You are currently viewing a new version of our website. To view the old version click .
Minerals
  • Article
  • Open Access

16 February 2025

The Influence of Conical Pick Cutter Wear Conditions on Physical Characteristics and Particle Size Distribution of Coal: Health and Safety Considerations with a Focus on Silica

,
,
,
,
and
Department of Mining Engineering, Colorado School of Mines, 1610 Illinois Street, Golden, CO 80401, USA
*
Author to whom correspondence should be addressed.
This article belongs to the Special Issue Size Distribution, Chemical Composition and Morphology of Mine Dust

Abstract

This study investigates the correlations between the wear conditions of conical pick cutters and key variables such as the physical properties (shape, aspect ratio, roughness), explosive potential, health and safety implications, and particle size distribution of coal dust and larger fragments using the linear cutting machine (LCM). This research was conducted within the framework of recent regulatory developments, notably implementing the new silica rule in the mining and construction sectors and climate change consideration. This study reveals critical insights into optimizing operational processes while adhering to stringent health and safety regulations. The findings indicate that as cutting tools wear, there is a significant increase in generated fine particles, including respirable crystalline silica (RCS), which elevates the risk of respiratory diseases and, in the case of coal dust, a higher potential for explosions. The results show that the silica content in respirable dust is a function of rock mineralogy; however, the results showed that the absolute amount of silica-containing dust increased with bit wear in rocks containing pertinent minerals. For the larger fragments, the new bit produced a 1699 fragment count, while the completely worn-out bit produced a 5608 count. The results of the dust concentration show that the new bit produces 89.2 mg/m3 (17.84%); the moderate bit produces 165.1 mg/m3 (33.03%), and the worn-out bit produces 245.6 mg/m3 (49.13%). Moreover, this study highlights the impact of bit wear on the production of larger fragments, which decreases with tool degradation, further contributing to dust generation. These results suggest the necessity for proactive equipment maintenance, enhanced dust control measures, and continuous monitoring of cutting tool wear to ensure compliance with regulatory standards and to protect workers’ health and safety.

1. Introduction

1.1. Background of this Research

Coal has consistently played a pivotal role in the world energy landscape, particularly in the United States, China, India, and several European nations [1]. Despite a decline in coal production, coal consumption for electricity generation is on the rise, even as its usage decreases in the U.S. This scenario has intensified the pressure on the coal mining industry to mitigate its impact on public health and the environment. Significant effort is being directed toward reducing respirable dust, coal dust explosions, and occupational diseases induced by coal dust. These initiatives necessitate a comprehensive study of dust properties and particle characterization [2,3].
This study is part of the NIOSH Smart Bit Project, which focuses on improving mining practices by adopting cleaner and more automated solutions. A critical gap in the existing research concerns full-scale cutting tests on coal using the Linear Cutting Machine (LCM), particularly in quantifying the dust produced during these processes. The urgency of addressing this issue has intensified due to new regulations on silica exposure, which establish stricter limits on respirable crystalline silica to safeguard worker health. These regulations underscore the essential roles of bit wear and management in controlling dust emissions [4].
By conducting comprehensive LCM experiments, this study explores the interplay between bit wear and significant factors, including the physical characteristics of coal dust, its potential explosiveness, health and safety impacts, and specific particle attributes. These findings aim to contribute to safer and more sustainable mining practices while supporting advancements in industry automation.
Mechanical excavation has emerged as a popular alternative to traditional drill-and-blast techniques in numerous underground mining and construction activities, especially in weak rock formations. The most widely used excavation tools in these industries include tunnel boring machines (TBM), raise boring machines (RBM), and continuous miners (CM).
In coal mining operations, the wear conditions of cutting tools, particularly conical pick cutters, play a pivotal role in influencing the physical characteristics and particle size distribution of the coal and rock fragments produced during the cutting process [5]. The wear condition of these tools is not only a dependent variable influenced by the hardness, shape, and abrasiveness of coal dust and fragments [6] but also a critical factor that directly affects the efficiency of the cutting process, the size and distribution of generated particles, and the overall safety of the working environment [7].
As cutting tools wear down, the changes in their geometry can lead to variations in the size and shape of the particles they produce [8,9]. For instance, worn tools may generate finer particles due to the increased friction and energy required for cutting, which, in turn, can exacerbate health and safety concerns, particularly regarding respirable dust exposure [10]. The finer the particles, the more likely they are to be inhaled by workers, leading to an increased risk of respiratory diseases such as coal workers’ pneumoconiosis (CWP) and silicosis [11]. Moreover, generating finer particles also increases the explosibility of coal dust, thereby enhancing the risk of catastrophic explosions in mining environments [4].
The relationship between cutting tools’ wear conditions and coal dust’s explosive properties is also significant. As tools wear and produce smaller, more uniform particles, the surface area available for combustion increases, making the dust more susceptible to ignition [12]. This increased explosibility severely threatens worker safety and highlights the importance of effective dust management and tool maintenance practices [13]. Recent regulatory changes, particularly the silica rule published on 17 June 2024, have further emphasized the need for a comprehensive analysis of these factors [14]. The new regulation imposes stricter limits on respirable crystalline silica, necessitating a deeper understanding of how tool wear contributes to the generation of hazardous dust and its implications for both worker health and operational safety [15]. Investigating the interrelationships between wear conditions, physical characteristics, particle size distribution, and explosives helps optimize tool longevity, enhance dust control strategies, and ensure compliance with evolving safety standards.
The complexity of wear mechanisms in mining tools, particularly conical pick cutters, should be well understood. These mechanisms are influenced by a variety of factors, including material hardness and environmental conditions [5,15]. These factors not only determine the efficiency and longevity of the tools but also significantly impact the physical characteristics and safety of the working environment. As cutting tools wear, they produce finer particles, which are more hazardous due to their increased respirability and potential for causing severe respiratory conditions such as silicosis and coal workers’ pneumoconiosis (CWP) [16,17].
Coal dust’s explosive properties further intensify these risks, especially when particle size is reduced because of tool wear conditions. Fine coal dust particles have a larger surface area-to-volume ratio, making them more susceptible to ignition and explosion under certain conditions [18]. These explosions pose significant dangers to mine workers, necessitating stringent control measures to mitigate the risks.
This study shines a light on serious health and safety issues in coal mining, focusing on how wear on conical pick cutters leads to the production of respirable crystalline silica (RCS). Measurements reveal that as these tools wear down, the generated particles become smaller, with aerodynamic diameters dropping from 1.59 µm for new bits to 1.15 µm for heavily worn bits. This reduction correlated with the increased dust concentrations, which rose significantly from 89.2 to 245.6 mg/m3 as tool wear advanced.
A detailed mineralogical study confirmed quartz as the primary crystalline silica present, while other forms like cristobalite and tridymite were not detected. These findings are framed within the context of new silica regulations set to take effect on 17 June 2024 [19]. These rules impose stricter exposure limits and emphasize the importance of proactive strategies to control dust levels, aiming to safeguard worker health and ensure compliance with evolving standards.

1.1.1. Underground Temperature and Global Warming

In addition to safety concerns, the impact of global warming and climate change must also be considered. Rising global temperatures increase heat accumulation in underground mines, which, in turn, raises the likelihood of spontaneous ignition and coal dust explosions [10]. The combination of increased fine particle generation due to cutter wear and the temperatures associated with climate change creates a more hazardous environment for mining operations. Furthermore, prolonged droughts and changing precipitation patterns have resulted in water scarcity in several mining regions. Water is a critical resource for mineral processing and dust suppression, and its limited availability can significantly hinder mining operations [20].
Elevated temperatures can accelerate the oxidation of residual coal and other carbonaceous materials in mines, increasing the risk of spontaneous combustion [21]. Higher ambient temperatures may reduce the heat dissipation capacity of mine environments, leading to thermal accumulation and potential ignition of combustible materials [22]. High temperatures can dry out mine surfaces, leading to increased dust generation during mining operations. Temperature variations can affect the moisture content and electrostatic properties of dust particles, influencing their behavior and potential health impacts [9].
This research highlights the pressing need for safer and more resilient mining practices. The goal is to develop strategies that mitigate these risks, ensuring both the health of workers and the long-term sustainability of mining activities in an area of accelerating climate change.

1.1.2. Fine Generation

The generation of respirable coal dust during mining operations has significant implications for occupational health and safety, particularly due to its association with diseases such as pneumoconiosis [8]. As regulatory frameworks continue to emphasize reducing airborne particulates in mining environments, there is a growing need for a deeper understanding of the factors that contribute to dust generation.
Fines are tiny particles that are greater than 10 um but smaller than 200 mesh size that stay on the surface of the rock after each pass and have the potential to become airborne. The geometry of cutting tools, specifically conical pick cutters, has been identified as a critical factor influencing the amount and characteristics of dust produced during coal extraction. This research investigates the interplay between cutting geometry, tool wear, and the resulting particle size distribution of coal dust to contribute to more effective dust mitigation strategies in mining operations.
Worn tools exhibit increased contact areas and friction with the rock surface, resulting in higher temperatures and greater material removal rates. This escalation leads to the production of finer dust particles. A study on the wear of rock-cutting tools highlights that as tools become blunt, the required cutting forces and specific energy increase, which correlates with a rise in dust production [23,24].
Cutting speed plays a crucial role in dust particle size and quantity. Higher cutting speeds can lead to increased temperatures at the cutting interface, exacerbating tool wear and resulting in finer dust particles. Research on the effect of cutting conditions on dust particle size indicates that higher cutting speeds contribute to the generation of smaller dust particles [3,7,25]
The mineral composition and hardness of the rock affect both tool wear and dust characteristics. Harder, more abrasive rocks accelerate tool wear, leading to increased dust production. Studies have shown that different rock types result in varying degrees of tool wear and dust generation, emphasizing the need to consider rock properties in cutting operations [2,26,27]. The design and condition of the cutting tool, including its tip radius and angle, significantly influence dust formation. Worn tools with altered geometries require higher cutting forces, leading to increased dust production. Experimental studies have demonstrated that tools with wear flats produce more dust due to the increased contact area and friction [5,28].

1.1.3. Dust Explosion

Dust explosions in coal mining occur when fine coal particles become airborne and are exposed to an ignition source, such as sparks or heat. Fine dust particles, with a high surface area-to-volume ratio, allow for rapid combustion and generate high explosion pressures, especially in confined spaces [4,13]. This process can lead to destructive primary explosions and subsequent secondary explosions if the initial blast disperses settled dust. The risk is enhanced by factors like particle size, concentration, and the presence of volatile materials.
The size of dust particles significantly affects their explosibility. Finer particles have a larger surface area-to-volume ratio, facilitating rapid combustion and increasing explosion severity. As particle size decreases, the sensitivity of a dust cloud to ignition and the resulting explosion violence (severity) increases [11,18].
The concentration of dust in the air must be within certain limits for an explosion to occur. Below the Lower Explosive Limit (LEL), there is insufficient dust to support combustion, while above the Upper Explosive Limit (UEL), there is too much dust for sufficient oxygen to sustain combustion. Typical explosive ranges in air are from a few dozen grams per cubic meter for the minimum limit to a few kilograms per cubic meter for the maximum limit [24].
The volatile content of dust particles directly impacts the energy released during combustion, influencing the magnitude and destructive force of a dust explosion. Dust with higher volatile content has the potential to produce more powerful explosions, posing greater risks to personnel and equipment [29,30].

1.1.4. Chronic Obstructive Pulmonary Disease (COPD)

Chronic Obstructive Pulmonary Disease (COPD) is a complex and heterogeneous condition characterized by persistent respiratory symptoms and airflow obstruction. It poses a substantial burden on patients and society due to its progressive nature, which often results in reduced physical and daily activities, frequent exacerbations, and challenges in maintaining employment and social connections [14]. These limitations frequently contribute to psychological issues, including anxiety and depression. Globally, an estimated 384 million people are affected by COPD, with over half of cases potentially remaining undiagnosed. According to the World Health Organization, COPD is the third leading cause of death worldwide, with annual costs exceeding $100 billion [16].
The recent silica rule, published on 17 June 2024, introduces stricter limits on respirable crystalline silica in mining environments, underscoring the critical need for compliance to protect the health and safety of mine workers. This regulation mandates that mining operations adopt more rigorous dust control and monitoring practices to reduce silica exposure [4,31]. Given that tool wear contributes to the generation of finer, more respirable particles, understanding the interplay between wear conditions and the factors that influence them is essential for developing effective compliance strategies to mitigate dust explosion.
By framing the analysis within the context of the new silica regulation, this research aims to provide actionable insights that can help mining operations optimize tool use, improve dust management practices, and ultimately enhance worker safety in compliance with the latest health and safety standards, including mitigating dust explosion.

1.1.5. Wear Condition and Particle Size Distribution of Fines

As particles become finer, their surface area-to-volume ratio increases significantly, providing more points of contact with oxygen in the air, which is critical for combustion. In the presence of an ignition source, such as a spark, heat, or static electricity, finer dust particles combust more rapidly and intensely than larger particles, potentially leading to dust explosions [32]. The severity of these explosions is influenced by particle size, which can result in destructive explosions, causing significant damage to equipment and structures and posing serious risks to human life. Secondary explosions may also occur when an initial explosion disturbs settled dust, dispersing it into the air and creating additional fuel for combustion [12,13,31,33,34,35].
From a health perspective, finer particles, particularly those within the respirable size range, pose significant risks to workers. Prolonged exposure to these particles can lead to respiratory issues and other health complications [11,34,35]. The consistent median value at 50 µm, which includes particles small enough to be inhaled, emphasizes the importance of monitoring and controlling airborne dust. The wear of cutting bits, which produces finer particles, further increases the likelihood of hazardous dust clouds forming [18]. These findings highlight the critical need for effective dust management and worker protection strategies [31].
Smaller dust particles have a larger surface area-to-volume ratio, facilitating rapid combustion. Research indicates that as particle size decreases, the severity of explosions increases. For instance, in pulverized fuel systems, coal is often reduced to a particle size where more than 85% passes through a U.S. standard 200-mesh sieve with openings of 74 microns (about 0.003 inches), enhancing its explosibility [4].
The concentration of dust in the air significantly influences explosion severity. Studies on wood dust have shown that at a dust concentration of 500 g/m3 or 750 g/m3, the explosion pressure increases with decreasing particle size. This demonstrates the synergistic effects of particle size and dust concentration on explosion severity [4,23,36].

2. Materials and Methods

2.1. Full-Scale Cutting Test

At the Earth Mechanics Institute (EMI), in the Colorado School of Mines, Mining Engineering Department, full-scale cutting tests were used to create representative dust particles (>0.2 µm <10 µm) like those produced during mechanical excavation operations in the mining industry. Three primary factors propelled EMI’s full-scale cutbacks. These consist of the sample cut, the real conical pick cutter tool used to cut the rock as commonly implemented in the industry, and the linear cutting machine (LCM), which offers cutting power and consistency as shown in Figure 1 [37]. Dust was produced by cutting coal samples with duplicate cut lines using conical picks with different wear conditions. Kennametal U-92 and U-85 pick cutters were used to cut coal (Kennametal Inc., Pittsburgh, PA, USA). Various equipment was used to collect and evaluate the dust to find variations in the concentration and physical characteristics for every sample and degree of tool wear.
Figure 1. A linear cutting machine used to cut the rock samples in stable conditions, with the sled on which the rock box sits, the cylinders that move the rocks horizontally, the saddle that holds the pick cutter, and the LVDT to measure the force.
The choice of conical pick cutters and the conditions tested in this study were carefully planned to replicate real-world mining environments. Conical pick cutters, specifically the Kennametal U-92 and U-85 models, were selected because of their common use in mining and civil engineering for cutting through moderately hard rock. These cutters have a 105 mm gauge and a 90-degree tip angle, matching industry standards. This ensures the results can directly translate to practical applications in the field. The tests were conducted using the Linear Cutting Machine (LCM) at the Earth Mechanics Institute, Colorado School of Mines as seen in Figure 1. This equipment simulated mechanical excavation in a controlled lab setting, allowing for precise measurement of factors such as penetration depth, spacing, and cutter wear.
This study examined the effects of wear by testing cutters in three states: new, moderately worn, and fully worn. These conditions were achieved through controlled abrasion in a dedicated wear workshop, ensuring consistent testing. The LCM operated with a 45-degree angle of attack and a cutting speed of 10 inches per second, mirroring real-world practices. Dust and fine particles were collected with automated systems, including photoelectric sensors and HEPA-filtered vacuums, to capture both respirable dust and larger particles for analysis. These methods made it possible to explore how cutter wear influences rock fragmentation and dust generation, providing insights relevant to current health and safety challenges in mining, especially with stricter silica regulations.
The Wenglor (Wenglor sensory tools) ® OPT2011 photoelectric laser sensor, Class 1, measures the LCM box distance to indicate cut completion (Beavercreek, OH, USA). The CLICK® C0-02DR-D PLC from Automation Direct (Cumming, GA, USA) orchestrates the dust collection system and controls the operation of valves and the shop-vac®. The LS150-12 power board from Digi-Key (Thief River Falls, MN, USA) converts the input voltage to run the PLC. The C-more Micro EA3-S3ML-R display monitor from Automation Direct provides system monitoring and operator control. The shop-vac® Model WD09701, equipped with a RIGID® HEPA filter VF6000, clears lab air after each cut. U.S. Solid motorized electric ball valves start and stop air pumps in the dust collection system. SKC pressure controllers, part 224-26-CPC, prevent pump stalling when valves close. The Tsai Diffusion Sampler (TDS) and the Nylon 10-mm Dorr–Oliver Cyclones, manufactured by SKC Inc. (Washington, PA, USA), are used with a PVC filter to collect suspended respirable particles. Finally, the Shop-Vac® Model WD09701, equipped with a RIGID® HEPA filter VF6000, placed in a 5-gallon bucket, is used to collect fine particles (No. 200 mesh and smaller) [37,38].

Conical Pick Cutters

Conical picks that are new, moderately worn, and completely worn-out cut every sample through the rock from the first pass, as seen in Figure 2. These picks are commonly used as cutting tools for moderately hard rocks in the mining and construction industries, which is why they were selected for this experiment. Conical picks are employed in several mining and civil applications, as well as on various types of machinery [25,28,37,39,40,41]. Every sample was cut with a conical pick of the same make and model. Kennametal Inc. produces the U-92 and U-85 conical picks, which have a 105 mm (4 inches) gauge and a 90-degree tip angle to cut samples.
Figure 2. Conical pick cutters used to cut all the rock samples. The pick on the far left is the new pick; the one in the middle is the moderately worn-out pick, and the last one on the right is the completely worn-out pick.
The 105 mm diameter specified in the context of the conical pick refers to the cutting drum or holder assembly rather than the tip of the pick itself. The U92 conical pick used in this study has a tip diameter of approximately 12 mm and a shank diameter of 38 mm. These dimensions are consistent with industry standards and accurately describe the geometry of the tool used in this experiment [6].
Two techniques were used to quantify conical pick wear and distinguish between new, moderately worn, and completely worn-out picks: weighing the pick and measuring its diameter, as seen in Table 1. First, a set of conical picks was chosen for this experiment, one for each wear stage (new, moderately worn, and completely worn out). To generate wear indicative of its specified stage, each pick cutter was worn down using the Dremel and lathe in a controlled wear workshop at the Colorado School of Mines for approximately half an hour. Precision calipers were used to measure each pick’s diameter at several spots along its length following wear induction. To determine wear progression, the measurements were compared to the pick’s original diameter.
Table 1. Kennametal Inc. U-92 and U-85 conical pick cutters with weight and radius of the three-pick wear conditions used for cutting the rock samples.

2.2. Sample Collection

Dust particles were captured using cassettes and a TDS (Tsai Diffusion Sampler) equipped with PVC filters with pumps to collect airborne particulates 10 µm or less. Fines were gathered using a vacuum system with a filter to isolate smaller particles, and larger fragments were collected manually.

2.2.1. Respirable Dust Collection Techniques

Two collecting techniques were utilized to extract representative respirable dust from the sample cutting. Nylon 10-mm Dorr–Oliver cyclones with a 50% cut point of 4 µm aerodynamic diameter particles were utilized in the first approach (sensidyne.com/shop/dorr-oliver-size-selection-cyclone.php, accessed on 19 January 2024). A Tsai Diffusion Sampler (TDS) with a cutoff aerodynamic diameter of 3.8 µm particles was used in the second approach [37,38].
In this study, an automated dust collection system was employed to ensure precise and efficient collection of respirable dust during controlled LCM cutting experiments. The system integrated advanced equipment such as pumps, a TDS, and Dorr–Oliver cyclones, all of which were connected to a saddle mounted on the LCM. This setup allowed for accurate timing and minimized human error by automatically activating and deactivating the dust collection apparatus based on calibration. This system regulated the collection of dust within a dust curtain system that utilized clean air from a HEPA filter, ensuring that dust was gathered during cuts and removed immediately after.
The automated system’s components, including a laser sensor for detecting the end of each cut, motorized ball valves for airflow control, and a touch screen HMI for user interface, provided robust control and monitoring of the dust collection process. The system was designed with constant pressure controllers to prevent pump stalling and employed ladder logic programming via a Programmable Logic Controller (PLC) to manage the timing of valve operations and the flushing system. Real-time monitoring instruments, such as rotameters and dust concentration monitors, were used to ensure consistent air quality and reliable dust collection, which is critical for research conducted at the Earth Mechanics Institute.
To collect respirable dust, three cyclones and one TDS were strategically positioned around the cutting pick of the LCM, with PVC and polycarbonate (PC) filters to capture dust particles. The setup included two PC-filtered cyclones at the back and left positions, a PVC-filtered cyclone at the front right, and a TDS at the front left, all connected to air pumps via Tygon tubing. The pumps were calibrated to specific flow rates of 1.7 L per minute for the cyclones and 1.0 L per minute for the TDS to achieve the desired particle size cutoff. This setup allowed for precise collection of dust concentration and silica content under controlled laboratory conditions, with humidity levels ranging between 20% and 24%.

2.2.2. Fines Collection Techniques

The boundary lines indicate the consistent area used for collecting fines at the end of the cut lines over the sample’s surface (Figure 3b). To ensure the same collection area with the vacuum for every pass, the boundary lines for each sample were the same. The borders of the region where the fine material was gathered were designated by two parallel tapes placed on opposite ends and were perpendicular to the cut lines. Additionally, to prevent contamination and provide a good representation of the dust sample for analysis, the dust produced by the relief cuts or the first and last cuts was not collected because these lines were very close to concrete, as shown in Figure 4b.
Figure 3. Dust collection apparatus: (a) The cassettes with filters used to collect the respirable dust; (b) The rock sample placed on the rock box under the saddle where the pick cutter is connected and cuts the rock horizontally.
Figure 4. Fines collection point: (a) Two L-square rulers are placed at the point where the fractured rock that remains on the surface of the rock is collected manually for Wipfrag particle size distribution analysis; (b) Fines collection vacuum and paper filter used to collect the fines that remained on the surface for laser diffraction for particle size distribution analysis.

2.3. Physical Characteristics Analysis

During this research, analyses were conducted on 57 samples to acquire comprehensive characterization and concentration of dust particles. Of these 57 samples, 15 duplicates represented each wear condition, as outlined in the test matrix. This research investigated the mineral composition, shape, and size distribution of respirable particles with an aerodynamic diameter of less than 10 µm. Another investigation determined the particle size distribution and particle shapes of the fine material.

2.3.1. Field Emission Scanning Electron Microscopy (FE-SEM)

Micrographs of the particles deposited on the polycarbonate (PC) filter surfaces were taken and processed using an image analysis tool and a field emission scanning electron microscope (FE-SEM) to determine the particle morphologies. Images were obtained using a Tescan FE-SEM operating at a voltage of 15 kV and equipped with back scattering electron (BSE) detection as shown in Figure 5. The images were captured, and an elemental analysis of the collected respirable particles was performed using an attached Energy Dispersive X-ray Spectroscopy (EDS/EDAX) system alongside the FE-SEM imaging of the right sample of interest [42].
Figure 5. Dust image and mineralogy: (a) The image of the dust obtained under the FE-SEM; (b) Mineralogy obtained from the EDS/EDAX (FE-SEM) of the coal dust sample that is used as a baseline to ensure each sample looked at is primarily coal with a cutoff point 0.25 µm in diameter.
The FE-SEM analyzes dust particles by leveraging grayscale intensity differences and edge detection algorithms to distinguish individual particles, even in dense clusters [36]. For small particles attached to larger ones or located on their sides, the software uses advanced contrast-based segmentation techniques to detect subtle variations in intensity. The distinction is further refined by applying watershed algorithms, which separate overlapping particles by identifying local minimum in the grayscale intensity. Additionally, parameters such as particle size, shape, and orientation are used to classify and quantify the particles, ensuring accurate identification and measurement, even in highly dense images [37].

2.3.2. Clemex 49 Vision PE Nikon Microscopy Analysis of Dust Images

The Clemex 49 Vision PE software (Clemex Technology Inc., Longueuil, QC J4G 1T5, Canada) calculated the particles’ roundness, aspect ratio, fill area length, width, and roughness of particles that were smaller than 10 µm. As shown in Figure 6, the Clemex Vision PE software was configured to identify particles using binarization through grey thresholding [40,41]. This technique differentiates the particles from the polycarbonate (PC) filter backdrop. Additional customized commands (bespoke instructions) were added to the program code, such as bridging and object transfer, to separate clumped particles and remove particles intersecting the edges of the image during detection, respectively.
Figure 6. FE-SEM image and Clemex 49 PE image: (a) The raw image of dust obtained from the FE-SEM; (b) Clemex 49 PE analysis of raw FE-SEM images for physical properties evaluation of dust particles.
The red areas usually represent the background or non-particle regions. The software assigns red to distinguish spaces between particles or areas excluded from analysis. Green and light green: these colors are used to identify and segment individual particles. The intensity or shade (green vs. light green) often reflects differences in particle properties such as size, shape, or intensity values (brightness or reflectivity in the original grayscale image). The segmentation allows the software to analyze each particle’s physical properties, such as size distribution, shape, and orientation while ignoring the background (red and blue). This process is crucial for accurately measuring the characteristics of dense particle systems [37,41,43].

2.3.3. Particle Size Analysis by Laser Diffraction

The laser diffraction method was used to evaluate the fines and the suspended respirable dust with the Microtrac SYNC equipment (Aurora, IL, USA). Particle size distribution was examined using laser diffraction techniques, with a focus on particles larger than 10 um in aerodynamic diameter that remained on the rock’s surface following each pass. The light scattering principle, which involves directing a laser beam at a sample, is the foundation of this technique. Detectors evaluate the intensity of dispersed light at different angles because of the laser’s interaction with the sample’s particles, which scatter the light in different directions. The size distribution of the particles in the sample can be discovered by examining the pattern of scattered light. When examining the particle size distribution of fines, the goal of using laser diffraction techniques is non-destructive analysis. The output parameter for laser diffraction is the physical diameter, where other physical characteristics can be calculated [34,44].
Circular Diameter: Based on area and physical diameter;
Aerodynamic Diameter: Depends on density and dynamic shape factor;
Cunningham Correction Factor: A function of geometry;
Density: The density of water is 1 g/cm3, and the density of coal is 1.34 g/cm3.

2.3.4. Wipfrag Particle Size Distribution of Rock Fragments

Rock fragments collected manually were analyzed with the help of an image distribution software called Wipfrag. The first step in the procedure is to take pictures of the broken rock. The Wipfrag program processes the photos after they are taken. This entails locating and examining each particle in the pictures. To provide precise measurements, the software employs algorithms to differentiate between particles and backgrounds.
Wipfrag was produced by wipware in May 2000. wipware.com/products/wipfrag-image-analysis-software/ (accessed on 19 January 2024). Larger fragments were manually counted. The result obtained was compared to the Wipfrag count, and it achieved the same results.

2.4. NIOSH Manual of Analytical Methods (NMAM)

A professional third party performed the NMAM 7500/0600 and provided the concentration and micrograms of cristobalite, quartz, and tridymite detected per dust sample. This is the second technique used to analyze airborne dust as outlined in the workflow chart in Figure 7. The NMAM 7500 analysis provides an x-ray powder diffraction technique to determine the amount of crystalline silica of the respirable dust fraction in a sample collected with a 10 µm nylon cyclone with a PVC filter [35,45]. The NMAM 7500/0600 is a standard test used in the United States by industry to regulate and control dust exposures. The researcher determined the concentration per sample using the known pump run time and flow rate after receiving the raw data in mass units per sample from this third-party laboratory. NIOSH Manual of Analytical Methods (NMAM) (www.cdc.gov/niosh/nmam/default.html, accessed on 19 January 2024). Contact: Ronnee Andrews (NMAM@cdc.gov, accessed on 19 January 2024).
Figure 7. Workflow chart, which gives the work breakdown structure of the entire research process from rock preparation to result analysis.

2.5. Test Matrix

The test matrix (Table 2) used during the cutting was representative of a typical continuous miner used in the industry.
Table 2. Test matrix for coal showing the number of samples collected, including duplicates, to see the trend that each sample follows.

3. Results and Analysis

The full-scale cutting experiments used specific measurements and settings, as described in the methodology of this work. The testing was conducted using an angle of attack of 45 degrees and a speed of 10 inches/second of cutting throughout this experiment. A total of 57 samples were collected and analyzed, including 15 duplicate samples with five samples from each test set, referred to as a pass.

3.1. Physical Characteristics of Dust

To obtain precise data for each coal sample, the average physical diameter was converted to aerodynamic diameter using a slip correction factor [24,34] as seen in Table 3. Applying the slip correction factor did not significantly alter the results. To improve accuracy, however, including the slip correction factor in the pertinent computations is recommended. Physical and aerodynamic dimensions differ clearly from one another, demonstrating how important these computations are and how the shape of the particles could be different in different processes related to the generation of crushed materials and fines [44].
Table 3. Results of bit conditions, physical diameter (Dp), aerodynamic diameter (Da) without slip correction S/C factor and aerodynamic diameter with slip correction factor and the percent change in result.
Aerodynamic diameter with slip correction factor is
Da = dₚ √(C_{dₚ}/C_{Dₐ}) * √(Pₚ/(P₀ * X))
Aerodynamic diameter without slip correction factor is
Dₐ = dₚ √(Pₚ/(P₀ * X))
  • Da = aerodynamic diameter;
  • cd = circular diameter;
  • x = dynamic shape factor (1.36 for quartz);
  • pp = density of coal (1.34 g/cm3);
  • po = density of water (1 g/cm3);
  • dp = physical diameter (obtained from the Microtrac);
  • C = Cunningham correction factor (function of geometry).
Physical and aerodynamic dimeters clearly differ from one another as seen in Table 3. The physical diameter of dust refers to its actual measured size. In contrast, the aerodynamic diameter accounts for the particle’s behavior in air, considering its shape, density, and size, as if it were a perfect sphere [44].
Figure 8 compares the aerodynamic diameter distribution of fine particles produced by picks under different wear conditions (new, moderately worn, and worn-out). The “new pick” generates a smaller proportion of higher aerodynamic diameter particles (channels 1–3), indicating finer and lighter dust, while the “worn-out pick” produces a greater percentage of smaller aerodynamic diameter particles (channels 4–7), reflecting coarser and heavier dust. The “moderate pick” shows an intermediate trend, with a balanced distribution across smaller and larger particle sizes. These results demonstrate that bit wear significantly impacts the aerodynamic properties of dust particles, with worn picks contributing to a higher proportion of particles, which could affect dust dispersion and deposition behavior.
Figure 8. Aerodynamic diameters of dust particles and percent channel for all pick wear conditions.
Figure 9 compares the physical properties of particles generated under different wear conditions (new, moderately worn, and worn bits). The “new” bit produces particles with higher aspect ratios and roughness, indicating elongated and less smooth shapes, while the “worn” bit generates particles with lower aspect ratios, higher roundness, and more uniform dimensions (e.g., circular diameter and perimeter). This suggests that new bits create more irregularly shaped particles, which may have a higher aerodynamic impact and deposition potential in the lungs. In contrast, worn bits produce more compact and rounded particles. These trends highlight the influence of bit wear on particle morphology, which is critical for understanding dust behavior and potential health risks.
Figure 9. Physical properties of dust and wear conditions of CSV data obtained from the Clemex 49 analysis.

3.2. Particle Size Distribution of Fines

The Kolmogorov–Smirnov (KS) statistical test in MATLAB was used to analyze and observe the trends between pick wear conditions and particle size distribution, utilizing a p-value for evaluation. A small p-value (typically ≤ 0.05) provides strong evidence against the null hypothesis, suggesting that the two samples have distinct distributions or that the sample does not match the reference distribution. Conversely, a high p-value (>0.05) indicates insufficient evidence to reject the null hypothesis, implying that the two samples are likely from similar distributions and that the sample likely follows the reference distribution. The results provide strong statistical evidence that both rock type and pick wear independently influence dust concentration [37,44], as seen in Table 4, Table 5 and Table 6.
Table 4. P-values of particle size distribution of respirable dust.
Table 5. P-values for the particle size distribution of fines.
Table 6. Bit conditions, standard deviation, and mean aerodynamic diameter of fine particles.
As pick wear increased, particles shifted to larger numbers, but these changes were negligible. While worn bits produced a higher fraction of smaller particles relative to the volume of fines, the overall concentration of fines was significantly greater compared to new bits. This indicates that worn picks grind the rock rather than cutting it, particularly at lower penetration depths. For instance, in coal samples #6 and #8, tested with varying penetration depths (0.2, 0.4, and 0.8 inches) and 1-inch spacing, dust concentration increased due to this grinding effect. The p-value of 10−50 technically represents stronger statistical evidence than 10−20 for most practical purposes; they both indicate highly significant results that strongly reject the null hypothesis.
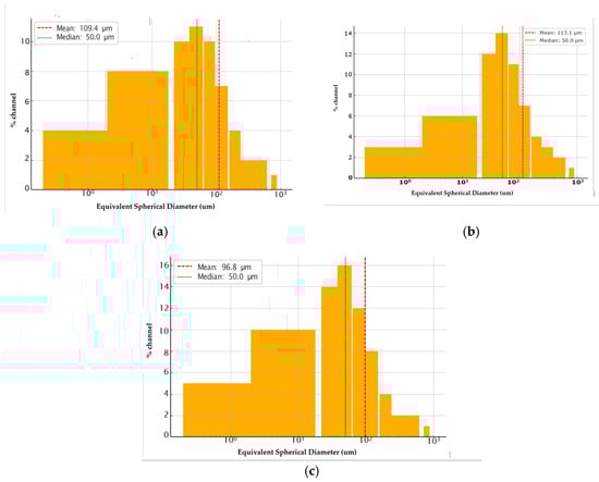
The fine size distributions for the three pick wear conditions are presented in Figure 10. During data collection, the equipment detected a range of particle sizes while recording the raw physical diameters. The particle size bins, measured in micrometers (µm), used for data collection in the “percent channel”, covered a broad range of airborne particles. These bins were designed to offer the best possible balance between processing speed and resolution, ensuring a reliable particle size distribution while maintaining efficiency in data processing. Physical property values are shown in Figure 11 and visualization of the rock fragments is shown in Figure 12.
Figure 10. These figures show the physical diameter and particle size distribution of fines obtained from the laser diffraction as raw data of representative samples: (a) a new bit; (b) moderately worn-out bit; (c) completely worn-out bit.
Figure 11. Physical properties of fines and wear conditions: (a) Physical properties of fines of new bit; (b) Physical properties of fines of moderate bit; (c) Physical properties of fines of worn-out bit.
Figure 12. Picture of rock fragments from the LCM testing in Coal samples spread out for capturing an image to analyze its particle size distribution using the Wipfrag software, Version 4.
The mean volume (MV), mean number diameter (MN), mean area (MA), standard deviation (SD), graphic mean (Mz), graphic standard deviation (Si), graphic skewness (Ski), and graphic kurtosis all show changes as the pick tip radii representing wear condition changes irrespective of the penetrations and spacings as shown in Figure 11.

3.3. Wear Condition and Percent Silica

The NMAM 7500 standard [45] is a widely used method in the United States for monitoring and regulating dust exposure in industrial environments. Results for NMAM 7500 for this experiment are in Table 7. NMAM 7500 employs X-ray powder diffraction to quantify the crystalline silica content, including cristobalite, quartz, and tridymite, in the respirable dust fraction. Samples are typically collected using a 10 mm nylon cyclone with a PVC filter to isolate respirable particles. This analysis provides precise measurements of silica content reported in micrograms per sample and is performed by professional third parties to ensure accuracy and compliance. Unlike “end-of-shift” measurements, the NMAM 7500 standard calculates average concentrations over the entire sampling duration, offering a comprehensive representation of dust exposure.
Table 7. Minerals obtained from the NMAM 7500 analysis of coal dust.
The NMAM 7500 standard results confirmed that all picks produced dust containing quartz and other elements. However, it is important to note that the measurement of mineral composition in this study was conducted to develop a complete data set. The bit wear did not have any impact on the mineral composition and could not alter it. The relevance of mineral composition testing is more applicable when comparing different rock types or job sites rather than assessing changes in bit conditions or cutting geometry within the same rock type.

4. Discussion

The discussion centers on the complex interplay between the wear conditions of cutting tools and the resulting physical properties of coal dust particles, which are crucial for understanding the broader implications of safety and operational efficiency in mining. This research indicates that as tools undergo wear, there are significant changes in particle characteristics, which directly impact both the explosibility and respirability of coal dust.

4.1. Wear Condition and Physical Properties

The wear condition of cutting tools significantly affects the aerodynamic diameter and physical properties of coal dust particles, with critical implications for mining safety. As bits wear, the aerodynamic diameter decreases raising the risk of explosive dust clouds in confined spaces. Tool wear also reduces the aspect ratio of dust particles, with new bits producing more elongated particles and worn bits generating less elongated ones. While roughness and roundness show slight variations, they can still influence dust explosivity by affecting particle settlement and the potential for secondary explosions. Maintaining optimal tool conditions is essential to improving both safety and efficiency.
Particle size distribution analysis across different bit wear conditions reveals increasing trends in mean volume (MV), median (MN), and mean area (MA) as bits wear. Higher standard deviation (SD) with wear indicates greater variability in particle size, potentially affecting downstream processing. Secondary metrics like graphic standard deviation (Si), skewness (Ski), and kurtosis (Kg) show smaller but significant changes. These findings highlight the importance of regular bit maintenance and effective dust suppression strategies to manage these variations and maintain safe, efficient operations.

4.2. Percent Silica

As noted in the previous discussion, the mineral content, particularly quartz (Table 7) is not directly affected by the bit’s wear, but rather, the amount of dust generated increases with wear. Quartz, a form of crystalline silica, is hazardous when airborne, as it can lead to respiratory illnesses such as silicosis [8,25,46]. The significant increase in quartz content as the bit wears out implies that worn bits produce more hazardous dust, necessitating stringent dust control measures.
The increasing amount of quartz dust with bit wear presents a heightened health risk. Prolonged exposure to high levels of quartz dust, which primarily consists of respirable crystalline silica (RCS), can lead to severe consequences for workers’ respiratory health, including silicosis, chronic obstructive pulmonary disease (COPD), and lung cancer [16,17,46]. The relationship between RCS exposure and these health outcomes is well-documented in the occupational health literature, emphasizing the critical need for stringent dust monitoring and control measures.
As bits approach the end of their service life and produce more quartz in the dust, the risk of exposure increases, making it crucial to implement effective engineering controls, such as local exhaust ventilation, water suppression systems, and enclosed operator cabins, as well as administrative controls, including regular maintenance schedules and worker training [32,47,48]. Personal protective equipment (PPE), such as N95 respirators, should also be considered an additional measure, particularly in environments where dust levels may exceed occupational exposure limits (OELs) despite other controls.

5. Conclusions

The comprehensive analysis of wear conditions, particle size distribution, and silica content across various materials underscores the critical relationship between equipment maintenance and occupational health and safety. The findings of this research reveal that while the percent silica content remains constant regardless of the wear condition of cutting bits, the amount of dust generated increases significantly as bits wear out. This increase in fine and respirable dust, which contains quartz, presents a heightened risk of exposure to respirable crystalline silica (RCS), which is directly linked to severe respiratory diseases such as silicosis, chronic obstructive pulmonary disease (COPD), and lung cancer [34].
This research highlights the direct impact of bit wear on dust generation and the associated risks of silica exposure. By integrating the insights from this study into their operational practices, companies can enhance their compliance with regulatory requirements, improve workplace safety, and ultimately safeguard the health of their workers. The ongoing commitment to awareness, control measures, and regulatory compliance will be essential in mitigating the risks posed by respirable crystalline silica in industrial environments.
In addition to the health risks associated with respirable crystalline silica, this research highlights the significant concerns related to the explosivity of fine dust particles, particularly in environments where bituminous coal is processed. Bituminous coal, known for its high volatile content and relatively low moisture, possesses thermal properties that make it highly susceptible to ignition when reduced to fine particles. The physical characteristics of the coal, combined with the increased production of fine dust as cutting bits wear out, elevate the risk of dust explosions.
In conclusion, the interconnected issues of conical pick cutter wear, fine particle generation, and the exacerbating effects of heat present significant challenges for the mining industry. As cutter wear increases the production of harmful and explosive coal dust, the rising temperatures associated with climate change further amplify the risk of dust ignition and explosion in underground mining environments. Addressing these issues requires a comprehensive approach that not only focuses on improving cutter technology and dust control measures but also considers the broader impact of climate change on mining safety. This research contributes to the development of safer and more sustainable mining practices by highlighting the urgent need for integrated solutions that protect both workers and the environment from the compounded dangers of dust generation and global warming.

6. Recommendation

Dust Control and Bit Wear Management and Compliance

The new silica rule significantly impacts bit wear management by requiring more frequent inspections, timely bit replacements, and enhanced dust control measures to ensure that silica dust levels remain within safe limits. This focus on managing bit wear not only helps in complying with regulatory standards but also plays a crucial role in protecting workers’ health and extending the operational efficiency of dust control systems. This rule, which imposes stricter limits on permissible exposure to respirable crystalline silica (RCS), has a direct and significant impact on bit wear management in industries where cutting, grinding, or drilling processes generate silica-containing dust.
Given these findings, companies and operators must prioritize awareness and education on the risks associated with silica dust. Workers must be adequately informed about the dangers of RCS exposure, the importance of maintaining equipment, and the use of appropriate personal protective equipment (PPE). In parallel, management must consider substitution, implement engineering controls, apply administrative controls, and foster a culture of safety by investing in continuous training programs that emphasize the identification of wear in cutting tools and the implementation of effective dust control measures. Further details are provided in the Supplementary Material explaining the methodology and results obtained from the research.

Supplementary Materials

The following supporting information can be downloaded at https://doi.org/10.5281/zenodo.14541659. Figure S1: Picture of cuttings from the LCM testing in coal samples spread out for capturing an image to analyze particle size distribution using the WipFrag software. Figure S2: Average results obtained from the WipFrag analysis on cuttings as PSD. The results for (a) the new pick, (b) the moderately worn-out pick, and (c) the sample collected from testing by the worn-out pick. Figure S3: Representative particle size distribution of rock fragments manually gathered for WipFrag analysis. Worn-out pick result (left), moderately worn-out (middle), and new pick result (right). Figure S4: (a, b & c) Particle shape and size obtained for new pick (c), moderately worn-out (b), and completely worn-out pick (a) from the laser diffraction. Figure S5: Manually wearing down the conical bit tip with a diamond-studded Dremel. Figure S6: Three 10-mm Dorr-Oliver cyclones with respective filters. Figure S7: TDS opened to see the PC filter, which will be placed in the clear cassette at the left for holding the sample safely until further analyses. Flow calibrator setup: Flow calibrator installed in series with the pump and cyclone. Cyclone setup: Cyclone with filter setup and connected to a rotameter and Gillian BDX II air sampler pump in series with Tygon® tubing to ensure correct pump flow rates.

Author Contributions

M.S. conducted this research, performed data analysis, and wrote the manuscript. J.R. is a Principal Investigator (PI) and advisor who provided oversight and guidance throughout this study. S.S. provided the methodology and supervised the data analysis. H.M. and R.K. are the committee members who provided critical feedback and direction on this research. A.M. assisted with data collection and analysis. All authors have read and agreed to the published version of the manuscript.

Funding

This research was supported by the National Institute for Occupational Safety and Health (NIOSH) and the Centers for Disease Control and Prevention (CDC) under Grant No. 75D30119C05413, titled “Improving Health and Safety of Mining Operations Through Development of the Smart Bit Concept for Automation of Mechanical Rock Excavation Units and Dust Mitigation.

Data Availability Statement

The datasets supporting the conclusions of this article, specifically from the “NIOSH”, “NMAM”, and “Aerodynamic diameter” Physical properties, are publicly available in the Zenodo repository at https://doi.org/10.5281/zenodo.14541659. These datasets include experimental results on bit wear condition, physical properties of coal dust, and dust generation for coal using a Linear Cutting Machine (LCM) and are provided to ensure transparency and reproducibility. The rest of the raw data can only be available upon the approval of the NIOSH director.

Acknowledgments

The authors would like to thank the National Institute for Occupational Safety and Health (NIOSH) for funding this research. Special thanks to the Smart Bit project team for assistance with data collection and analysis. The authors also extend their gratitude to Slouka, Miller, and Kaunda for their invaluable input and support throughout the research process.

Conflicts of Interest

The authors declare that they have no competing interests.

References

  1. Gasparotto, J.; Da Boit Martinello, K. Coal as an Energy Source and Its Impacts on Human Health. Energy Geosci. 2021, 2, 113–120. [Google Scholar] [CrossRef]
  2. Liu, X.; Liu, S.; Li, L.; Cui, X. Experiment on Conical Pick Cutting Rock Material Assisted with Front and Rear Water Jet. Adv. Mater. Sci. Eng. 2015, 2015, 506579. [Google Scholar] [CrossRef]
  3. Gu, Q.K.; Liu, R.P.; Chen, Z.W.; Luo, S.C.; Guo, W.M.; Lin, H.T. Cutting Performance and Wear Characteristics of Si3N4–SiCw–HfB2 Ceramic Cutting Tools in Turning of Ductile Cast Iron. J. Am. Ceram. Soc. 2024, 107, 56–66. [Google Scholar] [CrossRef]
  4. Reed, W.R.; Luxbacher, G.W. NIOSH Miner Act Extramural Research for Silica Dust; CDC-NIOSH: Pittsburgh, PA, USA, 2021. [Google Scholar]
  5. Kadkhodaei, M.H.; Ghasemi, E.; Hamidi, J.K.; Rostami, J. Evaluation of Fine Material and Chip Formation in Rock Cutting with a Conical Tool; Springer Nature: Berlin/Heidelberg, Germany, 2024; Volume 83, pp. 7–276. [Google Scholar]
  6. Zeng, Q.; Wang, Z.; Lu, Z.; Wan, L.; Liu, Z.; Zhang, X. Research on Cutting Performance and Fatigue Life of Conical Pick in Cutting Rock Process. Sci. Prog. 2021, 104, 50293. [Google Scholar] [CrossRef] [PubMed]
  7. Wang, Z.; Zeng, Q.; Lu, Z.; Wan, L.; Zhang, X.; Gao, G. Numerical Simulation of Conical Pick Cutting Arc Rock Plate Fracture Based on ANSYS/LS-DYNA. Adv. Mater. Sci. Eng. 2020, 2020, 6563520. [Google Scholar] [CrossRef]
  8. Paluchamy, B.; Mishra, D.P.; Panigrahi, D.C. Airborne Respirable Dust in Fully Mechanised Underground Metalliferous Mines–Generation, Health Impacts and Control Measures for Cleaner Production. J. Clean. Prod. 2021, 296, 126524. [Google Scholar] [CrossRef]
  9. Yuan, Q.; Bu, Y.; Amyotte, P.; Dong, Z.; Li, C.; Chen, H.; Liu, Z.; Li, G.; Hu, W.; Yuan, C. Effect on Ignition Sensitivity of Combustible Dust Particle Size Reduction Due to Dispersion in the 20-L Chamber. Powder Technol. 2024, 433, 119188. [Google Scholar] [CrossRef]
  10. Rybak, W.; Moroń, W.; Wach, J. Ignition Studies on High-Vitrinite and High-Inertinite Coals Using TGA/DSC, DTIF, EFR, and 20 L Dust Explosive Chamber. Energies 2021, 14, 3601. [Google Scholar] [CrossRef]
  11. Castells, B.; Tascón, A.; Amez, I.; Fernandez-Anez, N. Influence of Particle Size on the Flammability and Explosibility of Biomass Dusts: Is a New Approach Needed? Fire Technol. 2023, 59, 2989–3025. [Google Scholar] [CrossRef]
  12. Zhang, G.; Sun, B.; Song, S.; Wang, H.; Zhou, G. CFD Comparative Analysis on the Pollution Characteristics of Coal Dust under Turbulent Airflow from Coal Cutting in the Fully Mechanized Mining Face. Process Saf. Environ. Prot. 2021, 146, 515–530. [Google Scholar] [CrossRef]
  13. Essenhigh, R.H.; Misra, M.K.; Shaw, D.W. Ignition of coal particles: A review. Combust. Flame 1989, 77, 3–30. [Google Scholar] [CrossRef]
  14. Liu, T.; Liu, S. The Impacts of Coal Dust on Miners’ Health: A Review. Environ. Res. 2020, 190, 109849. [Google Scholar] [CrossRef] [PubMed]
  15. Wang, L.; Zhang, D.; Wang, D.; Feng, C. A Review of Selected Solutions on the Evaluation of Coal-Rock Cutting Performances of Shearer Picks under Complex Geological Conditions. Appl. Sci. 2022, 12, 12371. [Google Scholar] [CrossRef]
  16. Zosky, G.R.; Hoy, R.F.; Silverstone, E.J.; Brims, F.J.; Miles, S.; Johnson, A.R.; Gibson, P.G.; Yates, D.H. Coal Workers’ Pneumoconiosis: An Australian Perspective. Med. J. Aust. 2016, 204, 414–418. [Google Scholar] [CrossRef] [PubMed]
  17. Liu, W.; Liang, R.; Zhang, R.; Wang, B.; Cao, S.; Wanx, X.; Ma, J.; Wang, D.; Chen, W. Prevalence of Coal Worker’s Pneumoconiosis: A Systematic Review and Meta-Analysis; Springer Nature: Berlin/Heidelberg, Germany, 2022; Volume 29, pp. 8690–88698. [Google Scholar]
  18. Liu, T.; Jia, R.; Dong, X.; Zhao, X.; Tian, W.; Cai, Z.; Wang, N. Explosion Flame and Pressure Characteristics of Nonstick Coal Dust and the Inhibition of Explosion Suppressants. J. Chem. 2022, 2022, 3995455. [Google Scholar] [CrossRef]
  19. Billing Code: 4520-43-P DEPARTMENT OF LABOR Mine Safety and Health Administration. Available online: https://www.govinfo.gov/ (accessed on 19 January 2024).
  20. Cheng, Y.P.; Wang, L.; Zhang, X.L. Environmental Impact of Coal Mine Methane Emissions and Responding Strategies in China. Int. J. Greenh. Gas Control 2011, 5, 157–166. [Google Scholar] [CrossRef]
  21. Baum, E.; Denison, M.R. Characterization of Solid Propellants by Damped Combustion Oscillations. Combust. Flame 2012, 159, 854–858. [Google Scholar] [CrossRef]
  22. Nălboc, I.; Prodan, M.; Szollosi Moța, A.; Șuvar, S. Experimental Investigation on the Self-Ignition Behavior of Dangerous Dust Accumulations. MATEC Web Conf. 2024, 389, 16. [Google Scholar] [CrossRef]
  23. Su, X.; Ding, R.; Zhuang, X. Characteristics of Dust in Coal Mines in Central North China and Its Research Significance. ACS Omega 2020, 5, 9233–9250. [Google Scholar] [CrossRef] [PubMed]
  24. Abbasi, B.; Wang, X.; Chow, J.C.; Watson, J.G.; Peik, B.; Nasiri, V.; Riemenschnitter, K.B.; Elahifard, M. Review of Respirable Coal Mine Dust Characterization for Mass Concentration, Size Distribution and Chemical Composition. Minerals 2021, 11, 426. [Google Scholar] [CrossRef]
  25. Wang, Z.; Zeng, Q.; Wan, L.; Lu, Z.; Wang, H. Investigation of the Influence of Cutting Parameters on Conical Pick Cutting Performance and Rock Damage. Machines 2022, 10, 1034. [Google Scholar] [CrossRef]
  26. Feng, X.-T.; Yang, C.-X.; Kong, R.; Zhao, J.; Zhou, Y.; Yao, Z.; Hu, L. Excavation-Induced Deep Hard Rock Fracturing: Methodology and Applications. J. Rock Mech. Geotech. Eng. 2022, 14, 1–34. [Google Scholar] [CrossRef]
  27. Rahimi, B.; Sharifzadeh, M.; Feng, X.-T. A Comprehensive Underground Excavation Design (CUED) Methodology for Geotechnical Engineering Design of Deep Underground Mining and Tunneling. Int. J. Rock Mech. Min. Sci. 2021, 143, 104684. [Google Scholar] [CrossRef]
  28. Bołoz, Ł.; Kalukiewicz, A.; Galecki, G.; Romanyshyn, L.; Romanyshyn, T.; Giménez, R.B. Conical Pick Production Process. New Trends Prod. Eng. 2020, 3, 231–240. [Google Scholar] [CrossRef]
  29. Apostu, I.-M.; Lazar, M.; Faur, F. Implications of Coal Disappearance from the Energy Mix in Romania. MATEC Web Conf. 2022, 354, 57. [Google Scholar] [CrossRef]
  30. Jiang, J.; Li, X.; Liang, S.; Zhong, Y.; Yang, L.; Hao, P.; Soar, J. Study of Parameters and Theory of Sucrose Dust Explosion. Energies 2022, 15, 1439. [Google Scholar] [CrossRef]
  31. Song, B. Study on Flame Propagation Characteristics of Coal Dust Explosion in Horizontal Straight Pipe. Int. J. Low-Carbon Technol. 2023, 18, 150–158. [Google Scholar] [CrossRef]
  32. Colinet, J.; Halldin, C.N.; Schall, J. Best Practices for Dust Control in Coal Mining, 2nd ed.; Center for Disease Control and Prevention: Atlanta, GA, USA, 2021. [Google Scholar]
  33. Hendryx, M.; Zullig, K.J.; Luo, J. Impacts of Coal Use on Health. Annu. Rev. Public Health 2020, 41, 397–415. [Google Scholar] [CrossRef]
  34. Torabi, S.A. Characterization of Forms of Silica with Varying Degrees of Crystallinity in Respirable Mine Dust. Master’s Thesis, PennState University, Carlisle, PA, USA, 2023. [Google Scholar]
  35. Boers, D.; Torén, K.; Kristina Alexanderson, G.; Barregård, L.; Maria Albin, G.; Jens Peter Bonde, S.; Lotta Dellve, C.; Jörgen Eklund, S.; Henrik Kolstad, S.; Mats Hagberg, A.; et al. The Nordic Expert Group for Criteria Documentation of Health Risks from Chemicals and the Dutch Expert Committee on Occupational Safety 156. Respirable Crystalline Silica. 2024, Volume 58. Available online: https://gupea.ub.gu.se/bitstream/handle/2077/83372/AoH_2024_58_2.pdf?sequence=1 (accessed on 13 June 2024).
  36. Yan, J.; Wang, Z.; Lu, X.; Wu, Y.; Luo, H.; Liu, X. Physical and Chemical Characteristics of Explosive Dust at Large Open-Pit Coal Mines in Inner Mongolia, China and Dust Control Research. Atmosphere 2023, 14, 1678. [Google Scholar] [CrossRef]
  37. Slouka, S.; Brune, J.; Rostami, J.; Tsai, C.; Sidrow, E. Characterization of Respirable Dust Generated from Full Scale Cutting Tests in Limestone with Conical Picks at Three Stages of Wear. Minerals 2022, 12, 930. [Google Scholar] [CrossRef]
  38. Tsai, C.S.-J.; Theisen, D. A Sampler Designed for Nanoparticles and Respirable Particles with Direct Analysis Feature. J. Nanoparticle Res. 2018, 20, 209. [Google Scholar] [CrossRef]
  39. Cheluszka, P.; Mikuła, S.; Mikuła, J. Conical Picks of Mining Machines with Increased Utility Properties–Selected Construction and Technological Aspects. Acta Montan. Slovaca 2021, 26, 195–204. [Google Scholar] [CrossRef]
  40. Wormuth, K.; Gaston, F.; Gauthier, M.; Cantin, V.; Montenay, N. Best Practices to Quantify and Identify Particulate Matter on the Interior Surfaces of Single-Use Systems. PDA J. Pharm. Sci. Technol. 2024, 78, 90–99. [Google Scholar] [CrossRef] [PubMed]
  41. Tosun, G.; Buytoz, S. Microstructural Properties of Fe–Cr–C/NbC Composite Coating Produced on Medium Carbon Steel Surface by TIG Coating Process. Arab. J. Sci. Eng. 2021, 46, 2231–2241. [Google Scholar] [CrossRef]
  42. Hrstka, T.; Gottlieb, P.; Skála, R.; Breiter, K.; Motl, D. Automated Mineralogy and Petrology–Applications of TESCAN Integrated Mineral Analyzer (TIMA). J. Geosci. 2018, 63, 47–63. [Google Scholar] [CrossRef]
  43. Markanday, J.F.S.; Christofidou, K.A.; Miller, J.R.; Livera, E.R.; Jones, N.G.; Pickering, E.J.; Li, W.; Pardhi, Y.; Jones, C.N.; Stone, H.J. The Microstructural Evolution of CM247LC Manufactured Through Laser Powder Bed Fusion. Met. Mater. Trans. A Phys. Met. Mater. Sci. 2023, 54, 1758–1775. [Google Scholar] [CrossRef]
  44. William, C.; Hinds, Y.Z. Hinds Aerosol Technology, 5th ed.; Wiley: New York, NY, USA, 2022. [Google Scholar]
  45. Andrews, R.; Fey O’Connor, P. NIOSH Manual of Analytical Methods (NMAM), 5th ed.; Department of Health & Human Services: Washington, DC, USA, 2020. [Google Scholar]
  46. Wippich, C.; Rissler, J.; Koppisch, D.; Breuer, D. Estimating Respirable Dust Exposure from Inhalable Dust Exposure. Ann. Work. Expo. Health 2020, 64, 430–444. [Google Scholar] [CrossRef] [PubMed]
  47. Noack, K. Control of Gas Emissions in Underground Coal Mines. Int. J. Coal. Geol. 1998, 35, 57–82. [Google Scholar] [CrossRef]
  48. Yuan, L. Scientific conception of coal mine dust control and occupational safety. J. China Coal Soc. 2020, 45, 1–7. [Google Scholar] [CrossRef]
Disclaimer/Publisher’s Note: The statements, opinions and data contained in all publications are solely those of the individual author(s) and contributor(s) and not of MDPI and/or the editor(s). MDPI and/or the editor(s) disclaim responsibility for any injury to people or property resulting from any ideas, methods, instructions or products referred to in the content.

Article Metrics

Citations

Article Access Statistics

Multiple requests from the same IP address are counted as one view.