Effects of Ore Particle Size Distribution on Rare Earth Leaching Process of Weathered Crust Elution-Deposited Rare Earth Ores
Abstract
1. Introduction
2. Materials and Methods
2.1. Ore Sample Properties
2.2. Apparatus and Experimental Procedure
2.3. Experimental Procedure
3. Results and Discussion
3.1. The Change in 1/K with Ammonium Chloride as the Leaching Agent
3.2. WCE-DREOs’ Column Leaching with Different Ore Particle Sizes
3.2.1. Effects of Leaching Agent Concentrations on RE Leaching Process
3.2.2. Effects of Temperature on RE Leaching Process
3.3. WCE-DREO Samples’ Clay Mineral Swelling Processes
3.3.1. WCE-DREO Samples’ Clay Mineral Swelling Mechanism
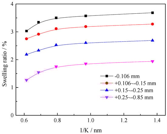
3.3.2. Swelling Ratios of Ore Samples with Different Grain Sizes of WCE-DREOs
3.3.3. Swelling Dissolution Mechanism of Clay Minerals in WCE-DREO Samples
4. Conclusions
Author Contributions
Funding
Data Availability Statement
Acknowledgments
Conflicts of Interest
References
- Zhang, Z.Y.; He, Z.Y.; Xu, Z.G.; Yu, J.X.; Zhang, Y.F.; Chi, R.A. Rare earth partitioning characteristics of China rare earth ore. Chin. Rare Earths 2016, 37, 121–127. [Google Scholar] [CrossRef]
- Simandl, G.J. Geology and market-dependent significance of rare earth element resources. Miner. Depos. 2014, 49, 889–904. [Google Scholar] [CrossRef]
- Hu, G.H.; Feng, Z.Y.; Dong, J.S.; Meng, X.L.; Xiao, Y.F.; Liu, X.S. Mineral properties and leaching characteristics of volcanic weathered crust elution-deposited rare earth ore. J. Rare Earths 2017, 35, 906–910. [Google Scholar] [CrossRef]
- Li, M.Y.H.; Zhou, M.F.; Williams-Jones, A.E. The genesis of regolith-hosted heavy rare earth element deposits: Insights from the world-class Zudong deposit in Jiangxi province, south China. Econ. Geol. 2019, 114, 541–568. [Google Scholar] [CrossRef]
- Liang, X.L.; Tan, W.; Ma, L.Y.; Zhu, J.X.; He, H.P. Mineral surface reaction constraints on the formation of ion-adsorption rareearth element deposits. Earth Sci. Front. 2022, 29, 29–41. [Google Scholar] [CrossRef]
- Xiao, Y.F.; Feng, Z.Y.; Hu, G.; Huang, L.; Huang, X.W.; Chen, Y.; Li, M. Leaching and mass transfer characteristics of elements from ion-adsorption type rare earth ore. Rare Met. 2015, 34, 357–365. [Google Scholar] [CrossRef]
- Luo, X.P.; Zou, L.P.; Ma, P.L.; Luo, C.G.; Xu, J.; Tang, X.K. Removing aluminum from a low-concentration lixivium of weathered crust elution-deposited rare earth ore with neutralizing hydrolysis. Rare Met. 2017, 36, 685–690. [Google Scholar] [CrossRef]
- Long, P.; Wang, G.S.; Tian, J.; Hu, S.L.; Luo, S.H. Simulation of one-dimensional column leaching of weathered crust elution-deposited rare earth ore. Trans. Nonferrous Met. Soc. China 2019, 29, 625–633. [Google Scholar] [CrossRef]
- Moldoveanu, G.; Papangelakis, V. Chelation-assisted ion-exchange leaching of rare earths from clay minerals. Metals 2021, 11, 1265. [Google Scholar] [CrossRef]
- Xiao, Y.F. Study on the Green and Efficient Leaching Technology for Ion-Adsorption Type Rare Earths Ore with Magnesium Salt System. Ph.D. Thesis, Northeastern University Shenyang, Shenyang, China, 2015. [Google Scholar]
- Li, Y.H.M.; Zhao, W.W.; Zhou, M.F. Nature of parent rocks, mineralization styles and ore genesis of regolithhosted REE deposits in South China: An integrated genetic model. J. Asian Earth Sci. 2017, 148, 65–95. [Google Scholar] [CrossRef]
- Xiao, Y.F.; Liu, X.S.; Feng, Z.Y.; Huang, X.W.; Huang, L.; Chen, Y.Y.; Wu, W.Y. Role of minerals properties on leaching process of weathered crust elution-deposited rare earth ore. J. Rare Earths 2015, 33, 545–552. [Google Scholar] [CrossRef]
- Xiao, Y.F.; Gao, G.; Huang, L.; Feng, Z.Y.; Lai, F.G.; Long, Z.Q. A discussion on the leaching process of the ion-adsorption type rare earth ore with the electrical double layer model. Miner. Eng. 2018, 120, 35–43. [Google Scholar] [CrossRef]
- Nie, W.R.; Zhang, L.; He, Z.Y.; Zhou, J.; Wu, M.; Xu, Z.G.; Chi, R.A.; Yang, H.F. Research progress on leaching technology and theory of weathered crust elution-deposited rare earth ore. Hydrometallurgy 2020, 193, 105295. [Google Scholar] [CrossRef]
- Fan, X.; Xue, Q.; Liu, S.W.; Tang, J.; Qiao, J.Y.; Huang, Y.Y.; Sun, J.M.; Liu, N.N. The influence of soil particle size distribution and clay minerals on ammonium nitrogen in weathered crust elution-deposited rare earth tailing. Ecotoxicol. Environ. Saf. 2021, 208, 111663. [Google Scholar] [CrossRef]
- Chen, K.H.; Pei, J.N.; Yin, S.H.; Li, S.W.; Peng, J.H.; Zhang, L.B. Leaching behaviour of rare earth elements from low-grade weathered crust elution-deposited rare earth ore using magnesium sulfate. Clay Miner. 2019, 53, 505–514. [Google Scholar] [CrossRef]
- Xu, Z.G.; Li, G.; Yang, H.F.; Sha, A.Y.; He, Z.Y.; Tang, Y.C.; Wu, M.; Qu, J. Development review on leaching technology and leaching agents of weathered crust elution-deposited rare earth ores. Minerals 2023, 13, 1223. [Google Scholar] [CrossRef]
- He, Z.Y.; Zhang, R.; Sha, A.Y.; Zuo, Q.; Xu, Z.G.; Wu, M.; Chi, R.A. Anti-swelling mechanism of DMDACC on weathered crust elution-deposited rare earth ore. J. Rare Earths 2022, 40, 1803–1811. [Google Scholar] [CrossRef]
- Zhou, F.; Zhang, D.D.; Zhang, Y.X.; Deng, B.N.; Zhang, Q.T.; Yu, J.X.; Xiao, C.Q.; Chi, R.A. Influence of surfactant on clay swelling inhibition of weathered crust elution-deposited rare earth ores. Colloids Surf. A-Physicochem. Eng. Asp. 2023, 677, 132435. [Google Scholar] [CrossRef]
- Chen, L.K.; Jin, X.W.; Chen, H.X.; He, Z.W.; Qiu, L.R.; Duan, H.R. Grain size distribution and clay mineral distinction of rare earth ore through different methods. Minerals 2020, 10, 353. [Google Scholar] [CrossRef]
- Yan, J.B.; Wu, K.X.; Liu, H.; Liao, C.L.; Jin, W.X.; Zhu, P.; Ouyang, H. Patterns of particle size distribution and genesis of ion-adsorption REE ore-exemplified by Dabu REE ore deposit, Ganxian County, Southern Jiangxi Province. J. Chin. Soc. Rare Earths 2018, 36, 372–384. [Google Scholar] [CrossRef]
- Chen, Z.; Zhang, Z.Y.; Liu, D.F.; Chi, X.W.; Chen, W.D.; Chi, R.A. Swelling of clay minerals during the leaching process of weathered crust elution-deposited rare earth ores by magnesium salts. Powder Technol. 2020, 367, 889–900. [Google Scholar] [CrossRef]
- Zhang, Z.Y.; He, Z.Y.; Yu, J.X.; Xu, Z.G.; Chi, R.A. Novel solution injection technology for in-situ leaching of weathered crust elution-deposited rare earth ores. Hydrometallurgy 2016, 164, 248–256. [Google Scholar] [CrossRef]
- He, Z.Y.; Zhang, Z.Y.; Yu, J.X.; Zhou, F.; Xu, Y.L.; Xu, Z.G.; Chen, Z.; Chi, R.A. Kinetics of column leaching of rare earth and aluminum from weathered crust elution-deposited rare earth ore with ammonium salt solutions. Hydrometallurgy 2016, 163, 33–39. [Google Scholar] [CrossRef]
- Xiao, Y.F.; Chen, Y.Y.; Feng, Z.Y.; Huang, X.W.; Huang, L.; Long, Z.Q.; Cui, D.L. Leaching characteristics of ion-adsorption type rare earths ore with magnesium sulfate. Trans. Nonferrous Met. Soc. China 2015, 25, 3784–3790. [Google Scholar] [CrossRef]
- Guo, Z.Q.; Zhou, J.R.; Zhou, K.F.; Jin, J.F.; Wang, X.J.; Zhao, K. Soil-water characteristics of weathered crust elution-deposited rare earth ores. Trans. Nonferrous Met. Soc. China 2021, 31, 1452–1464. [Google Scholar] [CrossRef]
- Zhou, L.B.; Wang, X.J.; Huang, C.G.; Wang, H.; Ye, H.C.; Hu, K.J.; Zhong, W. Development of pore structure characteristics of a weathered crust elution-deposited rare earth ore during leaching with different valence cations. Hydrometallurgy 2021, 201, 105579. [Google Scholar] [CrossRef]
- Guo, Z.Q.; Lai, Y.M.; Jin, J.F.; Zhou, J.R.; Zhao, K.; Sun, Z. Effect of particle size and grain composition on two-dimensional infiltration process of weathered crust elution -deposited rare earth ores. Trans. Nonferrous Met. Soc. China 2020, 30, 1647–1661. [Google Scholar] [CrossRef]
- Guo, K.S.; Zhuang, Y.F. A reactive transport model for in-situ leaching of weathered crust elution-deposited rare earth ores using ammonium sulfate. Hydrometallurgy 2023, 222, 106191. [Google Scholar] [CrossRef]
- Qin, F.Y.; Liu, W.; Wang, W.J.; Thomas, J.; Wang, Y.J.; Shen, J. An optimal expression for henry function for the calculation of zeta potential. Acta Opt. Sin. 2017, 37, 1029003. [Google Scholar] [CrossRef]
- Li, H.; Xu, Z.G.; Yu, J.X.; Zhang, Y.F.; Chi, R.A. Study on ore properties of the weathered crust elution-deposited rare earth ore and rare earth contents in various grain-size. Chin. Rare Earths 2012, 33, 14–18. [Google Scholar] [CrossRef]
- Tian, J.; Yin, J.Q.; Chi, R.A.; Rao, G.; Jiang, M.; Ouyang, K. Kinetics on leaching rare earth from the weathered crust elution-deposited rare earth ores with ammonium sulfate solution. Hydrometallurgy 2010, 101, 166–170. [Google Scholar] [CrossRef]
- Liu, Z. Study on the Mechanism of Inhibition of Swelling and Inhibition of Aluminum in Leaching Rare Earth Minerals from Weathered Crust Elution-Deposited Rare Earth Ore by Carboxylic Ammonium Salt. Master’s Thesis, Wuhan Institute of Technology, Wuhan, China, 2019. [Google Scholar]
- Song, S.Y.; Gu, G.H.; Wang, Y.H.; Fang, T.R. The structure property of clay minerals and their effects on flotation. Conserv. Util. Miner. Resour. 2020, 40, 43–50. [Google Scholar] [CrossRef]













| Component | REO | Al2O3 | CaO | SiO2 | MnO2 | ZnO | MgO | P2O5 | K2O |
|---|---|---|---|---|---|---|---|---|---|
| Content | 0.177 | 37.212 | 0.683 | 53.056 | 0.053 | 0.031 | 0.194 | 0.172 | 1.591 |
| Component | SO3 | TiO2 | Fe2O3 | Rb2O | SrO | ZrO2 | Na2O | CuO | Loss |
| Content | 0.014 | 1.481 | 2.982 | 0.017 | 0.009 | 0.017 | 0.062 | 0.006 | 2.243 |
| Particle Size/mm | A1 | A2 | X0 | p | R2 |
|---|---|---|---|---|---|
| −0.106 | 2.04 | 1.53 | 0.85 | 12.93 | 0.9991 |
| +0.106~−0.15 | 2.03 | 1.45 | 0.85 | 10.27 | 0.9951 |
| +0.15~−0.25 | 1.99 | 1.25 | 0.82 | 8.06 | 0.9879 |
| +0.25~−0.85 | 1.15 | 0.55 | 0.85 | 11.11 | 0.9954 |
| +0.85 | 1.04 | 0.39 | 0.81 | 5.78 | 0.9632 |
| Particle Size/mm | A1 | A2 | X0 | p | R2 |
|---|---|---|---|---|---|
| −0.106 | 1.60 | 2.03 | 0.67 | 172.39 | 0.9989 |
| +0.106~−0.15 | 1.57 | 2.00 | 0.67 | 219.99 | 0.9954 |
| +0.15~−0.25 | 1.19 | 1.92 | 0.67 | 144.65 | 0.9997 |
| +0.25~−0.85 | 0.71 | 1.13 | 0.67 | 168.50 | 0.9986 |
| +0.85 | 0.38 | 0.92 | 0.67 | 124.13 | 0.9978 |
| Particle Size/mm | y0 | A1 | t1 | R2 |
|---|---|---|---|---|
| −0.106 | 3.65 | −99.89 | 0.12 | 0.9660 |
| +0.106~−0.15 | 3.28 | −19.27 | 0.17 | 0.9859 |
| +0.15~−0.25 | 2.69 | −15.23 | 0.18 | 0.9847 |
| +0.25~−0.85 | 1.93 | −54.68 | 0.14 | 0.9943 |
Disclaimer/Publisher’s Note: The statements, opinions and data contained in all publications are solely those of the individual author(s) and contributor(s) and not of MDPI and/or the editor(s). MDPI and/or the editor(s) disclaim responsibility for any injury to people or property resulting from any ideas, methods, instructions or products referred to in the content. |
© 2025 by the authors. Licensee MDPI, Basel, Switzerland. This article is an open access article distributed under the terms and conditions of the Creative Commons Attribution (CC BY) license (https://creativecommons.org/licenses/by/4.0/).
Share and Cite
Long, F.; Chen, W.; Zhang, Z.; Chi, R. Effects of Ore Particle Size Distribution on Rare Earth Leaching Process of Weathered Crust Elution-Deposited Rare Earth Ores. Minerals 2025, 15, 149. https://doi.org/10.3390/min15020149
Long F, Chen W, Zhang Z, Chi R. Effects of Ore Particle Size Distribution on Rare Earth Leaching Process of Weathered Crust Elution-Deposited Rare Earth Ores. Minerals. 2025; 15(2):149. https://doi.org/10.3390/min15020149
Chicago/Turabian StyleLong, Fei, Wendou Chen, Zhenyue Zhang, and Ru’an Chi. 2025. "Effects of Ore Particle Size Distribution on Rare Earth Leaching Process of Weathered Crust Elution-Deposited Rare Earth Ores" Minerals 15, no. 2: 149. https://doi.org/10.3390/min15020149
APA StyleLong, F., Chen, W., Zhang, Z., & Chi, R. (2025). Effects of Ore Particle Size Distribution on Rare Earth Leaching Process of Weathered Crust Elution-Deposited Rare Earth Ores. Minerals, 15(2), 149. https://doi.org/10.3390/min15020149

