Mineral Prospectivity Maps for Critical Metals in the Clean Energy Transition: Examples for Hydrothermal Copper and Nickel Systems in the Carajás Province
Abstract
1. Introduction
2. Geologic Setting of the Carajás Province

3. The IOCG and Hydrothermal Nickel Deposits in the Carajás Domain
4. Conceptual Framework and Dataset
4.1. Conceptual Model and the Mineral System Approach
4.2. Dataset
4.2.1. Gamma-Ray Spectrometry Techniques
4.2.2. Magnetic and Gravimetric Technique
4.2.3. Morpholineament
4.2.4. Spatial Orientation of Lineament and Structure
5. Pre-Processing Analysis
5.1. Spatial Data Input
5.2. Data Balancing Based on Augmentation with Synthetic Oversampling Technique
5.3. Data Partition
5.4. Exploration Data Analysis
6. Processing with Machine Learning Application
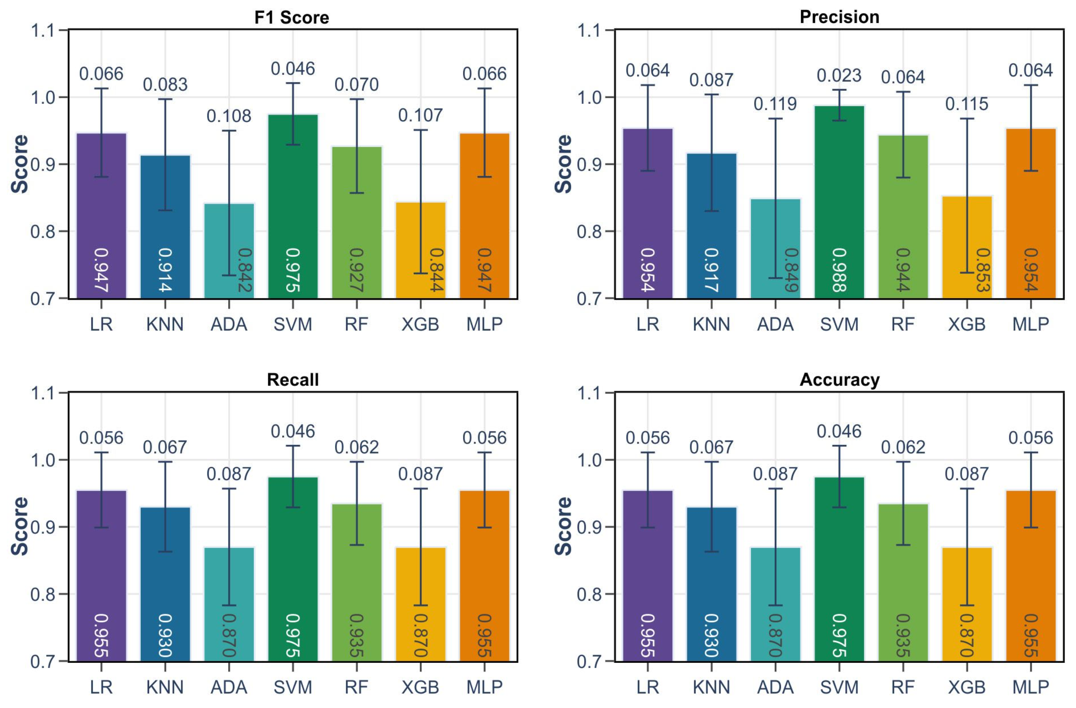
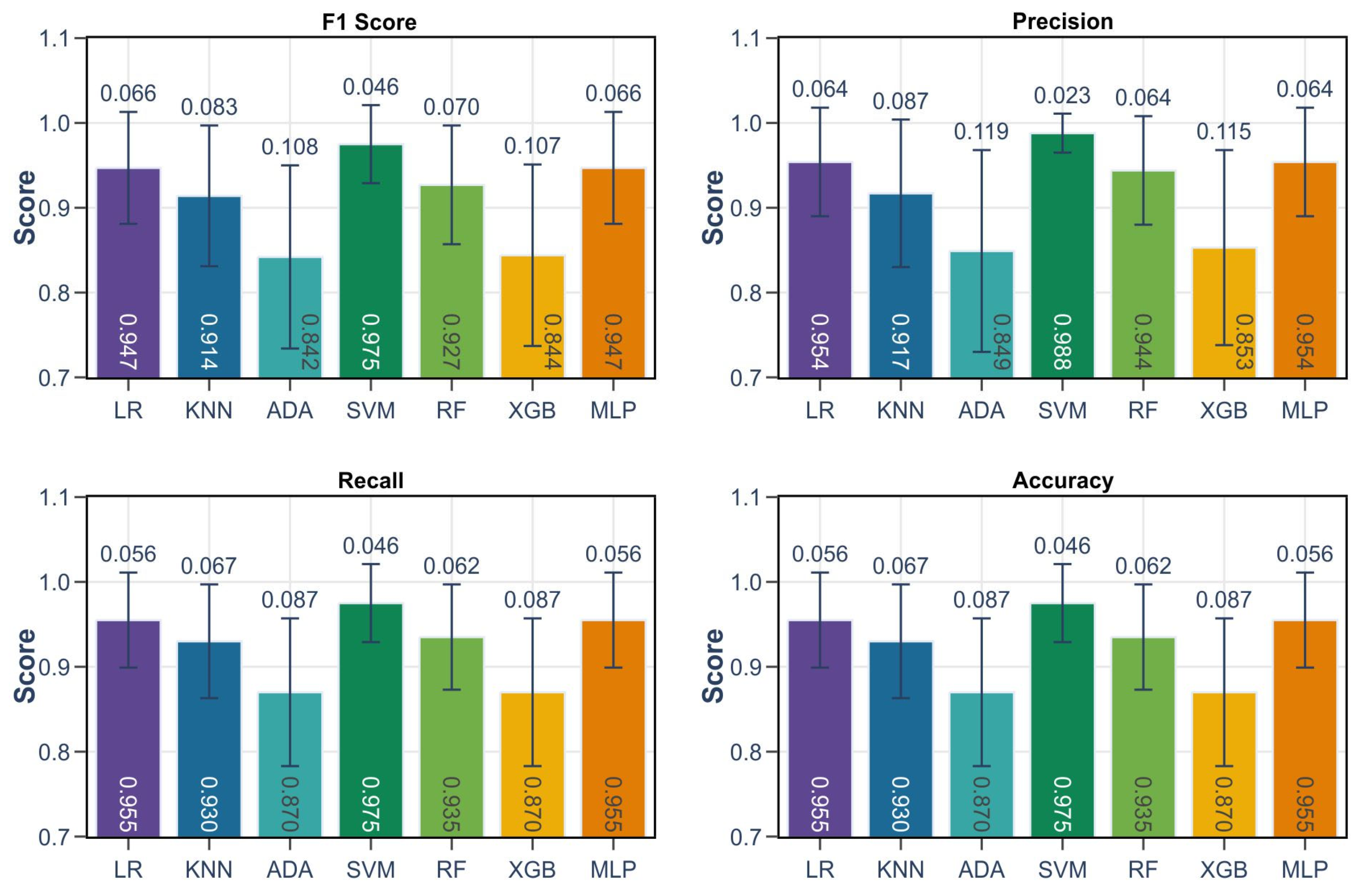
7. Prediction Evaluation
8. Results
8.1. Variable Ranking
8.2. Mineral Prospectivity Map
9. Discussion
10. Conclusions
Supplementary Materials
Author Contributions
Funding
Data Availability Statement
Acknowledgments
Conflicts of Interest
References
- Jowitt, S.M.; McNulty, B.A. Battery and Energy Metals: Future Drivers of the Minerals Industry? SEG Discov. 2021, 11–18. [Google Scholar] [CrossRef]
- Müller, M.; Schulze, M.; Schöneich, S. The energy transition and green mineral value chains: Challenges and opportunities for Africa and Latin America. S. Afr. J. Int. Aff. 2023, 30, 169–175. [Google Scholar] [CrossRef]
- Simon, A. Critical Mineral Resources for the Green Energy Transition: Are They Available? In Proceedings of the XI Simpósio Brasileiro de Exploração Mineral, Ouro Preto, Brasil, 19–22 May 2024; ADIMB: Ouro Preto, Brasil, 2024. [Google Scholar]
- Zuo, R. Geodata Science-Based Mineral Prospectivity Mapping: A Review. Nat. Resour. Res. 2020, 29, 3415–3424. [Google Scholar] [CrossRef]
- Costa, I.; Tavares, F.; Oliveira, J. Predictive lithological mapping through machine learning methods: A case study in the Cinzento Lineament, Carajás Province, Brazil. J. Geol. Surv. Brazil 2019, 2, 26–36. [Google Scholar] [CrossRef]
- Leite, E.P.; de Souza Filho, C.R. Artificial neural networks applied to mineral potential mapping for copper-gold mineralizations in the Carajás Mineral Province, Brazil. Geophys. Prospect. 2009, 57, 1049–1065. [Google Scholar] [CrossRef]
- Karpatne, A.; Ebert-Uphoff, I.; Ravela, S.; Babaie, H.A.; Kumar, V. Machine Learning for the Geosciences: Challenges and Opportunities. IEEE Trans. Knowl. Data Eng. 2019, 31, 1544–1554. [Google Scholar] [CrossRef]
- Farahnakian, F.; Sheikh, J.; Zelioli, L.; Nidhi, D.; Seppä, I.; Ilo, R.; Nevalainen, P.; Heikkonen, J. Addressing imbalanced data for machine learning based mineral prospectivity mapping. Ore Geol. Rev. 2024, 174, 106270. [Google Scholar] [CrossRef]
- Carranza, E.J.M.; Laborte, A.G. Random forest predictive modeling of mineral prospectivity with small number of prospects and data with missing values in Abra (Philippines). Comput. Geosci. 2015, 74, 60–70. [Google Scholar] [CrossRef]
- Chudasama, B.; Torppa, J.; Nykänen, V.; Kinnunen, J.; Lerssi, J.; Salmirinne, H. Target-scale prospectivity modeling for gold mineralization within the Rajapalot Au-Co project area in northern Fennoscandian Shield, Finland. Part 1: Application of knowledge-driven- and machine learning-based-hybrid- expert systems for exploration targe. Ore Geol. Rev. 2022, 147, 104937. [Google Scholar] [CrossRef]
- Zhang, Z.; Wang, G.; Carranza, E.J.M.; Du, J.; Li, Y.; Liu, X.; Su, Y. An Uncertainty-Quantification Machine Learning Framework for Data-Driven Three-Dimensional Mineral Prospectivity Mapping. Nat. Resour. Res. 2024, 33, 1393–1411. [Google Scholar] [CrossRef]
- Yousefi, M.; Lindsay, M.D.; Kreuzer, O. Mitigating uncertainties in mineral exploration targeting: Majority voting and confidence index approaches in the context of an exploration information system (EIS). Ore Geol. Rev. 2024, 165, 105930. [Google Scholar] [CrossRef]
- Qaderi, S.; Maghsoudi, A.; Yousefi, M.; Pour, A.B. Translation of mineral system components into time step-based ore-forming events and evidence maps for mineral exploration: Intelligent mineral prospectivity mapping through adaptation of recurrent neural networks and random forest algorithm. Ore Geol. Rev. 2025, 179, 106537. [Google Scholar] [CrossRef]
- Monteiro, L.V.S.; Xavier, R.P.; Roberto Souza Filho, C.; Moreto, C.P.N. Metalogênese da Província Carajás. In Metalogênese das Províncias Tectônicas Brasileiras; da Silva, M.G., da Rocha Neto, M.B., Jost, H., Kuyumjian, R.M., Eds.; CPRM: Belo Horizonte, MG, Brasil, 2014; pp. 43–92. ISBN 9788574992211. [Google Scholar]
- Xavier, R.P.; Moreto, C.; de Melo, G.H.C.; Toledo, P.; Hunger, R.; Delinardo, M.; Faustinoni, J.; Lopes, A.; Monteiro, L.V.S.; Previato, M.; et al. Geology and metallogeny of Neoarchean and Paleoproterozoic copper systems of the Carajás Domain, Amazonian Craton, Brazil. In Proceedings of the 14th SGA Biennial Meeting, Mineral Resources to Discover, Volume 3, Society for Geology Applied to Mineral Deposits, Quebec, QC, Canada, 20–23 August 2017; pp. 899–902. [Google Scholar]
- Moreto, C.P.N.; Monteiro, L.V.S.; Xavier, R.P.; Creaser, R.A.; DuFrane, S.A.; Melo, G.H.C.; Delinardo da Silva, M.A.; Tassinari, C.C.G.; Sato, K. Timing of multiple hydrothermal events in the iron oxide–copper–gold deposits of the Southern Copper Belt, Carajás Province, Brazil. Miner. Depos. 2015, 50, 517–546. [Google Scholar] [CrossRef]
- de Melo, G.H.C.; Monteiro, L.V.S.; Xavier, R.P.; Moreto, C.P.N.; Arquaz, R.M.; Silva, M.A.D. Evolution of the Igarapé Bahia Cu-Au deposit, Carajás Province (Brazil): Early syngenetic chalcopyrite overprinted by IOCG mineralization. Ore Geol. Rev. 2019, 111, 102993. [Google Scholar] [CrossRef]
- Hunger, R.B.; de Melo, G.H.C.; Xavier, R.P.; Moreto, C.P.N.; Talavera, C.; Su, Z.K.; Zhao, X.F. The Santa Lúcia Cu-Au deposit, Carajás Mineral Province, Brazil: A Neoarchean (2.68 Ga) member of the granite-related copper-gold systems of Carajás. Miner. Depos. 2021, 56, 1521–1542. [Google Scholar] [CrossRef]
- de Toledo, P.I.F.; Moreto, C.P.N.; Monteiro, L.V.S.; de Melo, G.H.C.; Matos, F.M.V.; Xavier, R.P.; Carvalho, J.A.; Filho, C.A.M.; Navarro, M.S.; de Carvalho Lana, C. Breaking up the temporal link between granitic magmatism and iron oxide-copper–gold (IOCG) deposits in the Carajás Mineral Province, NW Brazil. Miner. Depos. 2024, 59, 601–625. [Google Scholar] [CrossRef]
- Carranza, E.J.M.; de Souza Filho, C.R.; Haddad-Martim, P.M.; Nagayoshi, K.; Shimizu, I. Macro-scale ore-controlling faults revealed by micro-geochemical anomalies. Sci. Rep. 2019, 9, 4410. [Google Scholar] [CrossRef] [PubMed]
- Skirrow, R.G.; Murr, J.; Schofield, A.; Huston, D.L.; van der Wielen, S.; Czarnota, K.; Coghlan, R.; Highet, L.M.; Connolly, D.; Doublier, M.; et al. Mapping iron oxide Cu-Au (IOCG) mineral potential in Australia using a knowledge-driven mineral systems-based approach. Ore Geol. Rev. 2019, 113, 103011. [Google Scholar] [CrossRef]
- Cloutier, J.; Ford, A.; Huston, D.; Haynes, M.; Schofield, A.; Doublier, M.; Sanchez, G.; Duan, J.; Goodwin, J.; Beyer, E.; et al. Iron oxide copper–gold potential of Australia using a hybrid data- and knowledge-driven approach and its implications for the formation of IOCG mineral systems. Ore Geol. Rev. 2025, 185, 106802. [Google Scholar] [CrossRef]
- Dutra, L.F.; Louro, V.H.A.; Monteiro, L.V.S. The southern IOCG and hydrothermal nickel mineralization trend of the Carajás Mineral Province: Airborne geophysical and remote sensing evidences for structural controls and hydrothermal signature. J. Appl. Geophys. 2023, 213, 105016. [Google Scholar] [CrossRef]
- Prado, E.M.G.; de Souza Filho, C.R.; Carranza, E.J.M.; Motta, J.G. Modeling of Cu-Au prospectivity in the Carajás mineral province (Brazil) through machine learning: Dealing with imbalanced training data. Ore Geol. Rev. 2020, 124, 103611. [Google Scholar] [CrossRef]
- Occhipinti, S.; Metelka, V.; Lindsay, M.; Aitken, A.; Pirajno, F.; Tyler, I. The evolution from plate margin to intraplate mineral systems in the Capricorn Orogen, links to prospectivity. Ore Geol. Rev. 2020, 127, 103811. [Google Scholar] [CrossRef]
- Trunfull, E.F.; Hagemann, S.G.; Xavier, R.P.; Moreto, C.P.N. Critical assessment of geochronological data from the Carajás Mineral Province, Brazil: Implications for metallogeny and tectonic evolution. Ore Geol. Rev. 2020, 121, 103556. [Google Scholar] [CrossRef]
- Costa, F.G.; dos Santos, P.A.; de Serafim, I.C.C.O.; Costa, I.S.L.; Roopnarain, S. From Mesoarchean drips to modern–style tectonics in the Carajás Province, Amazonian Craton. J. S. Am. Earth Sci. 2020, 104, 102817. [Google Scholar] [CrossRef]
- Pimentel, M.M.; Machado, N. Geocronologia U-Pb dos terrenos granito-greenstone de Rio Maria, Pará. In Proceedings of the Congresso Brasileiro de Geologia, 38, Belo Horizonte, Brazil, 20–27 July 2025; SBG: Camboriú, SC, Brasil, 1994; pp. 390–391. [Google Scholar]
- de Avelar, V.G.; Lafon, J.M.; Correia, F.C., Jr.; Macambira, E.M.B. O Magmatismo arqueano aa região de Tucumã-Província Mineral de Carajás: Novos resultados geocronológicos. Rev. Bras. Geociências 1999, 29, 453–460. [Google Scholar] [CrossRef]
- Feio, G.R.L.; Dall’Agnol, R.; Dantas, E.L.; Macambira, M.J.B.; Santos, J.O.S.; Althoff, F.J.; Soares, J.E.B. Archean granitoid magmatism in the Canaã dos Carajás area: Implications for crustal evolution of the Carajás province, Amazonian craton, Brazil. Precambrian Res. 2013, 227, 157–185. [Google Scholar] [CrossRef]
- da Silva, F.F.; de Oliveira, D.C.; Dall’Agnol, R.; da Silva, L.R.; da Cunha, I.V. Lithological and structural controls on the emplacement of a Neoarchean plutonic complex in the Carajás province, southeastern Amazonian craton (Brazil). J. S. Am. Earth Sci. 2020, 102, 102696. [Google Scholar] [CrossRef]
- Marangoanha, B.; de Oliveira, D.C.; Galarza, M.A.; Marques, G.T. Crustal anatexis and mantle-derived magmas forming Neoarchean A-type granitoids in Carajás Province, northern Brazil: Petrological evidence and tectonic control. Precambrian Res. 2020, 338, 105585. [Google Scholar] [CrossRef]
- Costa, U.A.P.; de Paula, R.R.; Silva, D.P.B.; de Oliveira, B.J.D.P.; da Silva, C.M.G.; Tavares, F.M.; de Oliveira, J.K.M.; Justo, A.P. Programa Geologia do Brasil-PGB. Mapa de integração Geológico-Geofísica da ARIM Carajás; CPRM-Serviço Geológico do Brasil: Belém, Brazil, 2016. [Google Scholar]
- Delinardo-Silva, M.A.; Monteiro, L.V.S.; Moreto, C.P.N.; Faustinoni, J.; Santos, T.J.S.; Sousa, S.D.; Xavier, R.P. From Source to Sink: U-Pb Geochronology and Lithochemistry Unraveling the Missing Link Between Mesoarchean Anatexis and Magmatism in the Carajás Province, Brazil. Minerals 2025, 15, 265. [Google Scholar] [CrossRef]
- Lacasse, C.M.; Ganade, C.E.; Mathieu, L.; Teixeira, N.A.; Lopes, L.B.L.; Monteiro, C.F. Restoring original composition of hydrothermally altered Archean metavolcanic rocks of the Carajás Mineral Province (Brazil): Geodynamic implications for the transition from lid to mobile tectonics. Lithos 2020, 372–373, 105647. [Google Scholar] [CrossRef]
- Rosa, W.D. Complexos Acamadados da Serra da Onça e Serra do Puma: Geologia e Petrologia de duas Intrusões Máfico-Ultramáficas com Sequência de Cristalização Distinta na Província Arqueana de Carajás, Brasil. Master’s Thesis, Universidade de Brasília, Brasília, Brazil, 2014. [Google Scholar]
- Siepierski, L. Geologia, Petrologia e Potencial para Mineralizações Magmáticas dos Corpos Máfico-Ultramáficos da Região de Canaã dos Carajás, Província Mineral de Carajás. Ph.D. Thesis, Universidade de Brasília, Brasilia, Brazil, 2016. [Google Scholar]
- Mansur, E.T.; Ferreira Filho, C.F. Magmatic structure and geochemistry of the Luanga Mafic–Ultramafic Complex: Further constraints for the PGE-mineralized magmatism in Carajás, Brazil. Lithos 2016, 266–267, 28–43. [Google Scholar] [CrossRef]
- de Melo, G.H.C.; Monteiro, L.V.S.; Xavier, R.P.; Moreto, C.P.N.; Santiago, E.S.B.; Dufrane, S.A.; Aires, B.; Santos, A.F.F. Temporal evolution of the giant Salobo IOCG deposit, Carajás Province (Brazil): Constraints from paragenesis of hydrothermal alteration and U-Pb geochronology. Miner. Depos. 2017, 52, 709–732. [Google Scholar] [CrossRef]
- Wirth, K.R.; Gibbs, A.K.; Olszewski, W.J., Jr. U-Pb ages of zircons from the Grão-Pará Group and Serra dos Carajás granite, Pará, Brasil. Rev. Bras. Geociências 1986, 16, 195–200. [Google Scholar] [CrossRef]
- Machado, N.; Lindenmayer, Z.; Krogh, T.E.; Lindenmayer, D. U-Pb geochronology of Archean magmatism and basement reactivation in the Carajás area, Amazon shield, Brazil. Precambrian Res. 1991, 49, 329–354. [Google Scholar] [CrossRef]
- Trendall, A.F.; Basei, M.A.S.; de Laeter, J.R.; Nelson, D.R. SHRIMP zircon U–Pb constraints on the age of the Carajás formation, Grão Pará Group, Amazon Craton. J. S. Am. Earth Sci. 1998, 11, 265–277. [Google Scholar] [CrossRef]
- Tavares, F.M.; Trouw, R.A.J.; da Silva, C.M.G.; Justo, A.P.; Oliveira, J.K.M. The multistage tectonic evolution of the northeastern Carajás Province, Amazonian Craton, Brazil: Revealing complex structural patterns. J. S. Am. Earth Sci. 2018, 88, 238–252. [Google Scholar] [CrossRef]
- Vasquez, M.L.; Macambira, M.J.B.; Armstrong, R.A. Zircon geochronology of granitoids from the western Bacajá domain, southeastern Amazonian craton, Brazil: Neoarchean to Orosirian evolution. Precambrian Res. 2008, 161, 279–302. [Google Scholar] [CrossRef]
- Pereira, R.M.P. Geologia da Região Sul da Serra Norte e Características do Minério de Ferro do Depósito N8, Província Mineral Carajás. Master’s Thesis, Universidade Federal de Minas Gerais, Belo Horizonte, Brazil, 2009. [Google Scholar]
- Araújo Filho, R.C.; Nogueira, A.C.R.; Araújo, R.N. New stratigraphic proposal of a Paleoproterozoic siliciclastic succession: Implications for the evolution of the Carajás Basin, Amazonian craton, Brazil. J. S. Am. Earth Sci. 2020, 102, 102665. [Google Scholar] [CrossRef]
- Pinheiro, R.V.L.; Holdsworth, R.E. Reactivation of Archaean strike-slip fault systems, Amazon region, Brazil. J. Geol. Soc. Lond. 1997, 154, 99–103. [Google Scholar] [CrossRef]
- Teixeira, M.F.B.; Dall’Agnol, R.; Santos, J.O.S.; Kemp, A.; Evans, N. Petrogenesis of the Paleoproterozoic (Orosirian) A-type granites of Carajás Province, Amazon Craton, Brazil: Combined in situ Hf–O isotopes of zircon. Lithos 2019, 332–333, 1–22. [Google Scholar] [CrossRef]
- Teixeira, M.F.B.; Dall’Agnol, R.; Schneider Santos, J.O.; Carvalho de Oliveira, D.; Lamarão, C.N.; McNaughton, N.J. Crystallization ages of Paleoproterozoic A-type granites of Carajás province, Amazon craton: Constraints from U–Pb geochronology of zircon and titanite. J. S. Am. Earth Sci. 2018, 88, 312–331. [Google Scholar] [CrossRef]
- Teixeira, W.; Reis, N.J.; Bettencourt, J.S.; Klein, E.L.; Oliveira, D.C. Intraplate Proterozoic Magmatism in the Amazonian Craton Reviewed: Geochronology, Crustal Tectonics and Global Barcode Matches. In Dyke Swarms of the World: A Modern Perspective; Srivastava, R.K., Ernst, R.E., Peng, P., Eds.; Springer: Singapore, 2019; pp. 111–154. [Google Scholar]
- Ferreira Filho, C.F.; Ferraz de Oliveira, M.M.; Mansur, E.T.; Rosa, W.D. The Jaguar hydrothermal nickel sulfide deposit: Evidence for a nickel-rich member of IOCG-type deposits in the Carajás Mineral Province, Brazil. J. S. Am. Earth Sci. 2021, 111, 103501. [Google Scholar] [CrossRef]
- Monteiro, L.V.S.; Xavier, R.P.; de Carvalho, E.R.; Hitzman, M.W.; Johnson, C.A.; de Souza Filho, C.R.; Torresi, I. Spatial and temporal zoning of hydrothermal alteration and mineralization in the Sossego iron oxide–copper–gold deposit, Carajás Mineral Province, Brazil: Paragenesis and stable isotope constraints. Miner. Depos. 2008, 43, 129–159. [Google Scholar] [CrossRef]
- Monteiro, L.V.S.; Xavier, R.P.; Hitzman, M.W.; Juliani, C.; de Souza Filho, C.R.; de Carvalho, E.R. Mineral chemistry of ore and hydrothermal alteration at the Sossego iron oxide–copper–gold deposit, Carajás Mineral Province, Brazil. Ore Geol. Rev. 2008, 34, 317–336. [Google Scholar] [CrossRef]
- Moreto, C.P.N.; Monteiro, L.V.S.; Xavier, R.P.; Creaser, R.A.; DuFrane, S.A.; Tassinari, C.C.G.; Sato, K.; Kemp, A.I.S.; Amaral, W.S. Neoarchean and Paleoproterozoic iron oxide-copper-gold events at the Sossego deposit, Carajás Province, Brazil: Re-Os and U-Pb geochronological evidence. Econ. Geol. 2015, 110, 809–835. [Google Scholar] [CrossRef]
- Pestilho, A.L.S.; Monteiro, L.V.S.; de Melo, G.H.C.; Moreto, C.P.N.; Juliani, C.; Fallick, A.E.; Xavier, R.P. Stable isotopes and fluid inclusion constraints on the fluid evolution in the Bacaba and Castanha iron oxide-copper-gold deposits, Carajás Mineral Province, Brazil. Ore Geol. Rev. 2020, 126, 103738. [Google Scholar] [CrossRef]
- Veloso, A.S.R.; Monteiro, L.V.S.; Juliani, C. The link between hydrothermal nickel mineralization and an iron oxide-copper-gold (IOCG) system: Constraints based on mineral chemistry in the Jatobá deposit, Carajás Province. Ore Geol. Rev. 2020, 121, 103555. [Google Scholar] [CrossRef]
- de Melo, G.H.C.; Monteiro, L.V.S.; Moreto, C.P.N.; Xavier, R.P.; da Silva, M.A.D. Paragenesis and evolution of the hydrothermal Bacuri iron oxide–copper–gold deposit, Carajás Province (PA). Braz. J. Geol. 2014, 44, 73–90. [Google Scholar] [CrossRef]
- Torresi, I.; Xavier, R.P.; Bortholoto, D.F.A.; Monteiro, L.V.S. Hydrothermal alteration, fluid inclusions and stable isotope systematics of the Alvo 118 iron oxide–copper–gold deposit, Carajás Mineral Province (Brazil): Implications for ore genesis. Miner. Depos. 2012, 47, 299–323. [Google Scholar] [CrossRef]
- Vale, S.A. Form 20-F. Available online: https://www.sec.gov/ix?doc=/Archives/edgar/data/0000917851/000129281424001463/valeform20f_2023.htm (accessed on 5 April 2025).
- Rigon, J.; Munaro, P.; Santos, L.; Nascimento, J.; Barreira, C. Alvo 118 copper-gold deposit: Geology and mineralization, Serra dos Carajás, Pará, Brazil. In Proceedings of the 31st International Geological Congress, Rio de Janeiro, Brazil, 6–17 August 2000. [Google Scholar]
- Garcia, V.B.; Emilia Schutesky, M.; Oliveira, C.G.; Whitehouse, M.J.; Huhn, S.R.B.; Augustin, C.T. The Neoarchean GT-34 Ni deposit, Carajás mineral Province, Brazil: An atypical IOCG-related Ni sulfide mineralization. Ore Geol. Rev. 2020, 127, 103773. [Google Scholar] [CrossRef]
- Mansur, E.T.; Dare, S.A.S.; Filho, C.F.F.; Miranda, A.C.R.; Monteiro, L.V.S. The distribution of trace elements in sulfides and magnetite from the Jaguar hydrothermal nickel deposit: Exploring the link with IOA and IOCG deposits within the Carajás Mineral Province, Brazil. Ore Geol. Rev. 2023, 152, 105256. [Google Scholar] [CrossRef]
- Centaurus Metals Ltd. Jaguar Roars to 1.20 Mt of Contained Nickel Metal Cementing its Position as a Tier-1 Global Nickel Sulphide Project. Available online: https://www.centaurus.com.au/site/pdf/e3ddcd4f-dae2-4847-bc86-649ebcf0657a/Jaguar-Roars-to-120Mt-of-Contained-Nickel-Metal.pdf (accessed on 18 August 2024).
- Xavier, R.P.; Soares Monteiro, L.V.; Moreto, C.P.N.; Pestilho, A.L.S.; de Melo, G.H.C.; Delinardo da Silva, M.A.; Aires, B.; Ribeiro, C.; Freitas e Silva, F.H. The Iron Oxide Copper-Gold Systems of the Carajás Mineral Province, Brazil. In Geology and Genesis of Major Copper Deposits and Districts of the World: A Tribute to Richard H. Sillitoe; Hedenquist, J.W., Harris, M., Camus, F., Eds.; Society of Economic Geologists: Littleton, CO, USA, 2012; Volume 16, ISBN 9781629490410. [Google Scholar]
- Dutra, L.F. Evolução do Sistema Mineral IOCG-Níquel Hidrotermal do Cinturão Sul do Cobre, Província Carajás, com Base em Análises de LA-ICP-MS In Situ Aplicadas a Estudos Geocronológicos e de Química Mineral. Ph.D. Thesis, University of São Paulo, São Paulo, Brazil, 2024. [Google Scholar]
- Siepierski, L. Geologia e Petrologia do Prospecto GT-34: Evidência de Metassomatismo de Alta Temperatura e Baixa fO2, Província Mineral Carajás. Master’s Thesis, Universidade de Brasília, Brasília, Brazil, 2008. [Google Scholar]
- de Melo, G.H.C.; Monteiro, L.V.S.; Xavier, R.P.; Moreto, C.P.N.; Santiago, E. Tracing Fluid Sources for the Salobo and Igarapé Bahia Deposits: Implications for the Genesis of the Iron Oxide Copper-Gold Deposits in the Carajás Province, Brazil. Econ. Geol. 2019, 114, 697–718. [Google Scholar] [CrossRef]
- Previato, M.; Monteiro, L.V.S.; da Bello, R.M.S.; Gonçales, L.C.G. Evolution of brines and CO2-rich fluids and hydrothermal overprinting in the genesis of the Borrachudo copper deposit, Carajás Province. Ore Geol. Rev. 2020, 121, 103561. [Google Scholar] [CrossRef]
- Mccuaig, T.C.; Beresford, S.; Hronsky, J. Translating the mineral systems approach into an effective exploration targeting system. Ore Geol. Rev. 2010, 38, 128–138. [Google Scholar] [CrossRef]
- de Carneiro, L.S.; Moreto, C.P.N.; Monteiro, L.V.S.; Xavier, R.P.; Soares Monteiro, L.V.; Xavier, R.P. Compositional Analysis of the Neoarchean and Paleoproterozoic Copper Systems in the Carajás Mineral Province, Nw Brazil: Implications for Metal Endowment. J. Geochemical Explor. 2023, 254. [Google Scholar] [CrossRef]
- Mansur, E.T.; Ferreira Filho, C.F.; Oliveira, D.P.L. The Luanga deposit, Carajás Mineral Province, Brazil: Different styles of PGE mineralization hosted in a medium-size layered intrusion. Ore Geol. Rev. 2020, 118, 103340. [Google Scholar] [CrossRef]
- Motta, J.G.; de Souza Filho, C.R.; Carranza, E.J.M.; Braitenberg, C. Archean crust and metallogenic zones in the Amazonian Craton sensed by satellite gravity data. Sci. Rep. 2019, 9, 2565. [Google Scholar] [CrossRef]
- Grainger, C.J.; Groves, D.I.; Tallarico, F.H.B.B.; Fletcher, I.R. Metallogenesis of the Carajás Mineral Province, Southern Amazon Craton, Brazil: Varying styles of Archean through Paleoproterozoic to Neoproterozoic base- and precious-metal mineralisation. Ore Geol. Rev. 2008, 33, 451–489. [Google Scholar] [CrossRef]
- Veloso, Â.S.R. Evolução Metalogenética do Depósito de Cu-(Ni-Zn) Jatobá, Província Mineral de Carajás. Ph.D. Thesis, Universidade de São Paulo, São Paulo, Brazil, 2017. [Google Scholar]
- de Carvalho, E.R. Caracterização Geológica e Gênese das Mineralizações de óxido de Fe-Cu-Au e Metais Associados na Província Mineral de Carajás: Estudo de Caso do Depósito de Sossego. Ph.D. Thesis, Universidade Estadual de Campinas, São Paulo, Brazil, 2009. [Google Scholar]
- Tallarico, F.H.B. O Cinturão Cupro-Aurifero de Carajás, Brasil. Ph.D. Thesis, Universidade Estadual de Campinas, São Paulo, Brazil, 2003. [Google Scholar]
- de Oliveira, J.K.M.; Silva, A.M.; Tavares, F.M.; Lima Costa, I.S. Mapping Cu–Au mineral potential (IOCG and Cu–Au polymetallic) in the Northern copper belt, Carajás Mineral Province: A data-driven, mineral systems-based approach. Ore Geol. Rev. 2025, 185, 106770. [Google Scholar] [CrossRef]
- Haddad-Martim, P.M.; de Souza Filho, C.R.; Carranza, E.J.M. Spatial analysis of mineral deposit distribution: A review of methods and implications for structural controls on iron oxide-copper-gold mineralization in Carajás, Brazil. Ore Geol. Rev. 2017, 81, 230–244. [Google Scholar] [CrossRef]
- Haddad-Martim, P.M.; Carranza, E.J.M.; De Souza Filho, C.R. The fractal nature of structural controls on ore formation: The case of the Iron oxide copper-gold deposits in the Carajás mineral province, Brazilian Amazon. Econ. Geol. 2018, 113, 1499–1524. [Google Scholar] [CrossRef]
- Domingos, F.H.G. The Structural Setting of the Canaã dos Carajás Region and Sossego-Sequeirinho Deposits, Carajás—Brazil. Ph.D. Thesis, Durham University, Durham, UK, 2009. [Google Scholar]
- Austin, J.R.; Blenkinsop, T.G. The Cloncurry Lineament: Geophysical and geological evidence for a deep crustal structure in the Eastern Succession of the Mount Isa Inlier. Precambrian Res. 2008, 163, 50–68. [Google Scholar] [CrossRef]
- Florinsky, I.V. Lineaments and Faults. In Digital Terrain Analysis in Soil Science and Geology; Elsevier: Amsterdam, The Netherlands, 2016; pp. 353–376. [Google Scholar]
- Šilhavý, J.; Minár, J.; Mentlík, P.; Sládek, J. A new artefacts resistant method for automatic lineament extraction using Multi-Hillshade Hierarchic Clustering (MHHC). Comput. Geosci. 2016, 92, 9–20. [Google Scholar] [CrossRef]
- Hayward, N. 3D Magnetic Inversion of Mineral Prospects in the Great Bear Magmatic Zone, Northwest Territories; Geological Survey of Canada: Ottawa, ON, Canada, 2013. [Google Scholar] [CrossRef]
- Austin, J.R.; Foss, C.A. Understanding iron oxide copper–gold (IOCG) magnetic targets from the inside out: Case studies from northern Australia. In Proceedings of the Annual Geoscience Exploration Seminar; Northern Territory Geological Survey: Alice Springs, Australia, 2014; pp. 66–72. [Google Scholar]
- Melo, A.T.; Li, Y.; Hitzman, M. Is there hidden potential in Carajás? Insights through the geophysical signature of Cristalino deposit. Ore Geol. Rev. 2020, 126, 103735. [Google Scholar] [CrossRef]
- GSB—Geological Survey of Brazil. Projeto Aerogeofísico Rio Maria: Relatório Final do Levantamento e Processamento dos Dados Magnetométricos e Gamaespectrométricos; Prospectors Aerolevantamentos e Sistemas: Rio de Janeiro, Brazil, 2015. [Google Scholar]
- GSB—Geological Survey of Brazil. Projeto Aerogeofísico Oeste de Carajás: Relatório Final do Levantamento e Processamento dos Dados Magnetométricos e Gamaespectrométricos; Programa Geologia do Brasil—PGB; Lasa Prospecções: Rio de Janeiro, Brazil, 2015. [Google Scholar]
- GSB—Geological Survey of Brazil. Projeto Aerogeofísico Tucuruí; Lasa Prospecções: Rio de Janeiro, Brazil, 2010. [Google Scholar]
- GSB—Geological Survey of Brazil. Projeto Aerogeofísico Anapu-Tuerê: Relatório Final do Levantamento e Processamento dos Dados Magnetométricos e Gamaespectrométricos; Programa Geologia do Brasil—PGB; Serviço Geológico do Brasil: Lasa Engenharia e Prospecções S.A.: Rio de Janeiro, Brazil, 2004. [Google Scholar]
- GSB—Geological Survey of Brazil. Levantamento Aerogravimétrico Carajás: Relatório Final do Levantamento e Processamento dos Dados Magnetométricos e Gravimétricos; Programa Geologia do Brasil—PGB; Lasa Prospecções, Microsurvey Aerogeofísica: Rio de Janeiro, Brazil, 2015. [Google Scholar]
- Briggs, I.C. Machine contouring using minimum curvature. Geophysics 1974, 39, 39–48. [Google Scholar] [CrossRef]
- Minty, B. Automatic merging of gridded airborne gamma-ray spectrometric surveys. Explor. Geophys. 2000, 31, 47–51. [Google Scholar] [CrossRef]
- de Valeriano, M.M.; de Rossetti, D.F. Topodata: Brazilian full coverage refinement of SRTM data. Appl. Geogr. 2012, 32, 300–309. [Google Scholar] [CrossRef]
- Dickson, B.L.; Scott, K.M. Interpretation of aerial gamma-ray surveys—Adding the geochemical factors. AGSO J. Aust. Geol. Geophys. 1997, 17, 187–200. [Google Scholar]
- Wilford, J.R.; Bierwirth, P.N.; Craig, M.A. Application of airborne gamma-ray spectrometry in soil/regolith mapping and applied geomorphology. AGSO J. Aust. Geol. Geophys. 1997, 17, 201–216. [Google Scholar]
- Ribeiro, V.B.; Mantovani, M.; Louro, V.H.A. Aerogamaespectrometria e suas aplicações no mapeamento geológico. Terrae Didat. 2014, 10, 29–51. [Google Scholar] [CrossRef]
- Montreuil, J.F.; Potter, E.G.; Corriveau, L.; Davis, W.J. Element mobility patterns in magnetite-group IOCG systems: The Fab IOCG system, Northwest Territories, Canada. Ore Geol. Rev. 2016, 72, 562–584. [Google Scholar] [CrossRef]
- Efimov, A.N. Multiplikativnyi Pokazatel dlja Vydelenija Endogennych rud po Aerogamma-Spektromtriceskim Dannym; Naucno-Proizvodatvennoje Objedinenie “Geofizeka”: Leningrad, Russia, 1978. [Google Scholar]
- Gnojek, I.; Přichystal, A. A new zinc mineralization detected by airborne gamma-ray spectrometry in northern Moravia (Czechoslovakia). Geoexploration 1985, 23, 491–502. [Google Scholar] [CrossRef]
- Roest, W.R.; Verhoef, J.; Pilkington, M. Magnetic interpretation using the 3-D analytic signal. Geophysics 1992, 57, 116–125. [Google Scholar] [CrossRef]
- Gabtni, H.; Jallouli, C. Regional-residual separation of potential field: An example from Tunisia. J. Appl. Geophys. 2017, 137, 8–24. [Google Scholar] [CrossRef]
- Pilkington, M.; Tschirhart, V. Practical considerations in the use of edge detectors for geologic mapping using magnetic data. Geophysics 2017, 82, J1–J8. [Google Scholar] [CrossRef]
- Pham, L.T.; Oksum, E.; Do, T.D. Edge enhancement of potential field data using the logistic function and the total horizontal gradient. Acta Geod. Geophys. 2019, 54, 143–155. [Google Scholar] [CrossRef]
- Clark, C.D.; Wilson, C. Spatial analysis of lineaments. Comput. Geosci. 1994, 20, 1237–1258. [Google Scholar] [CrossRef]
- Sartorato, G.B. Análise Estatística de Lineamentos Extraidos de Imagem LANDSAT-TM da Porção Norte do Quadrilátero Ferrífero, Minas Gerais. Master’s Thesis, Universidade Estadual de Campinas, São Paulo, Brazil, 1998. [Google Scholar]
- Haddad Martim, P.M. Fractais e Implicações Para Mapas de Favorabilidade Mineral: O Exemplo dos Depósitos iron Oxide-copper-Gold de Carajás (PA). Master’s Thesis, Universidade Estadual de Campinas, São Paulo, Brazil, 2017. [Google Scholar]
- Kuhn, M.; Johnson, K. Data Pre-processing. In Applied Predictive Modeling; Springer: New York, NY, USA, 2013; pp. 27–59. [Google Scholar]
- Kuhn, S.; Cracknell, M.J.; Reading, A.M. Lithologic mapping using Random Forests applied to geophysical and remote-sensing data: A demonstration study from the Eastern Goldfields of Australia. Geophysics 2018, 83, B183–B193. [Google Scholar] [CrossRef]
- Li, T.; Xia, Q.; Zhao, M.; Gui, Z.; Leng, S. Prospectivity Mapping for Tungsten Polymetallic Mineral Resources, Nanling Metallogenic Belt, South China: Use of Random Forest Algorithm from a Perspective of Data Imbalance. Nat. Resour. Res. 2020, 29, 203–227. [Google Scholar] [CrossRef]
- Chawla, N.V.; Bowyer, K.W.; Hall, L.O.; Kegelmeyer, W.P. SMOTE: Synthetic Minority Over-sampling Technique. J. Artif. Intell. Res. 2002, 16, 321–357. [Google Scholar] [CrossRef]
- Lemaître, G.; Nogueira, F.; Aridas, C.K. Imbalanced-learn: A Python Toolbox to Tackle the Curse of Imbalanced Datasets in Machine Learning. J. Mach. Learn. Res. 2017, 18, 1–5. [Google Scholar]
- Skiena, S. Data science design. In Texts in Computer Science; Springer International Publishing: Cham, Switzerland, 2017; ISBN 9783319554433. [Google Scholar]
- Cracknell, M.J.; Reading, A.M. Geological mapping using remote sensing data: A comparison of five machine learning algorithms, their response to variations in the spatial distribution of training data and the use of explicit spatial information. Comput. Geosci. 2014, 63, 22–33. [Google Scholar] [CrossRef]
- Harris, C.R.; Millman, K.J.; van der Walt, S.J.; Gommers, R.; Virtanen, P.; Cournapeau, D.; Wieser, E.; Taylor, J.; Berg, S.; Smith, N.J.; et al. Array programming with NumPy. Nature 2020, 585, 357–362. [Google Scholar] [CrossRef]
- McKinney, W. Data Structures for Statistical Computing in Python. In Proceedings of the 9th Python in Science Conference, Austin, TX, USA, 28 June–3 July 2010; van der Walt, S., Millman, J., Eds.; pp. 56–61. [Google Scholar]
- Pedregosa, F.; Varoquaux, G.; Gramfort, A.; Michel, V.; Thirion, B.; Grisel, O.; Blondel, M.; Prettenhofer, P.; Weiss, R.; Dubourg, V.; et al. Scikit-learn: Machine Learning in Python. J. Mach. Learn. Res. 2011, 12, 2825–2830. [Google Scholar]
- Chen, T.; Guestrin, C. XGBoost. In Proceedings of the 22nd ACM SIGKDD International Conference on Knowledge Discovery and Data Mining, San Francisco, CA, USA, 13–17 August 2016; ACM: New York, NY, USA, 2016; pp. 785–794. [Google Scholar]
- Hunter, J.D. Matplotlib: A 2D graphics environment. Comput. Sci. Eng. 2007, 9, 90–95. [Google Scholar] [CrossRef]
- Plotly Technologies Inc. Collaborative Data Science. 2015. Available online: https://plot.ly (accessed on 14 October 2025).
- Hastie, T.; Tibshirani, R.; Friedman, J. Linear Methods for Classification. In The Elements of Statistical Learning. Springer Series in Statistics; Springer: New York, NY, USA, 2009; pp. 101–137. [Google Scholar]
- Cover, T.M.; Hart, P.E. Nearest Neighbor Pattern Classification. IEEE Trans. Inf. Theory 1967, 13, 21–27. [Google Scholar] [CrossRef]
- Freund, Y.; Schapire, R.E. A Decision-Theoretic Generalization of On-Line Learning and an Application to Boosting. J. Comput. Syst. Sci. 1997, 55, 119–139. [Google Scholar] [CrossRef]
- Vapnik, V.N. Statistical Learning Theory; Wiley: New York, NY, USA, 1998. [Google Scholar]
- Breiman, L. Random forests. Mach. Learn. 2001, 45, 5–32. [Google Scholar] [CrossRef]
- Gardner, M.W.; Dorling, S.R. Artificial neural networks (the multilayer perceptron)—A review of applications in the atmospheric sciences. Atmos. Environ. 1998, 32, 2627–2636. [Google Scholar] [CrossRef]
- Yadav, S.; Shukla, S. Analysis of k-Fold Cross-Validation over Hold-Out Validation on Colossal Datasets for Quality Classification. In Proceedings of the 6th International Advanced Computing Conference, IACC, Bhimavaram, India, 27–28 February 2016; IEEE: Bhimavaram, India, 2016; pp. 78–83. [Google Scholar]
- Wong, T.T.; Yang, N.Y. Dependency Analysis of Accuracy Estimates in k-Fold Cross Validation. IEEE Trans. Knowl. Data Eng. 2017, 29, 2417–2427. [Google Scholar] [CrossRef]
- Wong, T.T.; Yeh, P.Y. Reliable Accuracy Estimates from k-Fold Cross Validation. IEEE Trans. Knowl. Data Eng. 2020, 32, 1586–1594. [Google Scholar] [CrossRef]
- Zuo, R.; Carranza, E.J.M. Support vector machine: A tool for mapping mineral prospectivity. Comput. Geosci. 2011, 37, 1967–1975. [Google Scholar] [CrossRef]
- Lundberg, S.; Lee, S.-I. A Unified Approach to Interpreting Model Predictions. In Proceedings of the 31st I Conference on Neural Information Processing Systems (NIPS 2017), Long Beach, CA, USA, 4–9 December 2017; pp. 4768–4777. [Google Scholar]
- Fan, M.; Xiao, K.; Sun, L.; Xu, Y. Metallogenic prediction based on geological-model driven and data-driven multisource information fusion: A case study of gold deposits in Xiong’ershan area, Henan Province, China. Ore Geol. Rev. 2023, 156, 105390. [Google Scholar] [CrossRef]
- Siepierski, L.; Ferreira Filho, C.F. Magmatic structure and petrology of the Vermelho Complex, Carajás Mineral Province, Brazil: Evidence for magmatic processes at the lower portion of a mafic-ultramafic intrusion. J. S. Am. Earth Sci. 2020, 102, 102700. [Google Scholar] [CrossRef]
- Costa, I.S.L.; de Serafim, I.C.C.O.; Tavares, F.M.; de Polo, H.J.O. Uranium anomalies detection through Random Forest regression. Explor. Geophys. 2020, 51, 555–569. [Google Scholar] [CrossRef]
- Correa, R.T.; Vidotti, R.M.; Guedes, V.J.C.B.; Scandolara, J.E. Mapping the Thermal Structure of the Amazon Craton to Constrain the Tectonic Domains. J. Geophys. Res. Solid Earth 2022, 127, e2021JB023025. [Google Scholar] [CrossRef]
- James, G.; Witten, D.; Hastie, T.; Tibshirani, R. Linear Model Selection and Regularization. In An Introduction to Statistical Learning. Springer Texts in Statistics; Springer: New York, NY, USA, 2021; pp. 225–288. [Google Scholar]
- Anowar, F.; Sadaoui, S.; Selim, B. Conceptual and empirical comparison of dimensionality reduction algorithms (PCA, KPCA, LDA, MDS, SVD, LLE, ISOMAP, LE, ICA, t-SNE). Comput. Sci. Rev. 2021, 40, 100378. [Google Scholar] [CrossRef]
- Pareek, J.; Jacob, J. Data compression and visualization using PCA and t-SNE. In Lecture Notes in Networks and Systems; Springer: Singapore, 2021; Volume 135, p. 327. [Google Scholar]












| Critical Process | Source (Magma, Metals) | Active Pathway | Fluid Throttle | Chemical Scrubber |
|---|---|---|---|---|
| Constituent processes | Deep alkaline magmatic source | Trans-crustal and craton-scale fault zones | Decompression evidenced by brecciation zones | Fluid mixing |
| Metasomatized subcontinental lithospheric mantle and sources of metals, ligands, and sulfur | Lithospheric craton margins/older sutures | High geothermal gradient | Fluid interaction with wall and host rocks | |
| Targeting Elements | Alkaline magmatism associated with ultrabasic to basic rocks | Suture zones between terrains of distinct ages | The occurrence of a large brecciation zone | Key alteration minerals (magnetite, biotite, albite, amphibole, U- and REE-bearing minerals) |
| Suture zones with multiple orogeny events | – | Intense hydrothermal activity | Rocks with favorable chemistry (magnetite-rich alteration zones) | |
| Mappable Targeting Criteria | Contacts between Mesoarchean, Neoarchean, Paleoproterozoic units (geochronological contacts), occurrences of volcanic, granitic, and mafic–ultramafic rocks | Structures mapped by gravity and magnetic lineaments | Morpholineament, faults and shear zone | Radiometric channels, ratios and magnetic highs |
| Model | Parameter | Description | Range/Values | Optimal Value | F1 Score | CI |
|---|---|---|---|---|---|---|
| Logistic Regression (LR) | penalty | Type of regularization applied | L1, L2, elasticnet, none | L1 | 0.962 | 0.029 |
| C | Inverse of regularization strength | 0.001–1000 (logspace) | 2.154 | |||
| solver | Optimization algorithm | Saga | Saga | |||
| max_iter | Maximum number of iterations | 100–1000 | 100 | |||
| K-Nearest Neighbors (KNN) | n_neighbors | Number of neighbors to use | 3–15 | 3 | 0.919 | 0.056 |
| weights | The weight function used in prediction | Uniform, distance | Distance | |||
| metric | Distance metric | Euclidean, Manhattan, Minkowski | Euclidean | |||
| AdaBoost (ADA) | n_estimators | Number of weak learners | 50–300 | 50 | 0.961 | 0.031 |
| learning_rate | Controls the contribution of each weak learner | 0.01–1.0 | 0.01 | |||
| Support Vector Machine (SVM) | C | Penalty parameter of the error term | 0.001–1000 (logspace) | 2.154 | 0.991 | 0.017 |
| gamma | Defines the influence of a single training example | 0.001–100, auto | Auto | |||
| kernel | Type of kernel used in the algorithm | Poly, RBF | RBF | |||
| Random Forest (RF) | n_estimators | Number of trees in the forest | 25–200 | 500 | 0.980 | 0.024 |
| max_depth | Maximum depth of each tree | 15–30, none | 25 | |||
| criterion | Function to measure the quality of a split | Gini, entropy | Gini | |||
| min_samples_split | Minimum number of samples required to split | 2, 5, 10 | 1 | |||
| min_samples_leaf | Minimum number of samples at a leaf node | 1, 2, 5, 10 | 2 | |||
| XGBoost (XGB) | eta | Step size shrinkage | 0.01–0.1 | 0.05 | 0.971 | 0.027 |
| learning_rate | Shrinks feature weights | 0.1–0.4 | 0.35 | |||
| gamma | Minimum loss reduction for further partitioning | 0.05–1.0 | 1.0 | |||
| max_depth | Maximum depth of a tree | 3–25 | 15 | |||
| min_child_weight | Minimum sum of instance weights in a child | 1, 3, 5, 7 | 1 | |||
| subsample/colsample_bytree | Subsample ratio of training instances/features | 0.6–1.0 | 0.8/0.6 | |||
| reg_lambda/alpha | L2 and L1 regularization terms | 0.001–1000 (logscale) | 1/0.1 | |||
| Multilayer Perceptron (MLP) | hidden_layer_sizes | Number and size of hidden layers | (10) to (20,20) | (20,20,20) | 0.981 | 0.024 |
| activation | Activation function | Logistic, Tanh, Relu | Logistic | |||
| solver | Optimization algorithm | LBFGS, SGD, Adam | Adam | |||
| alpha | L2 penalty (regularization term) | 0.001–1000 (logscale) | 0.001 | |||
| learning_rate | Learning rate schedule | Constant, adaptive | Adaptive | |||
| learning_rate_init | Initial learning rate | 0.0001–0.3 | 0.15 | |||
| max_iter | Maximum number of training iterations | 50–200 | 100 |
Disclaimer/Publisher’s Note: The statements, opinions and data contained in all publications are solely those of the individual author(s) and contributor(s) and not of MDPI and/or the editor(s). MDPI and/or the editor(s) disclaim responsibility for any injury to people or property resulting from any ideas, methods, instructions or products referred to in the content. |
© 2025 by the authors. Licensee MDPI, Basel, Switzerland. This article is an open access article distributed under the terms and conditions of the Creative Commons Attribution (CC BY) license (https://creativecommons.org/licenses/by/4.0/).
Share and Cite
Dutra, L.F.; Monteiro, L.V.S.; Couto, M.A., Jr.; Carneiro, C.d.C. Mineral Prospectivity Maps for Critical Metals in the Clean Energy Transition: Examples for Hydrothermal Copper and Nickel Systems in the Carajás Province. Minerals 2025, 15, 1086. https://doi.org/10.3390/min15101086
Dutra LF, Monteiro LVS, Couto MA Jr., Carneiro CdC. Mineral Prospectivity Maps for Critical Metals in the Clean Energy Transition: Examples for Hydrothermal Copper and Nickel Systems in the Carajás Province. Minerals. 2025; 15(10):1086. https://doi.org/10.3390/min15101086
Chicago/Turabian StyleDutra, Luiz Fernandes, Lena Virgínia Soares Monteiro, Marco Antonio Couto, Jr., and Cleyton de Carvalho Carneiro. 2025. "Mineral Prospectivity Maps for Critical Metals in the Clean Energy Transition: Examples for Hydrothermal Copper and Nickel Systems in the Carajás Province" Minerals 15, no. 10: 1086. https://doi.org/10.3390/min15101086
APA StyleDutra, L. F., Monteiro, L. V. S., Couto, M. A., Jr., & Carneiro, C. d. C. (2025). Mineral Prospectivity Maps for Critical Metals in the Clean Energy Transition: Examples for Hydrothermal Copper and Nickel Systems in the Carajás Province. Minerals, 15(10), 1086. https://doi.org/10.3390/min15101086

