The Influence of Conical Pick Cutter Wear Conditions on Physical Characteristics and Particle Size Distribution of Coal: Health and Safety Considerations with a Focus on Silica
Abstract
1. Introduction
1.1. Background of this Research
1.1.1. Underground Temperature and Global Warming
1.1.2. Fine Generation
1.1.3. Dust Explosion
1.1.4. Chronic Obstructive Pulmonary Disease (COPD)
1.1.5. Wear Condition and Particle Size Distribution of Fines
2. Materials and Methods
2.1. Full-Scale Cutting Test
Conical Pick Cutters
2.2. Sample Collection
2.2.1. Respirable Dust Collection Techniques
2.2.2. Fines Collection Techniques
2.3. Physical Characteristics Analysis
2.3.1. Field Emission Scanning Electron Microscopy (FE-SEM)
2.3.2. Clemex 49 Vision PE Nikon Microscopy Analysis of Dust Images
2.3.3. Particle Size Analysis by Laser Diffraction
2.3.4. Wipfrag Particle Size Distribution of Rock Fragments
2.4. NIOSH Manual of Analytical Methods (NMAM)
2.5. Test Matrix
3. Results and Analysis
3.1. Physical Characteristics of Dust
- Da = aerodynamic diameter;
- cd = circular diameter;
- x = dynamic shape factor (1.36 for quartz);
- pp = density of coal (1.34 g/cm3);
- po = density of water (1 g/cm3);
- dp = physical diameter (obtained from the Microtrac);
- C = Cunningham correction factor (function of geometry).
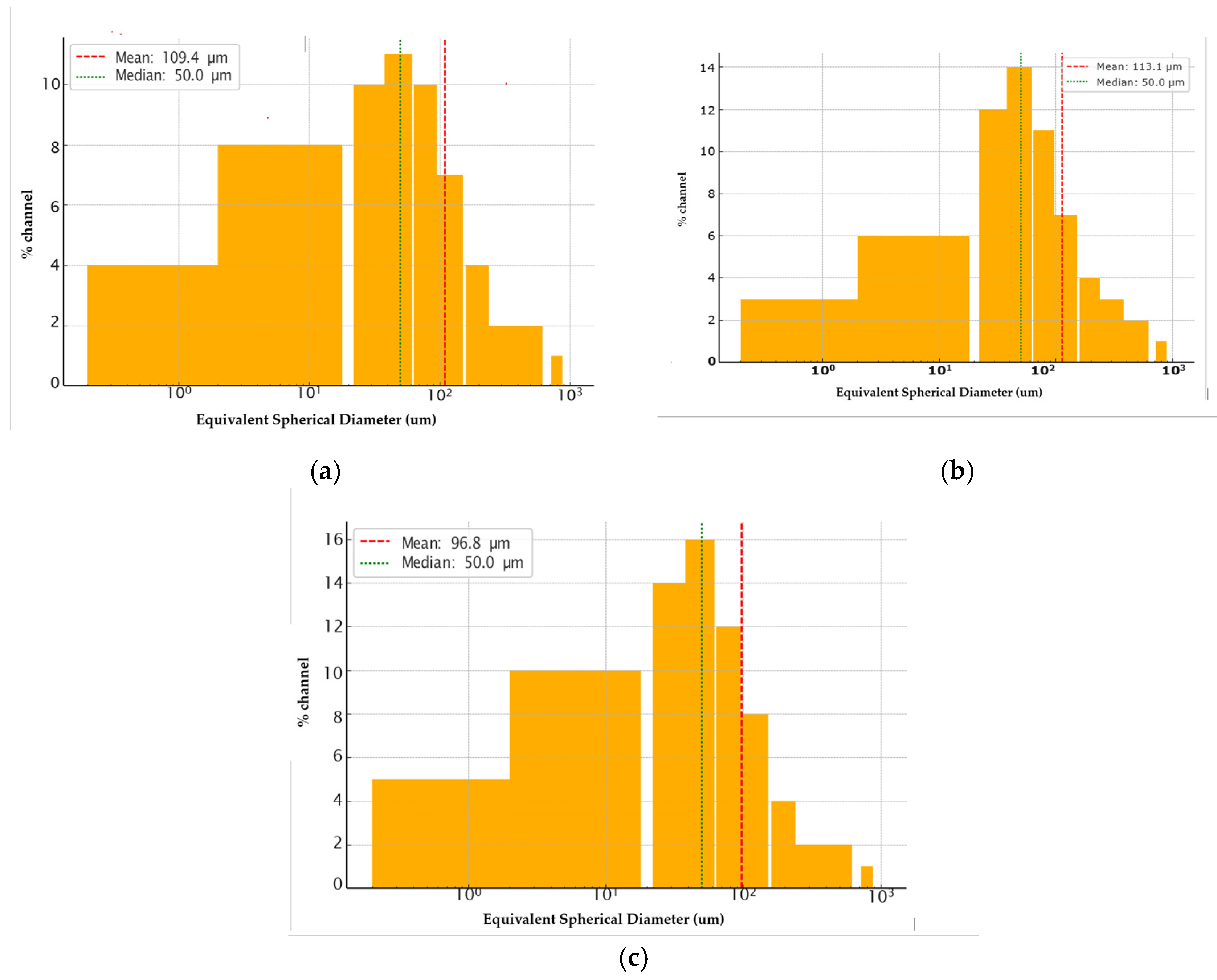
3.2. Particle Size Distribution of Fines
3.3. Wear Condition and Percent Silica
4. Discussion
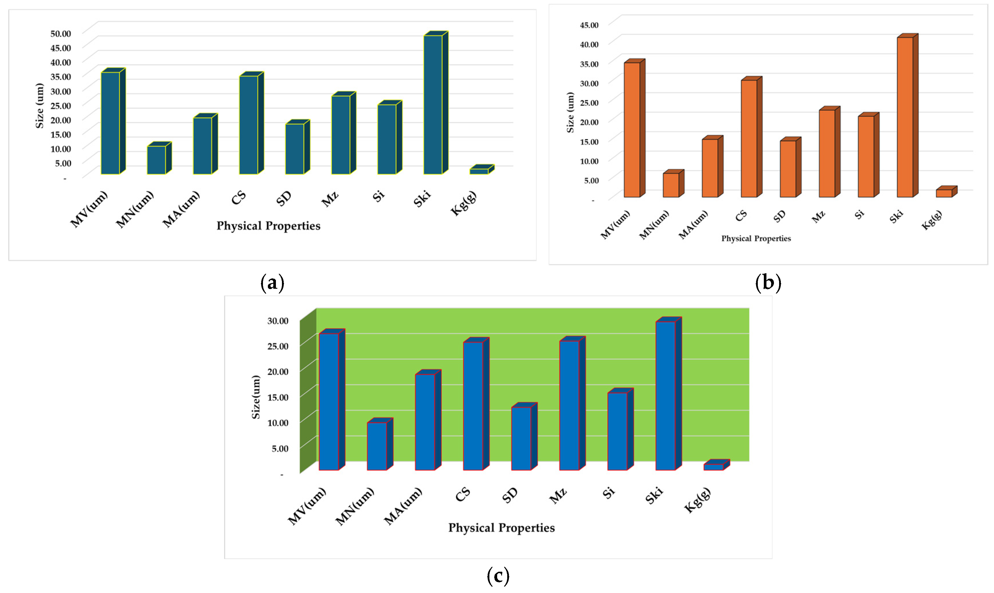
4.1. Wear Condition and Physical Properties
4.2. Percent Silica
5. Conclusions
6. Recommendation
Dust Control and Bit Wear Management and Compliance
Supplementary Materials
Author Contributions
Funding
Data Availability Statement
Acknowledgments
Conflicts of Interest
References
- Gasparotto, J.; Da Boit Martinello, K. Coal as an Energy Source and Its Impacts on Human Health. Energy Geosci. 2021, 2, 113–120. [Google Scholar] [CrossRef]
- Liu, X.; Liu, S.; Li, L.; Cui, X. Experiment on Conical Pick Cutting Rock Material Assisted with Front and Rear Water Jet. Adv. Mater. Sci. Eng. 2015, 2015, 506579. [Google Scholar] [CrossRef]
- Gu, Q.K.; Liu, R.P.; Chen, Z.W.; Luo, S.C.; Guo, W.M.; Lin, H.T. Cutting Performance and Wear Characteristics of Si3N4–SiCw–HfB2 Ceramic Cutting Tools in Turning of Ductile Cast Iron. J. Am. Ceram. Soc. 2024, 107, 56–66. [Google Scholar] [CrossRef]
- Reed, W.R.; Luxbacher, G.W. NIOSH Miner Act Extramural Research for Silica Dust; CDC-NIOSH: Pittsburgh, PA, USA, 2021. [Google Scholar]
- Kadkhodaei, M.H.; Ghasemi, E.; Hamidi, J.K.; Rostami, J. Evaluation of Fine Material and Chip Formation in Rock Cutting with a Conical Tool; Springer Nature: Berlin/Heidelberg, Germany, 2024; Volume 83, pp. 7–276. [Google Scholar]
- Zeng, Q.; Wang, Z.; Lu, Z.; Wan, L.; Liu, Z.; Zhang, X. Research on Cutting Performance and Fatigue Life of Conical Pick in Cutting Rock Process. Sci. Prog. 2021, 104, 50293. [Google Scholar] [CrossRef] [PubMed]
- Wang, Z.; Zeng, Q.; Lu, Z.; Wan, L.; Zhang, X.; Gao, G. Numerical Simulation of Conical Pick Cutting Arc Rock Plate Fracture Based on ANSYS/LS-DYNA. Adv. Mater. Sci. Eng. 2020, 2020, 6563520. [Google Scholar] [CrossRef]
- Paluchamy, B.; Mishra, D.P.; Panigrahi, D.C. Airborne Respirable Dust in Fully Mechanised Underground Metalliferous Mines–Generation, Health Impacts and Control Measures for Cleaner Production. J. Clean. Prod. 2021, 296, 126524. [Google Scholar] [CrossRef]
- Yuan, Q.; Bu, Y.; Amyotte, P.; Dong, Z.; Li, C.; Chen, H.; Liu, Z.; Li, G.; Hu, W.; Yuan, C. Effect on Ignition Sensitivity of Combustible Dust Particle Size Reduction Due to Dispersion in the 20-L Chamber. Powder Technol. 2024, 433, 119188. [Google Scholar] [CrossRef]
- Rybak, W.; Moroń, W.; Wach, J. Ignition Studies on High-Vitrinite and High-Inertinite Coals Using TGA/DSC, DTIF, EFR, and 20 L Dust Explosive Chamber. Energies 2021, 14, 3601. [Google Scholar] [CrossRef]
- Castells, B.; Tascón, A.; Amez, I.; Fernandez-Anez, N. Influence of Particle Size on the Flammability and Explosibility of Biomass Dusts: Is a New Approach Needed? Fire Technol. 2023, 59, 2989–3025. [Google Scholar] [CrossRef]
- Zhang, G.; Sun, B.; Song, S.; Wang, H.; Zhou, G. CFD Comparative Analysis on the Pollution Characteristics of Coal Dust under Turbulent Airflow from Coal Cutting in the Fully Mechanized Mining Face. Process Saf. Environ. Prot. 2021, 146, 515–530. [Google Scholar] [CrossRef]
- Essenhigh, R.H.; Misra, M.K.; Shaw, D.W. Ignition of coal particles: A review. Combust. Flame 1989, 77, 3–30. [Google Scholar] [CrossRef]
- Liu, T.; Liu, S. The Impacts of Coal Dust on Miners’ Health: A Review. Environ. Res. 2020, 190, 109849. [Google Scholar] [CrossRef] [PubMed]
- Wang, L.; Zhang, D.; Wang, D.; Feng, C. A Review of Selected Solutions on the Evaluation of Coal-Rock Cutting Performances of Shearer Picks under Complex Geological Conditions. Appl. Sci. 2022, 12, 12371. [Google Scholar] [CrossRef]
- Zosky, G.R.; Hoy, R.F.; Silverstone, E.J.; Brims, F.J.; Miles, S.; Johnson, A.R.; Gibson, P.G.; Yates, D.H. Coal Workers’ Pneumoconiosis: An Australian Perspective. Med. J. Aust. 2016, 204, 414–418. [Google Scholar] [CrossRef] [PubMed]
- Liu, W.; Liang, R.; Zhang, R.; Wang, B.; Cao, S.; Wanx, X.; Ma, J.; Wang, D.; Chen, W. Prevalence of Coal Worker’s Pneumoconiosis: A Systematic Review and Meta-Analysis; Springer Nature: Berlin/Heidelberg, Germany, 2022; Volume 29, pp. 8690–88698. [Google Scholar]
- Liu, T.; Jia, R.; Dong, X.; Zhao, X.; Tian, W.; Cai, Z.; Wang, N. Explosion Flame and Pressure Characteristics of Nonstick Coal Dust and the Inhibition of Explosion Suppressants. J. Chem. 2022, 2022, 3995455. [Google Scholar] [CrossRef]
- Billing Code: 4520-43-P DEPARTMENT OF LABOR Mine Safety and Health Administration. Available online: https://www.govinfo.gov/ (accessed on 19 January 2024).
- Cheng, Y.P.; Wang, L.; Zhang, X.L. Environmental Impact of Coal Mine Methane Emissions and Responding Strategies in China. Int. J. Greenh. Gas Control 2011, 5, 157–166. [Google Scholar] [CrossRef]
- Baum, E.; Denison, M.R. Characterization of Solid Propellants by Damped Combustion Oscillations. Combust. Flame 2012, 159, 854–858. [Google Scholar] [CrossRef]
- Nălboc, I.; Prodan, M.; Szollosi Moța, A.; Șuvar, S. Experimental Investigation on the Self-Ignition Behavior of Dangerous Dust Accumulations. MATEC Web Conf. 2024, 389, 16. [Google Scholar] [CrossRef]
- Su, X.; Ding, R.; Zhuang, X. Characteristics of Dust in Coal Mines in Central North China and Its Research Significance. ACS Omega 2020, 5, 9233–9250. [Google Scholar] [CrossRef] [PubMed]
- Abbasi, B.; Wang, X.; Chow, J.C.; Watson, J.G.; Peik, B.; Nasiri, V.; Riemenschnitter, K.B.; Elahifard, M. Review of Respirable Coal Mine Dust Characterization for Mass Concentration, Size Distribution and Chemical Composition. Minerals 2021, 11, 426. [Google Scholar] [CrossRef]
- Wang, Z.; Zeng, Q.; Wan, L.; Lu, Z.; Wang, H. Investigation of the Influence of Cutting Parameters on Conical Pick Cutting Performance and Rock Damage. Machines 2022, 10, 1034. [Google Scholar] [CrossRef]
- Feng, X.-T.; Yang, C.-X.; Kong, R.; Zhao, J.; Zhou, Y.; Yao, Z.; Hu, L. Excavation-Induced Deep Hard Rock Fracturing: Methodology and Applications. J. Rock Mech. Geotech. Eng. 2022, 14, 1–34. [Google Scholar] [CrossRef]
- Rahimi, B.; Sharifzadeh, M.; Feng, X.-T. A Comprehensive Underground Excavation Design (CUED) Methodology for Geotechnical Engineering Design of Deep Underground Mining and Tunneling. Int. J. Rock Mech. Min. Sci. 2021, 143, 104684. [Google Scholar] [CrossRef]
- Bołoz, Ł.; Kalukiewicz, A.; Galecki, G.; Romanyshyn, L.; Romanyshyn, T.; Giménez, R.B. Conical Pick Production Process. New Trends Prod. Eng. 2020, 3, 231–240. [Google Scholar] [CrossRef]
- Apostu, I.-M.; Lazar, M.; Faur, F. Implications of Coal Disappearance from the Energy Mix in Romania. MATEC Web Conf. 2022, 354, 57. [Google Scholar] [CrossRef]
- Jiang, J.; Li, X.; Liang, S.; Zhong, Y.; Yang, L.; Hao, P.; Soar, J. Study of Parameters and Theory of Sucrose Dust Explosion. Energies 2022, 15, 1439. [Google Scholar] [CrossRef]
- Song, B. Study on Flame Propagation Characteristics of Coal Dust Explosion in Horizontal Straight Pipe. Int. J. Low-Carbon Technol. 2023, 18, 150–158. [Google Scholar] [CrossRef]
- Colinet, J.; Halldin, C.N.; Schall, J. Best Practices for Dust Control in Coal Mining, 2nd ed.; Center for Disease Control and Prevention: Atlanta, GA, USA, 2021. [Google Scholar]
- Hendryx, M.; Zullig, K.J.; Luo, J. Impacts of Coal Use on Health. Annu. Rev. Public Health 2020, 41, 397–415. [Google Scholar] [CrossRef]
- Torabi, S.A. Characterization of Forms of Silica with Varying Degrees of Crystallinity in Respirable Mine Dust. Master’s Thesis, PennState University, Carlisle, PA, USA, 2023. [Google Scholar]
- Boers, D.; Torén, K.; Kristina Alexanderson, G.; Barregård, L.; Maria Albin, G.; Jens Peter Bonde, S.; Lotta Dellve, C.; Jörgen Eklund, S.; Henrik Kolstad, S.; Mats Hagberg, A.; et al. The Nordic Expert Group for Criteria Documentation of Health Risks from Chemicals and the Dutch Expert Committee on Occupational Safety 156. Respirable Crystalline Silica. 2024, Volume 58. Available online: https://gupea.ub.gu.se/bitstream/handle/2077/83372/AoH_2024_58_2.pdf?sequence=1 (accessed on 13 June 2024).
- Yan, J.; Wang, Z.; Lu, X.; Wu, Y.; Luo, H.; Liu, X. Physical and Chemical Characteristics of Explosive Dust at Large Open-Pit Coal Mines in Inner Mongolia, China and Dust Control Research. Atmosphere 2023, 14, 1678. [Google Scholar] [CrossRef]
- Slouka, S.; Brune, J.; Rostami, J.; Tsai, C.; Sidrow, E. Characterization of Respirable Dust Generated from Full Scale Cutting Tests in Limestone with Conical Picks at Three Stages of Wear. Minerals 2022, 12, 930. [Google Scholar] [CrossRef]
- Tsai, C.S.-J.; Theisen, D. A Sampler Designed for Nanoparticles and Respirable Particles with Direct Analysis Feature. J. Nanoparticle Res. 2018, 20, 209. [Google Scholar] [CrossRef]
- Cheluszka, P.; Mikuła, S.; Mikuła, J. Conical Picks of Mining Machines with Increased Utility Properties–Selected Construction and Technological Aspects. Acta Montan. Slovaca 2021, 26, 195–204. [Google Scholar] [CrossRef]
- Wormuth, K.; Gaston, F.; Gauthier, M.; Cantin, V.; Montenay, N. Best Practices to Quantify and Identify Particulate Matter on the Interior Surfaces of Single-Use Systems. PDA J. Pharm. Sci. Technol. 2024, 78, 90–99. [Google Scholar] [CrossRef] [PubMed]
- Tosun, G.; Buytoz, S. Microstructural Properties of Fe–Cr–C/NbC Composite Coating Produced on Medium Carbon Steel Surface by TIG Coating Process. Arab. J. Sci. Eng. 2021, 46, 2231–2241. [Google Scholar] [CrossRef]
- Hrstka, T.; Gottlieb, P.; Skála, R.; Breiter, K.; Motl, D. Automated Mineralogy and Petrology–Applications of TESCAN Integrated Mineral Analyzer (TIMA). J. Geosci. 2018, 63, 47–63. [Google Scholar] [CrossRef]
- Markanday, J.F.S.; Christofidou, K.A.; Miller, J.R.; Livera, E.R.; Jones, N.G.; Pickering, E.J.; Li, W.; Pardhi, Y.; Jones, C.N.; Stone, H.J. The Microstructural Evolution of CM247LC Manufactured Through Laser Powder Bed Fusion. Met. Mater. Trans. A Phys. Met. Mater. Sci. 2023, 54, 1758–1775. [Google Scholar] [CrossRef]
- William, C.; Hinds, Y.Z. Hinds Aerosol Technology, 5th ed.; Wiley: New York, NY, USA, 2022. [Google Scholar]
- Andrews, R.; Fey O’Connor, P. NIOSH Manual of Analytical Methods (NMAM), 5th ed.; Department of Health & Human Services: Washington, DC, USA, 2020. [Google Scholar]
- Wippich, C.; Rissler, J.; Koppisch, D.; Breuer, D. Estimating Respirable Dust Exposure from Inhalable Dust Exposure. Ann. Work. Expo. Health 2020, 64, 430–444. [Google Scholar] [CrossRef] [PubMed]
- Noack, K. Control of Gas Emissions in Underground Coal Mines. Int. J. Coal. Geol. 1998, 35, 57–82. [Google Scholar] [CrossRef]
- Yuan, L. Scientific conception of coal mine dust control and occupational safety. J. China Coal Soc. 2020, 45, 1–7. [Google Scholar] [CrossRef]












| Bit Type | Bit Condition | Radius (mm) | Weight (kg) |
|---|---|---|---|
| U-85 | New | 0.7 | 2.0 |
| Moderate | 2.9 | 1.8 | |
| Worn-out | 5.1 | 1.7 | |
| U-92 | New | 1.8 | 4.0 |
| Moderate | 3.7 | 3.7 | |
| Worn-out | 5.2 | 3.7 |
| Coal Number | Number of Pass | Number of Lines | Penetration (Inches) | Spacing (Inches) | Bit Conditions | Bit Types | Total Lines |
|---|---|---|---|---|---|---|---|
| 1 | 5 | 5 | 0.5 | 3 | New, Mod, Worn | U-92 | 25 |
| 2, 3, 5 | 13 | 20 | 1.5 | 4 | New, Mod, Worn | U-92 | 260 |
| 6 | 15 | 9 | 0.2, 0.4 | 3 | New, Mod, Worn | U-85 | 135 |
| 7 | 6 | 9 | 0.8 | 3 | New, Mod, Worn | U-92 | 54 |
| 8 | 6 | 7 | 1 | 4 | New, Mod, Worn | U-85 | 42 |
| p-Value | ||||
| Pick Condition | Coal-1 | Coal-2, 3 and 5 | Coal-6 and 8 | Coal-7 |
| New–Mod | 4.2 * 0−20 | 4.4 * 10−20 | 4.1 * 10−20 | 4.0 * 10−20 |
| Mod–Worn | 1.1 * 10−50 | 1.2 * 10−50 | 1.1 * 10−50 | 1.3 * 10−50 |
| New–Worn | 3.1 * 10−28 | 3.2 * 10−28 | 3.1 * 10−28 | 3.1 * 10−28 |
| p-Value | ||||
|---|---|---|---|---|
| Pick Condition | Coal-1 | Coal-2, 3 and 5 | Coal-6 and 8 | Coal-7 |
| New–Mod | 1.1 * 10−10 | 1.4 * 10−10 | 1.2 * 10−10 | 1.2 * 10−10 |
| Mod–Worn | 1.5 * 10−45 | 1.3 * 10−25 | 1.2 * 10−25 | 1.5 * 10−25 |
| New–Worn | 3.8 * 10−38 | 3.2 * 10−36 | 3.1 * 10−35 | 3.2 * 10−37 |
| Bit Condition | Standard Deviation | Mean Aerodynamic Diameter |
|---|---|---|
| New Bit | 1.80 | 1.48 |
| Moderate Bit | 1.95 | 1.12 |
| Done Worn-Out Bit | 2.00 | 0.9 |
| Mineral (ug/Sample) | New Bit | Moderate Bit | Worn-Out Bit |
|---|---|---|---|
| Cristobalite | 0.0 | 23.7 | 52.4 |
| Quartz | 354 | 821 | 1040 |
| Tridymite | 0 | 0 | 0 |
| Bit Condition | Dp (µm) | Da Without S/C Factor (um) | Da with S/C Factor (um) | Percent Change (%) |
|---|---|---|---|---|
| New Bit | 1.64 | 1.48 | 1.59 | 11 |
| Moderate Bit | 1.66 | 1.12 | 1.31 | 19 |
| Worn-Out Bit | 1.69 | 0.90 | 1.15 | 25 |
Disclaimer/Publisher’s Note: The statements, opinions and data contained in all publications are solely those of the individual author(s) and contributor(s) and not of MDPI and/or the editor(s). MDPI and/or the editor(s) disclaim responsibility for any injury to people or property resulting from any ideas, methods, instructions or products referred to in the content. |
© 2025 by the authors. Licensee MDPI, Basel, Switzerland. This article is an open access article distributed under the terms and conditions of the Creative Commons Attribution (CC BY) license (https://creativecommons.org/licenses/by/4.0/).
Share and Cite
Sesay, M.; Rostami, J.; Slouka, S.; Miller, H.; Kaunda, R.; Mohanty, A. The Influence of Conical Pick Cutter Wear Conditions on Physical Characteristics and Particle Size Distribution of Coal: Health and Safety Considerations with a Focus on Silica. Minerals 2025, 15, 182. https://doi.org/10.3390/min15020182
Sesay M, Rostami J, Slouka S, Miller H, Kaunda R, Mohanty A. The Influence of Conical Pick Cutter Wear Conditions on Physical Characteristics and Particle Size Distribution of Coal: Health and Safety Considerations with a Focus on Silica. Minerals. 2025; 15(2):182. https://doi.org/10.3390/min15020182
Chicago/Turabian StyleSesay, Manso, Jamal Rostami, Syd Slouka, Hugh Miller, Rennie Kaunda, and Anshuman Mohanty. 2025. "The Influence of Conical Pick Cutter Wear Conditions on Physical Characteristics and Particle Size Distribution of Coal: Health and Safety Considerations with a Focus on Silica" Minerals 15, no. 2: 182. https://doi.org/10.3390/min15020182
APA StyleSesay, M., Rostami, J., Slouka, S., Miller, H., Kaunda, R., & Mohanty, A. (2025). The Influence of Conical Pick Cutter Wear Conditions on Physical Characteristics and Particle Size Distribution of Coal: Health and Safety Considerations with a Focus on Silica. Minerals, 15(2), 182. https://doi.org/10.3390/min15020182

