Mechanical Properties, Acoustic Emission Characteristics, and Damage Evolution of Cemented Tailings Backfill Under Temperature Effects
Abstract
1. Introduction
2. Materials and Methods
2.1. Materials
2.2. Experimental Methods
2.3. Theory
3. Experimental Results
3.1. Mechanical Experiments
3.2. Acoustic Emission Parameters
3.3. Acoustic Emission Localization
3.4. Microstructural Characteristics
4. Discussion
4.1. Temperature Threshold Effect and Multi-Scale Damage Evolution Mechanism
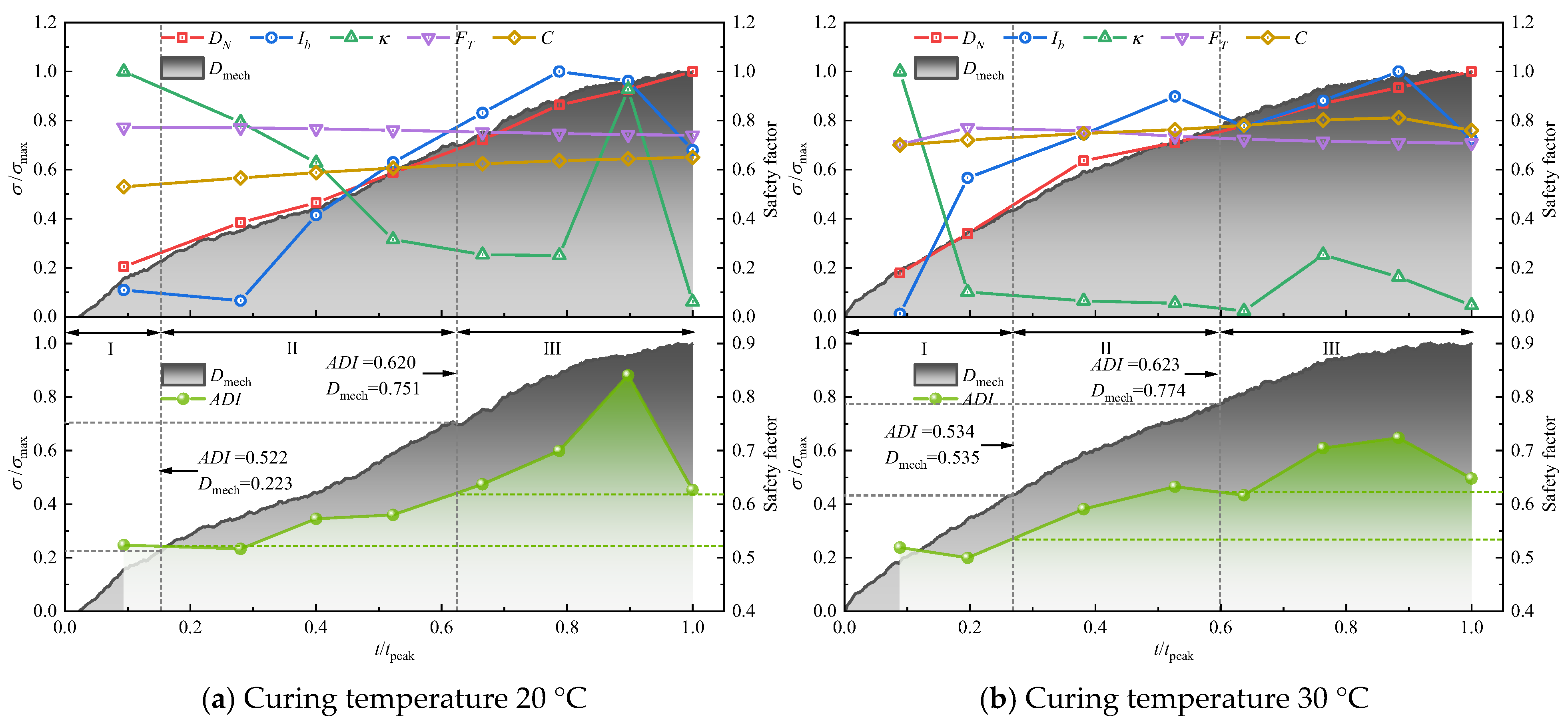
4.2. Characterization and Quantification of the Damage Process Using AE Parameters
5. Conclusions
Author Contributions
Funding
Data Availability Statement
Conflicts of Interest
References
- Al Heib, M.M.; Didier, C.; Masrouri, F. Improving short- and long-term stability of underground gypsum mine using partial and total backfill. Rock Mech. Rock Eng. 2010, 43, 447–461. [Google Scholar] [CrossRef]
- Saremi, A.; Fall, M. Self-desiccation behavior of nano-cemented tailings backfill plug: Insights from thermo-mechanical-chemical column experiments. J. Mater. Res. Technol. 2024, 30, 5952–5962. [Google Scholar] [CrossRef]
- Zhang, C.; Song, W.; Taheri, A.; Fu, J.; Zhao, T.; Tan, Y. Hydration mechanism and mechanical-thermal correlation of cemented paste backfill under different curing temperatures. J. Build. Eng. 2024, 85, 108691. [Google Scholar] [CrossRef]
- Haruna, S.; Fall, M. Time and temperature-dependent rheological properties of cemented paste backfill that contains superplasticizer. Powder Technol. 2020, 360, 731–740. [Google Scholar] [CrossRef]
- Wang, Y.; Fall, M.; Wu, A. Initial temperature-dependence of strength development and self-desiccation in cemented paste backfill that contains sodium silicate. Cem. Concr. Compos. 2016, 67, 101–110. [Google Scholar] [CrossRef]
- Yang, L.; Wang, H.; Wu, A.; Li, H.; Bruno, T.A.; Zhou, X.; Wang, X. Effect of mixing time on hydration kinetics and mechanical property of cemented paste backfill. Constr. Build. Mater. 2020, 247, 118516. [Google Scholar] [CrossRef]
- Zhang, C.; Song, W.; Guo, J.; Taheri, A.; Wang, Y.; Wang, X. Hydration behavior, microstructural characteristics, and kinetic analysis of cemented tailings backfill under temperature effect. Case Stud. Constr. Mater. 2025, 23, e05081. [Google Scholar] [CrossRef]
- Chen, S.; Yilmaz, E.; Xiang, Z.; Wang, Y. Curing conditions effect on pore structure, compressive strength and elastic modulus of cementitious tailings backfills. Powder Technol. 2023, 422, 118458. [Google Scholar] [CrossRef]
- Zhang, C.; Wang, J.; Song, W.; Fu, J. The bonding mechanism of rock and cement paste backfill interface under high temperature curing. Powder Technol. 2025, 453, 120680. [Google Scholar] [CrossRef]
- Li, X.; Fu, W.; Wang, P.; Zhou, J.; Hu, Z.; Guo, Z. Enhancing foamed concrete performance with pre-wetted ceramsite: Mitigating early cracking, shrinkage, and improving interfacial transition zone properties. Constr. Build. Mater. 2025, 458, 139509. [Google Scholar] [CrossRef]
- Nasir, O.; Fall, M. Coupling binder hydration, temperature and compressive strength development of underground cemented paste backfill at early ages. Tunn. Undergr. Space Technol. 2010, 25, 9–20. [Google Scholar] [CrossRef]
- Wang, Y.; Cao, Y.; Cao, C.; Wang, H. Effect of curing temperature under deep mining conditions on the mechanical properties of cemented paste backfill. Minerals 2023, 13, 383. [Google Scholar] [CrossRef]
- Fall, M.; Célestin, J.; Pokharel, M.; Touré, M. A contribution to understanding the effects of curing temperature on the mechanical properties of mine cemented tailings backfill. Eng. Geol. 2010, 114, 397–413. [Google Scholar] [CrossRef]
- Liu, W.; Guo, Z.; Wang, C.; Niu, S. Physico-mechanical and microstructure properties of cemented coal Gangue-Fly ash backfill: Effects of curing temperature. Constr. Build. Mater. 2021, 299, 124011. [Google Scholar] [CrossRef]
- Carette, J.; Staquet, S. Unified modelling of the temperature effect on the autogenous deformations of cement-based materials. Cem. Concr. Compos. 2018, 94, 62–71. [Google Scholar] [CrossRef]
- Nandhini, K.; Karthikeyan, J. The early-age prediction of concrete strength using maturity models: A review. J. Build. Pathol. Rehabil. 2021, 6, 7. [Google Scholar] [CrossRef]
- Mahmood, A.H.; Hampton, I.; Bescher, E.; Pang, L.; Castel, A. On-site strain and temperature monitoring of belitic calcium sulfoaluminate cement concrete airport slabs: Feasibility of maturity method. Int. J. Pavement Eng. 2025, 26, 2518153. [Google Scholar] [CrossRef]
- Abdulkadir, S.B.; Chen, Q.; Yilmaz, E.; Wang, D. Comparative and Meta-Analysis Evaluation of Non-Destructive Testing Methods for Strength Assessment of Cemented Paste Backfill: Implications for Sustainable Pavement and Concrete Materials. Materials 2025, 18, 2888. [Google Scholar] [CrossRef]
- Ma, K.; Gao, Z.; Ren, F. Investigation of the shearing behavior and mechanism of serrated granite-concrete interface considering the temperature difference initial damage. Constr. Build. Mater. 2024, 455, 139192. [Google Scholar] [CrossRef]
- Liu, L.; Ding, X.; Tu, B.; Qu, H.; Xie, G. Energy evolution and mechanical properties of modified magnesium slag-based backfill materials at different curing temperatures. Constr. Build. Mater. 2024, 411, 134555. [Google Scholar] [CrossRef]
- Wu, J.; Yang, S.; Williamson, M.; Wong, H.S.; Bhudia, T.; Pu, H.; Yin, Q.; Ma, D.; Chen, W. Microscopic mechanism of cellulose nanofibers modified cemented gangue backfill materials. Adv. Compos. Hybrid Mater. 2025, 8, 177. [Google Scholar] [CrossRef]
- Nasharuddin, R.; Luo, G.; Robinson, N.; Fourie, A.; Johns, M.L.; Fridjonsson, E. Understanding the microstructural evolution of hypersaline cemented paste backfill with low-field NMR relaxation. Cem. Concr. Res. 2021, 147, 106516. [Google Scholar] [CrossRef]
- Fu, J.; Wang, K.; Wang, J. Internal pore evolution and early hydration characterization of fly ash cement backfill. J. Build. Eng. 2023, 72, 106716. [Google Scholar] [CrossRef]
- Chen, G.; Yao, N.; Ye, Y.; Fu, F.; Hu, N.; Zhang, Z. Study on the settlement and delamination mechanism and acoustic emission characteristics of mixed aggregate cemented backfill. Constr. Build. Mater. 2023, 408, 133635. [Google Scholar] [CrossRef]
- Yin, S.; Zhou, Y.; Chen, X.; Li, G. A new acoustic emission characteristic parameter can be utilized to evaluate the failure of cemented paste backfill and rock combination. Constr. Build. Mater. 2023, 392, 132017. [Google Scholar] [CrossRef]
- Zhang, L.; Lai, X.; Pan, J.; Shan, P.; Zhang, Y.; Zhang, Y.; Xu, H.; Cai, M.; Xi, X. Experimental investigation on the mixture optimization and failure mechanism of cemented backfill with coal gangue and fly ash. Powder Technol. 2024, 440, 119751. [Google Scholar] [CrossRef]
- Zhao, K.; Shi, Y.; Ma, C.; Yan, Y.; Zhong, J.; Feng, Y.; Ao, W. Damage evaluation indexes for cemented tailings backfill based on RA and AF values. Nondestruct. Test. Eval. 2025, 41, 487–502. [Google Scholar] [CrossRef]
- Ji, Y.; Xie, L.; Xiao, J.; Zheng, Y.; Ma, S.; Pan, T. Mechanical properties and acoustic emission characteristics of microbial cemented backfill with various particle size distributions of recycled aggregates. Constr. Build. Mater. 2024, 417, 135269. [Google Scholar] [CrossRef]
- Tan, Y.; Li, Y.; Yu, X.; Deng, Y.; Song, Z.; Kou, Y. Study of the spatial strength distribution patterns and microstructure characteristics of ultra-fine tailings cemented paste backfill. Sci. Rep. 2025, 15, 108. [Google Scholar] [CrossRef]
- Zhang, C.; Taheri, A.; Du, C.; Xia, W.; Tan, Y. Mechanical characteristics and macro–microscopic response mechanisms of cemented paste backfill under different curing temperatures. Minerals 2024, 14, 433. [Google Scholar] [CrossRef]
- Ohno, K.; Ohtsu, M. Crack classification in concrete based on acoustic emission. Constr. Build. Mater. 2010, 24, 2339–2346. [Google Scholar] [CrossRef]
- Aldahdooh, M.; Bunnori, N.M. Crack classification in reinforced concrete beams with varying thicknesses by mean of acoustic emission signal features. Constr. Build. Mater. 2013, 45, 282–288. [Google Scholar] [CrossRef]
















| Curing Time | UCS (MPa) | Elastic Modulus (MPa) | ||||||||
|---|---|---|---|---|---|---|---|---|---|---|
| s0 | Tc | w | A | R2 | E0 | Tc | w | A | R2 | |
| 3 days | 0.538 | 51.430 | 47.753 | 35.698 | 0.859 | 107.023 | 41.113 | 14.516 | 819.739 | 0.954 |
| 7 days | −1.924 | 48.830 | 126.029 | 542.264 | 0.914 | 109.525 | 45.904 | 27.522 | 1759.270 | 0.915 |
| 14 days | −0.198 | 46.969 | 91.049 | 221.678 | 0.931 | 42.677 | 45.213 | 59.489 | 12,385.615 | 0.971 |
| 28 days | 1.643 | 46.563 | 30.927 | 18.418 | 0.936 | 201.736 | 42.216 | 26.415 | 1329.960 | 0.889 |
| Damage Stage | ADI Threshold | Gaussian Parameters | Microstructural State | Engineering Implication |
|---|---|---|---|---|
| Stable | ADI < 0.60 | Low sensitivity | Isolated hydration products | Safe operating zone |
| Warning | 0.60 ≤ADI < 0.70 | A, w rising | Ca(OH)2 coarsening | Early warning stage |
| Critical | ADI > 0.70 | Peak response | Macro-crack coalescence | Imminent failure risk |
Disclaimer/Publisher’s Note: The statements, opinions and data contained in all publications are solely those of the individual author(s) and contributor(s) and not of MDPI and/or the editor(s). MDPI and/or the editor(s) disclaim responsibility for any injury to people or property resulting from any ideas, methods, instructions or products referred to in the content. |
© 2026 by the authors. Licensee MDPI, Basel, Switzerland. This article is an open access article distributed under the terms and conditions of the Creative Commons Attribution (CC BY) license.
Share and Cite
Han, H.; Zhang, C.; Guo, J.; Wang, X. Mechanical Properties, Acoustic Emission Characteristics, and Damage Evolution of Cemented Tailings Backfill Under Temperature Effects. Minerals 2026, 16, 193. https://doi.org/10.3390/min16020193
Han H, Zhang C, Guo J, Wang X. Mechanical Properties, Acoustic Emission Characteristics, and Damage Evolution of Cemented Tailings Backfill Under Temperature Effects. Minerals. 2026; 16(2):193. https://doi.org/10.3390/min16020193
Chicago/Turabian StyleHan, Haoliang, Chao Zhang, Jinping Guo, and Xiaolin Wang. 2026. "Mechanical Properties, Acoustic Emission Characteristics, and Damage Evolution of Cemented Tailings Backfill Under Temperature Effects" Minerals 16, no. 2: 193. https://doi.org/10.3390/min16020193
APA StyleHan, H., Zhang, C., Guo, J., & Wang, X. (2026). Mechanical Properties, Acoustic Emission Characteristics, and Damage Evolution of Cemented Tailings Backfill Under Temperature Effects. Minerals, 16(2), 193. https://doi.org/10.3390/min16020193
