Geochemical Halos in Wall Rocks and Overlying Soils as Indicators of Concealed Lithium Pegmatites
Abstract
1. Introduction
2. Pegmatite-Related Geochemical Dispersion Halos
2.1. Magmatic–Hydrothermal Metasomatic Halos
2.2. Geochemical Dispersion Halos of Soils Related to Weathering and Pedogenesis
3. Geological Setting
3.1. The Florence County Pegmatites (FCPs)

3.2. The Dickinson County Pegmatites (DCPs)
4. Soils Formed on Rock Outcrops
5. Materials and Methods
5.1. Sampling Strategies
- Type 1 soil samples—soils that formed directly on pegmatite outcrop, sampled along dike strike. Four to seven samples were collected for each pegmatite. In some cases, only shallow, <20 cm deep, and H horizon soils were available. The Type 1 samples were spaced 3–30 m apart depending on the length of the pegmatite outcrop and soil availability.
- Type 2 soil samples—collected along traverses cutting across the strike of outcropping dikes and extending in soil overlying the surrounding host rock. Up to 14 Type 2 samples per LCT pegmatite were collected. Representative nearby host rock samples were also sampled when available, at some of the soil sampling points.
- Type 3 soil samples—collected along ‘blind’ traverses cutting across hypothetical extensions of pegmatite dikes concealed under thicker soils. Eleven to twenty Type 3 samples were collected for each LCT pegmatite. The ‘blind’ traverses were located 10 to 20 m from the last pegmatite exposure (Figure 3).
5.2. Sample Preparation
5.3. Petrography
5.4. Inductively Coupled Plasma—Optical Emission Spectroscopy (ICP-OES)
6. Results
6.1. Field and Petrographic Characterization
6.1.1. Pegmatites
6.1.2. Host Rocks and Contacts Between Pegmatites and Host Rocks
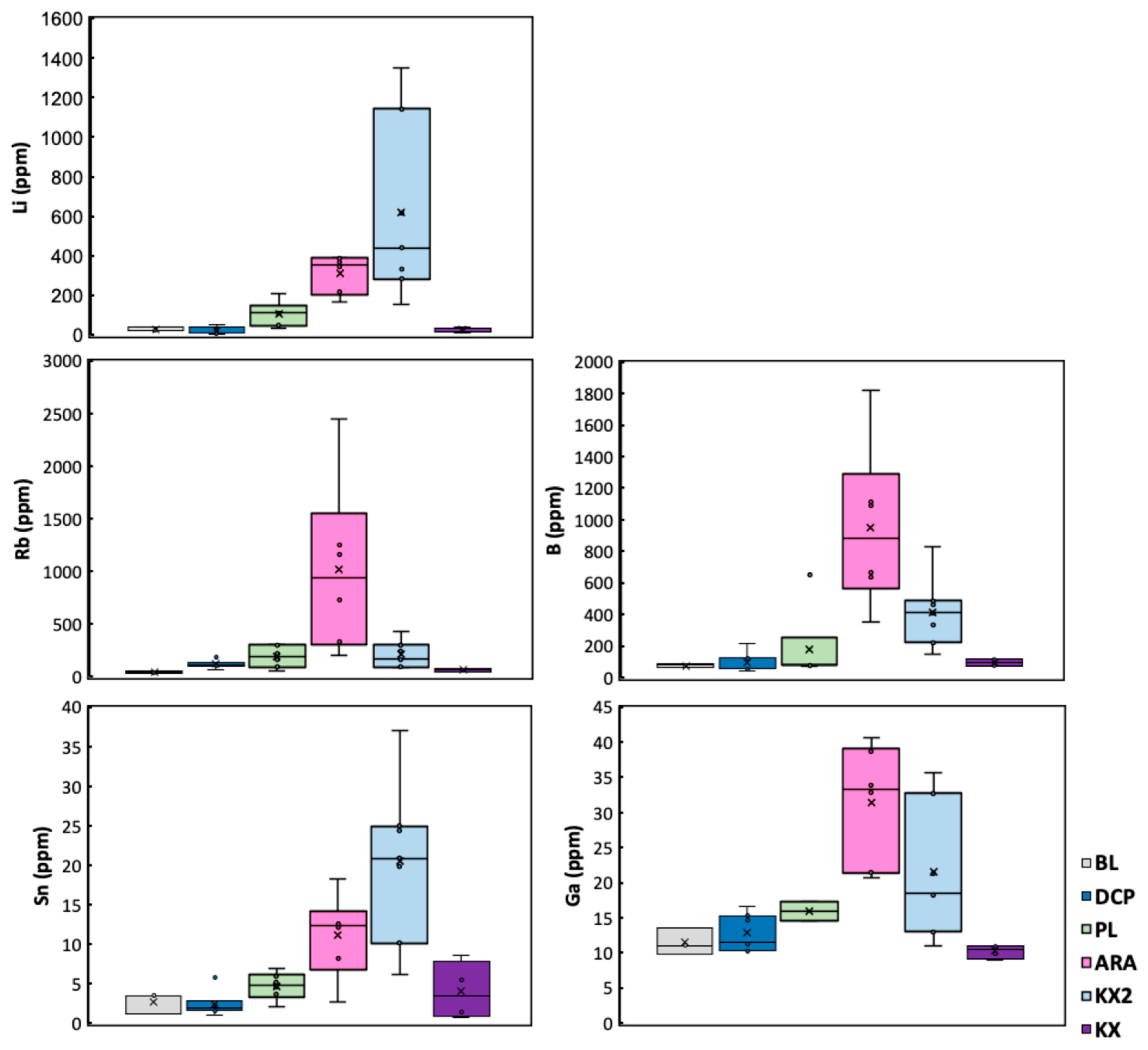
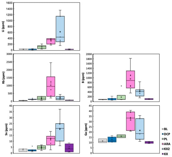
6.2. Whole-Rock Geochemistry
- Constrain the geochemistry of the parent materials including the mineralized FCP dikes, their host rocks, the parental BL granite, and barren DCP pegmatites;
- Better understand the extent of Li and Li pathfinder metasomatic halos;
- Further relate to the geochemistry of weathering products.
6.3. Bulk Soil and Leachate Geochemistry
6.3.1. Bulk Soil Geochemistry
6.3.2. Leachate Geochemistry
7. Discussion
7.1. Pegmatite-Derived (Type 1) Soil Geochemistry
7.2. Host Rock Halos and Types 2 and 3 Soil Anomalies
7.2.1. Characteristics, Formation Mechanisms, and Variability of the FCP Halos
- A metasomatic alteration zone typically within <1 m from the pegmatite contact, characterized by abundant metasomatic minerals;
- A transitional zone, spanning 1–10 m from the contact, with disseminated metasomatic minerals;
- A cryptic geochemical halo, typically extending beyond 10 m from the contact.
7.2.2. Mineral Hosts of Li Pathfinder Elements
7.2.3. Relationships Between Host Rock and Soil Geochemical Anomalies
7.3. Geomorphologic and Pedogenetic Controls on Soil Geochemical Halos
7.4. Bulk Soil Geochemistry as an Exploration Tool of Li Pegmatites
8. Conclusions
- Soil geochemical anomalies in mineralized pegmatites mirror well the distribution and magnitude of the metasomatic halos in their host rocks but extend to only roughly half of the distance from pegmatites compared to the host rock anomalies, due to dilution and dispersion.
- Soil dispersion halos are influenced by glacio-fluvial cover, soil thickness, topographic relief, pegmatite size/composition, and metasomatic halo extent, for areas with the same climate, vegetation cover, and minimal human impact.
- Lithium concentrations exceeding ~100 ppm, Li pathfinder elements (Li, Rb, B, Ga, and Sn) totaling > 420 ppm, and K:Rb > 275 indicate proximity to mineralized dikes.
- For the detection limits utilized here, soil thickness greater than ~1 m or intervening till or glaciofluvial sediment mask the presence of hidden pegmatite bodies.
- Leaching experiments targeting mobile components show promise for detecting concealed mineralization in thicker soils. However, soils developed on glacial till should be avoided, unless more sensitive instrumentation is utilized.
- In soils less than 1 m thick, the principal carriers of Li pathfinders are unweathered mineral particles, either in situ or transported for short distances.
Supplementary Materials
Author Contributions
Funding
Data Availability Statement
Acknowledgments
Conflicts of Interest
References
- Wise, M.A.; Müller, A.; Simmons, W.B. A Proposed New Mineralogical Classification System for Granitic Pegmatites. Can. Miner. 2022, 60, 229–248. [Google Scholar] [CrossRef]
- Černý, P.; Ercit, T.S. The classification of granitic pegmatites revisited. Can. Miner. 2005, 43, 2005–2026. [Google Scholar] [CrossRef]
- Černý, P. Rare-element granitic pegmatites. Part I: Anatomy and internal evolution of pegmatite deposits. Geosc. Can. 1991, 18, 49–67. [Google Scholar]
- Černý, P. Fertile Granites of Precambrian Rare-Element Pegmatite Fields—Is Geochemistry Controlled by Tectonic Setting or Source Lithologies? Precambrian Res. 1991, 51, 429–468. [Google Scholar] [CrossRef]
- Bowell, R.J.; Lagos, L.; de los Hoyos, C.R.; Declercq, J. Classification and Characteristics of Natural Lithium Resources. Elements 2020, 16, 259–264. [Google Scholar] [CrossRef]
- Benson, T.R.; Jowitt, S.M.; Simon, A.C. Special Issues on the Geology and Origin of Lithium Deposits—Introduction: Lithium Deposit Types, Sizes, and Global Distribution. Econ. Geol. 2025; In press. [Google Scholar] [CrossRef]
- Xu, Z.Q.; Liang, B.; Geng, Y.; Liu, T.; Wang, Q.B. Extraction of soils above concealed lithium deposits for rare metal exploration in Jiajika area: A pilot study. Appl. Geochem. 2019, 107, 142–151. [Google Scholar] [CrossRef]
- Steiner, B.M. Tools and Workflows for Grassroots Li-Cs-Ta (LCT) Pegmatite Exploration. Minerals 2019, 9, 499. [Google Scholar] [CrossRef]
- Galeschuk, C.R.; Vanstone, P.J. Exploration Techniques for Rare-Element Pegmatite in the Bird River Greenstone Belt, Southeastern Manitoba. In Proceedings of the Exploration 07: Fifth Decennial International Conference on Mineral Exploration, Toronto, ON Canada, 9–12 September 2007; pp. 823–839. [Google Scholar]
- Wise, M.A.; Harmon, R.S.; Curry, A.; Jennings, M.; Grimac, Z.; Khashchevskaya, D. Handheld LIBS for Li exploration: An example from the Carolina tin-spodumene belt, USA. Minerals 2022, 12, 77. [Google Scholar] [CrossRef]
- Müller, A.; Brönner, M.; Menuge, J.; Williamson, B.; Haase, C.; Tassis, G.; Pohl, C.; Brauch, K.; Saalmann, K.; Teodoro, A.; et al. The GREENPEG Project Toolset to Explore for Buried Pegmatites Hosting Lithium, High-Purity Quartz, and Other Critical Raw Materials. Econ. Geol. 2025, 120, 745–778. [Google Scholar] [CrossRef]
- Balaram, V.; Sawant, S.S. Indicator Minerals, Pathfinder Elements, and Portable Analytical Instruments in Mineral Exploration Studies. Minerals 2022, 12, 394. [Google Scholar] [CrossRef]
- Fabre, C.; Ourti, N.E.; Ballouard, C.; Mercardier, J.; Cauzid, J. Handheld LIBS analysis for in situ quantification of Li and detection of the trace elements (Be, Rb and Cs). J. Geochem. Explor. 2022, 236, 106979. [Google Scholar] [CrossRef]
- Dias, F.; Ribeiro, R.; Gonçalves, F.; Lima, A.; Roda-Robles, E.; Martins, T. Calibrating a Handheld LIBS for Li Exploration in the Barroso-Alvao Aplite-Pegmatite Field, Northern Portugal: Textural Precautions and Procedures When Analyzing Spodumene and Petalite. Minerals 2023, 13, 470. [Google Scholar] [CrossRef]
- Fabre, C.; Ourti, N.E.; Mercadier, J.; Cardoso-Fernandes, J.; Dias, F.; Perrotta, M.N.; Koerting, F.; Lima, A.; Kaestner, F.; Koellner, N.; et al. Analyses of Li-Rich Minerals Using Handheld LIBS Tool. Data 2021, 6, 68. [Google Scholar] [CrossRef]
- Harmon, R.S.; Lawley, C.J.M.; Watts, J.; Harraden, C.L.; Somers, A.M.; Hark, R.R. Laser-Induced Breakdown Spectroscopy-An emerging analytical tool for mineral exploration. Minerals 2019, 9, 718. [Google Scholar] [CrossRef]
- Korbel, C.; Mezoued, N.; Demeusy, B.; Fabre, C.; Cauzid, J.; Filippova, I.V.; Filippov, L.O. Quantification of lithium using handheld instruments: Application of LIBS and XRF spectroscopy to assay the lithium content of mineral processing products. J. Anal. At. Spectrom. 2024, 39, 1838–1853. [Google Scholar] [CrossRef]
- Falster, A.U.; Simmons, W.B.; Webber, K.L. The mineralogy and geochemistry of the Animikie Red Ace pegmatite, Florence County, Wisconsin. Recent Res. Dev. Mineral. 1996, 1, 7–67. [Google Scholar]
- Liu, X.-M.; Rudnick, R.L.; Hier-Majumder, S.; Sirbescu, M.-L. Processes controlling lithium isotopic distribution in contact aureoles: A case study of the Florence County pegmatites, Wisconsin. Geochem. Geophys. Geosystems 2010, 11, 21. [Google Scholar] [CrossRef]
- Sirbescu, M.L.C.; Hartwick, E.E.; Student, J.J. Rapid crystallization of the Animikie Red Ace Pegmatite, Florence county, northeastern Wisconsin: Inclusion microthermometry and conductive-cooling modeling. Contrib. Miner. Pet. 2008, 156, 289–305. [Google Scholar] [CrossRef]
- Pierangeli, L.M.P.; Sirbescu, M.-L.C.; Silva, S.H.G.; Weindorf, D.C.; Benson, T.R.; Cury, N. Soil geochemistry towards lithium pegmatite exploration: Building a machine-learning predictive algorithm via portable-XRF. Econ. Geol. 2025, 120. [Google Scholar]
- Selway, J.B.; Breaks, F.W.; Tindle, A.G. A review of rare-element (Li-Cs-Ta) pegmatite exploration techniques for the Superior Province, Canada, and large worldwide tantalum deposits. Explor. Min. Geol. 2005, 14, 1–30. [Google Scholar] [CrossRef]
- Trueman, D.; Černý, P. Exploration for rare-element granitic pegmatites. In Pegmatites in Science and Industry; Cerny, P., Ed.; Mineralogical Association of Canada: Toronto, ON, Canada, 1982; pp. 463–494. [Google Scholar]
- Barros, R.; Kaeter, D.; Menuge, J.F.; Fegan, T.; Harrop, J. Rare Element Enrichment in Lithium Pegmatite Exomorphic Halos and Implications for Exploration: Evidence from the Leinster Albite-Spodumene Pegmatite Belt, Southeast Ireland. Minerals 2022, 12, 981. [Google Scholar] [CrossRef]
- Errandonea-Martin, J.; Garate-Olave, I.; Roda-Robles, E.; Cardoso-Fernandes, J.; Lima, A.; Ribeiro, M.d.A.; Teodoro, A.C. Metasomatic effect of Li-bearing aplite-pegmatites on psammitic and pelitic metasediments: Geochemical constraints on critical raw material exploration at the Fregeneda–Almendra Pegmatite Field (Spain and Portugal). Ore Geol. Rev. 2022, 150, 105155. [Google Scholar] [CrossRef]
- Müller, A.; Reimer, W.; Wall, F.; Williamson, B.; Menuge, J.; Brönner, M.; Haase, C.; Brauch, K.; Pohl, C.; Lima, A. GREENPEG–exploration for pegmatite minerals to feed the energy transition: First steps towards the Green Stone Age. In The Green Stone Age: Exploration and Exploitation of Minerals for Green Technologies; Smelror, M., Hanghøj, K., Schiellerup, H., Eds.; Geological Society, London, Special Publications: London, UK, 2023; Volume 526, pp. 193–218. [Google Scholar]
- Garate-Olave, I.; Roda-Robles, E.; Santos-Loyola, N.; Martins, T.; Lima, A.; Errandonea-Martin, J. Crystallization Sequence of the Spodumene-Rich Alijó Pegmatite (Northern Portugal) and Related Metasomatism on Its Host Rock. Minerals 2024, 14, 701. [Google Scholar] [CrossRef]
- Pell, R.; Tijsseling, L.; Goodenough, K.; Wall, F.; Dehaine, Q.; Grant, A.; Deak, D.; Yan, X.Y.; Whattoff, P. Towards sustainable extraction of technology materials through integrated approaches. Nat. Rev. Earth Envrion. 2021, 2, 665–679. [Google Scholar] [CrossRef]
- Černý, P. Rare-element granitic pegmatites. Part II: Regional to global environments and petrogenesis. In Ore Deposit Models; Sheahan, P.A., Cherry, M.E., Eds.; Geoscience Canada—Geological Association of Canada, Reproduction Series: Ottawa, ON, Canada, 1993; Volume 18, pp. 49–67. [Google Scholar]
- McCaffrey, D.M.; Jowitt, S.M. The crystallization temperature of granitic pegmatites: The important relationship between undercooling and critical metal prospectivity. Earth-Sci. Rev. 2023, 244, 104541. [Google Scholar] [CrossRef]
- Breaks, F.W.; Selway, J.B.; Tindle, A.G. Fertile peraluminous granites and related rare element pegmatites, Superior Province of Ontario. In Rare-Element Geochemistry and Mineral Deposits; Linnen, R., Sampson, I., Eds.; Geological Association of Canada: Ottawa, ON, Canada, 2005; Volume 17, pp. 87–127. [Google Scholar]
- London, D. Ore-forming processes within granitic pegmatites. Ore Geol. Rev. 2018, 101, 349–383. [Google Scholar] [CrossRef]
- Nabelek, P.I.; Whittington, A.; Sirbescu, M.-L. The role of H2O in rapid emplacement and crystallization of granite pegmatites: Resolving the paradox of large crystals in highly undercooled melts. Contrib. Miner. Pet. 2010, 160, 313–325. [Google Scholar] [CrossRef]
- Hulsbosch, N.; Muchez, P. Tracing fluid saturation during pegmatite differentiation by studying the fluid inclusion evolution and multiphase cassiterite mineralisation of the Gatumba pegmatite dyke system (NW Rwanda). Lithos 2020, 354, 105285. [Google Scholar] [CrossRef]
- Chen, J.Z.; Zhang, H.; Tang, Y.; Lv, Z.H.; An, Y.; Wang, M.T.; Liu, K.; Xu, Y.S. Lithium mineralization during evolution of a magmatic-hydrothermal system: Mineralogical evidence from Li-mineralized pegmatites in Altai, NW China. Ore Geol. Rev. 2022, 149, 105058. [Google Scholar] [CrossRef]
- Morgan, G.B.; London, D. Alteration of Amphibolitic Wallrocks around the Tanco Rare-Element Pegmatite, Bernic Lake, Manitoba. Am. Miner. 1987, 72, 1097–1121. [Google Scholar]
- Shearer, C.K.; Papike, J.J.; Simon, S.B.; Laul, J.C. Pegmatite—wallrock interactions, Black Hills, South Dakota: Interactions between pegmatite-derived fluids and quartz-mica schist wallrock. Am. Miner. 1986, 71, 518–539. [Google Scholar]
- Martins, T.; Linnen, R.L.; Fedikow, M.A.F.; Singh, J. Whole-rock and mineral geochemistry as exploration tools for rare-element pegmatite in Manitoba: Examples from the Cat Lake–Winnipeg River and Wekusko Lake pegmatite fields (parts of NTS 52L6, 63J13). Manit. Geol. Survey Rep. Act 2017, 5, 42–51. [Google Scholar]
- Sweetapple, M.T.; Vanstone, P.J.; Lumpkin, G.R.; Collins, P.L.F. A review of lithogeochemical dispersion haloes of LCT pegmatites, and their application to rare metal exploration, with special reference to lithium in an Australian context. Aust. J. Earth Sci. 2024, 71, 1050–1084. [Google Scholar] [CrossRef]
- Warr, L.N. IMA-CNMNC approved mineral symbols. Mineral. Mag. 2021, 85, 291–320. [Google Scholar] [CrossRef]
- Frost, M.T.; Tsambourakis, G.; Davis, J. Holmquistite-Bearing Amphibolite from Greenbushes, Western Australia. Mineral. Mag. 1987, 51, 585–591. [Google Scholar] [CrossRef]
- Cámara, F.; Oberti, R. The crystal-chemistry of holmquistites: Ferroholmquistite from Greenbushes (Western Australia) and hints for compositional constraints in BLi amphiboles. Am. Miner. 2005, 90, 1167–1176. [Google Scholar] [CrossRef]
- Lagache, M.; Quemeneur, J. The Volta Grande Pegmatites, Minas Gerais, Brazil; an example of rare-element granitic pegmatites exceptionally enriched in lithium and rubidium. Can. Miner. 1997, 35, 153–165. [Google Scholar]
- Shearer, C.K.; Papike, J.J. Pegmatite-Wallrock Interaction—Holmquistite-Bearing Amphibolite, Edison Pegmatite, Black Hills, South-Dakota. Am. Miner. 1988, 73, 324–337. [Google Scholar]
- Selway, J.B.; Novák, M.; Cerny, P.; Hawthorne, F.C. The Tanco pegmatite at Bernic Lake, Manitoba.: XIII.: Exocontact tourmaline. Can. Miner. 2000, 38, 869–876. [Google Scholar] [CrossRef]
- Bodeving, S.; Vasyukova, O.V.; Williams-Jones, A.E. Controls on the origin and evolution of wall-rock alteration at the Big Whopper Li-Cs-Ta pegmatite, Canada. Econ. Geol. 2025, 120, 689–714. [Google Scholar] [CrossRef]
- Keyser, W.; Müller, A.; Augland, L.E.; Steiner, R. Rare-metal halos of lithium pegmatite at the Wolfsberg deposit, Austria, and their implications for exploration. Ore Geol. Rev. 2024, 171, 106179. [Google Scholar] [CrossRef]
- Sirbescu, M.L.C.; Leatherman, M.A.; Student, J.J.; Beehr, A.R. Apatite Textures and Compositions as Records of Crystallization Processes in the Animikie Red Ace Pegmatite Dike, Wisconsin, USA. Can. Miner. 2009, 47, 725–743. [Google Scholar] [CrossRef]
- Dill, H.G. An overview of the pegmatitic landscape from the pole to the equator—Applied geomorphology and ore guides. Ore Geol. Rev. 2017, 91, 795–823. [Google Scholar] [CrossRef]
- Schaetzl, R.J.; Thompson, M.L. Soils: Genesis and Geomorphology, 2nd ed.; Cambridge University Press: New York, NY, USA, 2015; p. 778. [Google Scholar]
- Luecke, W. Soil Geochemistry Above a Lithium Pegmatite Dyke at Aclare, Southeast Ireland. Ir. J. Earth Sci. 1984, 6, 205–211. Available online: https://www.jstor.org/stable/30002472 (accessed on 15 April 2025).
- Marshall, B.T.; Herman, J.S. Trace element distribution in the soils above deeply weathered pegmatites, Virginia, U.S.A.: Implications for exploration. Appl. Geochem. 1986, 1, 681–690. [Google Scholar] [CrossRef]
- Galeschuk, C.R.; Vanstone, P. Exploration for Buried Rare Element Pegmatites in the Bernic Lake Region of Southeastern Manitoba. In Rare-Element Geochemistry and Mineral Deposits; Linnen, R., Sampson, I., Eds.; Geological Association of Canada, Short Course Notes: Ottawa, ON, Canada, 2005; Volume 17, pp. 159–173. [Google Scholar]
- Fedicow, M.; Zelligan, S. NI 43-101 Technical Report on the Zoro Lithium Project, Snow Lake, Manitoba. Unpublished Report Prepared for Far Resources Ltd. 2018, p. 187. Available online: https://sedar-filings-backup.thecse.com/00032046/1809051817578606.pdf (accessed on 15 April 2025).
- Turner, D.; Young, I. Geological Assessment Report on the Selwyn 1–10 Claims, Located at NTS 105I02 Latitude 62° 05′N.; Longitude 125° 51′W in the Yukon Territory; Unpublished Report Prepared for War Eagle Mining Company; 2008; p. 65. Available online: https://yma.gov.yk.ca/095100.pdf (accessed on 15 April 2025).
- Bradley, D.C.; McCauley, A.; Stillings, L.M. Mineral-deposit models for lithium-cesium-tantalum pegmatites. In U.S. Geological Survey Scientific Investigations Report 2010-5070-0; U.S. Geological Survey: Reston, VA, USA, 2017; p. 48. [Google Scholar] [CrossRef]
- Holm, D.; Medaris, L.G.; McDannell, K.T.; Schneider, D.A.; Schulz, K.; Singer, B.S.; Jicha, B.R. Growth, overprinting, and stabilization of Proterozoic provinces in the southern Lake Superior region. Precambrian Res. 2020, 339, 105587. [Google Scholar] [CrossRef]
- Dutton, C.E. Geology of the Florence Area, Wisconsin and Michigan. Scale 1:24,000; U. S. Geological Survey Professional Paper 633: Reston, VA, USA, 1971; p. 54. [Google Scholar] [CrossRef]
- Sims, P.K.; Schulz, K.J.; DeWitt, E.; Brasaemle, B. Petrography and geochemistry of early Proterozoic granitoid rocks in Wisconsin magmatic terranes of Penokean Orogen, northern Wisconsin. U.S. Geol. Surv. Bull. 1993, 1904-J, 1–31. [Google Scholar] [CrossRef]
- Sims, P.K.; Schulz, K.J.; Peterman, Z.E. Geology and Geochemistry of Early Proterozoic Rocks in the Dunbar Area, Northeastern Wisconsin; U.S. Geological Survey Professional Paper 1517: Reston, VA, USA, 1992; p. 65. [Google Scholar] [CrossRef]
- Zi, J.-W.; Sheppard, S.; Muhling, J.R.; Rasmussen, B. Refining the Paleoproterozoic tectonothermal history of the Penokean Orogen: New U-Pb age constraints from the Pembine-Wausau terrane, Wisconsin, USA. GSA Bull. 2022, 134, 776–790. [Google Scholar] [CrossRef]
- Koehler, S.R. Geological setting and geochemistry of the Bush Lake Granite in relation to rare-element pegmatites, Florence county, Wisconsin. In Proceedings of the 36th Annual Meeting, Institute of Lake Superior Geology, Thunder Bay, ON, Canada, 9–12 May 1990; pp. 51–52. [Google Scholar]
- Sims, P.K.; Peterman, Z.E.; Schulz, K.J. The Dunbar Gneiss-Granitoid Dome—Implications for Early Proterozoic Tectonic Evolution of Northern Wisconsin. Geol. Soc. Am. Bull. 1985, 96, 1101–1112. [Google Scholar] [CrossRef]
- Schulz, K.J. Field Trip 4: Granitoid rocks of the Pembine-Wasau terrane in Northeastern Wisconsin. In Proceedings of the 64th Annual Meeting, Institute of Lake Superior Geology, Iron Mountain, MI, USA, 15–18 May 2018. [Google Scholar]
- Schulz, K.J.; Cannon, W.F. The penokean orogeny in the lake superior region. Precambrian Res. 2007, 157, 4–25. [Google Scholar] [CrossRef]
- Geiger, C.A.; Guidotti, C.V. Precambrian metamorphism in the southern Lake Superior region and its bearing on crustal evolution. Geosci. Wis. 1989, 13, 1–33. [Google Scholar] [CrossRef]
- Daniel, C.G.; Indares, A.; Medaris, L.G., Jr.; Aronoff, R.; Malone, D.; Schwartz, J. Linking the Pinware, Baraboo, and Picuris orogens: Recognition of a trans-Laurentian ca. 1520–1340 Ma orogenic belt. In Turning Points in the Evolution of a Continent: Geological Society of America Memoir 220; Whitmeyer, S.J., Williams, M.L., Kellett, D.A., Tikoff, B., Eds.; Geological Society of America: Boulder, CO, USA, 2023; Volume 220, pp. 175–190. [Google Scholar]
- Dewane, T.J.; Van Schmus, W.R. U-Pb geochronology of the Wolf River batholith, north-central Wisconsin: Evidence for successive magmatism between 1484 Ma and 1468 Ma. Precambrian Res. 2007, 157, 215–234. [Google Scholar] [CrossRef]
- Falster, A.U.; Simmons, W.B.; Webber, K.L. Origin of the pegmatites in the Hoskin Lake pegmatite field, Florence Co., Wisconsin. In Proceedings of the Crystallization Processes in Granitic Pegmatites, International Meeting, Cavoli, Elba Island, Italy, 23–28 May 2005. [Google Scholar]
- Falster, A.U.; Simmons, W.B.; Webber, K.L. Anatectic origin of the post-Penokean Li-Cs-Ta-enriched pegmatites in Florence County, Wisconsin, USA. In Proceedings of the XXII International Mineralogical Association meeting, Melbourne, Australia, 13–17 August 2018. [Google Scholar]
- Gerla, P.J. Occurrence of a Heterogeneous Pegmatite in Florence County, Wisconsin; Wisconsin Geological and Natural History Survey: Madison, WI, USA, 1988; p. 13. [Google Scholar]
- Koehler, S.R. Geological Setting, Mineralogy, and Geochemistry of Four Rare Element Pegmatites from the Penokean Volcanic Belt, Florence County, Wisconsin; University of Wisconsin-Extension, Geological and Natural History Survey: Madison, WI, USA, 1991; p. 27. [Google Scholar]
- Buchholz, T.; Falster, A.U.; Simmons, W.B.; Webber, K.L.; Van Daalen, C.M. A comparison of two Paleoproterozoic pegmatite districts and nearby granite bodies in Florence County, Wisconsin and Marquette County, Michigan. Can. Miner. 2019, 57, 719–721. [Google Scholar] [CrossRef]
- James, H.L.; Clark, L.D.; Lamey, C.A.; Pettijohn, F.J. Geology of Central Dickinson County, Michigan. Geol. Surv. Prof. Pap. 1961, 310, 172. [Google Scholar] [CrossRef]
- Van Daalen, C.M. Mineralogy and Geochemistry of Late Archean and Paleoproterozoic Granites and Pegmatites in the Northern Penokean Terrane of Marquette and Dickinson Counties, Michigan. Master’s Thesis, University of New Orleans, New Orleans, LA, USA, 2015. [Google Scholar]
- Cannon, W.F.; Schulz, K.J.; Ayuso, R.A.; Mroz, T.H. Field Trip 1: Archean and Paleoproterozoic geology of the Felch district, Central Dickinson County, Michigan. In Proceedings of the 64th Annual Meeting, Institute of Lake Superior Geology, Iron Mountain, MI, USA, 15–18 May 2018. [Google Scholar]
- Ayuso, R.A.; Schultz, K.J.; Cannon, W.F.; Woodruff, L.G.; Vasquez, J.A.; Foley, N.K.; Jackson, J. New U-Pb Zircon Ages for Rocks from the Granite-Gneiss Terrane in Northern Michigan: Evidence for Events at ~3750, 2750, and 1850 Ma. In Proceedings of the 64th Annual Meeting, Institute on Lake Superior Geology, Iron Mountain, MI, USA, 15–18 May 2018; pp. 7–8. [Google Scholar]
- Soil Survey Staff, Natural Resources Conservation Service. Soil Taxonomy: A Basic System of Soil Classification for Making and Interpreting Soil Surveys, 2nd ed.; U.S. Department of Agriculture Handbook: Washington, DC, USA, 1999. Available online: https://www.nrcs.usda.gov/resources/guides-and-instructions/soil-taxonomy (accessed on 15 April 2025).
- California-Soil-Resource-Lab. SoilWeb Earth: SSURGO Soils in Google Earth. n.d. Available online: https://casoilresource.lawr.ucdavis.edu/soilweb/ (accessed on 15 April 2025).
- Boelter, J.M.; Elg, A.M. Soil survey of Florence County, Wisconsin; Natural Resources Conservation Service: Washington, DC, USA, 2004. Available online: https://purl.fdlp.gov/GPO/LPS94964 (accessed on 15 April 2025).
- CEC. Guide to drought indices and indicators used in North America. In Project Publication© Commission for Environmental Cooperation; CEC: Montreal, QC, Canada, 2021. [Google Scholar]
- Beck, H.E.; McVicar, T.R.; Vergopolan, N.; Berg, A.; Lutsko, N.J.; Dufour, A.; Zeng, Z.; Jiang, X.; van Dijk, A.I.J.M.; Miralles, D.G. High-resolution (1 km) Köppen-Geiger maps for 1901–2099 based on constrained CMIP6 projections. Sci. Data 2023, 10, 724. [Google Scholar] [CrossRef]
- Webb, T.I.; Bartlein, P.J.; Harrison, S.P.; Anderson, K.H. Vegetation, lake levels, and climate in eastern North America for the past 18,000 years. In Global Climates Since the Last Glacial Maximum; Wright, H.E., Jr., Kutzbach, J.E., Webb, T., III, Ruddiman, W.F., Street-Perrott, F.A., Bartlein, P.J., Eds.; University of Minnesota Press: Minneapolis, MN, USA, 1993; pp. 415–467. [Google Scholar]
- Clayton, L. Pleistocene geology of Florence County, Wisconsin. In Wisconsin Geological and Natural History Survey Information Circular; Wisconsin Geological and Natural History Survey: Madison, WI, USA, 1986; Volume 51. [Google Scholar]
- Smith, D.B.; Solano, F.; Woodruff, L.G.; Cannon, W.F.; Ellefsen, K.J. Geochemical and Mineralogical Maps, with Interpretation, for Soils of the Conterminous United States; United Stages Geological Survey: Reston, VA, USA, 2019. [Google Scholar]
- Locock, A.J. An Excel spreadsheet to classify chemical analyses of amphiboles following the IMA2012 recommendations. Comput. Geosci. 2014, 62, 1–11. [Google Scholar] [CrossRef]
- Rudnick, R.L.; Gao, S. Composition of the Continental Crust; Elsevier-Pergamon: Oxfordshire, UK, 2003. [Google Scholar] [CrossRef]
- Zhou, J.S.; Wang, Q.; Wang, H.; Ma, J.L.; Zhu, G.H.; Zhang, L. Pegmatite lithium deposits formed within low-temperature country rocks. Nat. Commun. 2025, 16, 447. [Google Scholar] [CrossRef]
- Wohletz, K. HEAT3D: Magmatic Heat Flow Calculation 2007. Available online: https://kware-heat3d.software.informer.com/4.1/ (accessed on 15 April 2025).
- London, D.; Morgan, G.B.; Wolf, M.B. Boron in granitic rocks and their contact aureoles. Rev. Miner. 1996, 33, 299–330. [Google Scholar]
- London, D. Holmquistite as a guide to pegmatitic rare metal deposits. Econ. Geol. 1986, 81, 704–712. [Google Scholar] [CrossRef]
- Dill, H.G.; Buzatu, A.; Balaban, S.I.; Rüsenberg, K.A. A mineralogical-geomorphological terrain analysis of hotspot volcanic islands—The missing link between carbonatite- and pegmatite Nb-F-Zr-Li-Be-bearing REE deposits and new tools for their exploration (Canary Islands Archipelago, Spain). Ore Geol. Rev. 2023, 163, 105702. [Google Scholar] [CrossRef]
- Dill, H.G. The Hagendorf-Pleystein Province: The Center of Pegmatites in an Ensialic Orogen. In Modern Approaches in Solid Earth Sciences; Pirajno, F., Ed.; Springer: Cham, Switzerland, 2015; Volume 15, p. 475. [Google Scholar] [CrossRef]
- Cardoso-Fernandes, J.; Lima, J.; Lima, A.; Roda-Robles, E.; Köhler, M.; Schaefer, S.; Barth, A.; Knobloch, A.; Gonçalves, M.A.; Gonçalves, F.; et al. Stream sediment analysis for Lithium (Li) exploration in the Douro region (Portugal): A comparative study of the spatial interpolation and catchment basin approaches. J. Geochem. Explor. 2022, 236, 106978. [Google Scholar] [CrossRef]
- Dill, H.G.; Weber, B.; Melcher, F.; Wiesner, W.; Müller, A. Titaniferous heavy mineral aggregates as a tool in exploration for pegmatitic and aplitic rare-metal deposits (SE Germany). Ore Geol. Rev. 2014, 57, 29–52. [Google Scholar] [CrossRef]
- Kaeter, D.; Menuge, J.F. Columbite-tantalite and cassiterite as indicator minerals for lithium pegmatites: Implications from geospatial and mineralogical analyses of stream sediments in southeast Ireland. Miner. Depos. 2025. [Google Scholar] [CrossRef]
- Dill, H.G. The CMS classification scheme (Chemical composition—Mineral assemblage—Structural geology)—linking geology to mineralogy of pegmatitic and aplitic rocks. J. Miner. Geochem. 2016, 193, 231–263. [Google Scholar] [CrossRef]
- Huang, T.; Fu, X.; Ge, L.; Zou, F.; Hao, X.; Yang, R.; Xiao, R.; Fan, J. The genesis of giant lithium pegmatite veins in Jiajika, Sichuan, China: Insights from geophysical, geochemical as well as structural geology approach. Ore Geol. Rev. 2020, 124, 103557. [Google Scholar] [CrossRef]
- Evangelista Silva, C.J.; Santos Rocha, L.S.; Bergman, P. NI 43-101 Technical Report—Mineral Resource Update on Bandeira Project, Araçuaí and Itinga, Minas Gerais State, Brazil; Lithium Ionic Corp.: Toronto, ON, Canada, 2024; Bandeira Project, GE 21 Project No 240403; 202p, Available online: https://www.sedarplus.ca/csa-party/records/document.html?id=f66e55cdb876bf130d06292fd2b1a47b2c8b2238d3c5bc88523bf54dd3212921 (accessed on 15 April 2025).
- Weindorf, D.C.; Chakraborty, S. Portable X-ray fluorescence spectrometry analysis of soils. Soil Sci. Soc. Am. J. 2020, 84, 1384–1392. [Google Scholar] [CrossRef]
- Sharma, A.; Weindorf, D.C.; Man, T.; Aldabaa, A.A.A.; Chakraborty, S. Characterizing soils via portable X-ray fluorescence spectrometer: 3. Soil reaction (pH). Geoderma 2014, 232, 141–147. [Google Scholar] [CrossRef]











| Host Rock Type | Metasomatic Minerals | Pegmatite, Country | Pegmatite Type/Subtype | Li Mineralization | References |
|---|---|---|---|---|---|
| Amphibolite | Hlm ± Fe-Hlm | Greenbushes, Australia | Ab-Spd | Spd, Aby, Hlm | [41,42] |
| Amphibolite | Znw ± Hlm | Volta Grande, Brazil | zoned Ab-Spd | Spd, Lpd | [43] |
| Amphibolite | Bt + Hlm ± Ep ± Ttn | Edison, USA | zoned Spd-subtype | Spd, Lph-Trp | [44] |
| Amphibolite | Tur ± Bt ± Ap ± Hlm ± Ms + Ep + Chl + Cal ± Zo | Tanco, Canada | zoned Ptl-subtype | Ptl, Spd, SQUI, Lpd | [36,45] |
| Amphibolite | 1: Bi + Qz + Pl 2: Hlm + Bt + Pl ± Qz | Big Whooper, Canada | zoned Ptl-subtype | Ptl, Lpd | [46] |
| Amphibolite | Bt ± Tur ± Hlm | Wolfsberg, Austria | unzoned Ab-Spd | Spd | [47] |
| Metasediments | Tur ± “pale” mica | Fregeneda-Almendra, Spain and Portugal | Spd-, Ptl-, or Lep-subtypes | Lep, Spd, Ptl, Aby | [25] |
| Quartz-mica schists | Bt-Ms-Tur or Ms-Pl-Tur | Etta, USA | Spd-subtype | Spd | [37] |
| Felsic metavolcanics | Tur + Bt | Animikie Red Ace, USA | Lep subtype | Lep, Spd | [18,20,48] |
Disclaimer/Publisher’s Note: The statements, opinions and data contained in all publications are solely those of the individual author(s) and contributor(s) and not of MDPI and/or the editor(s). MDPI and/or the editor(s) disclaim responsibility for any injury to people or property resulting from any ideas, methods, instructions or products referred to in the content. |
© 2025 by the authors. Licensee MDPI, Basel, Switzerland. This article is an open access article distributed under the terms and conditions of the Creative Commons Attribution (CC BY) license (https://creativecommons.org/licenses/by/4.0/).
Share and Cite
Sirbescu, M.-L.C.; Cox, T.R.; Pierangeli, L.M.P.; Youngblood, J.O.; Weindorf, D.C.; Benson, T.R. Geochemical Halos in Wall Rocks and Overlying Soils as Indicators of Concealed Lithium Pegmatites. Minerals 2025, 15, 615. https://doi.org/10.3390/min15060615
Sirbescu M-LC, Cox TR, Pierangeli LMP, Youngblood JO, Weindorf DC, Benson TR. Geochemical Halos in Wall Rocks and Overlying Soils as Indicators of Concealed Lithium Pegmatites. Minerals. 2025; 15(6):615. https://doi.org/10.3390/min15060615
Chicago/Turabian StyleSirbescu, Mona-Liza C., Teagan R. Cox, Luiza M. P. Pierangeli, Joy O. Youngblood, David C. Weindorf, and Thomas R. Benson. 2025. "Geochemical Halos in Wall Rocks and Overlying Soils as Indicators of Concealed Lithium Pegmatites" Minerals 15, no. 6: 615. https://doi.org/10.3390/min15060615
APA StyleSirbescu, M.-L. C., Cox, T. R., Pierangeli, L. M. P., Youngblood, J. O., Weindorf, D. C., & Benson, T. R. (2025). Geochemical Halos in Wall Rocks and Overlying Soils as Indicators of Concealed Lithium Pegmatites. Minerals, 15(6), 615. https://doi.org/10.3390/min15060615

