Late Carboniferous Slab Rollback in the Southern Altaids: Evidence from a Slab-Derived Adakitic Granodiorite in the South Tianshan
Abstract
1. Introduction
2. Geological Setting
3. Field Occurrence and Petrography
4. Analytical Method
4.1. Zircon U-Pb Geochronology
4.2. Zircon Lu-Hf Isotopes
4.3. Bulk-Rock Major and Trace Element Geochemistry
4.4. Bulk-Rock Sr and Nd Isotopes
5. Results
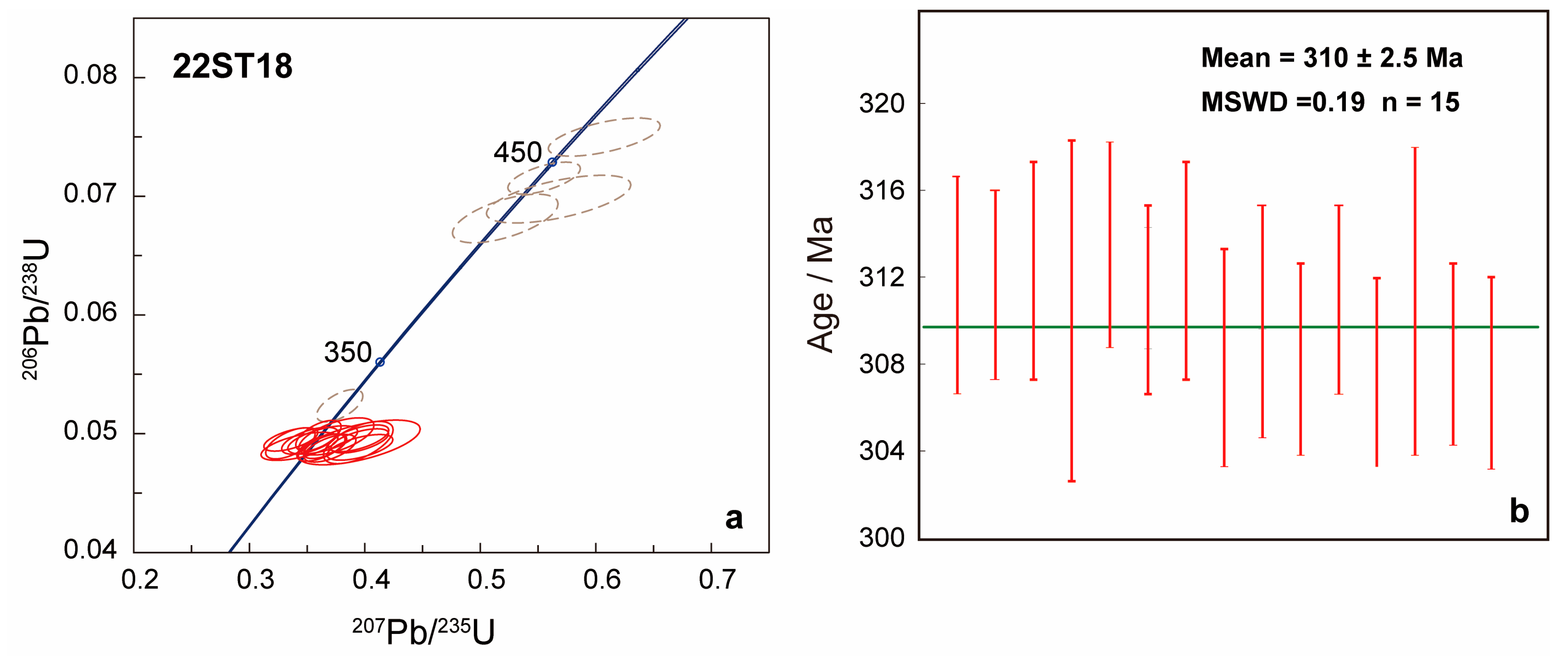
5.1. Zircon U-Pb Ages
5.2. Bulk-Rock Geochemistry
5.3. Zircon Hf and Bulk-Rock Sr and Nd Isotopes
6. Discussion
6.1. Petrogenesis and Magma Source


6.2. Tectonic Setting
6.3. Tectonic Implications
7. Conclusions
Author Contributions
Funding
Data Availability Statement
Acknowledgments
Conflicts of Interest
References
- Şengör, A.M.C.; Natal’In, B.A.; Burtman, V.S. Evolution of the Altaid tectonic collage and Palaeozoic crustal growth in Eurasia. Nature 1993, 364, 299–307. [Google Scholar] [CrossRef]
- Jahn, B.M.; Windley, B.F.; Natal, B.; Dobretsov, N. Phanerozoic continental growth in Central Asia. J. Asian Earth Sci. 2004, 23, 599–603. [Google Scholar] [CrossRef]
- Xiao, W.J.; Windley, B.F.; Sun, S.; Li, J.L.; Huang, B.C.; Han, C.M.; Yuan, C.; Sun, M.; Chen, H.L. A tale of amalgamation of three Permo-Triassic collage systems in Central Asia: Oroclines, sutures, and terminal accretion. Annu. Rev. Earth Planet. Sci. 2015, 43, 477–507. [Google Scholar] [CrossRef]
- He, Z.Y.; Klemd, R.; Yan, L.L.; Zhang, Z.M. The origin and crustal evolution of microcontinents in the Beishan orogen of the southern Central Asian Orogenic Belt. Earth-Sci. Rev. 2018, 185, 1–14. [Google Scholar] [CrossRef]
- Safonova, I.; Kotlyarov, A.; Krivonogov, S.; Xiao, W. Intra-oceanic arcs of the Paleo-Asian Ocean. Gondwana Res. 2017, 50, 167–194. [Google Scholar] [CrossRef]
- Şengör, A.M.C.; Sunal, G.; Natal, B.A.; van der Voo, R. The Altaids: A review of twenty-five years of knowledge accumulation. Earth-Sci. Rev. 2022, 228, 104013. [Google Scholar] [CrossRef]
- Wilhem, C.; Windley, B.F.; Stampfli, G.M. The Altaids of Central Asia: A tectonic and evolutionary innovative review. Earth-Sci. Rev. 2012, 113, 303–341. [Google Scholar] [CrossRef]
- Windley, B.F.; Alexeiev, D.; Xiao, W.; Kröner, A.; Badarch, G. Tectonic models for accretion of the Central Asian Orogenic Belt. J. Geol. Soc. Lond. 2007, 164, 31–47. [Google Scholar] [CrossRef]
- Li, H.D.; Zhou, J.B.; Wilde, S.A. Nature and development of the South Tianshan-Solonker suture zone. Earth-Sci. Rev. 2022, 233, 104189. [Google Scholar] [CrossRef]
- Dong, Y.P.; Zhang, G.W.; Neubauer, F.; Liu, X.M.; Hauzenberger, C.; Zhou, D.W.; Li, W. Syn-and post-collisional granitoids in the Central Tianshan orogen: Geochemistry, geochronology and implications for tectonic evolution. Gondwana Res. 2011, 20, 568–581. [Google Scholar] [CrossRef]
- Xia, L.Q.; Xu, X.Y.; Xia, Z.C.; Li, X.M.; Ma, Z.P.; Wang, L.S. Petrogenesis of Carboniferous rift-related volcanic rocks in the Tianshan, northwestern China. Geol. Soc. Am. Bull. 2004, 116, 419–433. [Google Scholar] [CrossRef]
- Charvet, J.; Shu, L.S.; Laurent-Charvet, S. Paleozoic structural and geodynamic evolution of Eastern Tianshan (NW China): Welding of the Tarim and Junggar plates. Episodes 2007, 30, 162–172. [Google Scholar]
- Alexeiev, D.V.; Biske, Y.S.; Djenchuraeva, A.V.; Kröner, A.; Getman, O.F. Late Carboniferous (Kasimovian) closure of the South Tianshan Ocean: No Triassic subduction. J. Asian Earth Sci. 2019, 173, 54–60. [Google Scholar] [CrossRef]
- Han, B.F.; He, G.Q.; Wang, X.C.; Guo, Z.J. Late Carboniferous collision between the Tarim and Kazakhstan-Yili terranes in the western segment of the South Tian Shan Orogen, Central Asia, and implications for the Northern Xinjiang, western China. Earth-Sci. Rev. 2011, 109, 74–93. [Google Scholar] [CrossRef]
- Han, Y.G.; Zhao, G.C. Final amalgamation of the Tianshan and Junggar orogenic collage in the southwestern Central Asian Orogenic Belt: Constraints on the closure of the Paleo-Asian Ocean. Earth-Sci. Rev. 2018, 186, 129–152. [Google Scholar] [CrossRef]
- Wang, X.S.; Klemd, R.; Li, J.L.; Gao, J.; Jiang, T.; Zong, K.Q.; Xue, S.C. Paleozoic Subduction-accretion in the southern Central Asian Orogenic Belt: Insights from the Wuwamen accretionary complex of the Chinese South Tianshan. Tectonics 2022, 41, e2021T. [Google Scholar] [CrossRef]
- Wen, L.; Li, C.; Li, H.H.; Liu, Y.L.; Li, Y.J.; Zhao, Y.; Sun, X.C.; Huang, T.F.; Zhao, T.Y.; Gao, Y.Y.; et al. The collision-related structures revealed in the northern Tarim Basin and their geological significance. Geol. J. 2020, 55, 3054–3069. [Google Scholar] [CrossRef]
- Abuduxun, N.; Xiao, W.J.; Windley, B.F.; Chen, Y.C.; Huang, P.; Sang, M.; Li, L.; Liu, X.J. Terminal suturing between the Tarim Craton and the Yili-Central Tianshan arc: Insights from mélange-ocean plate stratigraphy, detrital zircon ages and provenance of the South Tianshan accretionary complex. Tectonics 2021, 40, e2021TC006705. [Google Scholar] [CrossRef]
- Sang, M.; Xiao, W.J.; Orozbaev, R.; Bakirov, A.; Sakiev, K.; Pak, N.; Ivleva, E.; Zhou, K.; Ao, S.J.; Qiao, Q.Q.; et al. Structural styles and zircon ages of the South Tianshan accretionary complex, Atbashi Ridge, Kyrgyzstan: Insights for the anatomy of ocean plate stratigraphy and accretionary processes. J. Asian Earth Sci. 2018, 153, 9–41. [Google Scholar] [CrossRef]
- Wang, K.; Xiao, W.J.; Windley, B.F.; Mao, Q.G.; Ji, W.H.; Sang, M.; Huang, P.; Wang, P. The Dashui subduction complex in the Eastern Tianshan-Beishan orogen (NW China): Long-lasting subduction-accretion terminated by unique mid-Triassic strike-slip juxtaposition of arcs in the southern Altaids. Tectonics 2022, 41, e2021TC007190. [Google Scholar] [CrossRef]
- Zhao, T.Y.; Xiao, W.J.; Mao, Q.G.; Yang, H.; Abuduxun, N.; Li, P. The Wulanmoren accretionary complex unravels Early Devonian to Late Triassic multiple-arc amalgamation in the Tianshan orogen (NW China). Earth Space Sci. 2023, 10, e2022EA002310. [Google Scholar] [CrossRef]
- Yin, J.Y.; Chen, W.; Xiao, W.J.; Yuan, C.; Long, X.P.; Cai, K.D.; Zhang, B. Late Carboniferous adakitic granodiorites in the Qiongkusitai area, western Tianshan, NW China: Implications for partial melting of lower crust in the southern Central Asian Orogenic Belt. J. Asian Earth Sci. 2016, 124, 42–54. [Google Scholar] [CrossRef]
- Xiao, W.J.; Huang, B.C.; Han, C.M.; Sun, S.; Li, J.L. A review of the western part of the Altaids: A key to understanding the architecture of accretionary orogens. Gondwana Res. 2010, 18, 253–273. [Google Scholar] [CrossRef]
- Biske, Y.S.; Konopelko, D.L.; Seltmann, R. Paleozoic collisional belt of the South Tien Shan: A review. Earth-Sci. Rev. 2024, 248, 104637. [Google Scholar] [CrossRef]
- Wang, X.S.; Klemd, R.; Gao, J.; Jiang, T.; Li, J.L.; Xue, S.C. Final assembly of the southwestern Central Asian Orogenic Belt as constrained by the evolution of the South Tianshan Orogen: Links with Gondwana and Pangea. J. Geophys. Res. Solid Earth 2018, 123, 7361–7388. [Google Scholar] [CrossRef]
- Xiao, W.J.; Windley, B.F.; Allen, M.B.; Han, C.M. Paleozoic multiple accretionary and collisional tectonics of the Chinese Tianshan orogenic collage. Gondwana Res. 2013, 23, 1316–1341. [Google Scholar] [CrossRef]
- Abuduxun, N.; Xiao, W.J.; Windley, B.F.; Huang, P.; Yang, H.; Gan, J.M.; Sang, M.; Liu, X.J. Early Permian Syn-Subduction Extension in the South Tianshan (NW China): Insights From A-Type Granitoids in the Southern Altaids. Front. Earth Sci. 2022, 9, 831677. [Google Scholar] [CrossRef]
- Huang, H.; Zhang, Z.C.; Zhang, D.Y.; Du, H.X.; Ma, L.T.; Kang, J.L.; Xue, C.J. Petrogenesis of Late Carboniferous to Early Permian granitoid plutons in the Chinese South Tianshan: Implications for crustal accretion. Acta Geol. Sin. 2011, 85, 1305. [Google Scholar]
- Konopelko, D.; Biske, G.; Seltmann, R.; Eklund, O.; Belyatsky, B. Hercynian post-collisional A-type granites of the Kokshaal Range, Southern Tien Shan, Kyrgyzstan. Lithos 2007, 97, 140–160. [Google Scholar] [CrossRef]
- Qin, Q.; Wang, T.; Huang, H.; Zhang, Z.; Tong, Y.; Song, P.; Zhang, J. Late Carboniferous and Early Permian garnet-bearing granites in the South Tianshan Belt, NW China: Two Late Paleozoic magmatic events and implications for crustal reworking. J. Asian Earth Sci. 2021, 220, 104923. [Google Scholar] [CrossRef]
- Tao, Z.L.; Yin, J.Y.; Xiao, W.J.; Seltmann, R.; Chen, W.; Sun, M.; Wang, T.; Yuan, C.; Thomson, S.N.; Chen, Y.L.; et al. Contrasting styles of peraluminous S-type and I-type granitic magmatism: Identification and implications for the accretionary history of the Chinese South Tianshan. Am. J. Sci. 2022, 322, 280. [Google Scholar] [CrossRef]
- Han, Y.G.; Zhao, G.C.; Cawood, P.A.; Sun, M.; Liu, Q.; Yao, J.L. Plume-modified collision orogeny: The Tarim-western Tianshan example in Central Asia. Geology 2019, 47, 1001–1005. [Google Scholar] [CrossRef]
- Zhang, C.L.; Zou, H.B. Permian A-type granites in Tarim and western part of Central Asian Orogenic Belt (CAOB): Genetically related to a common Permian mantle plume? Lithos 2013, 172–173, 47–60. [Google Scholar] [CrossRef]
- Ma, X.X.; Shu, L.S.; Meert, J.G. Early Permian slab breakoff in the Chinese Tianshan belt inferred from the post-collisional granitoids. Gondwana Res. 2015, 27, 228–243. [Google Scholar] [CrossRef]
- Wang, R.K.; Zhao, X.B.; Xue, C.J.; Sun, Q.; Seltmann, R.; Pak, N.; Symons, D.T.A.; Ma, G.X.; Shi, Y.W. Petrogenesis of the U-rich Permian Akkulen syenite intrusion, Tien Shan, Kyrgyzstan: Insights into its magmatic evolution and geodynamic setting. Int. Geol. Rev. 2023, 66, 2269–2290. [Google Scholar] [CrossRef]
- Yu, X.H.; Qin, Q.; Huang, H.; Wang, T.; Zhang, Z.C.; Tong, Y.; Guo, L.; Song, P. Genesis and tectonic significance of the Mangqisu pluton in the South Tianshan: Evidence from geochronolgy, geochemistry, and Nd-Hf isotopes. Acta Geol. Sin. 2020, 94, 2893. [Google Scholar]
- Abuduxun, N.; Windley, B.F.; Xiao, W.J.; Zhang, J.E.; Chen, Y.C.; Huang, P.; Gan, J.M.; Sang, M. Carboniferous tectonic incorporation of a Devonian seamount and oceanic crust into the South Tianshan accretionary orogen in the southern Altaids. Int. J. Earth Sci. 2022, 111, 2535–2553. [Google Scholar] [CrossRef]
- Song, F.; Wang, B.; Ni, X.H.; Anbar, M.A.; Chen, Y.; Faure, M.C.; Cluzel, D.; Gumiaux, C.; Cao, T.T.; Chen, Y.Y.; et al. From early Paleozoic subduction to end-Carboniferous post-orogenic collapse: New constraints on the tectonic evolution of the Central and South Tianshan (NW China). Gondwana Res. 2024, 129, 305–331. [Google Scholar] [CrossRef]
- Sang, M.; Xiao, W.J.; Bakirov, A.; Orozbaev, R.; Sakiev, K.; Zhou, K.F. Oblique wedge extrusion of UHP/HP complexes in the Late Triassic: Structural analysis and zircon ages of the Atbashi Complex, South Tianshan, Kyrgyzstan. Int. Geol. Rev. 2017, 59, 1369–1389. [Google Scholar] [CrossRef]
- Tan, Z.; Xiao, W.J.; Mao, Q.G.; Wang, H.; Sang, M.; Li, R.; Gao, L.M.; Guo, Y.H.; Gan, J.M.; Liu, Y.H.; et al. Final closure of the Paleo Asian Ocean basin in the early Triassic. Commun. Earth Environ. 2022, 3, 259. [Google Scholar] [CrossRef]
- Alexeiev, D.V.; Biske, Y.S.; Wang, B.; Djenchuraeva, A.V.; Getman, O.F.; Aristov, V.A.; Ner, A.K.; Liu, H.; Zhong, L. Tectono-Stratigraphic framework and Palaeozoic evolution of the Chinese South Tianshan. Geotectonics 2015, 49, 93–122. [Google Scholar] [CrossRef]
- Charvet, J.; Shu, L.S.; Laurent-Charvet, S.; Wang, B.; Faure, M. Paleozoic tectonic evolution of the Tianshan belt, NW China. Sci. China Earth Sci. 2011, 54, 166–184. [Google Scholar] [CrossRef]
- Scheltens, M.; Zhang, L.F.; Xiao, W.J.; Zhang, J.J. Northward subduction-related orogenesis of the southern Altaids: Constraints from structural and metamorphic analysis of the HP/UHP accretionary complex in Chinese southwestern Tianshan, NW China. Geosci. Front. 2015, 6, 191–209. [Google Scholar] [CrossRef]
- Biske, Y.S.; Alexeiev, D.V.; Ershova, V.B.; Priyatkina, N.S.; Dufrane, S.A.; Khudoley, A.K. Detrital zircon U-Pb geochronology of middle Paleozoic sandstones from the South Tianshan (Kyrgyzstan): Implications for provenance and tectonic evolution of the Turkestan Ocean. Gondwana Res. 2019, 75, 97–117. [Google Scholar] [CrossRef]
- Huang, H.; Zhang, Z.; Santosh, M.; Cheng, Z.; Wang, T. Crustal evolution in the South Tianshan Terrane: Constraints from detrital zircon geochronology and implications for continental growth in the Central Asian Orogenic Belt. Geol. J. 2019, 54, 1379–1400. [Google Scholar] [CrossRef]
- Huo, H.L.; Chen, Z.L.; Zhang, Q.; Han, F.B.; Zhang, W.G. Detrital zircon ages and Hf isotopic compositions of metasedimentary rocks in the Wuqia area of Southwest Tianshan, NW China: Implications for the early Paleozoic tectonic evolution of the Tianshan orogenic belt. Int. Geol. Rev. 2019, 61, 2036–2056. [Google Scholar] [CrossRef]
- Xia, J.K.; Hou, G.T.; Zhong, Z.Q.; Li, X.; Chang, H.N.; Wei, L.Y.; Wu, S.X. Using detrital zircons to constrain the late Paleozoic tectonic evolution of the adjacent tectonic domains of the Tarim Craton, NW China. J. Asian Earth Sci. 2024, 267, 106138. [Google Scholar] [CrossRef]
- Yang, S.H.; Zhou, M.F. Geochemistry of the ~430-Ma Jingbulake mafic–ultramafic intrusion in Western Xinjiang, NW China: Implications for subduction related magmatism in the South Tianshan orogenic belt. Lithos 2009, 113, 259–273. [Google Scholar] [CrossRef]
- Fu, Y.; Ding, Q.F.; Wu, C.Z. Sedimentary provenance and age of the ore-hosting strata in the Awanda gold deposit in the Southwest Tianshan Area, Xinjiang: Constraints from detrital zircon U-Pb dating. Geol. J. China Univ. 2018, 24, 353. [Google Scholar]
- Safonova, I.; Biske, G.; Romer, R.L.; Seltmann, R.; Simonov, V.; Maruyama, S. Middle Paleozoic mafic magmatism and ocean plate stratigraphy of the South Tianshan, Kyrgyzstan. Gondwana Res. 2016, 30, 236–256. [Google Scholar] [CrossRef]
- Wakabayashi, J. Structural context and variation of ocean plate stratigraphy, Franciscan Complex, California: Insight into mélange origins and subduction-accretion processes. Prog. Earth Planet. Sci. 2017, 4, 18. [Google Scholar] [CrossRef]
- Wakita, K. OPS mélange: A new term for mélanges of convergent margins of the world. Int. Geol. Rev. 2015, 57, 529–539. [Google Scholar] [CrossRef]
- Jiang, T.; Gao, J.; Klemd, R.; Qian, Q.; Zhang, X.; Xiong, X.M.; Wang, X.S.; Tan, Z.; Chen, B.X. Paleozoic ophiolitic mélanges from the South Tianshan Orogen, NW China: Geological, geochemical and geochronological implications for the geodynamic setting. Tectonophysics 2014, 612–613, 106–127. [Google Scholar] [CrossRef]
- Wang, B.; Zhai, Y.Z.; Kapp, P.; De, K.J.; Zhong, L.L.; Liu, H.S.; Ma, Y.Z.; Gong, H.J.; Geng, H.Y. Accretionary tectonics of back-arc oceanic basins in the South Tianshan: Insights from structural, geochronological, and geochemical studies of the Wuwamen ophiolite mélange. Geol. Soc. Am. Bull. 2017, 130, 284–306. [Google Scholar] [CrossRef]
- Yang, G.X.; Li, Y.J.; Li, S.Z.; Tong, L.L.; Wang, Z.P.; Wu, L. Accreted seamounts in the South Tianshan Orogenic Belt, NW China. Geol. J. 2018, 53, 16–29. [Google Scholar] [CrossRef]
- Alekseev, D.V.; Aristov, V.A.; Degtyarev, K.E. The age and tectonic setting of volcanic and cherty sequences in the ophiolite complex of the Atbashe Ridge (Southern Tien Shan). Dokl. Earth Sci. 2007, 413, 380–383. [Google Scholar] [CrossRef]
- Hegner, E.; Alexeiev, D.V.; Willbold, M.; Kröner, A.; Topuz, G.; Mikolaichuk, A.V. Early Silurian tholeiitic-boninitic Mailisu ophiolite, South Tianshan, Kyrgyzstan: A geochemical record of subduction initiation. Int. Geol. Rev. 2020, 62, 320–337. [Google Scholar] [CrossRef]
- Jian, P.; Kröner, A.; Jahn, B.; Liu, D.; Zhang, W.; Shi, Y.; Ma, H. Zircon ages of metamorphic and magmatic rocks within peridotite-bearing mélanges: Crucial time constraints on early Carboniferous extensional tectonics in the Chinese Tianshan. Lithos 2013, 172–173, 243–266. [Google Scholar] [CrossRef]
- Liu, Y.; Hao, S.G. Evolutionary significance of Pylentonemid radiolarians and their Late Devonian species from southwestern Tianshan, China. Acta Geol. Sin.-Engl. Ed. 2006, 80, 647–655. [Google Scholar]
- Wang, B.; Shu, L.S.; Faure, M.; Jahn, B.M.; Cluzel, D.; Charvet, J.; Chung, S.L.; Meffre, S. Paleozoic tectonics of the southern Chinese Tianshan: Insights from structural, chronological and geochemical studies of the Heiyingshan ophiolitic mélange (NW China). Tectonophysics 2011, 497, 85–104. [Google Scholar] [CrossRef]
- Klemd, R.; Gao, J.; Li, J.L.; Meyer, M. Metamorphic evolution of (ultra)-high-pressure subduction-related transient crust in the South Tianshan Orogen (Central Asian Orogenic Belt): Geodynamic implications. Gondwana Res. 2015, 28, 1–25. [Google Scholar] [CrossRef]
- Tan, Z.; Agard, P.; Monié, P.; Gao, J.; John, T.; Bayet, L.; Jiang, T.; Wang, X.S.; Hong, T.; Wan, B.; et al. Architecture and P-T-deformation-time evolution of the Chinese SW-Tianshan HP/UHP complex: Implications for subduction dynamics. Earth-Sci. Rev. 2019, 197, 102894. [Google Scholar] [CrossRef]
- Zhang, L.F.; Wang, Y.; Zhang, L.J.; Lü, Z. Ultrahigh pressure metamorphism and tectonic evolution of southwestern Tianshan orogenic belt, China: A comprehensive review. Geol. Soc. Lond. Spec. Publ. 2019, 474, 133. [Google Scholar] [CrossRef]
- Gao, L.M.; Xiao, W.J.; Tan, Z.; Cheng, H.; Mao, Q.Q.; Wang, H.; Jia, X.L.; Sang, M.; Guo, Y.H.; Tan, Y.Y. Probing intra-oceanic subduction infancy in ancient orogenic belts: Example from Chinese South Tianshan. J. Metamorph. Geol. 2024, 42, 1099–1130. [Google Scholar] [CrossRef]
- Alexeiev, D.V.; Biske, G.S.; Kröner, A.; Tretyakov, A.A.; Kovach, V.P.; Rojas-Agramonte, Y. Ediacaran, Early Ordovician and early Silurian arcs in the South Tianshan orogen of Kyrgyzstan. J. Asian Earth Sci. 2020, 190, 104194. [Google Scholar] [CrossRef]
- Lin, W.; Chu, Y.; Ji, W.B.; Zhang, Z.P.; Shi, Y.H.; Wang, Z.Y.; Li, Z.; Wang, Q.C. Geochronological and geochemical constraints for a middle Paleozoic continental arc on the northern margin of the Tarim block: Implications for the Paleozoic tectonic evolution of the South Chinese Tianshan. Lithosphere 2013, 5, 355–381. [Google Scholar] [CrossRef]
- Zhong, L.L.; Wang, B.; De Jong, K.; Zhai, Y.Z.; Liu, H.S. Deformed continental arc sequences in the South Tianshan: New constraints on the Early Paleozoic accretionary tectonics of the Central Asian Orogenic Belt. Tectonophysics 2019, 768, 228169. [Google Scholar] [CrossRef]
- Huang, H.; Zhang, Z.C.; Santosh, M.; Zhang, D.Y.; Wang, T. Petrogenesis of the Early Permian volcanic rocks in the Chinese South Tianshan: Implications for crustal growth in the Central Asian Orogenic Belt. Lithos 2015, 228–229, 23–42. [Google Scholar] [CrossRef]
- Zhu, Z.X.; Li, J.Y.; Dong, L.H.; Zhang, X.F.; Hu, J.W.; Wang, K.Z. The age determination of Late Carboniferous intrusions in Mangqisu region and its constraints to the closure of oceanic basin in South Tianshan, Xinjiang. Acta Petrol. Sin. 2008, 24, 2761–2766. [Google Scholar]
- Bgmrxuar. Introduction of Geological Map of the Yanqi Area, Map Scale at 1:200000; Xinjiang Bereau of Geology and Mineral Resources: Urumqi, China, 1977; p. 37. (In Chinese) [Google Scholar]
- Halfpenny, A. Some important practical issues for the collection and manipulation of Electron Backscatter Diffraction (EBSD) data from geological samples. J. Virtual Explor. 2010, 35. [Google Scholar] [CrossRef]
- Wiedenbeck, M.; Allé, P.; Corfu, F.; Griffin, W.L.; Meier, M.; Oberli, F.; Spiegel, W. Three natural zircon standards for U-Th-Pb, Lu-Hf, trace element and REE analyses. Geostand. Newsl. 1995, 19, 1–23. [Google Scholar] [CrossRef]
- Liu, Y.S.; Gao, S.; Hu, Z.C.; Gao, C.G.; Zong, K.Q.; Wang, D.B. Continental and oceanic crust recycling-induced melt-peridotite interactions in the Trans-North China Orogen: U-Pb dating, Hf isotopes and trace elements in zircons from mantle xenoliths. J. Petrol. 2010, 51, 537–571. [Google Scholar] [CrossRef]
- Ludwig, K. User’s Manual for Isoplot/EX Version 3.00 A Geochronological Toolkit for Microsoft Excel Berkeley Geochronology Center. Spec. Publ. 2003, 4, 1. [Google Scholar]
- Hou, K.J.; Li, Y.H.; Zou, T.R.; Qu, X.M.; Shi, Y.R.; Xie, G.Q. Laser ablation-MC-ICP-MS technique for Hf isotope microanalysis of zircon and its geological applications. Acta Petrol. Sin. 2007, 23, 2595–2604. [Google Scholar]
- Blichert-Toft, J.; Chauvel, C.; Albarède, F. Separation of Hf and Lu for high-precision isotope analysis of rock samples by magnetic sector-multiple collector ICP-MS. Contrib. Mineral. Petrol. 1997, 127, 248–260. [Google Scholar] [CrossRef]
- Fisher, C.M.; Vervoort, J.D.; Hanchar, J.M. Guidelines for reporting zircon Hf isotopic data by LA-MC-ICPMS and potential pitfalls in the interpretation of these data. Chem. Geol. 2014, 363, 125–133. [Google Scholar] [CrossRef]
- Bouvier, A.; Vervoort, J.D.; Patchett, P.J. The Lu-Hf and Sm-Nd isotopic composition of CHUR: Constraints from unequilibrated chondrites and implications for the bulk composition of terrestrial planets. Earth Planet. Sci. Lett. 2008, 273, 48–57. [Google Scholar] [CrossRef]
- Griffin, W.L.; Pearson, N.J.; Belousova, E.; Jackson, S.E.; van Achterbergh, E.; Reilly, S.Y.O.; Shee, S.R. The Hf isotope composition of cratonic mantle: LAM-MC-ICP-MS analysis of zircon megacrysts in kimberlites. Geochim. Cosmochim. Acta 2000, 64, 133–147. [Google Scholar] [CrossRef]
- Griffin, W.L.; Wang, X.; Jackson, S.E.; Pearson, N.J.; O’Reilly, S.Y.; Xu, X.S.; Zhou, X.M.; Wiebe, R.A. Zircon chemistry and magma mixing, SE China; in-situ analysis of Hf isotopes, Tonglu and Pingtan igneous complexes. Lithos 2002, 61, 237–269. [Google Scholar] [CrossRef]
- Jochum, K.P.; Nohl, U. Reference materials in geochemistry and environmental research and the GeoReM database. Chem. Geol. 2008, 253, 50–53. [Google Scholar] [CrossRef]
- Muhtar, M.N.; Wu, C.Z.; Brzozowski, M.J.; Li, P.; Yuan, X.C.; Wang, S.M.; Zhi, J.; Jiang, Y.H. Geochronology; geochemistry, and Sr–Nd–Pb–Hf–S isotopes of the wall rocks of the Kanggur gold polymetallic deposit, Chinese North Tianshan: Implications for petrogenesis and sources of ore-forming materials. Ore Geol. Rev. 2020, 125, 103688. [Google Scholar] [CrossRef]
- Weis, D.; Kieffer, B.; Maerschalk, C.; Barling, J.; de Jong, J.; Williams, G.A.; Hanano, D.; Pretorius, W.; Mattielli, N.; Scoates, J.S.; et al. High-precision isotopic characterization of USGS reference materials by TIMS and MC-ICP-MS. Geochem. Geophys. Geosystems 2006, 7, Q08006. [Google Scholar] [CrossRef]
- Jahn, B.M.; Condie, K.C. Evolution of the Kaapvaal Craton as viewed from geochemical and Sm-Nd isotopic analyses of intracratonic pelites. Geochim. Cosmochim. Acta 1995, 59, 2239–2258. [Google Scholar] [CrossRef]
- Corfu, F.; Hanchar, J.M.; Hoskin, P.W.O.; Kinny, P. Atlas of zircon textures. Rev. Mineral. Geochem. 2003, 53, 469–500. [Google Scholar] [CrossRef]
- Middlemost, E.A.K. Naming materials in the magma/igneous rock system. Earth-Sci. Rev. 1994, 37, 215–224. [Google Scholar] [CrossRef]
- Peccerillo, A.; Taylor, S.R. Geochemistry of eocene calc-alkaline volcanic rocks from the Kastamonu area, Northern Turkey. Contrib. Mineral. Petrol. 1976, 58, 63–81. [Google Scholar] [CrossRef]
- Maniar, P.D.; Piccoli, P.M. Tectonic discrimination of granitoids. Geol. Soc. Am. Bull. 1989, 101, 635–643. [Google Scholar] [CrossRef]
- Sun, S.S.; Mcdonough, W.F. Chemical and isotopic systematics of oceanic basalts: Implications for mantle composition and processes. Geol. Soc. Lond. Spec. Publ. 1989, 42, 313–345. [Google Scholar] [CrossRef]
- Defant, M.J.; Drummond, M.S. Derivation of some modern arc magmas by melting of young subducted lithosphere. Nature 1990, 347, 662–665. [Google Scholar] [CrossRef]
- Hofmann, A.W. Sampling mantle heterogeneity through oceanic basalts: Isotopes and trace elements. In Treatise on Geochemistry; Elsevier: Amsterdam, The Netherlands, 2003; pp. 1–44. [Google Scholar]
- Cheng, Z.G.; Zhang, Z.C.; Santosh, M.; Zhao, Z.Y.; Chen, L.L. Late Carboniferous to early Permian partial melting of the metasedimentary rocks and crustal reworking in the Central Asian Orogenic Belt: Evidence from garnet-bearing rhyolites in the Chinese South Tianshan. Lithos 2017, 282–283, 373–387. [Google Scholar] [CrossRef]
- Liu, S.A.; Li, S.G.; He, Y.S.; Huang, F. Geochemical contrasts between early Cretaceous ore-bearing and ore-barren high-Mg adakites in central-eastern China: Implications for petrogenesis and Cu–Au mineralization. Geochim. Cosmochim. Acta 2010, 74, 7160–7178. [Google Scholar] [CrossRef]
- Martin, H.; Smithies, R.H.; Rapp, R.; Moyen, J.F.; Champion, D. An overview of adakite, tonalite–trondhjemite–granodiorite (TTG), and sanukitoid: Relationships and some implications for crustal evolution. Lithos 2005, 79, 1–24. [Google Scholar] [CrossRef]
- Moyen, J. High Sr/Y and La/Yb ratios: The meaning of the “adakitic signature”. Lithos 2009, 112, 556–574. [Google Scholar] [CrossRef]
- Martin, H.; Sial, A.N.; Stephens, W.E.; Ferreira, V.P. Adakitic magmas: Modern analogues of Archaean granitoids. Lithos 1999, 46, 411–429. [Google Scholar] [CrossRef]
- Li, X.H.; Li, Z.X.; Li, W.X.; Wang, X.C.; Gao, Y.Y. Revisiting the “C-type adakites” of the Lower Yangtze River Belt, central eastern China: In-situ zircon Hf–O isotope and geochemical constraints. Chem. Geol. 2013, 345, 1. [Google Scholar] [CrossRef]
- Ribeiro, J.M.; Maury, R.C.; Grégoire, M. Are Adakites Slab Melts or High-pressure Fractionated Mantle Melts? J. Petrol. 2016, 57, 839–862. [Google Scholar] [CrossRef]
- Chai, H.; Wang, Q.F.; Tao, J.X.; Santosh, M.; Ma, T.F.; Zhao, R. Late Carboniferous to Early Permian magmatic pulses in the Uliastai continental margin linked to slab rollback: Implications for evolution of the Central Asian Orogenic Belt. Lithos 2018, 308–309, 134–158. [Google Scholar] [CrossRef]
- Hu, Q.Q.; Wang, Y.T.; Wei, R.; Wang, J.W.; Liu, J.C.; Chen, G.M.; Chen, J. Carboniferous magmatic activity in the Aqishan–Caixiashan polymetallic ore cluster, eastern Tianshan, NW China: Implications for tectonic evolution and regional metallogeny. Int. J. Earth Sci. 2024, 113, 661. [Google Scholar] [CrossRef]
- Xu, J.F.; Shinjo, R.; Defant, M.J.; Wang, Q.; Rapp, R.P. Origin of Mesozoic adakitic intrusive rocks in the Ningzhen area of east China: Partial melting of delaminated lower continental crust? Geology 2002, 30, 1111–1114. [Google Scholar] [CrossRef]
- Wang, X.S.; Sun, M.; Weinberg, R.F.; Cai, K.D.; Zhao, G.C.; Xia, X.P.; Li, P.F.; Liu, X.J. Adakite generation as a result of fluid-fluxed melting at normal lower crustal pressures. Earth Planet. Sci. Lett. 2022, 594, 117744. [Google Scholar] [CrossRef]
- Chen, B.; Jahn, B.M.; Suzuki, K. Petrological and Nd-Sr-Os isotopic constraints on the origin of high-Mg adakitic rocks from the North China Craton: Tectonic implications. Geology 2013, 41, 91–94. [Google Scholar] [CrossRef]
- Streck, M.J.; Leeman, W.P.; Chesley, J. High-magnesian andesite from Mount Shasta: A product of magma mixing and contamination, not a primitive mantle melt. Geology 2007, 35, 351–354. [Google Scholar] [CrossRef]
- Imaoka, T.; Nakashima, K.; Kamei, A.; Itaya, T.; Ohira, T.; Nagashima, M.; Kono, N.; Kiji, M. Episodic magmatism at 105 Ma in the Kinki district, SW Japan: Petrogenesis of Nb-rich lamprophyres and adakites, and geodynamic implications. Lithos 2014, 184–187, 105–131. [Google Scholar] [CrossRef]
- Ma, X.X.; Xu, Z.Q.; Meert, J.G. Syn-convergence extension in the southern Lhasa terrane: Evidence from late Cretaceous adakitic granodiorite and coeval gabbroic-dioritic dykes. J. Geodyn. 2017, 110, 12–30. [Google Scholar] [CrossRef]
- Mao, Q.G.; Xiao, W.J.; Li, R.; Ao, S.J.; Song, D.F.; Sang, M.; Wang, H.; Tan, Z. Early Devonian slab melting of the Proto-Tethys Ocean: Insights from adakitic granitoids in the Jiayuguan Area, Hexi Corridor (NW China). Lithosphere 2024, 4, 2023. [Google Scholar] [CrossRef]
- Wang, Q.; Wyman, D.A.; Xu, J.F.; Jian, P.; Zhao, Z.H.; Li, C.F.; Xu, W.; Ma, J.L.; He, B. Early Cretaceous adakitic granites in the Northern Dabie Complex, central China: Implications for partial melting and delamination of thickened lower crust. Geochim. Cosmochim. Acta 2007, 71, 2609–2636. [Google Scholar] [CrossRef]
- Wang, Q.; Hao, L.L.; Zhang, X.Z.; Zhou, J.S.; Wang, J.; Li, Q.W.; Ma, L.; Zhang, L.; Qi, Y.; Tang, G.J.; et al. Adakitic rocks at convergent plate boundaries: Compositions and petrogenesis. Sci. China Earth Sci. 2020, 63, 1992–2016. [Google Scholar] [CrossRef]
- Decol, J.; Heilbron, M.; Peixoto, C.; Bruno, H.; Bersan, S.M.; Rodrigues, S.W.D.O.; Corrales, F.; Eirado, L.G.; Tupinambá, M. Adakites and associated granitoids from the Serra da Prata Arc: Evidence for a Tonian subduction setting within the Araçuaí-Ribeira orogenic system (AROS), SE Brazil. J. South Am. Earth Sci. 2021, 111, 103481. [Google Scholar] [CrossRef]
- Li, Y.J.; Sun, L.D.; Wu, H.R.; Zhang, G.Y.; Wang, G.L.; Huang, Z.B. Permo-Carboniferous radiolarians from the Wupata’erkan Group, Western South Tianshan, Xinjiang, China. Acta Geol. Sin. 2005, 79, 16–23. [Google Scholar]
- Xu, X.Y.; Wang, H.L.; Li, P.; Chen, J.L.; Ma, Z.P.; Zhu, T.; Wang, N.; Dong, Y.P. Geochemistry and geochronology of Paleozoic intrusions in the Nalati (Narati) area in western Tianshan, Xinjiang, China: Implications for Paleozoic tectonic evolution. J. Asian Earth Sci. 2013, 72, 33–62. [Google Scholar] [CrossRef]
- Tsuchiya, N.; Suzuki, S.; Kimura, J.; Kagami, H. Evidence for slab melt/mantle reaction: Petrogenesis of Early Cretaceous and Eocene high-Mg andesites from the Kitakami Mountains, Japan. Lithos 2005, 79, 179–206. [Google Scholar] [CrossRef]
- Siviero, R.S.; Koester, E.; Fernandes, L.A.D.; Bosch, D.; Bruguier, O.; Vieira, D.T.; Ramos, R.C.; Kraemer, G. Geochemistry and geochronology of the Imbicuí Complex, Western Dom Feliciano Belt, Brazil: Tonian adakite-like subduction-related rocks. J. South Am. Earth Sci. 2023, 130, 104545. [Google Scholar] [CrossRef]
- Suzuki, K.; Sawaki, Y.; Iizuka, T.; Kitajima, K.; Hattori, K.; Hirata, T.; Anma, R. Hf-O isotope systematics of zircons from the Taitao granitoids: Implications for slab-melting material. Lithos 2020, 372–373, 105665. [Google Scholar] [CrossRef]
- Shen, X.M.; Zhang, H.X.; Wang, Q.; Ma, L.; Yang, Y.H. Early Silurian (~440Ma) adakitic, andesitic and Nb-enriched basaltic lavas in the southern Altay Range, Northern Xinjiang (western China): Slab melting and implications for crustal growth in the Central Asian Orogenic Belt. Lithos 2014, 206–207, 234–251. [Google Scholar] [CrossRef]
- Plank, T. Constraints from Thorium/Lanthanum on sediment recycling at subduction zones and the evolution of the continents. J. Petrol. 2005, 46, 921–944. [Google Scholar] [CrossRef]
- Niu, Y.L.; Batiza, R. Trace element evidence from seamounts for recycled oceanic crust in the Eastern Pacific mantle. Earth Planet. Sci. Lett. 1997, 148, 471–483. [Google Scholar] [CrossRef]
- Schwindinger, M.; Weinberg, R.F. A felsic MASH zone of crustal magmas—Feedback between granite magma intrusion and in situ crustal anatexis. Lithos 2017, 284–285, 109–121. [Google Scholar] [CrossRef]
- Chapman, J.B.; Runyon, S.E.; Shields, J.E.; Lawler, B.L.; Pridmore, C.J.; Scoggin, S.H.; Swaim, N.T.; Trzinski, A.E.; Wiley, H.N.; Barth, A.P.; et al. The North American Cordilleran Anatectic Belt. Earth-Sci. Rev. 2021, 215, 103576. [Google Scholar] [CrossRef]
- Plank, T.; Langmuir, C.H. The chemical composition of subducting sediments: Implications for the crust and mantle. Chem. Geol. 1998, 145, 325–394. [Google Scholar] [CrossRef]
- Chen, Y.X.; Cui, Y.; Zhang, L.P.; Fu, S.M.; Wu, K.; Song, S.G.; Sun, W.S.; Xiao, T.F. Sediment recycling and adakite petrogenesis: Constraints from the late Ordovician tonalite in the North Qilian suture zone. Chem. Geol. 2023, 624, 121389. [Google Scholar] [CrossRef]
- Konopelko, D.; Wilde, S.A.; Seltmann, R.; Romer, R.L.; Biske, Y.S. Early Permian intrusions of the Alai range: Understanding tectonic settings of Hercynian post-collisional magmatism in the South Tien Shan, Kyrgyzstan. Lithos 2018, 302–303, 405–420. [Google Scholar] [CrossRef]
- Shangguan, S.M.; Peate, I.U.; Tian, W.; Xu, Y.G. Re-evaluating the geochronology of the Permian Tarim magmatic province: Implications for temporal evolution of magmatism. J. Geol. Soc. 2016, 173, 228–239. [Google Scholar] [CrossRef]
- Wakabayashi, J. Anatomy of a subduction complex: Architecture of the Franciscan Complex, California, at multiple length and time scales. Int. Geol. Rev. 2015, 57, 669–746. [Google Scholar] [CrossRef]
- Pearce, J.A.; Harris, N.B.W.; Tindle, A.G. Trace element discrimination diagrams for the tectonic interpretation of granitic rock. J. Petrol. 1984, 25, 956–983. [Google Scholar] [CrossRef]
- Yogodzinski, G.M.; Lees, J.M.; Churikova, T.G.; Dorendorf, F.; Wöerner, G.; Volynets, O.N. Geochemical evidence for the melting of subducting oceanic lithosphere at plate edges. Nature 2001, 409, 500–504. [Google Scholar] [CrossRef]
- Calmus, T.; Aguillon-Robles, A.; Maury, R.C.; Bellon, H.; Benoit, M.; Cotten, J.; Bourgois, J.; Michaud, F. Spatial and temporal evolution of basalts and magnesian andesites (“bajaites”) from Baja California, Mexico; the role of slab melts. Lithos 2003, 66, 77–105. [Google Scholar] [CrossRef]
- Wu, S.N.; Wang, Y.J.; Qian, X.; Asis, J.B.; Lu, X.H.; Zhang, Y.Z.; Gan, C.S. Discovery of the Late Cretaceous Barru adakite in SW Sulawesi and slab break-off beneath the Central Indonesian Accretionary Complex. J. Asian Earth Sci. 2022, 232, 105214. [Google Scholar] [CrossRef]
- Kincaid, C.; Griffiths, R.W. Laboratory models of the thermal evolution of the mantle during rollback subduction. Nature 2003, 425, 58–62. [Google Scholar] [CrossRef]
- Ma, X.X.; Shu, L.S.; Meert, J.G.; Li, J.Y. The Paleozoic evolution of Central Tianshan: Geochemical and geochronological evidence. Gondwana Res. 2014, 25, 797–819. [Google Scholar] [CrossRef]
- Tao, Z.L.; Yin, J.Y.; Sun, M.; Wang, T.; Yuan, C.; Chen, W.; Huang, H.; Seltmann, R.; Thomson, S.N.; Chen, Y.L. Spatial and temporal variations of geochemical and isotopic compositions of Paleozoic magmatic rocks in the Western Tianshan, NW China: A magmatic response of the Advancing and Retreating Subduction. J. Asian Earth Sci. 2022, 232, 105112. [Google Scholar] [CrossRef]
- Liu, C.X.; Xu, B.L.; Zhou, T.R.; Lu, F.X.; Tong, Y.; Cai, J.H. Petrochemistry and tectonic significance of Hercynian alkaline rocks along the northern margin of the Tarim platform and its adjacent area. Xinjiang Geol. 2004, 22, 43. [Google Scholar]
- Su, W.B.; Cai, K.D.; Sun, M.; Wang, X.S.; Bao, Z.H.; He, Z.Y.; De Grave, J. Carboniferous back-arc extension in the southern Yili-Central Tianshan Block and its significance to the formation of the Kazakhstan Orocline: Insights from the Wusun Mountain volcanic belt. Int. J. Earth Sci. 2022, 111, 215–243. [Google Scholar] [CrossRef]
- Li, D.; He, D.F.; Tang, Y.; Wu, X.Z.; Lian, Y.C.; Yang, Y.H. Dynamic processes from plate subduction to intracontinental deformation: Insights from the tectono-sedimentary evolution of the Zhaosu-Tekesi Depression in the southwestern Chinese Tianshan. J. Asian Earth Sci. 2015, 113, 728–747. [Google Scholar] [CrossRef]
- Liu, D.D.; Jolivet, M.; Yang, W.; Zhang, Z.Y.; Cheng, F.; Zhu, B.; Guo, Z.J. Latest Paleozoic-Early Mesozoic basin-range interactions in South Tian Shan (northwest China) and their tectonic significance: Constraints from detrital zircon U-Pb ages. Tectonophysics 2013, 599, 197–213. [Google Scholar] [CrossRef]
- Zhang, L.; Zhu, J.J.; Xia, B.; Zhang, C.; Zhang, L.F. Metamorphism and zircon geochronological studies of metagabbro vein in the Yushugou granulite-peridotite complex from South Tianshan, China. J. Earth Sci. 2019, 30, 1215–1229. [Google Scholar] [CrossRef]
- Fu, D.; Huang, B.; Wilde, S.A.; Johnson, T.E.; Polat, A.; Windley, B.F.; Hu, Z.C.; Zhou, Z.P.; Kusky, T.M. The tempo of back-arc basin evolution: Insights from the early Paleozoic Proto-Tethyan North Qilian orogenic belt, northeastern Tibet. Earth Planet. Sci. Lett. 2023, 603, 117976. [Google Scholar] [CrossRef]
- Huang, B.; Johnson, T.E.; Wilde, S.A.; Polat, A.; Fu, D.; Kusky, T. Coexisting divergent and convergent plate boundary assemblages indicate plate tectonics in the Neoarchean. Nat. Commun. 2022, 13, 6450. [Google Scholar] [CrossRef]












| Spot | Th/U | 207Pb/206Pb | ±1σ | 207Pb/235U | ±1σ | 206Pb/238U | ±1σ | 207Pb/206Pb (Ma) | ±1σ | 207Pb/235U (Ma) | ±1σ | 206Pb/238U (Ma) | ±1σ |
|---|---|---|---|---|---|---|---|---|---|---|---|---|---|
| 22ST18-01 | 0.37 | 0.05243 | 0.00173 | 0.37824 | 0.01322 | 0.05236 | 0.00090 | 306 | 74 | 326 | 9.7 | 329 | 5.5 |
| 22ST18-02 | 0.62 | 0.05367 | 0.00316 | 0.36360 | 0.01992 | 0.04948 | 0.00079 | 367 | 133 | 315 | 14.8 | 311 | 4.8 |
| 22ST18-03 | 0.48 | 0.04946 | 0.00234 | 0.33600 | 0.01541 | 0.04951 | 0.00065 | 169 | 111 | 294 | 11.7 | 312 | 4.0 |
| 22ST18-04 | 0.59 | 0.05775 | 0.00251 | 0.39460 | 0.01726 | 0.04962 | 0.00074 | 520 | 96 | 338 | 12.6 | 312 | 4.5 |
| 22ST18-05 | 0.81 | 0.05737 | 0.00436 | 0.39526 | 0.03484 | 0.04927 | 0.00125 | 506 | 168 | 338 | 25.4 | 310 | 7.7 |
| 22ST18-06 | 0.84 | 0.05610 | 0.00188 | 0.55524 | 0.02071 | 0.07154 | 0.00089 | 457 | 69 | 448 | 13.5 | 445 | 5.4 |
| 22ST18-07 | 0.27 | 0.05253 | 0.00196 | 0.35990 | 0.01295 | 0.04983 | 0.00085 | 309 | 85 | 312 | 9.7 | 314 | 5.2 |
| 22ST18-08 | 0.48 | 0.05173 | 0.00228 | 0.35245 | 0.01616 | 0.04941 | 0.00075 | 272 | 102 | 307 | 12.1 | 311 | 4.6 |
| 22ST18-09 | 0.57 | 0.05922 | 0.00425 | 0.56780 | 0.04124 | 0.06977 | 0.00132 | 576 | 157 | 457 | 26.7 | 435 | 8.0 |
| 22ST18-10 | 0.84 | 0.05912 | 0.00329 | 0.60737 | 0.03197 | 0.07499 | 0.00106 | 572 | 116 | 482 | 20.2 | 466 | 6.4 |
| 22ST18-11 | 0.53 | 0.05438 | 0.00266 | 0.37541 | 0.02144 | 0.04977 | 0.00103 | 387 | 111 | 324 | 15.8 | 313 | 6.3 |
| 22ST18-12 | 1.00 | 0.05630 | 0.00389 | 0.52169 | 0.03015 | 0.06814 | 0.00135 | 465 | 154 | 426 | 20.1 | 425 | 8.2 |
| 22ST18-13 | 0.55 | 0.05086 | 0.00319 | 0.34345 | 0.02195 | 0.04894 | 0.00078 | 235 | 144 | 300 | 16.6 | 308 | 4.8 |
| 22ST18-14 | 0.40 | 0.04962 | 0.00199 | 0.33556 | 0.01410 | 0.04919 | 0.00086 | 176 | 127 | 294 | 10.7 | 310 | 5.3 |
| 22ST18-15 | 0.58 | 0.05440 | 0.00200 | 0.36568 | 0.01234 | 0.04895 | 0.00069 | 387 | 88 | 316 | 9.2 | 308 | 4.2 |
| 22ST18-16 | 0.42 | 0.05816 | 0.00232 | 0.39564 | 0.01648 | 0.04940 | 0.00067 | 600 | 82 | 338 | 12.0 | 311 | 4.1 |
| 22ST18-17 | 0.51 | 0.05376 | 0.00183 | 0.36209 | 0.01371 | 0.04884 | 0.00076 | 361 | 76 | 314 | 10.2 | 307 | 4.7 |
| 22ST18-18 | 0.56 | 0.05789 | 0.00243 | 0.39436 | 0.01991 | 0.04926 | 0.00118 | 524 | 93 | 338 | 14.5 | 310 | 7.2 |
| 22ST18-19 | 0.54 | 0.05864 | 0.00259 | 0.39576 | 0.01884 | 0.04885 | 0.00071 | 554 | 101 | 339 | 13.7 | 307 | 4.4 |
| 22ST18-20 | 0.50 | 0.05525 | 0.00214 | 0.36988 | 0.01485 | 0.04878 | 0.00077 | 433 | 87 | 320 | 11.0 | 307 | 4.7 |
| Sample | 22ST18-1 | 22ST18-2 | 22ST18-3 | 22ST18-4 | 22ST18-5 |
|---|---|---|---|---|---|
| SiO2 | 68.79 | 68.39 | 69.27 | 67.75 | 67.94 |
| TiO2 | 0.51 | 0.51 | 0.50 | 0.52 | 0.49 |
| Al2O3 | 15.72 | 15.68 | 15.74 | 15.90 | 15.29 |
| TFe2O3 | 2.90 | 2.81 | 2.81 | 2.84 | 2.71 |
| MnO | 0.04 | 0.03 | 0.04 | 0.04 | 0.03 |
| MgO | 1.54 | 1.54 | 1.54 | 1.59 | 1.48 |
| CaO | 3.20 | 3.19 | 3.15 | 3.37 | 3.15 |
| K2O | 2.12 | 2.08 | 1.93 | 2.34 | 2.88 |
| Na2O | 4.03 | 4.20 | 4.02 | 4.26 | 4.03 |
| P2O5 | 0.16 | 0.16 | 0.16 | 0.17 | 0.15 |
| LOI 1000 | 0.58 | 0.59 | 0.55 | 0.62 | 0.86 |
| Mg# | 55 | 56 | 56 | 57 | 56 |
| K2O + Na2O | 6.15 | 6.28 | 5.95 | 6.60 | 6.91 |
| K2O/Na2O | 0.53 | 0.50 | 0.48 | 0.55 | 0.71 |
| A/CNK | 1.07 | 1.05 | 1.09 | 1.01 | 0.99 |
| Li | 22.29 | 23.82 | 18.16 | 27.01 | 32.88 |
| Be | 2.05 | 1.80 | 1.86 | 1.97 | 1.74 |
| Sc | 3.28 | 3.32 | 3.41 | 3.75 | 4.76 |
| V | 31.32 | 31.48 | 30.78 | 32.48 | 30.33 |
| Cr | 36.67 | 33.20 | 33.31 | 35.43 | 37.86 |
| Co | 6.58 | 6.75 | 6.46 | 6.75 | 6.32 |
| Ni | 23.82 | 24.25 | 22.18 | 24.13 | 23.03 |
| Cu | 8.48 | 15.93 | 7.67 | 5.30 | 7.55 |
| Zn | 60.96 | 60.34 | 55.24 | 59.06 | 55.15 |
| Ga | 20.92 | 20.75 | 19.46 | 21.28 | 21.96 |
| Rb | 80.04 | 79.98 | 78.62 | 86.48 | 94.35 |
| Sr | 504 | 509 | 479 | 530 | 512 |
| Y | 7.39 | 7.35 | 7.12 | 7.35 | 7.44 |
| Zr | 172 | 172 | 167 | 171 | 173.97 |
| Nb | 9.94 | 7.82 | 6.83 | 8.42 | 7.33 |
| Sn | 2.19 | 2.06 | 1.95 | 2.28 | 1.97 |
| Sb | 0.29 | 0.14 | 0.05 | 0.05 | 0.10 |
| Cs | 5.21 | 4.48 | 4.78 | 4.31 | 3.84 |
| Ba | 900 | 910 | 866 | 874 | 861 |
| La | 36.10 | 36.80 | 32.50 | 34.90 | 36.30 |
| Ce | 62.99 | 62.71 | 51.36 | 64.02 | 64.28 |
| Pr | 7.38 | 7.53 | 6.79 | 7.21 | 7.39 |
| Nd | 25.54 | 25.39 | 21.09 | 26.63 | 26.81 |
| Sm | 4.65 | 4.57 | 3.80 | 4.52 | 4.73 |
| Eu | 1.11 | 1.14 | 1.06 | 1.25 | 1.20 |
| Gd | 3.16 | 3.02 | 2.72 | 3.07 | 3.10 |
| Tb | 0.38 | 0.38 | 0.36 | 0.35 | 0.34 |
| Dy | 1.63 | 1.61 | 1.56 | 1.66 | 1.66 |
| Ho | 0.26 | 0.26 | 0.26 | 0.26 | 0.25 |
| Er | 0.58 | 0.62 | 0.63 | 0.63 | 0.60 |
| Tm | 0.07 | 0.08 | 0.07 | 0.07 | 0.06 |
| Yb | 0.45 | 0.47 | 0.43 | 0.45 | 0.43 |
| Lu | 0.07 | 0.06 | 0.06 | 0.06 | 0.06 |
| Hf | 4.23 | 4.21 | 4.36 | 4.13 | 4.21 |
| Ta | 0.61 | 0.49 | 0.48 | 0.51 | 0.47 |
| W | 0.69 | 0.57 | 0.76 | 0.55 | 0.50 |
| Tl | 0.43 | 0.41 | 0.42 | 0.46 | 0.47 |
| Th | 12.20 | 12.40 | 11.95 | 11.95 | 11.85 |
| U | 2.38 | 2.36 | 2.24 | 2.50 | 2.41 |
| Sr/Y | 68 | 69 | 67 | 72 | 69 |
| ∑REE | 144.4 | 144.6 | 122.7 | 145.1 | 147.2 |
| (La/Yb)N | 58 | 56 | 54 | 56 | 61 |
| (La/Sm)N | 5.0 | 5.2 | 5.5 | 5.0 | 5.0 |
| δEu | 0.89 | 0.94 | 1.01 | 1.03 | 0.96 |
| Spot | Age (Ma) | 176Yb/177Hf | 176Lu/177Hf | 176Hf/177Hf | 1σ | εHf(t) | 1σ | TDM1 | TDM2 |
|---|---|---|---|---|---|---|---|---|---|
| 22ST18-02 | 311 | 0.002353 | 0.000667 | 0.282620 | 0.000020 | 1.45 | 0.86 | 876 | 1237 |
| 22ST18-03 | 312 | 0.009589 | 0.000295 | 0.282598 | 0.000023 | 0.63 | 0.95 | 913 | 1290 |
| 22ST18-04 | 312 | 0.015747 | 0.000525 | 0.282798 | 0.000038 | 7.66 | 1.45 | 638 | 840 |
| 22ST18-05 | 310 | 0.008013 | 0.000249 | 0.282588 | 0.000025 | 0.25 | 1.01 | 925 | 1313 |
| 22ST18-07 | 314 | 0.010729 | 0.000365 | 0.282600 | 0.000024 | 0.75 | 1.00 | 911 | 1284 |
| 22ST18-08 | 311 | 0.009127 | 0.000298 | 0.282585 | 0.000022 | 0.16 | 0.93 | 930 | 1319 |
| 22ST18-11 | 313 | 0.015341 | 0.000523 | 0.282595 | 0.000028 | 0.52 | 1.11 | 922 | 1298 |
| 22ST18-13 | 308 | 0.010197 | 0.000342 | 0.282590 | 0.000017 | 0.27 | 0.79 | 924 | 1310 |
| 22ST18-14 | 310 | 0.012033 | 0.000425 | 0.282590 | 0.000019 | 0.29 | 0.86 | 927 | 1311 |
| 22ST18-15 | 308 | 0.012469 | 0.000409 | 0.282544 | 0.000026 | −1.36 | 1.06 | 989 | 1414 |
| 22ST18-16 | 311 | 0.009131 | 0.000323 | 0.282545 | 0.000022 | −1.24 | 0.93 | 986 | 1409 |
| 22ST18-17 | 307 | 0.010164 | 0.000340 | 0.282578 | 0.000026 | −0.20 | 1.04 | 942 | 1339 |
| 22ST18-18 | 310 | 0.010097 | 0.000337 | 0.282493 | 0.000034 | −3.11 | 1.31 | 1058 | 1527 |
| 22ST18-19 | 307 | 0.009896 | 0.000332 | 0.282577 | 0.000031 | −0.20 | 1.20 | 942 | 1340 |
| 22ST18-20 | 307 | 0.011024 | 0.000370 | 0.282515 | 0.000023 | −2.42 | 0.95 | 1029 | 1481 |
| Samples | Rb (ppm) | Sr (ppm) | 87Rb/86Sr | 87Sr/86Sr | 87Sr/86Sr (i) | Sm (ppm) | Nd (ppm) | 147Sm/ 144Nd | 143Nd/ 144Nd | TDM1 (Ma) | TDM2 (Ma) | 143Nd/ 144Nd(i) | εNd(t) |
|---|---|---|---|---|---|---|---|---|---|---|---|---|---|
| 22ST18-1 | 82.3 | 515 | 0.46 | 0.708170 | 0.706161 | 4.56 | 26.07 | 0.105725 | 0.512322 | 1174 | 1285 | 0.512107 | −2.58 |
| 22ST18-2 | 80.0 | 509 | 0.45 | 0.708094 | 0.706120 | 4.57 | 25.39 | 0.108735 | 0.512333 | 1190 | 1276 | 0.512113 | −2.47 |
| 22ST18-3 | 78.6 | 479 | 0.48 | 0.708172 | 0.706110 | 3.80 | 21.09 | 0.108917 | 0.512303 | 1237 | 1325 | 0.512082 | −3.08 |
| 22ST18-4 | 86.5 | 530 | 0.47 | 0.708255 | 0.706205 | 4.52 | 26.63 | 0.102542 | 0.512309 | 1158 | 1295 | 0.512101 | −2.71 |
| 22ST18-5 | 94.3 | 512 | 0.53 | 0.708401 | 0.706086 | 4.73 | 26.81 | 0.106592 | 0.512298 | 1218 | 1326 | 0.512082 | −3.09 |
Disclaimer/Publisher’s Note: The statements, opinions and data contained in all publications are solely those of the individual author(s) and contributor(s) and not of MDPI and/or the editor(s). MDPI and/or the editor(s) disclaim responsibility for any injury to people or property resulting from any ideas, methods, instructions or products referred to in the content. |
© 2025 by the authors. Licensee MDPI, Basel, Switzerland. This article is an open access article distributed under the terms and conditions of the Creative Commons Attribution (CC BY) license (https://creativecommons.org/licenses/by/4.0/).
Share and Cite
Abuduxun, N.; Xiao, W.; Zhang, W.; Yang, H.; Alimujiang, A.; Huang, P.; Gan, J. Late Carboniferous Slab Rollback in the Southern Altaids: Evidence from a Slab-Derived Adakitic Granodiorite in the South Tianshan. Minerals 2025, 15, 674. https://doi.org/10.3390/min15070674
Abuduxun N, Xiao W, Zhang W, Yang H, Alimujiang A, Huang P, Gan J. Late Carboniferous Slab Rollback in the Southern Altaids: Evidence from a Slab-Derived Adakitic Granodiorite in the South Tianshan. Minerals. 2025; 15(7):674. https://doi.org/10.3390/min15070674
Chicago/Turabian StyleAbuduxun, Nijiati, Wenjiao Xiao, Wanghu Zhang, He Yang, Abidan Alimujiang, Peng Huang, and Jingmin Gan. 2025. "Late Carboniferous Slab Rollback in the Southern Altaids: Evidence from a Slab-Derived Adakitic Granodiorite in the South Tianshan" Minerals 15, no. 7: 674. https://doi.org/10.3390/min15070674
APA StyleAbuduxun, N., Xiao, W., Zhang, W., Yang, H., Alimujiang, A., Huang, P., & Gan, J. (2025). Late Carboniferous Slab Rollback in the Southern Altaids: Evidence from a Slab-Derived Adakitic Granodiorite in the South Tianshan. Minerals, 15(7), 674. https://doi.org/10.3390/min15070674

