Geochemistry and Diagenetic Mineralization of Early Cretaceous Highly Differentiated Granites, Offshore Eastern Shandong, China
Abstract
1. Introduction
2. Geological Background and Sample Collection
3. Petrography
4. Analytical Methods
4.1. Petrography and Whole-Rock Major-Trace Elements
4.2. Zircon U–Pb and Lu–Hf Isotopes Analysis
4.3. Whole-Rock Main-Trace Elements
4.4. Plagioclase EMPA and LA-ICP-MS
5. Results
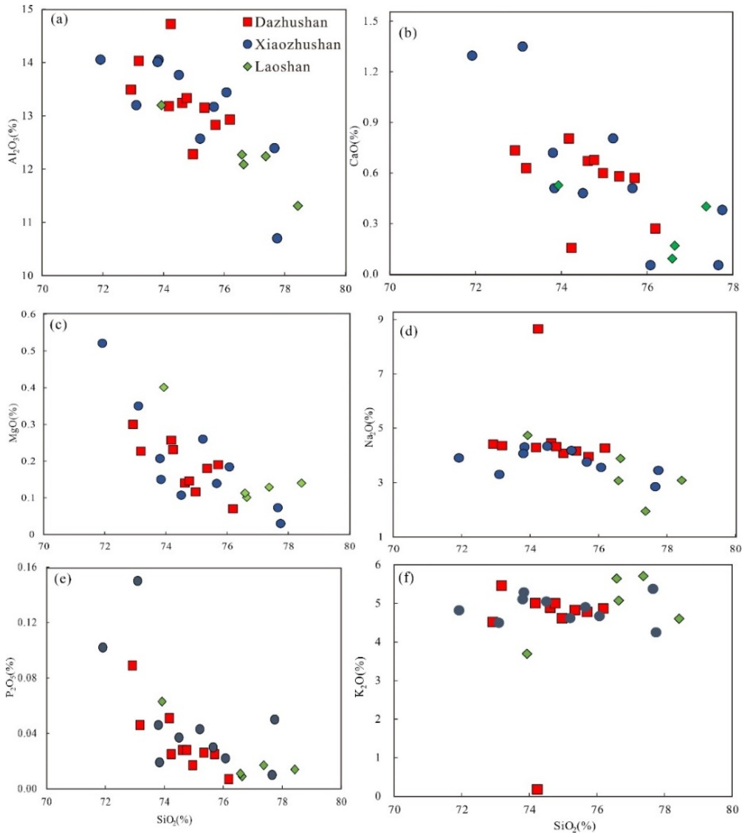
5.1. Whole-Rock Major and Trace Elements
5.2. Zircon Geochronology and Lu–Hf Isotopes
5.3. Sr–Nd–Pb–Li Isotopes
5.4. Plagioclase in Situ Analysis
6. Discussion
6.1. Sample Rock Types and Magma Source Area
6.2. Time of Magma Intrusion and the Tectonic Setting

6.3. Evolution Process of Magma Differentiation
6.4. Mineralization Potential Analysis
7. Conclusions
Supplementary Materials
Author Contributions
Funding
Data Availability Statement
Acknowledgments
Conflicts of Interest
References
- Wu, F.Y.; Ge, W.C.; Sun, D.Y.; Guo, C.L. Discussions on the lithospheric thinning in Eastern China. Earth Sci. Front. 2003, 10, 51–60. [Google Scholar]
- Zhou, Y.Q.; Zhang, S.B. Disappearing mystery of ancient Pacific land and its relationship with Mesozoic-Cenozoic intraplate magmatism in North China Craton. Earth Sci. 2004, 29, 575–582. [Google Scholar]
- Gao, S.; Zhang, J.F.; Xu, W.L.; Liu, Y.S. Delamination and destruction of North China Craton. Chin. Sci. Bull. 2009, 54, 1962–1973. [Google Scholar] [CrossRef]
- Zhu, R.X.; Xu, Y.G. Western Pacific Plate Subduction and North China Craton Destruction. Chin. Sci. Bull. 2019, 49, 1346–1356. [Google Scholar]
- Zhang, Z.M.; Ding, H.X.; Dong, X.; Tian, Z.L. Partial melting of subduction zones. Acta Petrol. Sin. 2020, 36, 2589–2615. [Google Scholar]
- Yang, J.H.; Xu, L.; Sun, J.F.; Zeng, Q.; Zhao, Y.N.; Wang, H.; Zhu, Y.S. Geodynamics of decratonization and related magmatism and mineralization in the North China Craton. Sci. China Earth Sci. 2021, 51, 1401–1419. [Google Scholar] [CrossRef]
- Zhu, G.; Lu, Y.; Su, N.; Wu, X.; Yin, H.; Zhang, S.; Xie, C.; Niu, M. Crustal deformation and dynamics of Early Cretaceous in the North China Craton. Sci. China Earth Sci. 2021, 51, 1420–1443. [Google Scholar] [CrossRef]
- Zhang, Z.C.; Hou, T.; Cheng, Z.G. Mineralization related to Large Igneous Provinces. Acta Geol. Sin. 2022, 96, 131–154. [Google Scholar]
- Liu, J.L.; Ni, J.L.; Chen, X.Y.; Craddock, J.P.; Zheng, Y.Y.; Sun, Y.Q.; Ji, L. Parallel extension tectonics: Mechanism of Early Cretaceous thinning and destruction of the lithosphere of the North China Craton. Acta Petrol. Sin. 2020, 36, 2331–2343. [Google Scholar]
- Zhao, L.; Guo, F.; Zhang, X.-B.; Wang, G.Q. Cretaceous crustal melting records of tectonic transition from subduction to slab rollback of the Paleo-Pacific Plate in SE China. Lithos 2021, 384, 105985. [Google Scholar] [CrossRef]
- Sun, M.; Chen, H.; Milan, L.A.; Wilde, S.A.; Jourdan, F.; Xu, Y.Y. Continental arc and back—arc migration in Eastern NE China: New constraints on Cretaceous Paleo—Pacific subduction and rollback. Tectonics 2018, 37, 3893–3915. [Google Scholar] [CrossRef]
- Wang, S.; Wang, X.L.; Du, D.H. Studies on the Volcanic-Plutonic Connection. Geol. J. China Univ. 2020, 26, 497–505. [Google Scholar]
- Sun, W.D.; Xie, G.Z.; Zhang, L.P.; Liu, H.; Li, C.Y.; Sun, S.J. The onset of plate subduction and the evolution of continental crust. Acta Geol. Sin. 2021, 95, 32–41. [Google Scholar]
- Wang, T.; Liu, S. Zircon saturation temperatures of granites in the Jiaonan area and their geological significations. Bull. Mineral. Petrol. Geochem. 2013, 32, 619–624. [Google Scholar]
- Zhao, G.T.; Wang, D.Z.; Cao, Q.C. The geochemistry and genesis of the Laoshan granitoids, Shandong Province. Geol. J. China Univ. 1997, 3, 1–15. [Google Scholar]
- Zhao, G.T.; Wang, D.Z.; Cao, Q.C.; Yu, L.S. Thermal evolution of I-A composite granite and its significance (Laoshan granite for example). Sci. China 1998, 28, 296–302. [Google Scholar]
- Li, H.K.; Zhang, Y.B.; Cheng, L.; Wang, M.; Liang, T.T.; Chen, G.D. Chronological Characteristics and Geological Significance of Vein Rocks in Linglong Granite in Shandong Province. Shandong Land Resour. 2020, 36, 1–11. [Google Scholar]
- Tao, Y.B.; Wang, L.M.; Huang, Y.B.; Chen, L.; Ren, T.L.; Liu, H.D.; Hou, J.H. Early Cretaceous Laoshan granite in Jiaodong Area. Shandong Land Resour. 2021, 37, 13–22. [Google Scholar]
- Ren, T.L.; Wang, L.M.; Zhu, X.Q.; Yu, X.W.; Yang, Z.Y.; Liu, H.D.; Guo, R.P.; Tao, Y.B. Early Cretaceous Weideshan Period Granite in Jiaodong Area. Shandong Land Resour. 2021, 37, 1–12. [Google Scholar]
- Yu, X.W.; Wang, L.M.; Liu, H.D.; Ren, T.L.; Zhang, W.; Gou, R.P.; Hou, J.H.; Tao, Y.B. Study on Early Cretaceous Guojialing granite in Jiaodong Area. Shandong Land Resour. 2021, 37, 12–25. [Google Scholar]
- Zhou, R.G. Family classification of granites units and its major characteristics in Xiaozhushan of Qingdao City. Geol. Shandong 2001, 17, 32–38. [Google Scholar]
- Peng, T.M. Studies on the Petrology and Geochemistry of Late Mesozoic Xiaozhushan Intrusions in Qingdao, Shandong Province; China University of Petroleum (East China): Dongying, China, 2017. [Google Scholar]
- Feng, Q.; Xu, Z.S.; Zhang, Y.; Tian, F.Z.; Zhu, J.; Sha, W. Zircon U-Pb geochronology of the Early Cretaceous Xiaozhushan granite in Qingdao Jiaonan uplift and tectonic evolution of Mesozoic granite in Jiaodong Peninsula. J. Shandong Univ. Sci. Technol. (Nat. Sci.) 2019, 38, 1–13. [Google Scholar]
- Liu, Z.C.; Liu, X.C.; Yu, L.J.; Wang, J.G. Highly fractionated origin and magmtic-hydrothermal evolution of the Kampa leucogranites in the Tethyan Himalaya. J. Nanjing Univ. (Nat. Sci.) 2020, 56, 800–814. [Google Scholar]
- Liu, H.Y.; Tang, J.X.; Zeng, Q.G.; Hua, K.; Zhao, H.F.; Wang, Y.; Yang, Z. Petrogenesis and geological significance of Early Cretaceous granites in Tajigang mining area, Central Tibet. Earth Sci. 2022, 47, 1217–1233. [Google Scholar]
- Li, J.K.; Li, P.; Yan, Q.G.; Liu, Q.; Xiong, X. History of granitic pegmatite research in China. Acta Geol. Sin. 2021, 95, 2996–3016. [Google Scholar]
- Wang, Z. Mineralogical Tracing of Magmatic-Hydrothermal Evolution and Mineralization of Jiajika Pegmatite Type Lithium Deposit, Western Sichuan, China; Chinese Academy of Geological Sciences: Beijing, China, 2021. [Google Scholar]
- Li, A.B.; Huang, Q.; Feng Chao Yang, X.H.; Yan, G.G.; Zhao, Z.J.; Dong, X.J.; Zhu, M.M.; Zhang, J.Y. Genesis of Mufushan Pegmatite Deposits constrained by U-Pb ages and trace elements of zircon from complex granitic batholith. Earth Sci. 2021, 46, 4517–4532. [Google Scholar]
- Tian, Y.; Shan, Y.H. Brittle deformational mechanisms of Late Mesozoic Dazhushan grantic body (Jiaonan, Shandong). Geotecton. Metallog. 2008, 32, 427–435. [Google Scholar]
- Zhang, Z.K.; Zhou, Y.Q.; Liang, W.D. Late Mesozoic magmatic evolution history in eastern Shandong. Geol. Rev. 2015, 61 (Suppl. S1), 778–779. [Google Scholar]
- Liu, R.Y.; Zhou, Y.Q.; Zhou, T.F.; Chen, T.T.; Liu, H.Q.; Bai, B.Y.; Li, S.Y. Geochemical characteristics and mineralization analysis of Dazhushan highly differentiated granite. Geol. Rev. 2023, 69, 179–198. [Google Scholar]
- GB/T 14506.28-2010; Methods for Chemical Analysis of Silicate Rocks—Part 28: Determination of 16 Major and Minor Elements Content. National Standardization Technical Committee of Land and Resources: Beijing, China, 2011.
- GB/T 14506.30-2010; Methods for Chemical Analysis of Silicate Rocks—Part 30: Determination of 44 Elements. National Standardization Technical Committee of Land and Resources: Beijing, China, 2011.
- Thompson, J.; Meffre, S.; Danyushevsky, L. Impact of air, laser pulse width and fluence on U-Pb dating of zircons by LA-ICPMS. J. Anal. At. Spectrom. 2018, 33, 221–230. [Google Scholar] [CrossRef]
- Paton, C.; Woodhead, J.D.; Hellstrom, J.C.; Hergt, J.M.; Greig, A.; Maas, R. Improved laser ablation U-Pb zircon geochronology through robust downhole fractionation correction. Geochem. Geophys. Geosystems 2010, 11, Q0AA06. [Google Scholar] [CrossRef]
- Blichert-Toft, J; Albarède, F. The Lu-Hf isotope geochemistry of chondrites and the evo-lution of the mantle-crust system. J. Earth and Planetary Science Letters 1997, 148, 243–258.
- Griffin, W.L.; Wang, X.; Jackson, S.E.; Pearson, N.J.; O’Reilly, S.Y.; Xu, X.; Zhou, X. Zircon chemistry and magma mixing, SE China: In-situ analysis of Hf isotopes, Tonglu and Pingtan igneous complexes. Lithos 2002, 61, 237–269. [Google Scholar] [CrossRef]
- Nowell, G.M.; Kempton, P.D.; Noble, S.R.; Fitton, J.G.; Saunders, A.D.; Mahoney, J.J.; Taylor, R.N. High precision Hf isotope measurements of MORB and OIB by thermal ionisation mass spectrometry: Insights into the depleted mantle. Chem. Geol. 1998, 149, 211–233. [Google Scholar] [CrossRef]
- Pearce, N.J.G.; Perkins, W.T.; Westgate, J.A.; Michael, P.G.; Jackson, S.E.; Neal, C.R.; Chenery, S.P. A Compilation of new and published major and trace element data for NIST SRM 610 and NIST SRM 612 glass reference materials. Geostand. Newsl. 1997, 21, 115–144. [Google Scholar] [CrossRef]
- Liu, Y.S.; Hu, Z.C.; Gao, S.; Güntherc, D.; Xu, J.; Gao, C.G.; Chen, H.H. In-situ analysis of major and trace elements of Anhydrous Minerals by LA-ICP-MS without applying an internal standard. Chem. Geol. 2008, 257, 34–43. [Google Scholar] [CrossRef]
- Irvine, T.N.; Baragar, W. A guide to the chemical classification of the common volcanic rocks. Can. J. Earth Sci. 1971, 8, 523–548. [Google Scholar] [CrossRef]
- Rickwood, P.C. Boundary lines within petrologic diagrams which use oxides of major and minor elements. lithos 1989, 22, 247–263. [Google Scholar] [CrossRef]
- Sun, S.S.; McDonough, W.F. Chemical and isotopic systematics of oceanic basalts: Implications for mantle composition and processes. Geol. Soc. Lond. Spec. Publ. 1989, 42, 313–345. [Google Scholar] [CrossRef]
- Vavra, G. A guide to quantitative morphology of accessory zircon. Chem. Geol. 1993, 110, 15–28. [Google Scholar] [CrossRef]
- Miao, Y.; Wu, L.; Xiao, C.Y.; Li, S.M.; Li, Z.W.; Song, W.T.; Tian, Y.F. Zircon LA-ICP-MS U-Pb ages, trace element characteristics of the Lower Triassic Jialingjiang formation tuffites in the Puyi area, northwestern Guizhou, and their geological significance. Geol. Rev. 2021, 67, 289–310. [Google Scholar]
- Gao, P.; Wang, Y.; Yakymchuk, C.; Gu, H.O.; Sun, G.C.; Yin, C.Q.; Zhang, J.; Qian, J.H. Homogenization of zircon Hf isotopes during late-stage granite crystallization. Chem. Geol. 2022, 609, 121072. [Google Scholar] [CrossRef]
- Zhang, S.H.; Zhao, Y.; Liu, J.M.; Hu, Z.C. Different sources involved in generation of continental arc volcanism: The Carboniferous-Permian volcanic rocks in the northern margin of the North China Block. Lithos 2016, 240–243, 382–401. [Google Scholar] [CrossRef]
- Zindler, A.; Hart, S.R. Chemical geodynamics. Annu. Rev. Earth Planet. Sci. 1986, 14, 493–571. [Google Scholar] [CrossRef]
- Zartman, R.E.; Doe, B.R. Plumbotectonics: The model. Tectonophysic 1981, 75, 135–162. [Google Scholar] [CrossRef]
- Cerny, P.; Meintzer, R.E.; Anderson, A.J. Extreme fractionation in rare-element granitic pegmatites; selected examples of data and mechanisms. Can. Mineral. 1985, 23, 381–421. [Google Scholar]
- Breiter, K.; Förster, H.J.; Škoda, R. Extreme P-, Bi-, Nb-, Sc-, U- and F-rich zircon from fractionated perphosphorous granites: The peraluminous Podlesí granite system, Czech Republic. Lithos 2006, 88, 15–34. [Google Scholar] [CrossRef]
- Xue, Y.Y.; Zhang, H.; Chen, F.K. Zircon U-Pb Age, Geochemistry, and geological significance of granites from Lianghekou Pluton, Central Qinling Orogenic Belt. Geol. J. China Univ. 2019, 25, 1–13. [Google Scholar]
- Chappell, B.W.; White, A.J.R. I-and S-type granites in the Lachlan Fold Belt. Earth Environ. Sci. Trans. R. Soc. Edinb. 1992, 83, 1–26. [Google Scholar]
- Chappell, B.W.; White, A.J.R. Two contrasting granite types. Pacif. Geol. 1974, 8, 173–174. [Google Scholar]
- White, A.J.R. Sources of granite magmas. Geol. Soc. Amer. Abstr. Prog. 1979, 11, 539. [Google Scholar]
- Xie, H.; Liang, X.Q.; Wang, C.; Liang, X.R.; Dong, C.G. U-Pb geochronological and geochemical significance of granites from the Baishizhang Molybdenum area, Guangdong Province. Geochimica 2020, 49, 479–493. [Google Scholar]
- Wang, N.; Liu, Z.B.; Song, Y.; Zheng, W.H.; Li, F.Q.; Teng, L. Geochronology and petrogenesis of highly fractionated Early Cretaceous granite in Baingoin area 2020, Tibet. Acta Petrol. Sin. 2019, 36, 409–425. [Google Scholar]
- Feng, K.; Li, R.B.; Pei, X.Z.; Li, Z.C.; Liu, C.J.; Pei, L.; Cheng, Y.X.; Cheng, G.C.; Yang, Z.B. Zircon U-Pb chronology, geochemistry and geological significance of Late Triassic intermediate-acid volcanic rocks in Boluositai Area, East Kunlun Orogenic Belt. Earth Sci. 2022, 47, 1194–1216. [Google Scholar]
- Maniar, P.D.; Piccoli, P.M. Tectonic discrimination of granitoids. Geol. Soc. Am. Bull. 1989, 101, 635–643. [Google Scholar] [CrossRef]
- El Bouseily, A.M.; El Sokkary, A.A. The relation between Rb, Ba and Sr in granitic rocks. Chem. Geol. 1975, 16, 207–219. [Google Scholar] [CrossRef]
- Zhou, Y.Q.; Zhou, T.F.; Ma, C.Q.; Zhang, Z.K.; Dong, S.H.; Gu, Y.J.; Yin, X.C.; Li, M.J.; Liang, W.D. Transcrustal magmatic system of Early Cretaceous (Qingshan Stage) in Eastern Shandong and the basin formation related to “Thermal Upwelling-Detachment”. Earth Sci. 2018, 43, 3373–3390. [Google Scholar]
- Wang, J. Cretaceous Tectonic Evolution of Lingshandao-Yakou Fault Zone and Its Adjacent Areas in Riqingwei Basin; China University of Petroleum (East China): Dongying, China, 2022. [Google Scholar]
- Cashman, K.V.; Sparks, R.S.J.; Blundy, J.D. Vertically extensive and unstable magmatic systems: A unified view of igneous processes. Science 2017, 355, eaag3055. [Google Scholar] [CrossRef]
- Yu, X.W.; Wang, L.M.; Liu, H.D.; Zhang, W.; Gou, R.P.; Ren, T.L.; Hou, J.H.; Yang, Z.Y.; Wang, L.G.; Liang, T.T. The relationship between Mesozoic granites, gold deposits and division of metallogenic period in eastern Shandong. Acta Geol. Sin. 2023, 97, 1848–1873. [Google Scholar]
- Wang, Y. The origin of brine-assisted melting of rare element granites in South China. In Proceedings of the Summary of the 8th National Symposium on Metallogenic Theory and Prospecting Methods, Nanchang, China, 8–11 December 2017; pp. 243–244. [Google Scholar]
- Ferry, J.M.; Watson, E.B. New thermodynamic models and revised calibrations for the Ti-in-zircon and Zr-in-rutile thermometers. Contrib. Mineral. Petrol. 2007, 154, 429–437. [Google Scholar] [CrossRef]
- Gao, X.Y.; Zheng, Y.F. On the Zr-in-rutile and Ti-in-zircon geothermometers. Acta Petrol. Sin. 2011, 27, 417–432. [Google Scholar]
- Hulsbosch, N. Nb-Ta-Sn-W distribution in granite—related ore systems: Fractionation mechanisms and examples from the Karagwe—Ankole Belt of Central Africa. In Ore Deposits: Origin, Exploration, and Exploitation; American Geophysical Union: Washington, DC, USA, 2019; pp. 75–107. [Google Scholar]
- Yan, Q.G.; Li, J.L.; Li, C.; Chen, Z.Z.; Xiong, X. The geochemical characteristics and their geological significance of apatite from the Zhawulong-Caolong granitic pegmatite-hosted rare metal deposit in Sichuan and Qinghai provinces, West China. Acta Petrol. Sin. 2022, 38, 341–355. [Google Scholar]
- Cao, M.J.; Evans, N.J.; Hollings, P.; Cooke, D.R.; McInnes, B.I.A.; Qin, K.Z. Apatite texture, composition, and O-Sr-Nd isotope signatures record magmatic and hydrothermal fluid characteristics at the Black Mountain porphyry deposit, Philippines. Econ. Geol. 2021, 116, 1189–1207. [Google Scholar]
- Wolf, M.B.; London, D. Apatite dissolution into peraluminous haplograntic melts: An experimental study of solubilities and mechanisms. Geochim. Cosmochim. Acta. 1994, 58, 4127–4145. [Google Scholar] [CrossRef]
- Zeng, P.S.; Li, R.Z.; Liu, S.W.; Wen, L.G.; Zhao, J.L.; Wang, S.-A. Yanshanian large igneous province in eastern China: Magmatic-tectonic-resource-environmental effects. Acta Geosci. Sin. 2021, 42, 721–748. [Google Scholar]
- Shuai, X. The Genesis of the “Tetrad Effect” of the Zhuogapu Highly Fractionated Granite in the Northern Lhasa Terrane; China University of Geosciences (Beijing): Beijing, China, 2019. [Google Scholar]
- Irber, W. The lanthanide tetrad effect and its correlation with K/Rb, Eu/Eu∗, Sr/Eu, Y/Ho, and Zr/Hf of evolving peraluminous granite suites. Geochim. Cosmochim. Acta 1999, 63, 489–508. [Google Scholar] [CrossRef]
- Lu, Y.J.; Loucks, R.R.; Fiorentini, M.; McCuaig, T.C.; Evans, N.J.; Yang, Z.M.; Hou, Z.Q.; Kirkland, C.L.; Parra Avila, L.A.; Kobussen, A. Zircon Compositions as a Pathfinder for Porphyry Cu±Mo±Au Deposits; Society of Economic Geologists: Littleton, CO, USA, 2016; Volume 19, pp. 329–347. [Google Scholar]
- Wu, D.D.; Li, S. The whole-rock Sr-Nd-Li isotopic characteristics and genesis of the Triassic Jiefangyingzi pluton in the southeastern margin of the Central Asian Orogenic Belt. Earth Sci. 2021, 47, 3301–3315. [Google Scholar]
- Li JHuang, X.L.; Wei, G.J.; Liu, Y.; Ma, J.L.; Han, L.; He, P.L. Lithium isotope fractionation during magmatic differentiation and hydrothermal processes in rare-metal granites. Geochim. Cosmochim. Acta 2018, 240, 64–79. [Google Scholar]
- Teng, F.Z.; Rudnick, R.L.; McDonough, W.F.; Wu, F.-Y. Lithium isotopic systematics of A-type granites and their mafic enclaves: Further constraints on the Li isotopic composition of the continental crust. Chem. Geol. 2009, 262, 370–379. [Google Scholar] [CrossRef]
- Bo, H.Z.; Zhang, Z.C. Genesis of Silicic Large Igneous Provinces and effects of resources and environment. Acta Petrol. Sin. 2020, 36, 1973–1985. [Google Scholar]
- Xu, Y.G.; He, B.; Luo, Z.Y.; Liu, H.Q. Study on mantle plume and Large Igneous Provinces in China: An overview and perspectives. Bull. Mineral. Petrol. Geochem. 2013, 32, 25–39. [Google Scholar]
- Liu, R.Y.; Zhou, Y.Q.; Dong, S.H.; Zhou, T.F.; Mu, H.Y.; Bai, B.Y.; Li, S.Y.; Chen, T.T.; Zhang, Z.K. Early Cretaceous volcanic edifice activity in the Sulu Orogenic Belt: Evidences from volcanic-sedimentary rhythum characteristics in Lingshan Island, eastern Shandong Province, China. Front. Earth Sci. 2022, 10, 908193. [Google Scholar] [CrossRef]













Disclaimer/Publisher’s Note: The statements, opinions and data contained in all publications are solely those of the individual author(s) and contributor(s) and not of MDPI and/or the editor(s). MDPI and/or the editor(s) disclaim responsibility for any injury to people or property resulting from any ideas, methods, instructions or products referred to in the content. |
© 2025 by the authors. Licensee MDPI, Basel, Switzerland. This article is an open access article distributed under the terms and conditions of the Creative Commons Attribution (CC BY) license (https://creativecommons.org/licenses/by/4.0/).
Share and Cite
Liu, R.; Zhou, Y.; Chen, T.; Qi, H. Geochemistry and Diagenetic Mineralization of Early Cretaceous Highly Differentiated Granites, Offshore Eastern Shandong, China. Minerals 2025, 15, 1141. https://doi.org/10.3390/min15111141
Liu R, Zhou Y, Chen T, Qi H. Geochemistry and Diagenetic Mineralization of Early Cretaceous Highly Differentiated Granites, Offshore Eastern Shandong, China. Minerals. 2025; 15(11):1141. https://doi.org/10.3390/min15111141
Chicago/Turabian StyleLiu, Ruiyang, Yaoqi Zhou, Tongtong Chen, and Huasheng Qi. 2025. "Geochemistry and Diagenetic Mineralization of Early Cretaceous Highly Differentiated Granites, Offshore Eastern Shandong, China" Minerals 15, no. 11: 1141. https://doi.org/10.3390/min15111141
APA StyleLiu, R., Zhou, Y., Chen, T., & Qi, H. (2025). Geochemistry and Diagenetic Mineralization of Early Cretaceous Highly Differentiated Granites, Offshore Eastern Shandong, China. Minerals, 15(11), 1141. https://doi.org/10.3390/min15111141
