Trace Element Characteristics of Magnetite and Hematite from the Heshangqiao Iron Oxide–Apatite Deposit in Eastern China: Implications for the Ore-Forming Processes
Abstract
1. Introduction
2. Geological Setting of the Ore District and Deposit
2.1. Ningwu Ore District
2.2. Heshangqiao IOA Deposit
3. Analytical Methods
3.1. Sampling
3.2. Methods
3.2.1. EPMA Analysis
3.2.2. LA-ICP-MS Analysis
4. Analytical Results
4.1. Magnetite Chemistry
4.2. Hematite Chemistry
4.3. Comparative Analysis of Magnetite and Hematite
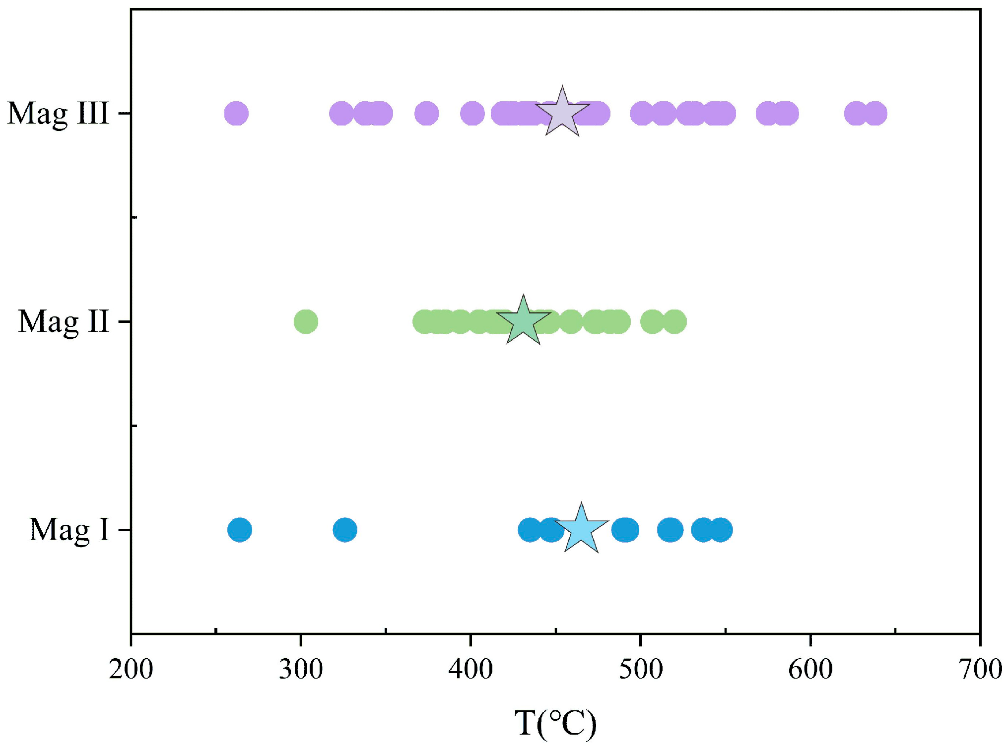
4.4. Magmatic Magnetite Temperature
5. Discussion
5.1. Genesis of Magnetite
5.2. Genesis of Hematite
5.3. Implications for the Mineralization Processes
6. Conclusions
Supplementary Materials
Author Contributions
Funding
Data Availability Statement
Acknowledgments
Conflicts of Interest
References
- Palma, G.; Barra, F.; Reich, M.; Simon, A.C.; Romero, R. A review of magnetite geochemistry of Chilean iron oxide-apatite (IOA) deposits and its implications for ore-forming processes. Ore Geol. Rev. 2020, 126, 103748. [Google Scholar] [CrossRef]
- Reich, M.; Simon, A.C.; Barra, F.; Palma, G.; Hou, T.; Bilenker, L.D. Formation of iron oxide-apatite deposits. Nat. Rev. Earth Environ. 2022, 3, 758–775. [Google Scholar] [CrossRef]
- Tornos, F.; Hanchar, J.M.; Steele-MacInnis, M.; Crespo, E.; Kamenetsky, V.S.; Casquet, C. Formation of magnetite- (apatite) systems by crystallizing ultrabasic iron-rich melts and slag separation. Miner. Depos. 2024, 59, 189–225. [Google Scholar] [CrossRef]
- Bain, W.M.; Steele-macinnis, M.; Tornos, F.; Hanchar, J.M.; Creaser, E.C.; Pietruszka, D.K. Evidence for iron-rich sulfate melt during magnetite (-apatite) mineralization at El Laco, Chile. Geology 2021, 49, 1044–1048. [Google Scholar] [CrossRef]
- Pietruszka, D.K.; Hanchar, J.M.; Tornos, F.; Wirth, R.; Graham, N.A.; Severin, K.P.; Velasco, F.; Steele-Maclnnis, M.; Bain, W.M. Magmatic immiscibility and the origin of magnetite-(apatite) iron deposits. Nat. Commun. 2023, 14, 8424. [Google Scholar] [CrossRef]
- Martinsson, O.; Billström, K.; Broman, C.; Weihed, P.; Wanhainen, C. Metallogeny of the Northern Norrbotten Ore Province, northern Fennoscandian Shield with emphasis on IOCG and apatite-iron ore deposits. Ore Geol. Rev. 2016, 78, 447–492. [Google Scholar] [CrossRef]
- Rojas, P.A.; Barra, F.; Deditius, A.; Reich, M.; Simon, A.C.; Roberts, M.; Rojo, M. New contributions to the understanding of Kiruna-type iron oxide-apatite deposits revealed by magnetite ore and gangue mineral geochemistry at the El Romeral deposit, Chile. Ore Geol. Rev. 2018, 93, 413–435. [Google Scholar] [CrossRef]
- Coble, M.A.; Mahood, G.A. Geology of the High Rock caldera complex, northwest Nevada, and implications for intense rhyolitic volcanism associated with flood basalt magmatism and the initiation of the Snake River Plain-Yellowstone trend. Geosphere 2015, 12, 58–113. [Google Scholar] [CrossRef]
- Bain, W.M.; Steele-Macinnis, M.; Li, K.; Li, L.; Mazdab, F.K.; Marsh, E.E. A fundamental role of carbonate–sulfate melts in the formation of iron oxide–apatite deposits. Nat. Geosci. 2020, 13, 751–757. [Google Scholar] [CrossRef]
- Mao, J.W.; Xie, G.Q.; Duan, C.; Pirajno, F.; Ishiyama, D.; Chen, Y.C. A tectono–genetic model for porphyry–skarn–stratabound Cu–Au–Mo–Fe and magnetite–apatite deposits along the middle-lower Yangtze River Valley, Eastern China. Ore Geol. Rev. 2011, 43, 294–314. [Google Scholar] [CrossRef]
- Zhou, T.F.; Fan, Y.; Yuan, F.; Zhong, G.X. Progress of geological study in the Middle-Lower Yangtze River Valley metallogenic belt. Acta Petrol. Sin. 2012, 28, 3051–3066, (In Chinese with English abstract). [Google Scholar]
- Duan, C.; Li, Y.H.; Mao, J.W.; Zhu, Q.Q.; Xie, G.Q.; Wan, Q.; Jian, W.; Hou, K.J. The role of evaporite layers in the ore-forming processes of iron oxide-apatite and skarn Fe deposits: Examples from the middle-lower Yangtze River metallogenic Belt, East China. Ore Geol. Rev. 2021, 138, 104352. [Google Scholar] [CrossRef]
- Corriveau, L.; Montreuil, J.F.; Potter, E.G. Alteration facies linkages among iron oxide copper-gold, iron oxide-apatite, and affiliated deposits in the Great Bear Magmatic Zone, Northwest Territories, Canada. Econ. Geol. 2016, 111, 2045–2072. [Google Scholar] [CrossRef]
- Levresse, G.; Tornos, F.; Velasco, F.; Corona-Esquivel, R. Subaerial explosive deposition of magnetite-apatite mineralization: The Artillero deposit, Peña Colorada district, Colima, Mexico. Ore Geol. Rev. 2020, 126, 103736. [Google Scholar] [CrossRef]
- Sepidbar, F.; Ghorbani, G.; Simon, A.C.; Ma, J.L.; Palin, R.M.; Homam, S.M. Formation of the Chah-Gaz iron oxide-apatite ore (IOA) deposit, Bafq District, Iran: Constraints from halogens, trace element concentrations, and Sr-Nd isotopes of fluorapatite. Ore Geol. Rev. 2022, 140, 104599. [Google Scholar] [CrossRef]
- Dare, S.A.S.; Barnes, S.; Beaudoin, G. Did the massive magnetite “lava flows” of El Laco (Chile) form by magmatic or hydrothermal processes? New constraints from magnetite composition by LA-ICP-MS. Miner. Depos. 2015, 50, 607–617. [Google Scholar] [CrossRef]
- Tornos, F.; Velasco, F.; Hanchar, J.M. Iron-rich melts, magmatic magnetite, and superheated hydrothermal systems: The El laco deposit, Chile. Geology 2016, 44, 427–430. [Google Scholar] [CrossRef]
- Tornos, F.; Velasco, F.; Hanchar, J.M. The magmatic to magmatic-hydrothermal evolution of the El Laco deposit (Chile) and its implications for the genesis of magnetite–apatite deposits. Econ. Geol. 2017, 112, 1595–1628. [Google Scholar] [CrossRef]
- Knipping, J.L.; Bilenker, L.D.; Simon, A.C.; Reich, M.; Barra, F.; Deditius, A.P.; Wälle, M.; Heinrich, C.A.; Holtz, F.; Munizaga, R. Trace elements in magnetite from massive iron oxide-apatite deposits indicate a combined formation by igneous and magmatic-hydrothermal processes. Geochim. Cosmochim. Acta 2015, 171, 15–38. [Google Scholar] [CrossRef]
- Li, W.; Audétat, A.; Zhang, J. The role of evaporites in the formation of magnetite–apatite deposits along the Middle and Lower Yangtze River, China: Evidence from LA–ICP–MS analysis of fluid inclusions. Ore Geol. Rev. 2015, 67, 264–278. [Google Scholar] [CrossRef]
- Hofstra, A.H.; Meighan, C.J.; Song, X.Y.; Samson, L.; Marsh, E.E.; Lowers, H.A.; Emsbo, P.; Hunt, A.G. Mineral thermometry and fluid inclusion studies of the Pea Ridge iron oxide–apatite–rare earth element deposit, Mesoproterozoic St. Francois Mountains terrane, Southeast Missouri, USA. Econ. Geol. 2016, 111, 1985–2016. [Google Scholar] [CrossRef]
- Cofré, E.; Reich, M.; Ovalle, J.T.; Palma, G.; Barra, F.; Deditius, A.; Simon, A.C.; Roberts, M.; Jicha, B.R. Origin of Volcanic-Hosted magnetite at the Laguna Del Maule Complex, Chile: A new example of Andean iron oxide-apatite mineralization. Econ. Geol. 2024, 199, 1393–1411. [Google Scholar] [CrossRef]
- Li, Y.H.; Xie, G.Q.; Duan, C.; Han, D.; Wang, C.Y. Effect of sulfate evaporate salt layer over the formation of skarn-type iron ores. Acta Geol. Sci. 2013, 87, 1324–1334, (In Chinese with English abstract). [Google Scholar] [CrossRef]
- Li, Y.H.; Duan, C.; Han, D.; Chen, X.W.; Wang, C.L.; Yang, B.Y.; Zhang, C.; Liu, F. Effect of sulfate evaporate salt layer for formation of porphyrite iron ores in the Middle-Lower Yangtze River area. Acta Petrol. Sin. 2014, 30, 1355–1368, (In Chinese with English abstract). [Google Scholar]
- Xu, X.Y.; Bain, W.M.; Tornos, F.; Hanchar, J.M.; Lamadrid, H.M.; Lehmann, B.; Xu, X.C.; Steadman, J.A.; Bottrill, R.S.; Soleymani, M.; et al. Magnetite-apatite ores record widespread involvement of molten salts. Geology 2024, 52, 417–422. [Google Scholar] [CrossRef]
- Zhao, X.F.; Zeng, L.P.; Liao, W.; Fan, Y.Z.; Hofstra, A.H.; Emsbo, E.; Hu, H.; Wen, G.; Li, J.W. Iron oxide-apatite deposits form from hydrosaline liquids exsolved from subvolcanic intrusions. Miner. Depos. 2024, 59, 655–669. [Google Scholar] [CrossRef]
- Zeng, L.P.; Spandler, C.; Liu, Y.Y.; Hammerli, J.; Liao, W.; Hu, H.; Olsson, S.; Zhang, D.X.; He, T.; Li, J.W.; et al. The role of evaporites in Kiruna-type iron oxide-apatite deposits in the Northern Norrbotten region, Sweden: Evidence from in situ halogen analyses of scapolite. Chem. Geol. 2025, 694, 123009. [Google Scholar] [CrossRef]
- Duan, C.; Li, Y.H.; Mao, J.W.; Wang, C.L.; Yang, B.Y.; Hou, K.J.; Wang, Q.; Li, W. Study on the ore-forming process of the Heshangqiao IOA deposit in the Ningwu ore district: Insight from magnetite LA-ICP-MS in-situ analysis data. Acta Petrol. Sin. 2017, 33, 3471–3483, (In Chinese with English abstract). [Google Scholar]
- Yuan, S.D.; Hou, K.J.; Liu, M. Timing of mineralization and geodynamic framework of iron-oxide-apatite deposits in Ningwu Cretaceous basin in the Middle-Lower Reaches of the Yangtze River, China Conatraints form Ar-Ar dating on phlogopites. Acta Petrol. Sin. 2010, 26, 797–808, (In Chinese with English abstract). [Google Scholar]
- Yu, J.J.; Chen, Y.C.; Mao, J.W.; Pirajno, F.; Duan, C. Review of geology, alteration and origin of iron oxide-apatite deposit in the Cretaceous Ningwu basin, Lower Yangtze River Valley, eastern China: Implications for ore genesis and geodynamic setting. Ore Geol. Rev. 2011, 43, 170–181. [Google Scholar] [CrossRef]
- Nadoll, P.; Thomas, A.; Jeffrey, L.M.; David, F.; John, W. The chemistry of hydrothermal magnetite: A review. Ore Geol. Rev. 2014, 61, 1–32. [Google Scholar] [CrossRef]
- Dare, S.A.S.; Barnes, S.J.; Beaudoin, G.; Méric, J.; Boutroy, E.; Potvin-Doucet, C. Trace elements in magnetite as petrogenetic indicators. Miner. Depos. 2014, 49, 785–796. [Google Scholar] [CrossRef]
- Huang, X.W.; Qi, L.; Meng, Y.M. Trace element geochemistry of magnetite from the Fe (-Cu) deposits in the Hami region, eastern Tianshan Orogenic Belt, NW China. Acta Geol. Sin. 2014, 88, 176–195. [Google Scholar] [CrossRef]
- Dong, H. Study on Mineralogical and Geochemical Characteristics of Different Genesis Types of Hematite in the Middle-Lower Yangtze River Valley Metallogenic Belt. Master’s Thesis, Hefei University of Technology, Hefei, China, 2018. (In Chinese with English abstract). [Google Scholar]
- Huang, X.W.; Boutroy, É.; Makvandi, S.; Beaudoin, G.; Corriveau, L.; De Toni, A.F. Trace element composition of iron oxides from IOCG and IOA deposits: Relationship to hydrothermal alteration and deposit subtypes. Miner. Depos. 2019, 54, 525–552. [Google Scholar] [CrossRef]
- Nederbo, J. Vanadium Partitioning Between Magnetite, Hematite, and a Hydrothermal Fluid: Implications for IOCG and IOA Deposits. Master’s Thesis, Northern Illionis University, DeKalb, IL, USA, 2023. [Google Scholar]
- Zhou, T.F.; Fan, Y.; Yuan, F.; Zhang, L.J.; Ma, L.; Qian, B.; Xie, J. Petrogensis and Metallogeny Study of Volcanic Basins in the Middle and Lower Yangtze Metallogenic Belt. Acta Geol. Sin. 2011, 85, 712–730, (In Chinese with English abstract). [Google Scholar]
- Zhang, M.M.; Zhou, T.F.; Yuan, F.; Li, X.H.; Li, X.Y.; Jia, C. Reserves Estimation of Porphyry Iron Deposit in the Middle-Lower Reaches of Yangtze River Area, China. Acta Geol. Sin. 2011, 85, 1215–1222, (In Chinese with English abstract). [Google Scholar]
- Duan, C.; Li, Y.H.; Mao, J.W.; Hou, K.J.; Wang, C.L.; Yang, B.Y.; Wang, Q.; Li, W. Ore formation at the Washan iron oxide–apatite deposit in the Ningwu Ore District, eastern China: Insights from in situ LA-ICP-MS magnetite trace element geochemistry. Ore Geol. Rev. 2019, 112, 103064. [Google Scholar] [CrossRef]
- Zhao, X.F.; Zeng, L.P.; Liao, W.; Li, W.T.; Hu, H.; Li, J.W. An overview of recent advances in porphyrite iron (iron oxide-apatite, IOA) deposits in the Middle-Lower Yangtze River Valley Metallogenic Belt and its implication for ore genesis. Earth Sci. Front. 2020, 27, 197–217, (In Chinese with English abstract). [Google Scholar] [CrossRef]
- Ningwu Research Group. Magnetite Porphyry Deposits in Ningwu Area; Geological Publishing House: Beijing, China, 1978; pp. 1–196. (In Chinese) [Google Scholar]
- Mao, J.W.; Duan, C.; Liu, J.L.; Zhang, C. Metallogeny and corresponding mineral deposit model of the Cretaceous terrestrial volcanic-intrusive rocks-related polymetallic iron deposits in Middle-Lower Yangtze River Valley. Acta Petrol. Sin. 2012, 28, 1–14, (In Chinese with English abstract). [Google Scholar]
- Duan, C.; Li, Y.H.; Mao, J.W.; Wan, Q.; He, S.; Wang, C.L.; Yang, B.Y.; Hou, K.J. Zircon u–pb ages, hf-o isotopes and trace elements of the multi-volcanism in the Ningwu ore district, eastern China: Implications for the magma evolution and fertility of iron oxide–apatite (IOA) deposits. Gondwana Res. 2023, 116, 149–167. [Google Scholar] [CrossRef]
- Duan, C.; Li, Y.H.; Mao, J.W.; Hou, K.J.; Yuan, S.D. Zircon trace element characteristics of intrusions in the Washan iron deposit of Ningwu volcanic basin and their geological significance. China Geol. 2012, 39, 1874–1884, (In Chinese with English abstract). [Google Scholar]
- Liu, Y.S.; Hu, Z.C.; Gao, S.; Günther, D.; Xu, J.; Gao, C.G.; Chen, H.H. In situ analysis of major and trace elements of anhydrous minerals by LA-ICP-MS without applying an internal standard. Chem. Geol. 2008, 257, 34–43. [Google Scholar] [CrossRef]
- Canil, D.; Lacourse, T. Geothermometry using minor and trace elements in igneous and hydrothermal magnetite. Chem. Geol. 2020, 541, 119576. [Google Scholar] [CrossRef]
- Qian, X.; Hou, T.; Wang, X.D.; Qin, J.Y.; Wang, S.J.; Yang, B.W.; Yu, Y.Y. Genesis of magnetite in volcanic-hosted iron ores of Zhonggu ore field in Ningwu Basin and its geological significance. Miner. Depos. 2025, 44, 969–982. [Google Scholar] [CrossRef]
- Dupuis, C.; Beaudoin, G. Discriminant diagrams for iron oxide trace element fingerprinting of mineral deposit types. Miner. Depos. 2011, 46, 319–335. [Google Scholar] [CrossRef]
- Nadoll, P.; Mauk, J.L.; Hayes, T.S.; Koenig, A.E.; Box, S.E. Geochemistry of magnetite from hydrothermal ore deposits and host rocks of the Mesoproterozoic Belt Supergroup, United States. Econ. Geol. 2012, 107, 1275–1292. [Google Scholar] [CrossRef]
- Broughm, S.G.; Hanchar, J.M.; Tornos, F.; Westhues, A.; Attersley, S. Mineral chemistry of magnetite from magnetite-apatite mineralization and their host rocks: Examples from Kiruna, Sweden, and El Laco, Chile. Miner. Depos. 2017, 52, 1223–1244. [Google Scholar] [CrossRef]
- Adak, S.; Pal, D.C. Texture and geochemistry of magnetite in banded magnetite quartzite from Turamdih and Mohuldih, Singhbhum Shear Zone, eastern India: Implications for their origin. J. Earth Syst. Sci. 2025, 134, 120. [Google Scholar] [CrossRef]
- Lindsley, D.H. Experimen staudies of oxide minerals. Rev. Mineral. Geochem. 1991, 25, 69–106. [Google Scholar]
- Rapp, J.F.; Klemme, S.; Butler, I.B.; Harley, S.L. Extremely high solubility of rutile in chloride and fluoride: An experimental investigation. Geology 2010, 38, 323–326. [Google Scholar] [CrossRef]
- Hu, H.; Lentz, D.; Li, J.; McCarron, T.; Zhao, X.; Hall, D. Reequilibration processes in magnetite from iron skarn deposits. Econ. Geol. 2015, 110, 1–8. [Google Scholar] [CrossRef]
- Wen, G.; Li, J.W.; Hofstra, A.H.; Koenig, A.E.; Lowers, H.A.; Adams, D. Hydrothermal reequilibration of igneous magnetite in altered granitic plutons and its implications for magnetite classification schemes: Insights from the handan-xingtai iron district, north china craton. Geochim. Cosmochim. Acta 2017, 213, 255–270. [Google Scholar] [CrossRef]
- Keyser, W.; Ciobanu, C.L.; Cook, N.J.; Dmitrijeva, M.; Courtney-Davies, L.; Feltus, H.; Gilbert, S.; Johnson, G.; Ehrig, K. Iron-oxides constrain BIF evolution in terranes with protracted geological histories: The Iron Count prospect, Middleback Ranges, South Australia. Lithos 2019, 324–325, 20–38. [Google Scholar] [CrossRef]
- Huang, X.W.; Zhou, M.F.; Qiu, Y.Z.; Qi, L. In-situ LA-ICP-MS trace elemental analyses of magnetite: The Bayan Obo Fe-REE-Nb deposit, North China. Ore Geol. Rev. 2015, 65, 884–899. [Google Scholar] [CrossRef]
- Huang, X.W.; Gao, J.F.; Qi, L.; Meng, Y.C.; Dai, Z.H. In-situ LA–ICP–MS trace elements analysis of magnetite: The Fenghuangshan Cu–Fe–Au deposit, Tongling, Eastern China. Ore Geol. Rev. 2016, 72, 746–759. [Google Scholar] [CrossRef]
- Keyser, W.; Ciobanu, L.C.; Cook, N.J.; Johnson, G.; Feltus, H.; Johnson, S.; Dmitrijeva, M.; Ehrig, K.; Nguyen, P.T. Petrography and trace element signatures of iron-oxides in deposits from the Middleback Ranges, South Australia: From banded iron formation to ore. Ore Geol. Rev. 2018, 93, 337–360. [Google Scholar] [CrossRef]
- Toplis, M.J.; Corgne, A. An experimental study of element partitioning between magnetite, clinopyroxene and iron-bearing silicate liquids with particular emphasis on vanadium. Contrib. Mineral. Petrol. 2002, 144, 22–37. [Google Scholar] [CrossRef]









Disclaimer/Publisher’s Note: The statements, opinions and data contained in all publications are solely those of the individual author(s) and contributor(s) and not of MDPI and/or the editor(s). MDPI and/or the editor(s) disclaim responsibility for any injury to people or property resulting from any ideas, methods, instructions or products referred to in the content. |
© 2025 by the authors. Licensee MDPI, Basel, Switzerland. This article is an open access article distributed under the terms and conditions of the Creative Commons Attribution (CC BY) license.
Share and Cite
He, Y.; Duan, C.; Hou, K.; Kong, Z.; Yuan, S.; Wang, C.; Yang, B.; Yang, X.; Che, X.; Zhang, J.; et al. Trace Element Characteristics of Magnetite and Hematite from the Heshangqiao Iron Oxide–Apatite Deposit in Eastern China: Implications for the Ore-Forming Processes. Minerals 2026, 16, 7. https://doi.org/10.3390/min16010007
He Y, Duan C, Hou K, Kong Z, Yuan S, Wang C, Yang B, Yang X, Che X, Zhang J, et al. Trace Element Characteristics of Magnetite and Hematite from the Heshangqiao Iron Oxide–Apatite Deposit in Eastern China: Implications for the Ore-Forming Processes. Minerals. 2026; 16(1):7. https://doi.org/10.3390/min16010007
Chicago/Turabian StyleHe, Yutian, Chao Duan, Kejun Hou, Zhigang Kong, Shunda Yuan, Conglin Wang, Bingyang Yang, Xifei Yang, Xinliang Che, Jiaxin Zhang, and et al. 2026. "Trace Element Characteristics of Magnetite and Hematite from the Heshangqiao Iron Oxide–Apatite Deposit in Eastern China: Implications for the Ore-Forming Processes" Minerals 16, no. 1: 7. https://doi.org/10.3390/min16010007
APA StyleHe, Y., Duan, C., Hou, K., Kong, Z., Yuan, S., Wang, C., Yang, B., Yang, X., Che, X., Zhang, J., & Gao, X. (2026). Trace Element Characteristics of Magnetite and Hematite from the Heshangqiao Iron Oxide–Apatite Deposit in Eastern China: Implications for the Ore-Forming Processes. Minerals, 16(1), 7. https://doi.org/10.3390/min16010007
