar]
- Castro, A.A. Gênese do Depósito de ouro Tocantinzinho, Província Mineral Tapajós (Pará): Evidências a partir de dados de Geologia, Petrologia e Inclusões Fluidas. Dissertação de mestrado, Instituto de Geociências da Universidade de Brasília, Brasília, Distrito Federal, Brazil, 15 October 2015. [Google Scholar]
- Streckeisen, A. A classification and nomenclature of volcanic rocks, lamprophyres and melilitic rocks. Recommendations and suggestion of the IUGS on the Systematic of igneous Rocks. Geol. Boulder 1979, 7, 331–335. [Google Scholar] [CrossRef]
- Shand, S.J. Eruptive rocks: Their Genesis, Composition, Classification, and Their Relation to Ore-Deposits with a Chapter on Meteorite; John Wiley & Sons: New York, NY, USA, 1943. [Google Scholar]
- Pearce, J.A.; Harris, N.B.W.; Tindle, A.G. Trace Element Discrimination Diagrams for the Tectonic Interpretation of Granitic Rocks; Department of Earth Sciences, The Open University: Milton Keynes, Bucks, UK, 1984. [Google Scholar]
- Nakamura, N. Determination of REE, Ba, Fe, Mg, Na, and K in carbonaceous and ordinary chondrites. Geochim. Cosmochim. Acta 1974, 38, 757–775. [Google Scholar] [CrossRef]
- Le Bas, M.J.; Keller, J.; Tao, K.; Wall, F.; Williams, C.T.; Peishan, Z. Carbonatite dykes at Bayan Obo, Inner Mongolia, China. Mineral. Petrol. 1992, 46, 195–228. [Google Scholar] [CrossRef]
- Pearce, J.A.; Cann, J.R. Tectonic setting of basic volcanic rocks determined using trace element analyses. Earth Planet. Sci. Lett. 1973, 19, 290–300. [Google Scholar] [CrossRef]
- Sun, S.S.; McDonough, W.F. Chemical and isotopic systematics of oceanic basalts; implications for mantle composition and processes. In Magmatism in the Ocean Basins; Saunders, A.D., Norry, M.J., Eds.; Geological Society of London: London, UK, 1989; Volume 42, pp. 313–345. [Google Scholar]
- Carlson, C.A. Spatial distribution of ore deposits. Journal Article. Geol. Soc. Am. 1991, 19, 111–114. [Google Scholar]
- Queiroz, J.D.S. Estudos dos fluidos hidrotermais relacionados ao Depósito Tocantinzinho, Província Mineral Tapajós, com base em inclusões fluidas. In Trabalho de Conclusão de Curso (TCC); Instituto de Geociências, Universidade Federal do Pará: Belém, Pará, Brazil, 2013. [Google Scholar]
- de Caritat, P.; Hutcheon, I.; Walshe, J.L. Chlorite geotermometry: A review. Clay Clay Miner. 1993, 41, 219–239. [Google Scholar] [CrossRef]
- Shepherd, T.J.; Ranking, A.H.; Alderton, D.H.M. A Practical Guide to Fluid Inclusion Studies; Blackie & Son Ltd.: Glasgow, UK, 1985; 239p. [Google Scholar]
- Goldstein, R.H.; Reynolds, T.J. Systematics of fluids inclusions in diagenetic minerals. Soc. Sediment. Geol. Short Course 1994, 31, 199. [Google Scholar]
- Wyborn, L.A.I.; Wyborn, D.; Warren, R.G.; Drummond, B.J. Proterozoic granite types in Australia: Implications for lower crust composition, structure and evolution. Trans. R. Soc. Edinburgh Earth Sci. 1992, 83, 201–209. [Google Scholar] [CrossRef]
- Hedenquist, J.W.; Lowenstern, J.B. The role of magmas in the formation of hydrothermal ore deposits. Nature 1994, 370, 519–527. [Google Scholar] [CrossRef]
- Gammons, C.H.; Williams-Jones, A.E. Chemical mobility of gold in the epithermal environment. Econ. Geol. 1997, 92, 45–59. [Google Scholar] [CrossRef]
- Williams-Jones, A.E.; Samson, I.M.; Linnen, R.L. Fluid evolution and its role in the genesis of the granite-related Madeleine copper deposit, Gaspé, Quebec. Econ. Geol. 1989, 84, 1515–1524. [Google Scholar] [CrossRef]
- Pokrovski, G.S.; Kokha, M.A.; Guillaume, D.; Borisova, A.Y.; Gisquet, P.; Hazemann, J.-L.; Lahera, E.; Del Net, W.; Proux, O.; Testemale, D.; et al. Sulfur radical species form gold deposits on Earth. Proc. Natl. Acad. Sci. USA 2015, 112, 13484–13489. [Google Scholar] [CrossRef]
- Thigub, A.L.; Tagirov, B.R.; Kvashnima, K.O.; Lafuerza, S.; Filiomonova, O.N.; Nickolsky, M.S. Experimental Determination of Gold Speciation in Sulfide-Rich Hydrothermal Fluids Under a Wide Range of Redox Conditions. Chem. Geol. 2017, 471, 52–64. [Google Scholar]
- Thompson, J.F.H.; Sillitoe, R.H.; Baker, T.J.R.; Mortensen, J.K. Intrusion-related gold deposits associated with tungsten-tin provinces. Miner. Depos. 1999, 34, 323–334. [Google Scholar] [CrossRef]
- Hart, C.J.K. Reduced intrusion-related gold systems. In Mineral deposits of Canada: A Synthesis of Major Deposit Types, District Metallogeny, the Evolution of Geological Provinces, and Exploration Methods; Goodfellow, W.D., Ed.; Geological Association of Canada, Mineral Deposits Division: St. John’s, NL, Canada, 2007; Volume 5, pp. 95–112. [Google Scholar]
- Sinclair, W.D. Porphyry deposits. In Mineral Deposits of Canada: A Synthesis of Major Deposit-Types, District Metallogeny, the Evolution of Geological Provinces, and Exploration Methods; Goodfellow, W.D., Ed.; Geological Association of Canada, Mineral Deposits Division: St. John’s, NL, Canada, 2007; Volume 5, pp. 223–243. [Google Scholar]
- Pirajno, F. Hydrothermal Processes and Mineral Systems; Springer: Perth, WA, Australia, 2009; p. 1273. [Google Scholar]
- Echeverri-Misas, C.M.; Juliani, C.; Aguja-Bocanegra, M.A.; Monteiro, L.V.S.; Tokashiki, C.C. Mineralizações High- e Low-Sulfidation e do tipo pórfiro na porção sul da Província Mineral do Tapajós. In Proceedings of the 14° Simpósio de Geologia da Amazônia, Marabá, Pará, Brazil, 27 September–1 October 2015. [Google Scholar]
- Aguja-Bocanegra, M.A.; Juliani, C.; Tokashiki, C.C.; Echeverri-Misas, C.M.; Monteiro, L.V.S.; Lagler, B. Sistema Epitermal low-sulfidaton e do tipo pórfiro paleoproterozóicos na Província Mineral do Tapajós (PMT). In Proceedings of the 14° Simpósio de Geologia da Amazônia, Marabá, Pará, Brazil, 27 September–1 October 2015. [Google Scholar]
- Bettencourt, J.S.; Juliani, C.; Xavier, R.P.; Monteiro, L.V.S.; Bastos Neto, A.C.; Klein, E.L.; Assis, R.R.; Leite, W.B.; Moreto, C.P.N.; Dias, F.C.M.; et al. Metallogenetic systems associated with granitoid magmatism in the Amazonian Craton: an overview of the present level of understanding and exploration significance. J. South Am. Earth Sci. 2016, 68, 22–49. [Google Scholar] [CrossRef]
- Silva, M.d.G.d.; Abram, M.B. Metalogenia da Província Aurífera Juruena—Teles Pires, Mato Grosso; CDD 553.1; CPRM (Convênio CPRM/SICME): Goiânia, Brazil, 2008; ISBN 978-85-7499-060-6. [Google Scholar]
- Sillitoe, R.H. Gold-rich porphyry deposits: Descriptive and genetic models and their role in exploration and Discovery. Rev. Econ. Geol. 2000, 13, 315–345. [Google Scholar]
- Sillitoe, R.H. Porphyry copper systems. Econ. Geol. 2010, 105, 3–41. [Google Scholar] [CrossRef]





















| Lithology | Granite | Rhyolite | Basalt | Microclinized Granite | Phyllic Altered Granite | |||||||||||||
|---|---|---|---|---|---|---|---|---|---|---|---|---|---|---|---|---|---|---|
| Samples | 1_24 | 37_24 | 10_48B | 4_48A | 4_48B | 4_57 | 23_24 | 25_24 | 27_24 | 11_24 | 2_57 | 10_48 A | 9_48 | 54_24 | 18_24 | 19_48 | 7_27 | 55_24 |
| (% weight) | ||||||||||||||||||
| SiO2 | 72.09 | 72.89 | 72.5 | 70.97 | 71.17 | 72.38 | 72.05 | 71.8 | 71.62 | 73.47 | 42.43 | 74.85 | 75.49 | 59.84 | 71.81 | 55.66 | 77.51 | 64.02 |
| Al2O3 | 14.04 | 13.24 | 11.33 | 13.67 | 14.02 | 12.97 | 14 | 13.42 | 14.23 | 10.98 | 11.66 | 12.32 | 11.62 | 15.57 | 13.3 | 15.69 | 11.91 | 16.06 |
| TiO2 | 0.27 | 0.26 | 0.26 | 0.48 | 0.47 | 0.23 | 0.33 | 0.32 | 0.32 | 0.11 | 0.51 | 0.27 | 0.25 | 0.58 | 0.35 | 1.09 | 0.22 | 0.45 |
| Fe2O3 | 1.73 | 2.3 | 3.47 | 3.43 | 2.56 | 2.44 | 1.96 | 1.81 | 2.4 | 1.99 | 9.19 | 1.66 | 1.42 | 4.81 | 1.75 | 6.15 | 0.79 | 3.59 |
| MnO | 0.04 | 0.03 | 0.05 | 0.04 | 0.03 | 0.03 | 0.03 | 0.06 | 0.02 | 0.17 | 0.5 | 0.02 | 0.04 | 0.12 | 0.05 | 0.16 | 0.03 | 0.07 |
| MgO | 0.31 | 0.53 | 0.36 | 1.34 | 1.25 | 0.44 | 0.35 | 0.4 | 0.54 | 0.48 | 7.46 | 0.22 | 0.27 | 1.62 | 0.34 | 5.53 | 0.48 | 1.23 |
| CaO | 0.92 | 0.49 | 1.51 | 0.54 | 0.52 | 0.8 | 0.64 | 1.46 | 0.39 | 1.95 | 12.06 | 0.77 | 1.15 | 4.38 | 3.55 | 3.47 | 0.16 | 2.93 |
| Na2O | 3.87 | 3.46 | 2.92 | 2.72 | 2.96 | 3.1 | 3.43 | 3.23 | 2.57 | 2.47 | 0.02 | 3.27 | 3.05 | 4.95 | 3.55 | 5.47 | 3.62 | 4.57 |
| K2O | 5.33 | 5.01 | 4.49 | 4.65 | 4.88 | 5.3 | 5.4 | 5.17 | 5.89 | 5.35 | 1.72 | 4.98 | 4.93 | 3.09 | 5.15 | 0.98 | 4.38 | 3.96 |
| P2O5 | 0.03 | 0.08 | 0.05 | 0.12 | 0.13 | 0.06 | 0.1 | 0.08 | 0.06 | 0.05 | 0.22 | 0.07 | 0.05 | 0.25 | 0.1 | 0.34 | 0.05 | 0.19 |
| LOI | 1.2 | 1.4 | 2.8 | 1.7 | 1.7 | 2 | 1.5 | 2 | 1.7 | 2.8 | 13.8 | 1.4 | 1.5 | 4.4 | 2 | 5.2 | 0.7 | 2.6 |
| Total | 99.83 | 99.69 | 99.74 | 99.66 | 99.69 | 99.75 | 99.79 | 99.75 | 99.74 | 99.82 | 99.57 | 99.83 | 99.77 | 99.61 | 101.95 | 99.74 | 99.85 | 99.67 |
| (ppm) | ||||||||||||||||||
| Ba | 600 | 741 | 421 | 622 | 637 | 565 | 678 | 638 | 712 | 248 | 216 | 502 | 476 | 1106 | 703 | 144 | 337 | 1298 |
| Sr | 111.8 | 108.5 | 94.1 | 117.5 | 123.4 | 92.1 | 131.9 | 158.4 | 98.3 | 90.9 | 602.2 | 93.9 | 91.4 | 638 | 141 | 130.1 | 66.1 | 714.5 |
| Rb | 199.9 | 160 | 139.9 | 1667.4 | 171.2 | 169.9 | 179.1 | 181.1 | 227.9 | 156.7 | 142 | 147.7 | 150.5 | 124 | 166.9 | 20.9 | 131.4 | 122.8 |
| Zr | 226.4 | 209.4 | 189.2 | 230.6 | 289.4 | 144.5 | 268.5 | 232.4 | 233.8 | 78.2 | 94.9 | 181.4 | 185.6 | 156.4 | 256.4 | 226.7 | 143.1 | 178.4 |
| Y | 36.2 | 26.6 | 31.3 | 42.2 | 49.3 | 29 | 38.3 | 40.9 | 36.6 | 15.7 | 16.8 | 35.9 | 34.1 | 13.7 | 34.4 | 18.3 | 14.4 | 13.6 |
| Nb | 14.3 | 12.7 | 13.5 | 19.6 | 21.4 | 11.3 | 15.3 | 15.2 | 15.2 | 10.4 | 6.4 | 13.2 | 12.5 | 8.5 | 15.8 | 21.2 | 9.3 | 11.9 |
| Ga | 15.7 | 14.4 | 11.9 | 18.9 | 17.7 | 14.7 | 15.7 | 15.3 | 18.1 | 12 | 24.1 | 12.6 | 12.3 | 17 | 15 | 20.1 | 12.7 | 18.7 |
| Th | 21.8 | 13.6 | 16.7 | 14.8 | 22.8 | 10.5 | 13.2 | 16.9 | 14.8 | 20.8 | 3.4 | 18.3 | 18.2 | 6.5 | 17.7 | 8.1 | 20.9 | 9.8 |
| W | 178.4 | 123.2 | 202.6 | 108.7 | 94.1 | 251.7 | 126.2 | 123.9 | 68.2 | 231.4 | 28 | 130 | 220.3 | 67.2 | 86.6 | 90 | 99.4 | 105.2 |
| Cs | 1.8 | 1.7 | 1.5 | 2.4 | 2.6 | 2.1 | 2.8 | 2.3 | 3.2 | 1.4 | 3.8 | 1.7 | 1.6 | 2 | 2.4 | 0.2 | 1.1 | 1.9 |
| Hf | 6.4 | 5.8 | 6.1 | 7.5 | 9.6 | 4.7 | 8.1 | 7 | 7.1 | 3.2 | 2.4 | 5.9 | 5.6 | 4.5 | 7.5 | 5.8 | 5.3 | 5 |
| Ta | 1.2 | 1.1 | 1.1 | 1.5 | 1.7 | 1.1 | 1.2 | 1.1 | 1.1 | 1 | 0.3 | 1 | 1 | 0.6 | 1.3 | 0.7 | 0.6 | 0.9 |
| U | 3 | 2.9 | 3.2 | 4.2 | 6.6 | 3.1 | 2.7 | 4.3 | 3.3 | 4.9 | 1.2 | 3.7 | 4.5 | 2.2 | 3.4 | 1.9 | 2.5 | 3.8 |
| V | 9 | 12 | 10 | 41 | 34 | 21 | 14 | 14 | 18 | <8 | 113 | 10 | 11 | 74 | 12 | 66 | 12 | 43 |
| Ag | <0.1 | 3.4 | 1.6 | 1.1 | 0.3 | 1.2 | 0.4 | 0.1 | 0.3 | 1.1 | <0.1 | 0.4 | <0.1 | <0.1 | 8.5 | 0.2 | <0.1 | 0.2 |
| As | 0.8 | 10.3 | 3.8 | 6 | 3.8 | 8.9 | 13.4 | 7.8 | 13.2 | 3.2 | 2 | 6 | 2.7 | 1 | 5.6 | 0.7 | <0.5 | 0.7 |
| Bi | <0.1 | 2.5 | 0.4 | 0.8 | 0.4 | 1.3 | 0.3 | 0.3 | 0.2 | 0.4 | 0.1 | 0.8 | 0.7 | <0.1 | 1.1 | 22.7 | 1.3 | 0.3 |
| Cd | <0.1 | 0.6 | <0.1 | <0.1 | <0.1 | <0.1 | <0.1 | <0.1 | <0.1 | <0.1 | 0.2 | <0.1 | <0.1 | <0.1 | 11.3 | <0.1 | <0.1 | <0.1 |
| Cu | 5 | 367 | 87.3 | 22.9 | 12.5 | 18.4 | 6.7 | 11.2 | 11.2 | 10.6 | 1.7 | 57.1 | 25.1 | 6.1 | 812.5 | 30.4 | 1.9 | 23.8 |
| Hg | 0.01 | 0.05 | 0.06 | 0.03 | 0.06 | 0.09 | 0.04 | 0.04 | 0.03 | 0.1 | <0.01 | 0.03 | 0.08 | 0.01 | 0.03 | 0.01 | 0.04 | <0.01 |
| Mo | 1.1 | 3 | 0.9 | 3 | 0.9 | 1.3 | 0.8 | 1.2 | 0.3 | 3.6 | 0.7 | 3 | 1.7 | 3.6 | 2.2 | 0.2 | 0.1 | 0.7 |
| Ni | 6.8 | 1.6 | 1.4 | 29.3 | 13.6 | 6.9 | 1 | 3.5 | 8.5 | 2.9 | 75.1 | 1.4 | 2 | 5.9 | 8.5 | 17.8 | 0.6 | 6.9 |
| Pb | 8.3 | 142.6 | 11.6 | 95.6 | 274.7 | 67.7 | 22.7 | 35 | 20.8 | 43.4 | 13.3 | 16 | 6.5 | 6.8 | 450.6 | 3.7 | 1.5 | 30.9 |
| Sb | <0.1 | <0.1 | <0.1 | <0.1 | <0.1 | <0.1 | <0.1 | <0.1 | <0.1 | <0.1 | <0.1 | <0.1 | <0.1 | <0.1 | <0.1 | <0.1 | <0.1 | <0.1 |
| Se | <0.5 | 0.8 | 0.5 | <0.5 | <0.5 | 0.6 | 0.9 | <0.5 | 0.9 | <0.5 | <0.5 | <0.5 | <0.5 | <0.5 | 0.5 | <0.5 | <0.5 | <0.5 |
| Tl | <0.1 | <0.1 | 0.1 | <0.1 | <0.1 | <0.1 | <0.1 | <0.1 | 0.1 | <0.1 | <0.1 | <0.1 | <0.1 | <0.1 | <0.1 | <0.1 | <0.1 | <0.1 |
| Zn | 25 | 102 | 24 | 15 | 24 | 21 | 24 | 26 | 22 | 21 | 155 | 15 | 18 | 75 | 844 | 196 | 22 | 54 |
| La | 52.8 | 45.6 | 42.3 | 53.8 | 65.1 | 42.3 | 56 | 57.4 | 60.5 | 30.7 | 15.8 | 39.4 | 40.8 | 32.2 | 52.9 | 45 | 16 | 36.3 |
| Ce | 120.3 | 107.4 | 97.5 | 121.1 | 145.8 | 93 | 131.8 | 133.1 | 136.8 | 60.2 | 38.8 | 93.5 | 95 | 72 | 121.9 | 100.6 | 54 | 77.4 |
| Pr | 12.5 | 11.88 | 11.12 | 14.44 | 17.4 | 11.27 | 14.75 | 14.72 | 14.79 | 6.13 | 4.33 | 10.86 | 11.11 | 7.71 | 13.75 | 11.62 | 3.95 | 7.9 |
| Nd | 45.7 | 43.7 | 40.5 | 55.1 | 66.1 | 41.5 | 54.4 | 54.2 | 56.1 | 6.13 | 17.7 | 41.1 | 40.3 | 28.8 | 52.5 | 45.2 | 14.2 | 28.1 |
| Sm | 8.3 | 7.81 | 7.21 | 9.8 | 11.18 | 7.15 | 9.88 | 25_24 | 9.81 | 3.21 | 3.66 | 7.56 | 7.28 | 4.85 | 8.78 | 7.55 | 2.83 | 4.53 |
| Eu | 0.98 | 0.89 | 0.81 | 1.14 | 1.26 | 0.81 | 1.09 | 71.8 | 1.14 | 0.49 | 1.13 | 0.79 | 0.76 | 1.19 | 1.08 | 1.05 | 0.49 | 0.99 |
| Gd | 6.82 | 6.21 | 6.08 | 7.75 | 8.96 | 5.46 | 8.11 | 13.42 | 7.85 | 2.79 | 3.41 | 6.53 | 6.11 | 3.73 | 7.41 | 5.01 | 2.42 | 3.46 |
| Tb | 1.15 | 0.95 | 1.02 | 1.28 | 1.46 | 0.91 | 1.28 | 0.32 | 1.25 | 0.44 | 0.56 | 1.14 | 1 | 0.6 | 1.14 | 0.61 | 0.38 | 0.45 |
| Dy | 6.81 | 4.9 | 5.65 | 6.88 | 7.69 | 4.77 | 7.16 | 1.81 | 6.93 | 2.52 | 3.16 | 6.43 | 5.6 | 2.73 | 6.53 | 3.17 | 1.97 | 1.9 |
| Ho | 1.28 | 1.03 | 1.12 | 1.46 | 1.7 | 1.02 | 1.44 | 0.06 | 1.39 | 0.54 | 0.58 | 1.3 | 1.17 | 0.53 | 1.3 | 0.59 | 0.41 | 0.48 |
| Er | 3.63 | 2.98 | 3.24 | 4.32 | 4.92 | 2.88 | 4.1 | 0.4 | 3.98 | 1.7 | 1.76 | 3.72 | 3.4 | 1.45 | 3.84 | 1.84 | 1.12 | 1.5 |
| Tm | 0.58 | 0.46 | 0.49 | 0.68 | 0.76 | 0.44 | 0.65 | 1.46 | 0.61 | 0.28 | 0.26 | 0.57 | 0.54 | 0.22 | 0.58 | 0.34 | 0.18 | 0.25 |
| Yb | 3.47 | 2.7 | 2.93 | 4.4 | 4.86 | 2.72 | 3.87 | 3.23 | 3.69 | 1.9 | 1.76 | 3.28 | 1 | 1.43 | 3.47 | 2.36 | 1.26 | 1.69 |
| Lu | 0.46 | 0.39 | 0.42 | 0.62 | 0.72 | 0.38 | 0.55 | 5.17 | 0.52 | 0.32 | 0.25 | 0.46 | 0.47 | 0.23 | 0.52 | 0.42 | 0.19 | 0.28 |
| (ppb) | ||||||||||||||||||
| Au | 3.3 | 13,033.7 | 4774.8 | 2061.3 | 306.5 | 2722.2 | 771.8 | 0.08 | 474.1 | 3239.1 | 4282 | 489.9 | 86.9 | 4.1 | 38,133 | 18.7 | <0.5 | 19.9 |
| Sample | 1_24 (1) | 54_24 (3) | 54_24 (5) | 54_24 (5) | 54_24 (2-3) | 54_24 (6) | 1_24 (7) | 2_57 (1) | 2_57 (1-1) | 2_57 (1-2) | 4_48A (2) | 1_24 (3) | 2_57 (3) | 4_48A (3) | 4_48A (3) | 4_48A (4-3) | 4_48A (4-4) |
|---|---|---|---|---|---|---|---|---|---|---|---|---|---|---|---|---|---|
| Chl1 | Chl2 | Chl3 | |||||||||||||||
| SiO2 | 27.011 | 27.352 | 27.19 | 27.19 | 27.352 | 25.48 | 27.222 | 25.165 | 26.121 | 25.616 | 25.108 | 26.919 | 26.112 | 26.416 | 26.416 | 23.351 | 25.542 |
| TiO2 | 0.096 | 0.35 | 0.579 | 0.579 | 0.35 | 0 | 0.084 | 0.12 | 0.121 | 0 | 0.083 | 0.012 | 0.012 | 0 | 0 | 0 | 0.059 |
| Al2O3 | 18.716 | 18.744 | 18.373 | 18.373 | 18.744 | 19.61 | 19.253 | 19.647 | 20.531 | 19.52 | 20.333 | 18.656 | 19.785 | 21.777 | 21.777 | 18.701 | 20.483 |
| FeO | 23.271 | 24.696 | 24.634 | 24.634 | 24.696 | 27.973 | 21.761 | 23.244 | 23.69 | 25.1 | 31.515 | 22.465 | 23.738 | 30.536 | 30.536 | 30.733 | 29.922 |
| MnO | 1.404 | 0.371 | 0.387 | 0.387 | 0.371 | 0.408 | 1.44 | 0.41 | 0.44 | 0.407 | 0.419 | 1.471 | 0.402 | 0.467 | 0.467 | 0.463 | 0.405 |
| MgO | 16.535 | 16.011 | 16.564 | 16.564 | 16.011 | 14.014 | 15.061 | 16.155 | 16.529 | 16.276 | 10.34 | 16.248 | 17.027 | 10.4 | 10.4 | 11.051 | 11.273 |
| CaO | 0.054 | 0.242 | 0.398 | 0.398 | 0.242 | 0.107 | 0.143 | 0.016 | 0.027 | 0.026 | 0 | 0.048 | 0.029 | 0.018 | 0.018 | 0.057 | 0.03 |
| BaO | 0 | 0.017 | 0 | 0 | 0.017 | 0.08 | 0 | 0 | 0 | 0 | 0.026 | 0.016 | 0.021 | 0 | 0 | 0.098 | 0.009 |
| Na2O | 0.051 | 0 | 0.004 | 0.004 | 0 | 0.025 | 0.024 | 0.007 | 0 | 0.008 | 0 | 0.03 | 0 | 0 | 0 | 0.045 | 0.024 |
| K2O | 0.002 | 0 | 0.049 | 0.049 | 0 | 0 | 0 | 0.008 | 0.041 | 0 | 0.022 | 0.007 | 0.002 | 0.017 | 0.017 | 0.05 | 0.001 |
| Cl | 0.013 | 0.028 | 0.025 | 0.025 | 0.028 | 0.01 | 0 | 0.02 | 0 | 0.008 | 0 | 0 | 0 | 0 | 0 | 0 | 0.012 |
| F | 0.285 | 0.254 | 0.36 | 0.36 | 0.254 | 0.001 | 0.181 | 0.057 | 0.082 | 0.228 | 0 | 0.186 | 0.073 | 0.001 | 0.001 | 0.028 | 0.103 |
| Total | 87.438 | 88.065 | 88.563 | 88.563 | 88.065 | 87.708 | 85.169 | 84.849 | 87.582 | 87.189 | 87.846 | 86.058 | 87.201 | 89.632 | 89.632 | 84.577 | 87.863 |
| Formula based on 28 oxygen atoms | |||||||||||||||||
| Si | 5.681 | 5.720 | 5.664 | 5.664 | 5.720 | 5.469 | 5.821 | 5.4516 | 5.4691 | 5.4443 | 5.4737 | 5.7327 | 5.4993 | 5.5967 | 5.5697 | 5.3352 | 5.5103 |
| Al IV | 2.318 | 2.280 | 2.336 | 2.336 | 2.280 | 2.530 | 2.179 | 2.548 | 2.531 | 2.556 | 2.526 | 2.267 | 2.501 | 2.430 | 2.430 | 2.665 | 2.490 |
| Site T | 8 | 8 | 8 | 8 | 8 | 8 | 8 | 8 | 8 | 8 | 8 | 8 | 8 | 8.027 | 8 | 8 | 8 |
| Al VI | 2.321 | 2.339 | 2.175 | 2.175 | 2.339 | 2.431 | 2.673 | 2.468 | 2.535 | 2.334 | 2.698 | 2.415 | 2.410 | 2.981 | 2.981 | 2.371 | 2.718 |
| Fe | 3.227 | 3.404 | 3.387 | 3.387 | 0.458 | 3.421 | 3.064 | 3.310 | 3.262 | 3.515 | 4.514 | 3.151 | 3.288 | 4.231 | 4.231 | 4.616 | 4.247 |
| Mg | 4.088 | 3.934 | 4.060 | 4.060 | 0.529 | 4.010 | 3.781 | 4.101 | 4.058 | 4.064 | 2.640 | 4.062 | 4.204 | 2.568 | 2.568 | 2.958 | 2.852 |
| Mn | 0.026 | 0.007 | 0.007 | 0.007 | 0.007 | 0.008 | 0.029 | 0.008 | 0.008 | 0.008 | 0.008 | 0.028 | 0.008 | 0.009 | 0.010 | 0.009 | 0.081 |
| Ti | 0.002 | 0.055 | 0.010 | 0.010 | 0.006 | 0 | 0.001 | 0.002 | 0.002 | 0 | 0.001 | 0 | 0.002 | 0 | 0 | 0 | 0.009 |
| Ca | 0.010 | 0.0542 | 0.088 | 0.088 | 0.054 | 0.025 | 0.033 | 0.004 | 0.006 | 0.006 | 0 | 0.011 | 0.006 | 0.004 | 0.004 | 0.014 | 0.007 |
| Na | 0.021 | 0 | 0.002 | 0.002 | 0 | 0.010 | 0.010 | 0.003 | 0 | 0.003 | 0 | 0.012 | 0 | 0 | 0 | 0.011 | 0.010 |
| K | 0.0005 | 0 | 0.013 | 0.013 | 0 | 0 | 0 | 0.002 | 0.011 | 0 | 0.006 | 0.002 | 0 | 0.005 | 0.005 | 0.015 | 0 |
| Site O | 9.695 | 9.794 | 9.742 | 9.742 | 3.394 | 9.904 | 9.592 | 9.898 | 9.883 | 9.929 | 9.868 | 9.682 | 9.918 | 9.799 | 9.799 | 10.003 | 9.926 |
| Cations | 17.695 | 17.794 | 17.742 | 17.742 | 11.394 | 17.904 | 17.592 | 17.898 | 17.883 | 17.929 | 17.868 | 17.682 | 17.919 | 17.826 | 17.799 | 18.003 | 17.926 |
| Fe/Fe + Mg | 0.441 | 0.442 | 0.455 | 0.455 | 0.464 | 0.415 | 0.548 | 0.547 | 0.546 | 0.564 | 0.631 | 0.437 | 0.539 | 0.622 | 0.622 | 0.539 | 0.590 |
| Al Total | 4.639 | 4.612 | 4.511 | 4.511 | 4.620 | 4.961 | 4.852 | 5.016 | 5.066 | 4.889 | 5.224 | 4.682 | 4.912 | 5.411 | 5.411 | 5.036 | 5.208 |
| T °C | 311 | 305 | 314 | 314 | 309 | 345 | 288 | 348 | 346 | 350 | 323 | 303 | 341 | 329 | 329 | 329 | 312 |
| Pyrite | As | S | Bi | Ag | Te | Pb | Au | Fe | Cu | Zn | Ni | Total |
| 8-57_C2 | 0 | 52.92 | 0.208 | 0 | 0.043 | 0.15 | 0.056 | 46.59 | 0 | 0 | 0 | 99.967 |
| 8-57_C1 | 0 | 53.107 | 0.123 | 0.024 | 0 | 0.109 | 0.052 | 46.611 | 0.084 | 0 | 0.001 | 100.111 |
| 8-57_C3 | 0 | 53.73 | 0.141 | 0.018 | 0.036 | 0.103 | 0.089 | 47.371 | 0 | 0.094 | 0 | 101.582 |
| 18-24 | 0 | 53.354 | 0.086 | 0 | 0.051 | 0.073 | 0 | 46.798 | 0.258 | 0 | 0 | 100.62 |
| Sphalerite | As | S | Bi | Ag | Te | Pb | Au | Fe | Cu | Zn | Ni | Total |
| 18-24 | 0 | 33.584 | 0.156 | 0.012 | 0.023 | 0.068 | 0.033 | 7.367 | 8.576 | 49.426 | 0.090 | 99.335 |
| 18-24 | 0.01 | 33.259 | 0.051 | 0 | 0.001 | 0 | 0 | 0.74 | 0.583 | 64.563 | 0 | 99.207 |
| 18-24 | 0.017 | 33.004 | 0.130 | 0.008 | 0.030 | 0 | 0 | 0.874 | 0.444 | 64.344 | 0.038 | 98.889 |
| S18-24 | 0 | 32.820 | 0.096 | 0 | 0.03 | 0 | 0 | 0.131 | 0 | 64.816 | 0.032 | 97.925 |
| Galena | As | S | Bi | Ag | Te | Pb | Au | Fe | Cu | Zn | Ni | Total |
| 18-24 | 0 | 13.386 | 0.327 | 0 | 0.051 | 85.417 | 0 | 0.037 | 0.024 | 0.063 | 0.147 | 99.452 |
| 18-24 | 0 | 13.401 | 0.366 | 0 | 0.091 | 85.345 | 0 | 0.039 | 0.109 | 0.11 | 0.108 | 99.569 |
| 18-24 | 0 | 13.278 | 0.352 | 0 | 0.11 | 85.065 | 0 | 0.048 | 0.035 | 0 | 0.019 | 98.907 |
| S18-24 | 0 | 13.341 | 0.376 | 0.033 | 0 | 84.135 | 0 | 0 | 0.116 | 0 | 0 | 98.001 |
| S18-24 | 0 | 13.402 | 0.465 | 0.04 | 0.03 | 84.290 | 0 | 0.015 | 0 | 0 | 0.032 | 98.274 |
| S18-24 | 0 | 13.433 | 0.265 | 0 | 0.065 | 85.344 | 0 | 0.014 | 0 | 0 | 0 | 99.121 |
| S18-24 | 0 | 13.388 | 0.347 | 0 | 0.046 | 83.532 | 0 | 1.184 | 0 | 0 | 0.055 | 98.552 |
| S18-24 | 0 | 13.473 | 0.36 | 0 | 0.034 | 84.426 | 0 | 0.934 | 0 | 0 | 0.116 | 99.343 |
| S18-24 | 0 | 13.439 | 0.437 | 0 | 0.044 | 84.126 | 0 | 0.02 | 0 | 0.606 | 0.04 | 98.712 |
| Altaite (PbTe) | As | S | Bi | Ag | Te | Pb | Au | Fe | Cu | Zn | Ni | Total |
| S18-24 | 0 | 0.072 | 0.578 | 0.07 | 37.101 | 58.711 | 0 | 0.975 | 0.242 | 0 | 0.046 | 97.795 |
| Au Free | Au Includes | Au Fractures | |||||||||||||||
|---|---|---|---|---|---|---|---|---|---|---|---|---|---|---|---|---|---|
| Qtz | Qtz | Qtz | Py | Py | Py | Py | Sp | Sp | Sp | Sp | Py | Py | Sp | Sp | Sp | Sp | |
| Samples No. | 8-57_C3_Au 5 | 8-57_C2_Au 1 | 8-57_C2_Au 2 | 8-57_C2_Au 3 | S18-24_Au 6 | S18-24_Au 5 | S18-24_Au 12 | S18-24_Au 4 | S18-24_Au 9 | S18-24_Au 10 | S18-24_Au 11 | 8-57_C3_Au 6 | 18-24_Au 1 | S18-24_Au 1 | S18-24_Au 2 | S18-24_Au 3 | S18-24_Au 8 |
| As | 0 | 0 | 0 | 0 | 0 | 0 | 0 | 0 | 0.004 | 0 | 0.013 | 0 | 0.037 | 0.023 | 0 | 0.012 | 0.027 |
| S | 0.115 | 0.06 | 0.086 | 0.137 | 0.032 | 0.06 | 0.064 | 0.033 | 0.063 | 12.116 | 0.05 | 20.238 | 4.079 | 0.027 | 0.005 | 0 | 0.056 |
| Bi | 0.522 | 0.527 | 0.385 | 0.296 | 0.252 | 0.491 | 0.297 | 0.447 | 0.399 | 0.276 | 0.425 | 0.242 | 0.324 | 0.519 | 0.294 | 0.548 | 0.36 |
| Ag | 8.359 | 9.665 | 8.337 | 8.633 | 11.249 | 10.678 | 11.499 | 9.151 | 12.743 | 7.184 | 11.961 | 5.128 | 8.999 | 8.501 | 6.548 | 11.134 | 12.316 |
| Te | 0.051 | 0.014 | 0 | 0.077 | 0.063 | 0.019 | 0.032 | 0.061 | 0.045 | 0.147 | 0.052 | 0.002 | 0.029 | 0.072 | 0.018 | 0.001 | 0.041 |
| Pb | 0 | 0 | 0 | 0 | 0 | 0 | 0 | 0 | 0 | 22.075 | 0 | 0 | 0 | 0 | 0 | 0 | 0.14 |
| Au | 90.964 | 90.302 | 91.831 | 90.46 | 88.816 | 89.603 | 86.918 | 91.271 | 82.31 | 51.969 | 86.863 | 62.811 | 81.1 | 90.106 | 94.744 | 87.588 | 86.222 |
| Fe | 0.519 | 0.068 | 0.079 | 0.212 | 0.729 | 0.539 | 0.253 | 0 | 0.69 | 9.019 | 0.003 | 16.094 | 4.688 | 0.04 | 0 | 0.014 | 0.734 |
| Cu | 0 | 0.053 | 0 | 0 | 0 | 0 | 0 | 0.059 | 0 | 0.683 | 0 | 0 | 0 | 0 | 0.262 | 0 | 0 |
| Zn | 0 | 0 | 0 | 0 | 0 | 0 | 0 | 0 | 0 | 0 | 0.392 | 0 | 0.06 | 0 | 0 | 0 | 0 |
| Ni | 0.093 | 0 | 0 | 0.084 | 0 | 0.004 | 0 | 0.027 | 0 | 0.049 | 0 | 0.083 | 0.032 | 0.048 | 0 | 0 | 0.102 |
| Total | 100.623 | 100.689 | 100.718 | 99.899 | 101.141 | 101.394 | 99.063 | 101.049 | 96.254 | 103.518 | 99.759 | 104.598 | 99.348 | 99.336 | 101.871 | 99.297 | 99.998 |
| Inclusion Type | Quartz Type/Occurrence | Hydrothermal Alteration | Petrographic Features | Microthermometric Data | System Model |
|---|---|---|---|---|---|
| Type I | Qtz2 | Phyllic alteration. | Primary inclusions of rare occurrence; biphasic; round or oval; dark; 8 to 16 µm; F = 0.50 to 0.60. | Tm(ice) of −11.2 °C to −2.5°C, with a primary range of −4.7 ° C to −2.5 °C; Th(t) of 303.7 °C to 432.6 °C; salinity from 4.18 to 15.17 wt% NaCl equiv., density of 0.43 to 0.84 g/cm3. | H2O–NaCl |
| Type II | Qtz1 Qtz2 | Phyllic alteration; microclinization stage. | Primary; biphasic; ellipsoidal and rounded; dark; 8 to 14 µm; F = 0.70 to 0.80. | Tm(ice) from −11.9 °C to −1.2 °C, with primary interval occurring between −5.5 °C to −1.2 °C; Th(t) 280.0 to 425.8 °C; salinity from 3.54 to 20.14 wt% NaCl eq.; density between 0.32 and 0.90 g/cm3. | H2O–NaCl |
| Type III | Qtz1 Qtz2 | Microclinization stage; phyllic alteration. | Primary; biphasic; colorless; ellipsoidal and rounded; ranges between 6 and 10 µm; F = 0.80 to 0.90. | Tm(ice) of −5.9 °C to −1.5 °C; Th(t) of 203.2 °C to 369.5 °C; salinity from 1.22 to 8.27 wt% NaCl eq.; density between 0.61 and 0.94 g/cm3. | H2O–NaCl |
| Type IV | Qtz1 Qtz2 | Phyllic alteration; microclinization stage. | Secondary; biphasic; rounded the misshapen; colorless; oscillate between 3 and 10 µm; F = 0.85 to 0.95. | Tm(ice) −3.5 °C to −0.1 °C, while fashion presents value of −1.1 °C; Th(t) of 100.3 °C to 290.9 °C; salinity between 0.17 and 5.10 wt% NaCl eq.; density between 0.72 and 0.96 g/cm3. | H2O–NaCl |
| Type V | Qtz1 Qtz2 | All assemblages. | Dark; shapeless and rarely rounded; oscillate between 8 to 30 µm. | - | H2O–NaCl |
| Parameters | Tocantinzinho Deposit | Deposits Type Au Porphyry | Rirgs Deposits |
|---|---|---|---|
| Tectonic environment | Magmatic arc | Vulcano-plutonic arcs | Weak post-collisional extension behind continental margin |
| Intrusion age | 1982 ± 8 | Variable; predominantly Mesozoic and Cenozoic | Predominantly Phanerozoic. Archean and Proterozoic age controversial |
| Host rock composition | Granite with monzogranitic composition; calc-alkaline; I type; oxidized granite, magnetite series. | Calc-alkaline; I type; oxidized granite, magnetite series. | Reduced felsic plutons, ilmenite series of varied composition; I, S and A types. |
| Association of hydrothermal alteration mineralized | Phyllic alteration, K-feldspar alteration (microclinization). | Magnetite associated; phyllic alteration | Mostly sericite-calcite; restricted; absence of extensive hydrothermal alteration halos. |
| Mineralization type | Disseminated; in veinlets and fractures (stockwork). | Disseminated; stockwork; fractures controlled. | Preferably swarms of quartz veins at the top of small plutons. Stockworks absence. |
| Main metal | Au | Au-(Cu) | Au-Bi-Te-W |
| Key sulfides associated | Pyrite | Pyrite-(chalcopyrite; bornite). | pyrrhotite; arsenopyrite |
| Mineralizing fluid | H2O–NaCl fluid system resulting from mixture of magmatic with meteoric water. Temperature of mineralizing fluid (289 °C to 382 °C). Inclusions that to homogenize to the vapor and to liquid. Presence of boiling. | Initially hot (>500 °C to 600 °C) and dominated by magmatic fluid and hypersaline (30–60 wt% NaCl eq.). It is common boiling and mixing with meteoric water. | Predominance of low salinity fluids and aqueous-carbonic, with high concentrations of CO2. They may contain CH4 |
© 2019 by the authors. Licensee MDPI, Basel, Switzerland. This article is an open access article distributed under the terms and conditions of the Creative Commons Attribution (CC BY) license (http://creativecommons.org/licenses/by/4.0/).
Share and Cite
Lopes, A.A.C.; Moura, M.A. The Tocantinzinho Paleoproterozoic Porphyry-Style Gold Deposit, Tapajós Mineral Province (Brazil): Geology, Petrology and Fluid Inclusion Evidence for Ore-Forming Processes. Minerals 2019, 9, 29. https://doi.org/10.3390/min9010029
Lopes AAC, Moura MA. The Tocantinzinho Paleoproterozoic Porphyry-Style Gold Deposit, Tapajós Mineral Province (Brazil): Geology, Petrology and Fluid Inclusion Evidence for Ore-Forming Processes. Minerals. 2019; 9(1):29. https://doi.org/10.3390/min9010029
Chicago/Turabian StyleLopes, Adriana Araújo Castro, and Márcia Abrahão Moura. 2019. "The Tocantinzinho Paleoproterozoic Porphyry-Style Gold Deposit, Tapajós Mineral Province (Brazil): Geology, Petrology and Fluid Inclusion Evidence for Ore-Forming Processes" Minerals 9, no. 1: 29. https://doi.org/10.3390/min9010029
APA StyleLopes, A. A. C., & Moura, M. A. (2019). The Tocantinzinho Paleoproterozoic Porphyry-Style Gold Deposit, Tapajós Mineral Province (Brazil): Geology, Petrology and Fluid Inclusion Evidence for Ore-Forming Processes. Minerals, 9(1), 29. https://doi.org/10.3390/min9010029
