The Role of Reduced Surface Sulfur Species in the Removal of Se(VI) by Sulfidized Nano Zero-Valent Iron
Abstract
1. Introduction
2. Materials and Methods
2.1. Material and Chemical Reagents
2.2. Batch Experiments
2.3. Characterization of ZVI Particles
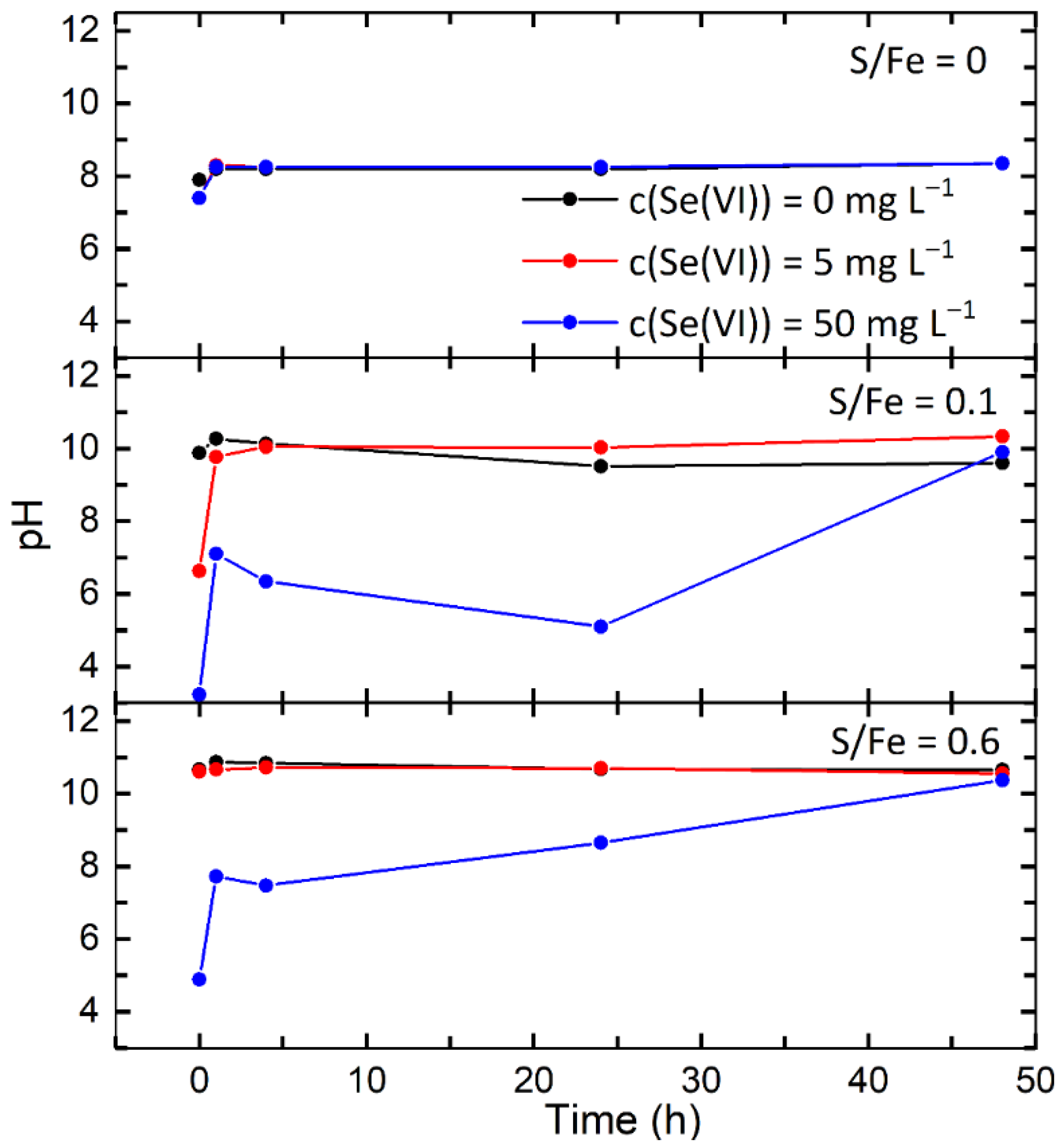
3. Results and Discussion
3.1. Reaction of S-nZVI in the Absence of Se
3.2. Reaction of S-nZVI in the Presence of Se
3.3. Effect of Sulfidation on Se Removal
4. Conclusions and Environmental Implications
Supplementary Materials
Author Contributions
Funding
Data Availability Statement
Acknowledgments
Conflicts of Interest
References
- Tang, C.; Huang, Y.H.; Zeng, H.; Zhang, Z. Reductive removal of selenate by zero-valent iron: The roles of aqueous Fe2+ and corrosion products, and selenate removal mechanisms. Water Res. 2014, 67, 166–174. [Google Scholar] [CrossRef] [PubMed]
- Qin, H.; Li, J.; Yang, H.; Pan, B.; Zhang, W.; Guan, X. Coupled effect of ferrous ion and oxygen on the electron selectivity of zerovalent iron for selenate sequestration. Environ. Sci. Technol. 2017, 51, 5090–5097. [Google Scholar] [CrossRef] [PubMed]
- Li, J.; Zhang, X.; Sun, Y.; Liang, L.; Pan, B.; Zhang, W.; Guan, X. Advances in sulfidation of zerovalent iron for water decontamination. Environ. Sci. Technol. 2017, 51, 13533–13544. [Google Scholar] [CrossRef] [PubMed]
- Fan, D.; Lan, Y.; Tratnyek, P.G.; Johnson, R.L.; Filip, J.; O’Carroll, D.M.; Nunez Garcia, A.; Agrawal, A. Sulfidation of ironbased materials: A review of processes and implications for water treatment and remediation. Environ. Sci. Technol. 2017, 51, 13070–13085. [Google Scholar] [CrossRef]
- Li, J.; Zhang, X.; Liu, M.; Pan, B.; Zhang, W.; Shi, Z.; Guan, X. Enhanced reactivity and electron selectivity of sulfidated zerovalent iron toward chromate under aerobic conditions. Environ. Sci. Technol. 2018, 52, 2988–2997. [Google Scholar] [CrossRef]
- Li, H.; Zhang, J.; Gu, K.; Li, J. Sulfidation of zerovalent iron for improving the selectivity toward Cr(VI) in oxic water: Involvements of FeSx. J. Hazard. Mat. 2020, 409, 124498. [Google Scholar] [CrossRef]
- Fan, P.; Sun, Y.; Zhou, B.; Guan, X. Coupled effect of sulfidation and ferrous dosing on selenate removal by zerovalent iron under aerobic conditions. Environ. Sci. Technol. 2019, 53, 14577–14585. [Google Scholar] [CrossRef]
- Gong, Y.; Gai, L.; Tang, J.; Fu, J.; Wang, Q.; Zeng, E.Y. Reduction of Cr(VI) in simulated groundwater by FeS-coated iron magnetic nanoparticles. Sci. Total Environ. 2017, 595, 743–751. [Google Scholar] [CrossRef]
- Zhang, S.; Peiffer, S.; Liao, X.; Yang, Z.; Ma, X.; He, D. Sulfidation of ferric (hydr)oxides and its implication on contaminants transformation: A review. Sci. Total Environ. 2022, 816, 151574. [Google Scholar] [CrossRef]
- Hockmann, K.; Planer-Friedrich, B.; Johnston, S.; Peiffer, S.; Burton, E. Antimony mobility in sulfidic systems: Coupling with sulfide-induced iron oxide transformations. Geochim. Cosmochim. Acta 2020, 282, 276–296. [Google Scholar] [CrossRef]
- Zhou, J.; Chen, S.; Liu, J.; Frost, R.L. Adsorption kinetic and species variation of arsenic for As(V) removal by biologically mackinawite (FeS). Chem. Eng. J. 2018, 354, 237–244. [Google Scholar] [CrossRef]
- Mullet, M.; Boursiquot, S.; Ehrhardt, J.-J. Removal of hexavalent chromium from solutions by mackinawite, tetragonal FeS. Colloids Surf. A Physicochem. Eng. Asp. 2004, 244, 77–85. [Google Scholar] [CrossRef]
- Patterson, R.R.; Fendorf, S.; Fendorf, M. Reduction of Hexavalent Chromium by Amorphous Iron Sulfide. Environ. Sci. Technol. 1997, 31, 2039–2044. [Google Scholar] [CrossRef]
- Han, D.S.; Batchelor, B.; Abdel-Wahab, A. Sorption of selenium(IV) and selenium(VI) to mackinawite (FeS): Effect of contact time, extent of removal, sorption envelopes. J. Hazard. Mater. 2011, 186, 451–457. [Google Scholar] [CrossRef] [PubMed]
- Fordyce, F.M. Selenium Deficiency and Toxicity in the Environment. In Essentials of Medical Geology; Selinus, O., Ed.; Springer: Dordrecht, The Netherlands, 2013; pp. 375–416. [Google Scholar]
- Paikaray, S.; Peiffer, S. Selenium enrichment, partitioning and leachability along semi-arid soils of NE Punjab, India. Environ. Earth Sci. 2024, 83, 272. [Google Scholar] [CrossRef]
- Benis, K.Z.; McPhedran, K.N.; Soltan, J. Selenium removal from water using adsorbents: A critical review. J. Hazard. Mater. 2022, 424, 127603. [Google Scholar] [CrossRef]
- Meher, A.K.; Jadhav, A.; Labhsetwar, N.; Bansiwal, A. Simultaneous removal of selenite and selenate from drinking water using mesoporous activated alumina. Appl. Water Sci. 2020, 10, 10. [Google Scholar] [CrossRef]
- Yoon, I.H.; Kim, K.W.; Bang, S.; Kim, M.G. Reduction and adsorption mechanisms of selenate by zero-valent iron and related iron corrosion. Appl. Catal B 2011, 104, 185–192. [Google Scholar] [CrossRef]
- Semerád, J.; Filip, J.; Ševců, A.; Brumovský, M.; Nguyen, N.H.A.; Mikšíček, J.; Lederer, T.; Filipová, A.; Boháčková, J.; Cajthaml, T. Environmental fate of sulfidated nZVI particles: The interplay of nanoparticle corrosion and toxicity during aging. Environ. Sci. Nano 2020, 7, 1794–1806. [Google Scholar] [CrossRef]
- Tamura, H.; Goto, K.; Yotsuyanagi, T.; Nagayama, M. Spectrophotometric Determination of Iron(II) with 1,10-Phenanthroline in the Presence of large Amounts of Iron(III). Talanta 1974, 21, 314–318. [Google Scholar] [CrossRef]
- Ravel, R.; Newville, M. ATHENA, ARTEMIS, HEPHAESTUS: Data analysis for X-ray absorption spectroscopy using IFEFFIT. J. Synchrotron Radiat. 2005, 12, 537–541. [Google Scholar] [CrossRef]
- Canfield, D.E. Reactive iron in marine sediments. Geochim. Cosmochim. Acta 1989, 53, 619–632. [Google Scholar] [CrossRef] [PubMed]
- Budd, M.S.; Bewick, H.A. Photometric determination of sulfide and reducible sulfur in alkalies. Anal. Chem. 1952, 24, 1536–1540. [Google Scholar] [CrossRef]
- Brumovský, M.; Filip, J.; Malina, O.; Oborná, J.; Sracek, O.; Reichenauer, T.G.; Andrýsková, P.; Zbořil, R. Core–shell Fe/FeS nanoparticles with controlled shell thickness for enhanced trichloroethylene removal. ACS Appl. Mater. Interfaces 2020, 12, 35424–35434. [Google Scholar] [CrossRef] [PubMed]
- Ribas, D.; Černík, M.; Benito, J.A.; Filip, J.; Marti, V. Activation process of air stable nanoscale zero-valent iron particles. Chem. Eng. J. 2017, 320, 290–299. [Google Scholar] [CrossRef]
- Brumovský, M.; Oborná, J.; Lacina, P.; Hegedüs, M.; Sracek, O.; Kolařík, J.; Petr, M.; Kaslik, J.; Hofmann, T.; Filip, J. Sulfidated nano-scale zerovalent iron is able to effectively reduce in situ hexavalent chromium in a contaminated aquifer. J. Hazard. Mater. 2021, 405, 124665. [Google Scholar] [CrossRef]
- Cornell, R.M.; Schwertmann, U. The Iron Oxides: Structure, Properties, Reactions, Occurrences, and Uses; Wiley-VCH: Weinheim, Germany, 2003. [Google Scholar]
- Gupta, R.P.; Sen, S.K. Calculation of multiplet structure of core p-vacancy levels. II. Phys. Rev. B 1975, 12, 15. [Google Scholar] [CrossRef]
- Biesinger, M.C.; Payne, B.P.; Grosvenor, A.P.; Lau, L.W.M.; Gerson, A.R.; Smart, R.S.C. Resolving surface chemical states in XPS analysis of first row transition metals, oxides and hydroxides: Cr, Mn, Fe, Co and Ni. Appl. Surf. Sci. 2011, 257, 2717–2730. [Google Scholar] [CrossRef]
- Li, X.Q.; Zhang, W.X. Sequestration of metal cations with zerovalent iron nanoparticles a study with high resolution X-ray photoelectron spectroscopy (HR-XPS). J. Phys. Chem. C 2007, 111, 6939–6946. [Google Scholar] [CrossRef]
- Pratt, A.R.; Muir, I.J.; Nesbitt, H.W. X-ray photoelectron and Auger electron spectroscopic studies of pyrrhotite and mechanism of air oxidation. Geochim. Cosmochim. Acta 1994, 58, 827–841. [Google Scholar] [CrossRef]
- Wan, M.; Shchukarev, A.; Lohmayer, R.; Planer-Friedrich, B.; Peiffer, S. Occurrence of surface polysulphides during the interaction between ferric (hydr)oxides and aqueous sulphide. Environ. Sci. Technol. 2014, 48, 5076–5084. [Google Scholar] [CrossRef] [PubMed]
- Fantauzzi, M.; Elsener, B.; Atzei, D.; Rigoldi, A.; Rossi, A. Exploiting XPS for the identification of sulfides and polysulfides. RSC Adv. 2015, 5, 75953–75963. [Google Scholar] [CrossRef]
- Cao, Z.; Liu, X.; Xu, J.; Zhang, J.; Yang, Y.; Zhou, J.L.; Xu, X.; Lowry, G.V. Removal of antibiotic florfenicol by sulfide-modified nanoscale zero-valent iron. Environ. Sci. Technol. 2017, 51, 11269–11277. [Google Scholar] [CrossRef] [PubMed]
- Hellige, K.; Pollok, K.; Larese-Casanova, P.; Behrends, T.; Peiffer, S. Pathways of ferrous iron mineral formation upon sulfidation of lepidocrocite surfaces. Geochim. Cosmochim. Acta 2012, 81, 69–81. [Google Scholar] [CrossRef]
- Xia, X.; Ling, L.; Zhang, W.X. Solution and surface chemistry of the Se (IV)-Fe (0) reactions: Effect of initial solution pH. Chemosphere 2017, 168, 1597–1603. [Google Scholar] [CrossRef]
- Shimada, K.; Mizokawa, T.; Mamiya, K.; Saitoh, T.; Fujimori, A.; Kamimura, T. Fe chalcogenides by X-ray photoemission spectroscopy. Surf. Sci. Spectra 1999, 6, 321–336. [Google Scholar] [CrossRef]
- Gu, Y.; Wang, B.; He, F.; Bradley, M.J.; Tratnyek, P.G. Mechanochemically sulfidated microscale zero valent iron: Pathways, kinetics, mechanism, and efficiency of trichloroethylene dechlorination. Environ. Sci. Technol. 2017, 1, 12653. [Google Scholar] [CrossRef]
- Peiffer, S.; Behrends, T.; Hellige, K.; Larese-Casanova, P.; Wan, M.; Pollok, K. Pyrite formation and mineral transformation pathways upon sulfidation of ferric hydroxides depend on mineral type and sulfide concentration. Chem. Geol. 2015, 400, 44–55. [Google Scholar] [CrossRef]
- Rickard, D.; Morse, J.W. Acid volatile sulfide (AVS). Mar. Chem. 2005, 97, 141–197. [Google Scholar] [CrossRef]
- Su, Y.; Adeleye, A.S.; Keller, A.A.; Huang, Y.; Dai, C.; Zhou, X.; Zhang, Y. Magnetic sulfide-modified nanoscale zerovalent iron (S-nZVI) for dissolved metal ion removal. Water Res. 2015, 74, 47–57. [Google Scholar] [CrossRef]
- Wu, D.; Peng, S.; Yan, K.; Shao, B.; Feng, Y.; Zhang, Y. Enhanced As (III) sequestration using sulfide-modified nano-scale zero-valent iron with a characteristic core–shell structure: Sulfidation and as distribution. ACS Sustain. Chem. Eng. 2018, 6, 3039–3048. [Google Scholar] [CrossRef]
- Shao, Q.; Xu, C.; Wang, Y.; Huang, S.; Zhang, B.; Huang, L.; Tratnyek, P.G. Dynamic interactions between sulfidated zerovalent iron and dissolved oxygen: Mechanistic insights for enhanced chromate removal. Water Res. 2018, 135, 322–330. [Google Scholar] [CrossRef]
- Lv, D.; Zhou, J.; Cao, Z.; Xu, J.; Liu, Y.; Li, Y.; Yang, K.; Lou, Z.; Lou, L.; Xu, X. Mechanism and influence factors of chromium (VI) removal by sulfide-modified nanoscale zerovalent iron. Chemosphere 2019, 224, 306–315. [Google Scholar] [CrossRef]
- Lian, J.J.; Yang, M.; Wang, H.L.; Zhong, Y.; Chen, B.; Huang, W.L.; Peng, P.A. Enhanced molybdenum (VI) removal using sulfide-modified nanoscale zerovalent iron: Kinetics and influencing factors. Water Sci. Technol. 2021, 83, 297–308. [Google Scholar] [CrossRef]
- Zhang, Y.; Qiao, P.; Duan, Z.; Xu, C. Dominant pathways of FeSx formation and evolution during sulfidation of zero-valent iron by different sulfur agents. Sep. Purif. Technol. 2024, 330, 125280. [Google Scholar] [CrossRef]
- Wan, M.; Schröder, C.; Peiffer, S. Fe(III):S(-II) Concentration Ratio Controls the Pathway and the Kinetics of Pyrite Formation during Sulfidation of Ferric Hydroxides. Geochim. Cosmochim. Acta 2017, 217, 334–348. [Google Scholar] [CrossRef]
- Alexandratos, V.G.; Behrends, T.; van Cappellen, P. Sulfidization of lepidocrocite and its effect on uranium phase distribution and reduction. Geochim. Cosmochim. Acta 2014, 142, 570–586. [Google Scholar] [CrossRef]





| S/Fe Ratio | Reaction Time [h] | SeO42− Added [μmol g−1] | AVS [µmol g−1] | CRS [µmol g−1] | TRIS [µmol g−1] | Recovery of Total S as TRIS [%] | ||
|---|---|---|---|---|---|---|---|---|
| Mean | Std. Dev. (n = 2) | Mean | Std. Dev. (n = 2) | |||||
| 0 | 0 | 0 | 7.8 | 0.11 | 0.72 | 0.11 | ||
| 48 | 0 | 0.0 | - | 0.0 | - | 0.1 | ||
| 63 | 0.0 | - | 3.4 | - | 3.4 | |||
| 630 | 0.0 | - | 6.9 | 0.8 | 6.9 | |||
| 0.1 | 0 | 181.9 | 3.8 | 2.4 | 0.65 | 184.3 | 156 | |
| 48 | 0 | 39.4 | 24.5 | 45.9 | 15.8 | 85.3 | 63 | |
| 63 | 20.5 | 1.1 | 43.4 | 22.0 | 63.9 | |||
| 630 | 3.6 | - | 81.2 | 5.1 | 84.8 | |||
| 0.6 | 0 | 2120.0 | 102.4 | 11.2 | 1.1 | 2131.2 | 109 | |
| 48 | 0 | 458.0 | 157.5 | 864.3 | 321 | 1322.3 | 87 | |
| 63 | 116.7 | - | 1003.9 | 153 | 1120.7 | |||
| 630 | 115.6 | - | 1132.5 | - | 1248.1 | |||
| Samples | Before Reaction | After Reaction | |||
|---|---|---|---|---|---|
| Fe (%) | S (%) | Fe (%) | S (%) | Se (%) | |
| S/Fe = 0 | 100 | 0 | 95 | 0 | 5 |
| S/Fe = 0.1 | 94 | 6 | 83 | 0 | 17 |
| S/Fe = 0.6 | 76 | 24 | 70 | 10 | 20 |
Disclaimer/Publisher’s Note: The statements, opinions and data contained in all publications are solely those of the individual author(s) and contributor(s) and not of MDPI and/or the editor(s). MDPI and/or the editor(s) disclaim responsibility for any injury to people or property resulting from any ideas, methods, instructions or products referred to in the content. |
© 2026 by the authors. Licensee MDPI, Basel, Switzerland. This article is an open access article distributed under the terms and conditions of the Creative Commons Attribution (CC BY) license.
Share and Cite
Peiffer, S.; Mohanraj, J.; Hockmann, K.; Göttlicher, J.; Thelakkat, M.; Marouane, B. The Role of Reduced Surface Sulfur Species in the Removal of Se(VI) by Sulfidized Nano Zero-Valent Iron. Minerals 2026, 16, 68. https://doi.org/10.3390/min16010068
Peiffer S, Mohanraj J, Hockmann K, Göttlicher J, Thelakkat M, Marouane B. The Role of Reduced Surface Sulfur Species in the Removal of Se(VI) by Sulfidized Nano Zero-Valent Iron. Minerals. 2026; 16(1):68. https://doi.org/10.3390/min16010068
Chicago/Turabian StylePeiffer, Stefan, John Mohanraj, Kerstin Hockmann, Jörg Göttlicher, Mukundan Thelakkat, and Bouchra Marouane. 2026. "The Role of Reduced Surface Sulfur Species in the Removal of Se(VI) by Sulfidized Nano Zero-Valent Iron" Minerals 16, no. 1: 68. https://doi.org/10.3390/min16010068
APA StylePeiffer, S., Mohanraj, J., Hockmann, K., Göttlicher, J., Thelakkat, M., & Marouane, B. (2026). The Role of Reduced Surface Sulfur Species in the Removal of Se(VI) by Sulfidized Nano Zero-Valent Iron. Minerals, 16(1), 68. https://doi.org/10.3390/min16010068

