Spatial Mapping of the Rock Quality Designation Using Multi-Gaussian Kriging Method
Abstract
:1. Introduction
2. Materials and Methods
2.1. Multi-Gaussian Kriging
2.1.1. Quantification of Uncertainty Function
3. Case Study: Gazestan Ore Deposit in Iran
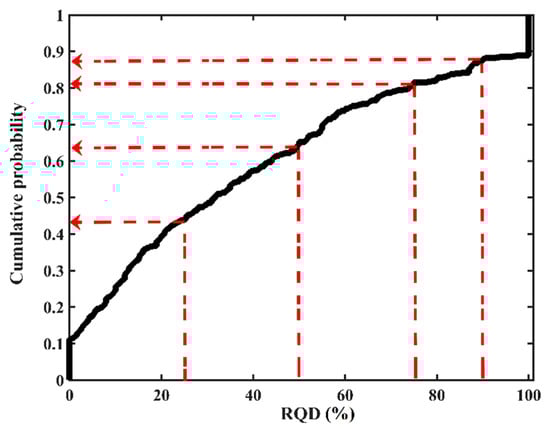
3.1. Exploratory Data Analysis
3.2. Transformation to Gaussian Distribtuion
3.3. Modeling Spatial Continuity: Variogram Analysis
3.4. Multi-Gaussian Kriging Results
3.5. Probabilistic Description for Each Rock Mass Quality Domain
3.5.1. Application of Probabilistic Maps
Vertical Variability of RQD
Detection of Possible Faulted Boundaries
3.6. Model Validation
4. Results and Discussion
5. Conclusions
Author Contributions
Funding
Acknowledgments
Conflicts of Interest
References
- Parra, A.; Morales, N.; Vallejos, J.; Vuong Nguyen, P.M. Open pit mine planning considering geomechanical fundamentals. Int. J. Min. Reclam. Environ. 2017, 32, 221–238. [Google Scholar] [CrossRef]
- Singh, V.K.; Prasad, M.; Singh, S.K.; Rao, D.G.; Singh, U.K. Slope design based on geotechnical study and numerical modelling of a deep open pit mine in India. Int. J. Surf. Min. Reclam. Environ. 2007, 9, 105–111. [Google Scholar] [CrossRef]
- Santos, V.; da Silva, P.F.; Brito, M.G. Estimating RMR Values for Underground Excavations in a Rock Mass. Minerals 2018, 8, 78. [Google Scholar] [CrossRef]
- Khakestar, M.S.; Hassani, H.; Moarefvand, P.; Madani, H. Prediction of the collapsing risk of mining slopes based on geostatistical interpretation of geotechnical parameters. J. Geol. Soc. India 2016, 87, 97–104. [Google Scholar] [CrossRef]
- Eivazy, H.; Esmaieli, K.; Jean, R. Modelling Geomechanical Heterogeneity of Rock Masses Using Direct and Indirect Geostatistical Conditional Simulation Methods. Rock Mech. Rock Eng. 2017, 50, 3175–3195. [Google Scholar] [CrossRef]
- Masoud, A.A.; Aal, A.K.A. Three-dimensional geotechnical modeling of the soils in Riyadh city. KSA Bull. Eng. Geol. Environ. 2017, 1–17. [Google Scholar] [CrossRef]
- Ozturk, C.A.; Simdi, E. Geostatistical investigation of geotechnical and constructional properties in Kadikoy–Kartal subway. Turk. Tunn. Undergr. Sp. Technol. 2014, 41, 35–45. [Google Scholar] [CrossRef]
- Oh, S. Geostatistical integration of seismic velocity and resistivity data for probabilistic evaluation of rock quality. Environ. Earth Sci. 2013, 69, 939–945. [Google Scholar] [CrossRef]
- Burger, B.; McCaffery, K.; McGaffin, I.; Jankovic, A.; Valery, W.; La Rosa, D. Batu Hijau model for throughput forecast, mining and milling optimization, and expansion studies. In Advances in Comminution; Kawatra, K., Ed.; SME: Englewood, CHI, USA, 2006; p. 461. [Google Scholar]
- Chilès, J.-P.; Delfiner, P. Geostatistics: Modeling Spatial Uncertainty. Wiley Series in Probability and Statistics; John Wiley & Sons, Inc.: Hoboken, NJ, USA, 2012. [Google Scholar] [CrossRef]
- Coward, S.; Vann, J.; Dunham, S.; Stewart, M. The primary-response framework for geometallurgical variables. In Proceedings of the Seventh International Mining Geology Conference, Perth, Australia, 17–19 August 2009. [Google Scholar]
- Liu, Y.P.; He, S.H.; Wang, D.H.; Li, D.Y. RQD prediction method of engineering rock mass based on spatial interpolation. Yantu Lixue/Rock Soil Mech. 2015, 36, 3329–3336. [Google Scholar]
- Ryu, J.-S.; Kim, M.-S.; Cha, K.-J.; Lee, T.H.; Choi, D.-H. Kriging interpolation methods in geostatistics and DACE model. KSME Int. J. 2002, 16, 619–632. [Google Scholar] [CrossRef]
- Boisvert, J.B.; Rossi, M.E.; Ehrig, K.; Deutsch, C.V. Geometallurgical Modeling at Olympic Dam Mine. South Aust. Math. Geosci. 2013, 45, 901–925. [Google Scholar] [CrossRef]
- Newton, M.J.; Graham, J.M. Spatial Modelling and Optimisation of Geometallurgical Indices. In Proceedings of the Second AusIMM International Geometallurgy Conference (GeoMet), Brisbane, Australia, 30 September–2 October 2011; pp. 247–261. [Google Scholar]
- Deutsch, C.V. Geostatistical modelling of geometallurgical variables—Problems and solutions. In Proceedings of the Second AusIMM International Geometallurgy Conference (GeoMet), Brisbane, Australia, 30 September–2 October 2013; pp. 7–16. [Google Scholar]
- Assari, A.; Mohammadi, Z. Analysis of rock quality designation (RQD) and Lugeon values in a karstic formation using the sequential indicator simulation approach, Karun IV Dam site. Iran Bull. Eng. Geol. Environ. 2017, 76, 771–782. [Google Scholar] [CrossRef]
- Ellefmo, S.L.; Eidsvik, J. Local and Spatial Joint Frequency Uncertainty and its Application to Rock Mass Characterisation. Rock Mech. Rock Eng. 2008, 42, 667. [Google Scholar] [CrossRef]
- Madani Esfahani, N.; Asghari, O. Fault detection in 3D by sequential Gaussian simulation of Rock Quality Designation (RQD). Arab. J. Geosci. 2013, 6, 3737–3747. [Google Scholar] [CrossRef]
- Deutsch, J.L.; Palmer, K.; Deutsch, C.V.; Szymanski, J.; Etsell, T.H. Spatial Modeling of Geometallurgical Properties: Techniques and a Case Study. Nat. Resour. Res. 2016, 25, 161–181. [Google Scholar] [CrossRef]
- Hekmatnejad, A.; Emery, X.; Alipour-Shahsavari, M. Comparing linear and non-linear kriging for grade prediction and ore/waste classification in mineral deposits. Int. J. Min. Reclam. Environ. 2017. [Google Scholar] [CrossRef]
- Moyeed, R.A.; Papritz, A. An Empirical Comparison of Kriging Methods for Nonlinear Spatial Point Prediction. Math. Geol. 2002, 34, 365–386. [Google Scholar] [CrossRef]
- Afzal, P.; Madani, N.; Shahbeik, S.; Yasrebi, A.B. Multi-Gaussian kriging: A practice to enhance delineation of mineralized zones by Concentration–Volume fractal model in Dardevey iron ore deposit. SE Iran J. Geochem. Explor. 2015, 158, 10–21. [Google Scholar] [CrossRef]
- Emery, X. Uncertainty modeling and spatial prediction by multi-Gaussian kriging: Accounting for an unknown mean value. Comput. Geosci. 2008, 34, 1431–1442. [Google Scholar] [CrossRef]
- Armstrong, M. Problems with universal kriging. J. Int. Assoc. Math. Geol. 1984, 16, 101–108. [Google Scholar] [CrossRef]
- Cressie, N. A nonparametric view of generalized covariances for kriging. Math. Geol. 1987, 19, 425–449. [Google Scholar] [CrossRef]
- Rivoirard, J. Introduction to Disjunctive Kriging and Nonlinear Geostatistics; Oxford University Press: Oxford, UK, 1994. [Google Scholar]
- Emery, X. Two Ordinary Kriging Approaches to Predicting Block Grade Distributions. Math. Geol. 2006, 38, 801–819. [Google Scholar] [CrossRef]
- Marechal, A. Recovery Estimation: A Review of Models and Methods. In Geostatistics for Natural Resources Characterization: Part 1; Verly, G., David, M., Journel, A.G., Marechal, A., Eds.; Springer: Dordrecht, The Netherlands, 1984; pp. 385–420. [Google Scholar]
- Jamali, S. Gazestan Ore Deposit Exploration; Geological Survey of Iran: Tehran, Iran, 2008. [Google Scholar]
- Deere, D.U.; Hendron, A.J.; Patton, F.D.; Cording, E.J. Design of Surface and Near-Surface Construction in Rock. In Proceedings of the 8th U.S. Symposium on Rock Mechanics (USRMS), Minneapolis, MN, USA, 15–17 September 1966. [Google Scholar]
- Deutsch, C.V.; Journel, A. GSLIB: Geostatistical Software and User’s Guide, 2nd ed.; Oxford University Press: New York, NY, USA, 1998. [Google Scholar]
- Davis, J.C. Statistics and Data Analysis in Geology; Wiley: New York, NY, USA, 1986. [Google Scholar]
- Emery, X. Variograms of Order ω: A Tool to Validate a Bivariate Distribution Model. Math. Geol. 2005, 37, 163–181. [Google Scholar] [CrossRef]
- Maleki, M.; Emery, X.; Mery, N. Indicator Variograms as an Aid for Geological Interpretation and Modeling of Ore Deposits. Minerals 2017, 7, 241. [Google Scholar] [CrossRef]
- Goovaerts, P. Geostatistics for Natural Resources Evaluation; Oxford University Press: New York, NY, USA, 1997. [Google Scholar]
- Rossi, M.E.; Deutsch, C.V. Mineral Resource Estimation; Springer: Berlin, Germany, 2014. [Google Scholar]
- Alabert, F.G.; Massonnat, G.J. Heterogeneity in a complex turbiditic reservoir: Stochastic modelling of facies and petrophysical variability. In Proceedings of the 65th Annual Technical Conference and Exhibition of the Society of Petroleum Engineers, SPE-20604, London, UK, 30–31 October 1990; pp. 775–790. [Google Scholar]
- Emery, X. Testing the correctness of the sequential algorithm for simulating Gaussian random fields. Stoch. Environ. Res. Risk Assess. 2004, 18, 401–413. [Google Scholar] [CrossRef]
- Emery, X.; Peláez, M. Assessing the accuracy of sequential Gaussian simulation and cosimulation. Comput. Geosci. 2011, 15, 673–689. [Google Scholar] [CrossRef]
- Paravarzar, S.; Emery, X.; Madani, N. Comparing sequential Gaussian and turning bands algorithms for cosimulating grades in multi-element deposits. C. R. Geosci. 2015, 347, 84–93. [Google Scholar] [CrossRef]
- Eze, P.N.; Madani, N.; Adoko, A.C. Multivariate Mapping of Heavy Metals Spatial Contamination in a Cu–Ni Exploration Field (Botswana) Using Turning Bands Co-simulation Algorithm. Nat. Resour. Res. 2018. [Google Scholar] [CrossRef]
- Madani, N.; Emery, X. A comparison of search strategies to design the cokriging neighborhood for predicting coregionalized variables. Stoch. Environ. Res. Risk Assess. 2018. [Google Scholar] [CrossRef]















| Boreholes | Max | Average | Min | Stdev | Length of Boreholes (m) | Number of Data Points | Type of Boreholes |
|---|---|---|---|---|---|---|---|
| BH8 | 100.00 | 58.31 | 0.00 | 25.54 | 125.07 | 70 | Inclined |
| BH11 | 83.00 | 32.15 | 0.00 | 17.37 | 173.5 | 86 | Vertical |
| BH12 | 71.00 | 32.26 | 3.00 | 22.84 | 49.6 | 23 | Inclined |
| BH14 | 66.00 | 40.13 | 0.00 | 16.17 | 95.0 | 35 | Vertical |
| BH15 | 88.00 | 33.92 | 0.00 | 26.83 | 118.41 | 59 | Inclined |
| BH5 | 55.12 | 16.02 | 0.00 | 14.69 | 103.8 | 53 | Vertical |
| BH6 | 41.30 | 12.21 | 0.00 | 12.43 | 79.75 | 50 | Inclined |
| BH7 | 78.80 | 23.13 | 0.00 | 22.86 | 75.36 | 47 | Inclined |
| BH10 | 22.30 | 5.57 | 0.00 | 6.10 | 75.24 | 47 | Vertical |
© 2018 by the authors. Licensee MDPI, Basel, Switzerland. This article is an open access article distributed under the terms and conditions of the Creative Commons Attribution (CC BY) license (http://creativecommons.org/licenses/by/4.0/).
Share and Cite
Madani, N.; Yagiz, S.; Coffi Adoko, A. Spatial Mapping of the Rock Quality Designation Using Multi-Gaussian Kriging Method. Minerals 2018, 8, 530. https://doi.org/10.3390/min8110530
Madani N, Yagiz S, Coffi Adoko A. Spatial Mapping of the Rock Quality Designation Using Multi-Gaussian Kriging Method. Minerals. 2018; 8(11):530. https://doi.org/10.3390/min8110530
Chicago/Turabian StyleMadani, Nasser, Saffet Yagiz, and Amoussou Coffi Adoko. 2018. "Spatial Mapping of the Rock Quality Designation Using Multi-Gaussian Kriging Method" Minerals 8, no. 11: 530. https://doi.org/10.3390/min8110530
APA StyleMadani, N., Yagiz, S., & Coffi Adoko, A. (2018). Spatial Mapping of the Rock Quality Designation Using Multi-Gaussian Kriging Method. Minerals, 8(11), 530. https://doi.org/10.3390/min8110530

