Petrogenesis of the Chamuhan Intrusion in the Southern Great Xing’an Range: Constraints from Zircon U-Pb Dating and Petrogeochemistry
Abstract
1. Introduction
2. Regional Geology

3. Deposit Geology and Characteristics of Related Rock Bodies
3.1. Ore Deposit Geology
3.2. Geology and Petrography of the Chamuhan Intrusions
4. Sampling and Analytical Methods
4.1. Sampling
4.2. Zircon U-Pb Dating
4.3. Major and Trace Element Analyses
4.4. Electron Probe Microanalysis
5. Results
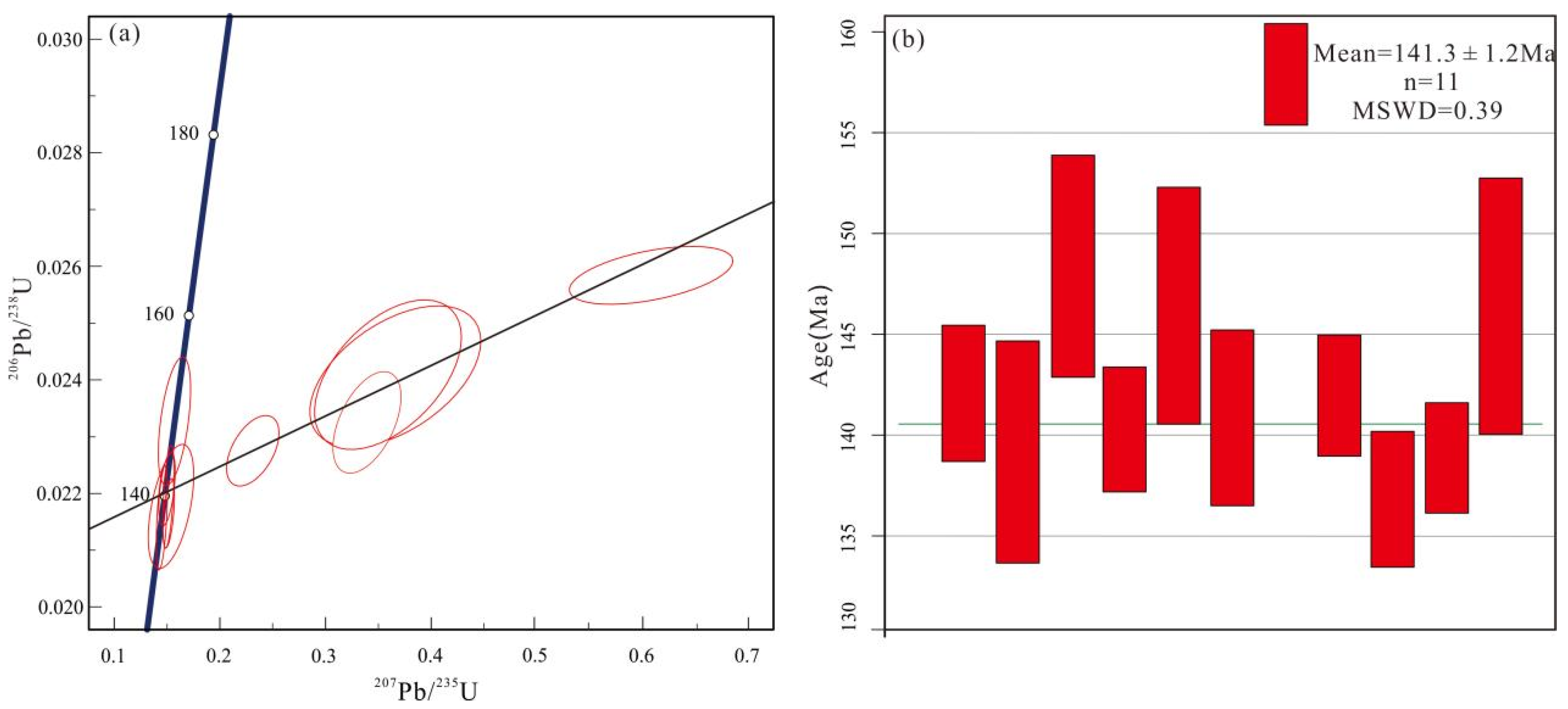
5.1. Zircon U-Pb Age
5.2. EPMA of Mica and Feldspar
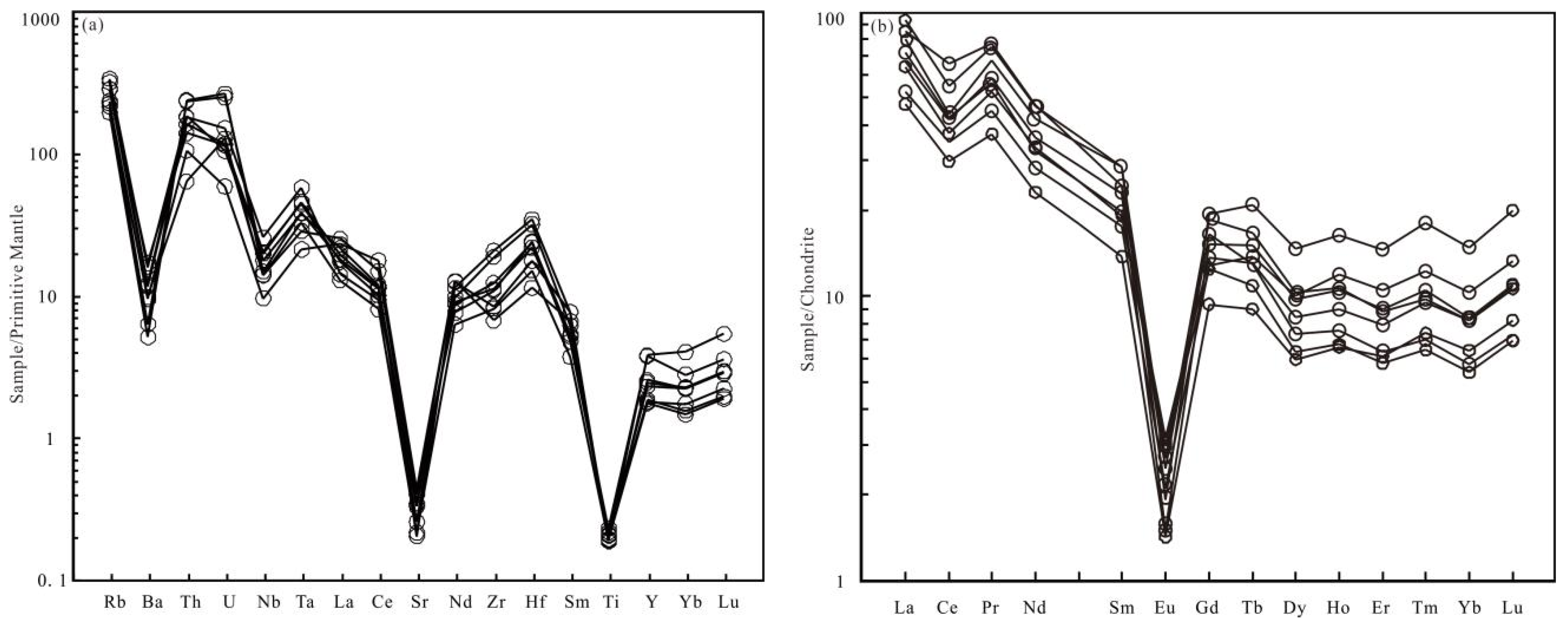
5.3. Whole-Rock Geochemistry
6. Discussion
6.1. Petrogenic Age
6.2. Petrogenesis
6.2.1. Petrogenetic Type
6.2.2. Magmatic Evolution and Metallogenesis
6.3. Tectonic Setting
7. Conclusions
Author Contributions
Funding
Data Availability Statement
Acknowledgments
Conflicts of Interest
References
- Ying, J.F.; Zhou, X.H.; Zhang, L.C.; Wang, F. Geochronological Framework of Mesozoic Volcanic Rocks in the Great Xing’an Range, NE China, and Their Geodynamic Implications. J. Asian Earth Sci. 2010, 39, 786–793. [Google Scholar] [CrossRef]
- Li, S.; Chung, S.; Wang, T.; Wilde, S.A.; Chu, M.; Guo, Q. Tectonic Significance and Geodynamic Processes of Large-scale Early Cretaceous Granitoid Magmatic Events in the Southern Great Xing’an Range, North China. Tectonics 2017, 36, 615–633. [Google Scholar] [CrossRef]
- Zhou, Z.; Mao, J.; Stuart, F.M.; Chen, X.; Wilde, S.A.; Ouyang, H.; Gao, X.; Zhao, J. The Role of Mantle Melting in Granite-Associated Hydrothermal Systems: He–Ar Isotopes in Fluids Responsible for Sn–Ag–Pb–Zn Mineralization in Northeast China. Min. Depos. 2023, 58, 1421–1443. [Google Scholar] [CrossRef]
- Mi, K.; Lü, Z.; Yan, T.; Yao, X.; Ma, Y.; Lin, C. Zircon Geochronological and Geochemical Study of the Baogaigou Tin Deposits, Southern Great Xing’an Range, Northeast China: Implications for the Timing of Mineralization and Ore Genesis. Geol. J. 2020, 55, 5062–5081. [Google Scholar] [CrossRef]
- Zhao, P.; Chu, X.; Williams-Jones, A.E.; Mao, J.; Yuan, S. The role of phyllosilicate partial melting in segregating W and Sn deposits in W-Sn metallogenic provinces. Geology 2022, 50, 783–792. [Google Scholar] [CrossRef]
- Shang, Z.; Chen, Y.; Guo, X. Felsic Igneous Rocks in the Hua’aobaote Pb–Zn–Ag Polymetallic Orefield, Southern Great Xing’an Range: Genesis, Metallogenetic and Tectonic Significance. Acta Geol. Sin. 2022, 96, 221–239. [Google Scholar] [CrossRef]
- Li, S.; Li, Z.; Chen, G.; Yi, H.; Yang, F.; Lü, X.; Shi, J.; Dou, H.; Wu, G. Age, Fluid Inclusion, and H–O–S–Pb Isotope Geochemistry of the Superlarge Huaaobaote Ag–Pb–Zn Deposit in the Southern Great Xing’an Range, NE China. Minerals 2023, 13, 939. [Google Scholar] [CrossRef]
- Liu, Y.; Jiang, B.; Chen, Y.; Wu, L.; Zuo, Y.; Liu, Z. Genesis of Cu-Sn Mineralization in the Shuangjianzishan Super-Large Silver Deposit, Inner Mongolia: Trace Element Constraints from Chalcopyrite and Cassiterite. Appl. Sci. 2024, 14, 3822. [Google Scholar] [CrossRef]
- Zeng, Q.; Liu, J.; Zhang, Z.; Jia, C.; Yu, C.; Ye, J.; Liu, H. Geology and Lead-Isotope Study of the Baiyinnuoer Zn-Pb-Ag Deposit, South Segment of the Da Hinggan Mountains, Northeastern China. Resour. Geol. 2009, 59, 170–180. [Google Scholar] [CrossRef]
- Zhao, Q.; Xiao, R.; Zhang, D.; Wang, J.; Zhang, Y.; Li, P. Petrogenesis and Tectonic Setting of Ore-Associated Intrusive Rocks in the Baiyinnuoer Zn–Pb Deposit, Southern Great Xing’an Range (NE China): Constraints from Zircon U–Pb Dating, Geochemistry, and Sr–Nd–Pb Isotopes. Minerals 2019, 10, 19. [Google Scholar] [CrossRef]
- Yuan, S.; Williams-Jones, A.E.; Romer, R.L.; Zhao, P.; Mao, J. Protolith-Related Thermal Controls on the Decoupling of Sn and W in Sn-W Metallogenic Provinces: Insights from the Nanling Region, China. Econ. Geol. 2019, 114, 1005–1012. [Google Scholar] [CrossRef]
- Zhao, P.; Yuan, S.; Williams-Jones, A.E.; Romer, R.L.; Yan, C.; Song, S.; Mao, J. Temporal Separation of W and Sn Mineralization by Temperature-Controlled Incongruent Melting of a Single Protolith: Evidence from the Wangxianling Area, Nanling Region, South China. Econ. Geol. 2022, 117, 667–682. [Google Scholar] [CrossRef]
- Xie, W.; Zeng, Q.D.; Wang, R.L.; Wu, J.J.; Zhang, Z.M.; Li, F.C.; Zhang, Z. Spatial-Temporal Distribution and Tectonic Setting of Mesozoic W-Mineralized Granitoids in the Xing-Meng Orogenic Belt, NE China. Int. Geol. Rev. 2022, 64, 1845–1884. [Google Scholar] [CrossRef]
- Yuan, S.; Peng, J.; Hu, R.; Li, H.; Shen, N.; Zhang, D. A Precise U–Pb Age on Cassiterite from the Xianghualing Tin-Polymetallic Deposit (Hunan, South China). Min. Depos. 2008, 43, 375–382. [Google Scholar] [CrossRef]
- Yuan, S.; Williams-Jones, A.E.; Mao, J.; Zhao, P.; Yan, C.; Zhang, D. The origin of the zhangjialong tungsten deposit, South China: Implications for W-Sn mineralization in large granite batholiths. Econ. Geol. 2018, 113, 1193–1208. [Google Scholar] [CrossRef]
- Huber, C.; Bachmann, O.; Manga, M. Homogenization Processes in Silicic Magma Chambers by Stirring and Mushification (Latent Heat Buffering). Earth Planet. Sci. Lett. 2009, 283, 38–47. [Google Scholar] [CrossRef]
- Zhai, D.; Liu, J.; Cook, N.J.; Wang, X.; Yang, Y.; Zhang, A.; Jiao, Y. Mineralogical, Textural, Sulfur and Lead Isotope Constraints on the Origin of Ag-Pb-Zn Mineralization at Bianjiadayuan, Inner Mongolia, NE China. Min. Depos. 2019, 54, 47–66. [Google Scholar] [CrossRef]
- Zhang, L.; Jiang, S.; Bagas, L.; Han, N.; Liu, Y.; Liu, Y. Element Behaviour during Interaction of Magma and Fluid: A Case Study of Chamuhan Granite, and Implications on the Genesis of W–Mo Mineralisation. Lithos 2019, 343, 31–44. [Google Scholar] [CrossRef]
- Li, Y.; Zhou, H.; Brouwer, F.M.; Wijbrans, J.R.; Zhong, Z.; Liu, H. Tectonic Significance of the Xilin Gol Complex, Inner Mongolia, China: Petrological, Geochemical and U–Pb Zircon Age Constraints. J. Asian Earth Sci. 2011, 42, 1018–1029. [Google Scholar] [CrossRef]
- Wu, H.-R.; Yang, H.; Zhu, Y.-S.; Santosh, M.; Chen, Z.-Y.; Ji, Z.; Zhang, Z.-C.; Ge, W.-C. Zircon and Apatite as Tracers of Physicochemical Differences between Barren and Rare Metal Plutons in Granite-Pegmatite Systems. Geol. Soc. Am. Bull. 2025, 137, 2982–2998. [Google Scholar] [CrossRef]
- Zhu, X.; Lu, M. Fault Structures and Magmatic Intrusions Inferred from Magnetic Data for the Southern Great Xing’an Range, Northern China. Ore Geol. Rev. 2021, 135, 104206. [Google Scholar] [CrossRef]
- Zhang, P.; Fang, H.; Zhong, Q.; Zhang, X.; Yuan, Y.; Liu, J. Structural Features and Tectonic Evolution of the Nenjiang–Balihan Fault in the Western Margin of the Songliao Basin, NE China, Inferred from 2D Inversion of Magnetotelluric Data. J. Asian Earth Sci. 2021, 206, 104628. [Google Scholar] [CrossRef]
- Ouyang, H.; Mao, J.; Zhou, Z.; Su, H. Late Mesozoic Metallogeny and Intracontinental Magmatism, Southern Great Xing’an Range, Northeastern China. Gondwana Res. 2015, 27, 1153–1172. [Google Scholar] [CrossRef]
- Zhang, J.H.; Gao, S.; Ge, W.C.; Wu, F.Y.; Yang, J.H.; Wilde, S.A.; Li, M. Geochronology of the Mesozoic Volcanic Rocks in the Great Xing’an Range, Northeastern China: Implications for Subduction-Induced Delamination. Chem. Geol. 2010, 276, 144–165. [Google Scholar] [CrossRef]
- Zhang, H.; Zhang, H.; Shen, S.; Zhao, Z.; Qiu, L.; Chen, S.; Zhang, J.; Gong, F.; Li, Y.; Zheng, Y.; et al. Volcanic Age and Geochemistry of the Permian Linxi Formation in Northeast China: Implications for the Tectonic Evolution of the Paleo-Asian Ocean. Lithosphere 2023, 2023, 1–20. [Google Scholar] [CrossRef]
- Ge, W.; Wu, F.; Zhou, C.; Zhang, J. Porphyry Cu-Mo Deposits in the Eastern Xing’an-Mongolian Orogenic Belt: Mineralization Ages and Their Geodynamic Implications. Chin. Sci. Bull. 2007, 52, 3416–3427. [Google Scholar] [CrossRef]
- Xu, Z.G.; Chen, M.C.; Wang, D.H.; Chen, Z.H.; Li, H.M. China Metallogenic Belt Division Scheme; Geology Press: Beijing, China, 1989; pp. 1–103. (In Chinese) [Google Scholar]
- Han, N. The Study on the Metallogenesis of the Chamuhan W-Mo Deposit, Hexigten Banner, Inner Mongolia. Ph.D. Thesis, Chinese Academy of Geological Sciences, Beijing, China, 2022. (In Chinese) [Google Scholar]
- Vermeesch, P. IsoplotR: A Free and Open Toolbox for Geochronology. Geosci. Front. 2018, 9, 1479–1493. [Google Scholar] [CrossRef]
- Pei, Q.-M.; Zhang, S.-T.; Hayashi, K.; Cao, H.-W.; Li, D.; Tang, L.; Hu, X.-K.; Li, H.-X.; Fang, D.-R. Permo–Triassic Granitoids of the Xing’an–Mongolia Segment of the Central Asian Orogenic Belt, Northeast China: Age, Composition, and Tectonic Implications. Int. Geol. Rev. 2018, 60, 1172–1194. [Google Scholar] [CrossRef]
- Rubatto, D. Zircon Trace Element Geochemistry: Partitioning with Garnet and the Link between U–Pb Ages and Metamorphism. Chem. Geol. 2002, 184, 123–138. [Google Scholar] [CrossRef]
- De La Roche, H.; Leterrier, J.; Grandclaude, P.; Marchal, M. A Classification of Volcanic and Plutonic Rocks Using R1-R2 Diagram and Major-Element Analyses—Its Relationships with Current Nomenclature. Chem. Geol. 1980, 29, 183–210. [Google Scholar] [CrossRef]
- Tischendorf, G.; Gottesmann, B.; Förster, H.-J.; Trumbull, R.B. On Li-Bearing Micas: Estimating Li from Electron Microprobe Analyses and an Improved Diagram for Graphical Representation. Mineral. Mag. 1997, 61, 809–834. [Google Scholar] [CrossRef]
- Deer, W.A.; Howie, R.A.; Zussman, J. An Introduction to the Rock-Forming Minerals, 3rd ed.; The Minerological Society: London, UK, 2013; pp. 1–492. [Google Scholar]
- Middlemost, E.A.K. Naming Materials in the Magma/Igneous Rock System. Earth-Sci. Rev. 1994, 37, 215–224. [Google Scholar] [CrossRef]
- Peccerillo, A.; Taylor, S.R. Geochemistry of Eocene Calc-Alkaline Volcanic Rocks from the Kastamonu Area, Northern Turkey. Contrib. Mineral. Petrol. 1976, 58, 63–81. [Google Scholar] [CrossRef]
- Maniar, P.D.; Piccoli, P.M. Tectonic Discrimination of Granitoids. Geol. Soc. Am. Bull. 1989, 101, 635–643. [Google Scholar] [CrossRef]
- Sun, Y.; Li, B.; Sun, F.; Ding, Q.; Wang, B.; Li, Y.; Wang, K. Mineralization Events in the Xiaokele Porphyry Cu (–Mo) Deposit, NE China: Evidence from Zircon U–Pb and K-feldspar Ar–Ar Geochronology and Petrochemistry. Resour. Geol. 2020, 70, 254–272. [Google Scholar] [CrossRef]
- Bergemann, C.A.; Gnos, E.; Berger, A.; Janots, E.; Whitehouse, M.J. Dating Tectonic Activity in the Lepontine Dome and Rhone-Simplon Fault Regions through Hydrothermal Monazite-(Ce). Solid Earth 2020, 11, 199–222. [Google Scholar] [CrossRef]
- Chen, G.; Wu, G.; Li, T.; Liu, R.; Li, R.; Li, Y.; Yang, F. Mineralization of the Daolundaba Cu–Sn–W–Ag Deposit in the Southern Great Xing’an Range, China: Constraints from Geochronology, Geochemistry, and Hf Isotope. Ore Geol. Rev. 2021, 133, 104117. [Google Scholar] [CrossRef]
- Wu, G.; Liu, R.L.; Chen, G.Z.; Li, T.G.; Li, R.H.; Li, Y.L.; Yang, F.; Zhang, T. Mineralization of the Weilasituo rare metaltin-polymetallic ore deposit in Inner Mongolia: Insights from fractional crystallization of granitic magmas. Acta Petrol. Sin. 2021, 37, 637–664. (In Chinese) [Google Scholar]
- Wang, F.; Bagas, L.; Jiang, S.; Liu, Y. Geological, Geochemical, and Geochronological Characteristics of Weilasituo Sn-Polymetal Deposit, Inner Mongolia, China. Ore Geol. Rev. 2017, 80, 1206–1229. [Google Scholar] [CrossRef]
- Wang, C.; Shao, Y.; Zhang, X.; Dick, J.; Liu, Z. Trace Element Geochemistry of Magnetite: Implications for Ore Genesis of the Huanggangliang Sn-Fe Deposit, Inner Mongolia, Northeastern China. Minerals 2018, 8, 195. [Google Scholar] [CrossRef]
- Zhou, Z.H.; Mao, J.W.; Lyckberg, P. Geochronology and Isotopic Geochemistry of the A-Type Granites from the Huanggang Sn–Fe Deposit, Southern Great Hinggan Range, NE China: Implication for Their Origin and Tectonic Setting. J. Asian Earth Sci. 2012, 49, 272–286. [Google Scholar] [CrossRef]
- Wang, R.; Zeng, Q.; Zhang, Z.; Guo, Y.; Lu, J. Fluid Evolution, H-O Isotope and Re-Os Age of Molybdenite from the Baiyinhan Tungsten Deposit in the Eastern Central Asian Orogenic Belt, NE China, and Its Geological Significance. Minerals 2020, 10, 664. [Google Scholar] [CrossRef]
- Zeng, Q.D.; Sun, Y.; Chu, S.X.; Duan, X.X.; Liu, J. Geochemistry and Geochronology of the Dongshanwan Porphyry Mo–W Deposit, Northeast China: Implications for the Late Jurassic Tectonic Setting. J. Asian Earth Sci. 2015, 97, 472–485. [Google Scholar] [CrossRef]
- Zhang, Z.; Ji, Z.; Ge, W.; Yang, H.; Wu, H.; Wang, Y. Contribution Discrepancy of Two Distinct Wall Rocks to Wolframite Mineralization from Dongshanwan Quartz-Vein Tungsten Deposit, Southern Great Xing’an Range, China. Ore Geol. Rev. 2023, 163, 105800. [Google Scholar] [CrossRef]
- Azman, A.G. The Western Belt Granite of Peninsular Malaysia: Some Emergent Problems on Granite Classification and Its Implication. Geosci. J. 2000, 4, 283–293. [Google Scholar] [CrossRef]
- Bucher, K.; Seelig, U. Bristen Granite: A Highly Differentiated, Fluorite-Bearing A-Type Granite from the Aar Massif, Central Alps, Switzerland. Swiss J. Geosci. 2018, 111, 317–340. [Google Scholar] [CrossRef]
- Chappell, B.W.; White, A.J.R. Two Contrasting Granite Types: 25 Years Later. Aust. J. Earth Sci. 2001, 48, 489–499. [Google Scholar] [CrossRef]
- Sylvester, P.J. Post-Collisional Alkaline Granites. J. Geol. 1989, 97, 261–280. [Google Scholar]
- Wu, F.; Jahn, B.; Wilde, S.A.; Lo, C.H.; Yui, T.F.; Lin, Q.; Ge, W.; Sun, D. Highly Fractionated I-Type Granites in NE China (I): Geochronology and Petrogenesis. Lithos 2003, 66, 241–273. [Google Scholar] [CrossRef]
- King, P.L.; White, A.J.R.; Chappell, B.W.; Allen, C.M. Characterization and Origin of Aluminous A-Type Granites from the Lachlan Fold Belt, Southeastern Australia. J. Petrol. 1997, 38, 371–391. [Google Scholar] [CrossRef]
- Sardinha, A.S.; Barros, C.E.D.M.; Krymsky, R. Geology, Geochemistry, and U–Pb Geochronology of the Archean (2.74Ga) Serra Do Rabo Granite Stocks, Carajás Metallogenetic Province, Northern Brazil. J. S. Am. Earth Sci. 2006, 20, 327–339. [Google Scholar] [CrossRef]
- Gelman, S.E.; Deering, C.D.; Bachmann, O.; Huber, C.; Gutiérrez, F.J. Identifying the Crystal Graveyards Remaining after Large Silicic Eruptions. Earth Planet. Sci. Lett. 2014, 403, 299–306. [Google Scholar] [CrossRef]
- Zhao, X.-F.; Zhou, M.-F.; Li, J.-W.; Wu, F.-Y. Association of Neoproterozoic A- and I-Type Granites in South China: Implications for Generation of A-Type Granites in a Subduction-Related Environment. Chem. Geol. 2008, 257, 1–15. [Google Scholar] [CrossRef]
- Aspinall, W.P.; Woo, G.; Voight, B.; Baxter, P.J. Evidence-Based Volcanology: Application to Eruption Crises. J. Volcanol. Geotherm. Res. 2003, 128, 273–285. [Google Scholar] [CrossRef]
- KEby, G.N. The A-Type Granitoids: A Review of Their Occurrence and Chemical Characteristics and Speculations on Their Petrogenesis. Lithos 1990, 26, 115–134. [Google Scholar] [CrossRef]
- Green, N.L.; Usdansky, S.I. Ternary feldspar mixing relations and thermobarometry. Am. Mineral. 1986, 71, 1101–1108. [Google Scholar]
- Benisek, A.; Dachs, E.; Kroll, H. A Ternary Feldspar-Mixing Model Based on Calorimetric Data: Development and Application. Am. Mineral. 2004, 89, 1496–1504. [Google Scholar] [CrossRef]
- Whalen, J.B.; Currie, K.L.; Chappell, B.W. A-Type Granites: Geochemical Characteristics, Discrimination and Petrogenesis. Contrib Miner. Petrol. 1987, 95, 407–419. [Google Scholar] [CrossRef]
- Holland, T.J.B.; Green, E.C.R.; Powell, R. Melting of Peridotites through to Granites: A Simple Thermodynamic Model in the System KNCFMASHTOCr. J. Petrol. 2018, 59, 881–900. [Google Scholar] [CrossRef]
- Xiang, H.; Connolly, J.A.D. GeoPS: An Interactive Visual Computing Tool for Thermodynamic Modelling of Phase Equilibria. J. Metamorph. Geol. 2022, 40, 243–255. [Google Scholar] [CrossRef]
- Li, X.-H.; Klyukin, Y.I.; Steele-MacInnis, M.; Fan, H.-R.; Yang, K.-F.; Zoheir, B. Phase Equilibria, Thermodynamic Properties, and Solubility of Quartz in Saline-Aqueous-Carbonic Fluids: Application to Orogenic and Intrusion-Related Gold Deposits. Geochim. Cosmochim. Acta 2020, 283, 201–221. [Google Scholar] [CrossRef]
- Jochum, K.P.; Seufert, H.M.; Spettel, B.; Palme, H. The Solar-System Abundances of Nb, Ta, and Y, and the Relative Abundances of Refractory Lithophile Elements in Differentiated Planetary Bodies. Geochim. Cosmochim. Acta 1986, 50, 1173–1183. [Google Scholar] [CrossRef]
- Deering, C.D. Trace Element Indicators of Crystal Accumulation in Silicic Igneous Rocks. Earth Planet. Sci. Lett. 2010, 297, 324–331. [Google Scholar] [CrossRef]
- Ballouard, C.; Poujol, M.; Boulvais, P.; Branquet, Y.; Tartèse, R.; Vigneresse, J.-L. Nb-Ta Fractionation in Peraluminous Granites: A Marker of the Magmatic-Hydrothermal Transition. Geology 2016, 44, 231–234. [Google Scholar] [CrossRef]
- Ke, L.; Zhang, H.; Liu, J.; Zhai, D.; Guo, D.; Yang, J.; Tan, Q.; Xu, Y.; Zhang, M.; Wang, S. Fluid Inclusion, H-O, S, Pb and Noble Gas Isotope Studies of the Aerhada Pb–Zn–Ag Deposit, Inner Mongolia, NE China. Ore Geol. Rev. 2017, 88, 304–316. [Google Scholar] [CrossRef]
- Dong, Y.; Ge, W.; Tian, D.; Ji, Z.; Yang, H.; Bi, J.; Wu, H.; Hao, Y. Geochronology and Geochemistry of Early Cretaceous Granitic Plutons in the Xing’an Massif, Great Xing’an Range, NE China: Petrogenesis and Tectonic Implications. Acta Geol. Sin. 2019, 93, 1500–1521. [Google Scholar] [CrossRef]
- Bau, M. Controls on the Fractionation of Isovalent Trace Elements in Magmatic and Aqueous Systems: Evidence from Y/Ho, Zr/Hf, and Lanthanide Tetrad Effect. Chem. Geol. 1985, 48, 43–55. [Google Scholar] [CrossRef]
- Lehmann, B. Formation of Tin Ore Deposits: A Reassessment. Lithos 2021, 402–403, 105756. [Google Scholar] [CrossRef]
- Wen, C.M.; Zhao, P.L.; Grondahl, C.; Tsay, A.; Zajacz, Z.; Yuan, S.D. Cesium partitioning between granitic melts and aqueous fluids: Is Cs in hydrothermal fluids an accurate proxy of the degree of fractionation of parental magmas? Geochim. Cosmochim. Acta 2025, 396, 159–169. [Google Scholar] [CrossRef]
- Irber, W. The Lanthanide Tetrad Effect and Its Correlation with K/Rb, Eu/Eu*, Sr/Eu, Y/Ho, and Zr/Hf of Evolving Peraluminous Granite Suites. Geochim. Cosmochim. Acta 1999, 63, 489–508. [Google Scholar] [CrossRef]
- Waters, L.E.; Lange, R.A. An Updated Calibration of the Plagioclase-Liquid Hygrometer-Thermometer Applicable to Basalts through Rhyolites. Am. Mineral. 2015, 100, 2172–2184. [Google Scholar] [CrossRef]
- Giordano, D.; Dingwell, D.B.; Romano, C. Viscosity of a Teide phonolite in the welding interval. J. Volcanol. Geotherm. Res. 2000, 103, 239–245. [Google Scholar] [CrossRef]
- Thomas, R.; Förster, H.J.; Heinrich, W. The behaviour of boron in a peraluminous granite-pegmatite system and associated hydrothermal solutions: A melt and fluid-inclusion study. Contrib. Mineral. Petrol. 2003, 144, 457–472. [Google Scholar] [CrossRef]
- Roda, E.; Keller, P.; Pesquera, A.; Fontan, F. Micas of the Muscovite–Lepidolite Series from Karibib Pegmatites, Namibia. Mineral. mag. 2007, 71, 41–62. [Google Scholar] [CrossRef]
- Candela, P.A. Controls on Ore Metal Ratios in Granite-Related Ore Systems: An Experimental and Computational Approach. Trans. R. Soc. Edinb. Earth Sci. 1992, 83, 317–326. [Google Scholar]
- Trail, D. Ce and Eu Anomalies in Zircon as Proxies for the Oxidation State of Magmas. Geochim. Cosmochim. Acta 2012, 97, 70–87. [Google Scholar] [CrossRef]
- Thompson, J.F.H.; Sillitoe, R.H.; Baker, T.; Lang, J.R.; Mortensen, J.K. Intrusion-Related Gold Deposits Associated with Tungsten-Tin Provinces. Min. Depos. 1999, 34, 323–334. [Google Scholar] [CrossRef]
- Yuan, S.; Williams-Jones, A.E.; Bodnar, R.J.; Zhao, P.; Zajacz, Z.; Chou, I.-M.; Mao, J. The Role of Magma Differentiation in Optimizing the Fluid-Assisted Extraction of Copper to Generate Large Porphyry-Type Deposits. Sci. Adv. 2025, 11, 927–933. [Google Scholar] [CrossRef]
- Li, J.; Huang, X.-L.; Fu, Q.; Li, W.-X. Tungsten Mineralization during the Evolution of a Magmatic-Hydrothermal System: Mineralogical Evidence from the Xihuashan Rare-Metal Granite in South China. Am. Mineral. 2021, 106, 443–460. [Google Scholar] [CrossRef]
- Zhao, P.; Zajacz, Z.; Tsay, A.; Yuan, S. Magmatic-Hydrothermal Tin Deposits Form in Response to Efficient Tin Extraction upon Magma Degassing. Geochim. Cosmochim. Acta 2022, 316, 331–346. [Google Scholar] [CrossRef]
- Qiu, Y.; Wang, X.; Lu, J.; Chou, I.-M.; Wan, Y.; Zhang, R.; Zhang, W.; Sun, R. In Situ Observations of Tungsten Speciation and Partitioning Behavior during Fluid Exsolution from Granitic Melt. Sci. Bulletin. 2022, 67, 2358–2368. [Google Scholar] [CrossRef]
- Chen, Z.L.; Peng, S.L. The experimental Result of W and Sn flow-melting distribution and its genetic significance. Geol. Rev. 1994, 40, 284–294. (In Chinese) [Google Scholar]
- Guan, S.J.; Zhang, H.; Tang, Y.; Zhang, J.Y. An experimental study on the partitioning of molybdenum and tungsten between granitic melt and coexisting aqueous fluid at 100 MPa and 800 °C. Geo Chim. 2011, 40, 516–524. (In Chinese) [Google Scholar]
- Zhao, P.; Zajacz, Z.; Tsay, A.; Chu, X.; Cheng, Q.M.; Yuan, S.D. The partitioning behavior of Mo during magmatic fluid exsolution and its implications for Mo mineralization. Geochim. Cosmochim. Acta 2022, 339, 115–126. [Google Scholar] [CrossRef]
- Mysen, B. Relationships between Silicate Melt Structure and Petrologic Processes. Earth-Sci. Rev. 1990, 27, 281–365. [Google Scholar] [CrossRef]
- Keppler, H.; Wyllie, P.J. Partitioning of Cu, Sn, Mo, W, U, and Th between Melt and Aqueous Fluid in the Systems Haplogranite-H/O-HCl and Haplogranite-H2O-HF. Contrib. Miner. Petrol. 1991, 109, 139–150. [Google Scholar]
- Carocci, E.; Truche, L.; Cathelineau, M.; Caumon, M.-C.; Bazarkina, E.F. Tungsten (VI) Speciation in Hydrothermal Solutions up to 400 °C as Revealed by in-Situ Raman Spectroscopy. Geochim. Cosmochim. Acta 2022, 317, 306–324. [Google Scholar] [CrossRef]
- Wang, X.; Qiu, Y.; Lu, J.; Chou, I.-M.; Zhang, W.; Li, G.; Hu, W.; Li, Z.; Zhong, R. In Situ Raman Spectroscopic Investigation of the Hydrothermal Speciation of Tungsten: Implications for the Ore-Forming Process. Chem. Geol. 2020, 532, 119299. [Google Scholar] [CrossRef]
- Ulrich, T.; Mavrogenes, J. An Experimental Study of the Solubility of Molybdenum in H2O and KCl–H2O Solutions from 500 °C to 800 °C, and 150 to 300 MPa. Geochim. Cosmochim. Acta. 2008, 72, 2316–2330. [Google Scholar] [CrossRef]
- Gibert, F.; Moine, B.; Schott, J.; Dandurand, J.-L. Modeling of the Transport and Deposition of Tungsten in the Scheelite-Bearing Calc-Silicate Gneisses of the Montagne Noire, France. Contrib. Mineral. Petrol. 1992, 112, 371–384. [Google Scholar] [CrossRef]
- Wood, S.A.; Samson, I.M. The Hydrothermal Geochemistry of Tungsten in Granitoid Environments: I. Relative Solubilities of Ferberite and Scheelite as a Function of T, P, pH, and mNaCl. Econ. Geol. 2000, 95, 143–182. [Google Scholar] [CrossRef]
- Jin, C.; Gao, X.-Y.; Chen, W.T.; Zhao, T.-P. Magmatic-Hydrothermal Evolution of the Donggou Porphyry Mo Deposit at the Southern Margin of the North China Craton: Evidence from Chemistry of Biotite. Ore Geol. Rev. 2018, 92, 84–96. [Google Scholar] [CrossRef]
- Ruan, B.; Lv, X.; Yang, W.; Liu, S.; Yu, Y.; Wu, C.; Adam, M.M.A. Geology, Geochemistry and Fluid Inclusions of the Bianjiadayuan Pb–Zn–Ag Deposit, Inner Mongolia, NE China: Implications for Tectonic Setting and Metallogeny. Ore Geol. Rev. 2015, 71, 121–137. [Google Scholar] [CrossRef]
- Ouyang, H.G. Metallogenesis of Bairendaba-Weilasituo Silver-Polytmetallic Deposit and Its Geodynamic Setting, in the Southern Segment of Great Xing’an Range, NE China. Ph.D. Thesis, China University of Geosciences, Beijing, China, 2013. (In Chinese) [Google Scholar]
- Li, Y.; Liu, Z.; Shao, Y.; Liu, L.; Chen, K.; Zhao, H.; You, S.; He, M. Garnet Geochronology, Major and Trace Element Geochemistry of the Huanggangliang Fe-Sn Polymetallic Deposit, NE China. Ore Geol. Rev. 2024, 168, 106048. [Google Scholar] [CrossRef]
- Mao, J.W.; Xie, G.Q.; Zhang, Z.H.; Li, X.F.; Wang, X.T.; Zhang, C.Q.; Li, Y.F. Mesozoic large-scale metallogenic pulses in North China and corresponding gcadynalllie settings. Acta Petrol. Sin. 2005, 21, 171–190. (In Chinese) [Google Scholar]
- Bonin, B.; Azzouni-Sekkal, A.; Bussy, F.; Ferrag, S. Alkali-Calcic and Alkaline Post-Orogenic (PO) Granite Magmatism: Petrologic Constraints and Geodynamic Settings. Lithos 1998, 45, 45–70. [Google Scholar] [CrossRef]
- Wang, J.F.; Li, Y.J.; Li, H.Y.; Dong, P.P. Zircon U-Pb dating of the Shijiangshan Late Jurassic-Early Cretaceous A-type granite in Xi Ujimqin Banner of Inner Mongolia and its tectonic setting. Geol. Bull. China 2018, 37, 382–396. (In Chinese) [Google Scholar]
- Deng, C.; Sun, D.; Han, J.; Chen, H.; Li, G.; Xiao, B.; Li, R.; Feng, Y.; Li, C.; Lu, S. Late-Stage Southwards Subduction of the Mongol-Okhotsk Oceanic Slab and Implications for Porphyry Cu Mo Mineralization: Constraints from Igneous Rocks Associated with the Fukeshan Deposit, NE China. Lithos 2019, 326, 341–357. [Google Scholar] [CrossRef]
- Deng, C.; Sun, D.; Ping, X.; Huang, H.; Zhang, L.; Lu, S. Geochemistry of Early Cretaceous Volcanic Rocks in the Northeastern Great Xing’an Range, Northeast China and Implication for Geodynamic Setting. Int. Geol. Rev. 2019, 61, 1594–1612. [Google Scholar] [CrossRef]
- Pearce, J.A.; Harris, N.B.W.; Tindle, A.G. Trace Element Discrimination Diagrams for the Tectonic Interpretation of Granitic Rocks. J. Petrol. 1984, 25, 957–983. [Google Scholar] [CrossRef]
- Batchelor, R.A.; Bowden, P. Petrogenetic Interpretation of Granitoid Rock Series Using Multicationic parameters. Chem. Geol. 1985, 48, 43–55. [Google Scholar] [CrossRef]
- Mo, S.G.; Han, M.L.; Li, J.T. Compositions and Orogenic Processes of Mongolia-Okhotsk Orogen. J. Shandong Univ. Sci. Technol. 2005, 24, 50–52+64. (In Chinese) [Google Scholar]
- Zhao, P.; Xue, B.; Chen, Y. Mongolia-Okhotsk Ocean: Evolution and final closure. Sci. Sin. Terrae 2023, 53, 2541–2559. (In Chinese) [Google Scholar]
- Kong, J.G.; Zhang, G.B.; Zhang, W.D.; Wang, Q.L.; Dong, J.S.; Chen, X.K.; He, Y.L. Geochronology and geochemistry of Late Jurassic granodiorite in Huma area of northern segment of Da Hinggan Ling (Mts): Constraints on tectonic evolution of Mongolia-Okhotsk Ocean. World Geol. 2024, 43, 171–192. (In Chinese) [Google Scholar]
- Zhao, P.; Xu, B.; Chen, Y. Evolution and Final Closure of the Mongol-Okhotsk Ocean. Sci. China Earth Sci. 2023, 66, 2497–2513. [Google Scholar] [CrossRef]
- Sorokin, A.A.; Zaika, V.A.; Kovach, V.P.; Kotov, A.B.; Xu, W.; Yang, H. Timing of Closure of the Eastern Mongol–Okhotsk Ocean: Constraints from U–Pb and Hf Isotopic Data of Detrital Zircons from Metasediments along the Dzhagdy Transect. Gondwana Res. 2020, 81, 58–78. [Google Scholar] [CrossRef]
- Wang, T. Granitic Record of the Assembly of the Asian Continent. Earth-Sci. Rev. 2023, 237, 104298. [Google Scholar] [CrossRef]
- Zhang, G.; Xie, W.; Wen, S.; Gong, E.; Guo, R.; Tang, T. Petrogenesis and Tectonic Implications of Late Mesozoic Volcanic Rocks in the Northern and Central Great Xing’an Range, NE China: Constraints from Geochronology and Geochemistry. Geol. J. 2020, 55, 8282–8308. [Google Scholar] [CrossRef]
- Feng, Z.; Sun, D.; Yue, Y.; Mao, A.; Tian, L.; Sun, C.; Gou, J. Petrogenesis of Highly Differentiated I-type Volcanic Rocks: Reinjection of High-temperature Magma—An Example from Suolun Silicic Volcanic Rocks, Central Great Xing’an Range, China. Geol. J. 2020, 55, 6677–6695. [Google Scholar] [CrossRef]












| Spot no | Th | U | Th/U | Isotopic Ratios | Ages/Ma | ||||||||||
|---|---|---|---|---|---|---|---|---|---|---|---|---|---|---|---|
| ppm | 207Pb/ 206Pb | 2σ | 207Pb/ 235U | 2σ | 206Pb/238U | 2σ | 207Pb/ 206Pb | 2σ | 207Pb/ 235U | 2σ | 206Pb/ 238U | 2σ | |||
| 1 | 17,943 | 20,851 | 0.86 | 0.05009 | 0.00143 | 0.15124 | 0.00424 | 0.02194 | 0.00073 | 194.2 | 65 | 142.9 | 3 | 139.8 | 4 |
| 2 | 10,980 | 18,028 | 0.61 | 0.05141 | 0.00520 | 0.15372 | 0.01734 | 0.02177 | 0.00088 | 233.7 | 204 | 144.9 | 15 | 138.8 | 5 |
| 3 | 517 | 1183 | 0.44 | 0.04854 | 0.00294 | 0.15701 | 0.01229 | 0.02327 | 0.00091 | 99.9 | 141 | 147.8 | 10 | 148.3 | 5 |
| 4 | 19,905 | 22,280 | 0.89 | 0.04890 | 0.00168 | 0.14996 | 0.00624 | 0.02207 | 0.00052 | 133.9 | 76 | 141.8 | 5 | 140.7 | 3 |
| 5 | 20,491 | 20,521 | 1.00 | 0.10715 | 0.01627 | 0.36604 | 0.06512 | 0.02406 | 0.00100 | 142.6 | 6 | 311.8 | 48 | 153.2 | 6 |
| 6 | 5794 | 9923 | 0.58 | 0.10375 | 0.00743 | 0.33923 | 0.02593 | 0.02325 | 0.00072 | 138.4 | 4 | 306.9 | 29 | 148.1 | 4 |
| 7 | 9450 | 12,379 | 0.76 | 0.16725 | 0.01708 | 0.60814 | 0.06224 | 0.02584 | 0.00041 | 141.2 | 6 | 479.7 | 37 | 164.4 | 2 |
| 8 | 23,602 | 24,131 | 0.98 | 0.07229 | 0.00612 | 0.23114 | 0.01995 | 0.02275 | 0.00050 | 140.9 | 3 | 210.6 | 16 | 145.0 | 3 |
| 9 | 10,398 | 15,640 | 0.66 | 0.04796 | 0.00102 | 0.14508 | 0.00425 | 0.02157 | 0.00074 | 93.0 | 49 | 137.5 | 3 | 137.5 | 4 |
| 10 | 25,022 | 24,946 | 1.00 | 0.05026 | 0.00133 | 0.15159 | 0.00434 | 0.02165 | 0.00049 | 201.3 | 58 | 143.2 | 3 | 138.0 | 3 |
| 11 | 11,080 | 15,595 | 0.71 | 0.10658 | 0.01431 | 0.35909 | 0.05592 | 0.02409 | 0.00106 | 142.9 | 7 | 308.1 | 39 | 153.4 | 6 |
| Sample | CY12-M1 | CY12-M2 | CY12-M3 | CY12-M4 | CY12-M5 | CY13-M1 | CY13-M2 | CY13-M3 |
|---|---|---|---|---|---|---|---|---|
| SiO2 | 44.2 | 45.4 | 43.9 | 42.3 | 46.3 | 45.23 | 45.1 | 45.4 |
| TiO2 | 0.11 | 0.25 | 0.13 | 0.40 | 0.14 | 0.29 | 0.23 | 0.01 |
| Al2O3 | 34.2 | 31.1 | 33.1 | 31.2 | 32.5 | 35.8 | 32.1 | 34.6 |
| FeO | 5.05 | 4.50 | 4.58 | 6.65 | 3.58 | 2.75 | 4.55 | 4.50 |
| MnO | 0.11 | 0.09 | 0.08 | 0.17 | 0.12 | 0.08 | 0.08 | 0.18 |
| MgO | 0.76 | 3.02 | 1.24 | 1.95 | 2.00 | 1.18 | 2.11 | 0.97 |
| CaO | 0.01 | 0.01 | 0.08 | 0.02 | 0.02 | 0.01 | 0.02 | 0.00 |
| Na2O | 0.20 | 0.14 | 0.10 | 0.13 | 0.16 | 0.16 | 0.18 | 0.10 |
| K2O | 10.8 | 10.7 | 8.5 | 9.8 | 10.3 | 10.6 | 10.6 | 10.8 |
| Cr2O3 | 0.01 | 0.02 | 0.00 | 0.05 | 0.00 | 0.00 | 0.02 | 0.02 |
| F | 2.35 | 2.94 | 2.08 | 2.75 | 2.55 | 1.92 | 2.37 | 2.24 |
| Cl | 0.00 | 0.01 | 0.00 | 0.06 | 0.02 | 0.02 | 0.01 | 0.00 |
| Total | 96.8 | 96.9 | 93.0 | 94.2 | 96.6 | 97.2 | 96.4 | 97.9 |
| Number of cations calculated on the basis of 11 oxygen atoms | ||||||||
| Si | 2.94 | 3.00 | 2.99 | 2.91 | 3.04 | 2.95 | 3.00 | 2.97 |
| AlIV | 1.05 | 0.99 | 1.00 | 1.08 | 0.95 | 1.04 | 0.99 | 1.02 |
| AlVI | 1.62 | 1.43 | 1.65 | 1.44 | 1.56 | 1.71 | 1.52 | 1.64 |
| Ti | 0.01 | 0.01 | 0.01 | 0.02 | 0.006 | 0.01 | 0.01 | 0.01 |
| Fe3+ | 0.28 | 0.24 | 0.26 | 0.38 | 0.19 | 0.15 | 0.25 | 0.24 |
| Mn | 0.010 | 0.005 | 0.004 | 0.009 | 0.006 | 0.004 | 0.004 | 0.010 |
| Mg | 0.07 | 0.29 | 0.12 | 0.20 | 0.19 | 0.11 | 0.20 | 0.09 |
| Ca | 0.001 | 0.001 | 0.005 | 0.001 | 0.001 | 0.001 | 0.001 | 0.000 |
| Na | 0.02 | 0.01 | 0.01 | 0.01 | 0.02 | 0.02 | 0.02 | 0.01 |
| K | 0.91 | 0.90 | 0.74 | 0.86 | 0.86 | 0.88 | 0.90 | 0.90 |
| Total | 6.93 | 6.92 | 6.81 | 6.93 | 6.86 | 6.90 | 6.93 | 6.91 |
| MF | 0.20 | 0.53 | 0.32 | 0.33 | 0.49 | 0.42 | 0.44 | 0.26 |
| AlVI + Fe3+ + Ti | 1.91 | 1.69 | 1.92 | 1.84 | 1.77 | 1.87 | 1.79 | 1.89 |
| Fe2+ + Mn | 0.006 | 0.005 | 0.004 | 0.009 | 0.006 | 0.004 | 0.004 | 0.010 |
| Ti/(Mg + Fe + Ti + Mn) | 0.01 | 0.02 | 0.01 | 0.03 | 0.01 | 0.05 | 0.02 | 0.01 |
| Al/(Al + Mg + Fe + Ti + Mn + Si) | 0.44 | 0.40 | 0.43 | 0.41 | 0.42 | 0.45 | 0.41 | 0.44 |
| Li | 1.44 | 1.60 | 1.40 | 1.19 | 1.72 | 1.58 | 1.56 | 1.60 |
| Li2O | 3.11 | 3.40 | 3.02 | 2.56 | 3.72 | 3.41 | 3.37 | 3.46 |
| Mg − Li | −1.37 | −1.31 | −1.28 | −0.99 | −1.53 | −1.47 | −1.35 | −1.51 |
| Fe + Mn + Ti − AlIV | −1.33 | −1.16 | −1.38 | −1.03 | −1.35 | −1.54 | −1.25 | −1.38 |
| Sample | CY12-P1 | CY12-P2 | CY12-P3 | CY12-M4 | CY13-P1 | CY13-P2 | CY13-P3 | CY13-P4 | CY13-P5 |
|---|---|---|---|---|---|---|---|---|---|
| SiO2 | 70.1 | 69.0 | 68.9 | 69.7 | 66.7 | 67.6 | 69.3 | 69.5 | 69.3 |
| Al2O3 | 20.3 | 19.3 | 19.8 | 20.4 | 20.7 | 20.2 | 19.8 | 19.7 | 20.1 |
| CaO | 0.49 | 0.18 | 0.41 | 0.66 | 0.42 | 0.70 | 0.38 | 0.27 | 0.48 |
| Na2O | 11.3 | 11.7 | 11.3 | 11.3 | 11.1 | 11.6 | 10.8 | 11.7 | 11.4 |
| K2O | 0.13 | 0.12 | 0.16 | 0.16 | 0.15 | 0.14 | 0.12 | 0.14 | 0.15 |
| TiO2 | 0.00 | 0.00 | 0.00 | 0.00 | 0.00 | 0.00 | 0.00 | 0.00 | 0.01 |
| FeO | 0.01 | 0.00 | 0.01 | 0.03 | 0.06 | 0.01 | 0.01 | 0.01 | 0.01 |
| MgO | 0.00 | 0.01 | 0.00 | 0.01 | 0.00 | 0.00 | 0.01 | 0.01 | 0.00 |
| Total | 102.4 | 100.4 | 100.6 | 102.2 | 99.1 | 100.3 | 100.4 | 101.3 | 101.4 |
| Number of cations calculated on the basis of 8 oxygen atoms | |||||||||
| Si | 2.98 | 3.00 | 2.99 | 2.97 | 2.94 | 2.95 | 3.00 | 2.99 | 2.98 |
| Al | 1.02 | 0.99 | 1.01 | 1.02 | 1.07 | 1.04 | 1.01 | 1.00 | 1.02 |
| Ca | 0.02 | 0.01 | 0.01 | 0.03 | 0.01 | 0.03 | 0.01 | 0.01 | 0.02 |
| Na | 0.93 | 0.98 | 0.95 | 0.93 | 0.94 | 0.98 | 0.90 | 0.97 | 0.95 |
| K | 0.007 | 0.006 | 0.008 | 0.008 | 0.008 | 0.007 | 0.006 | 0.007 | 0.008 |
| An | 2.32 | 0.84 | 1.95 | 3.10 | 2.03 | 3.20 | 1.89 | 1.25 | 2.25 |
| Ab | 96.9 | 98.5 | 97.1 | 96.0 | 97.1 | 96.0 | 97.3 | 97.9 | 96.9 |
| Or | 0.73 | 0.66 | 0.91 | 0.89 | 0.86 | 0.76 | 0.71 | 0.77 | 0.84 |
| XAn | 0.02 | 0.008 | 0.02 | 0.03 | 0.02 | 0.03 | 0.02 | 0.01 | 0.02 |
| XAb | 0.97 | 0.99 | 0.97 | 0.96 | 0.97 | 0.96 | 0.97 | 0.98 | 0.97 |
| ω(H2O)/% | 9.57 | 10.1 | 9.01 | 8.61 | 11.1 | 8.12 | 10.3 | 10.5 | 9.44 |
| t(°C) | 725 | 698 | 739 | 763 | 689 | 778 | 705 | 691 | 729 |
| P(MPa) | 382 | 347 | 400 | 435 | 321 | 454 | 353 | 313 | 392 |
| Sample | CY12-K1 | CY12-K2 | CY12-K3 | CY12-K4 | CY12-K5 | CY13-K1 | CY13-K2 | CY13-K3 | CY13-K4 | CY13-K5 |
|---|---|---|---|---|---|---|---|---|---|---|
| SiO2 | 64.5 | 64.4 | 64.7 | 64.4 | 64.3 | 64.6 | 64.9 | 64.6 | 64.4 | 64.9 |
| Al2O3 | 18.1 | 18.3 | 18.1 | 18.0 | 18.2 | 18.3 | 18.4 | 18.2 | 18.2 | 18.3 |
| CaO | 0.01 | 0.01 | 0.00 | 0.00 | 0.00 | 0.00 | 0.00 | 0.00 | 0.00 | 0.01 |
| Na2O | 0.41 | 0.22 | 0.27 | 0.27 | 0.23 | 0.55 | 0.38 | 0.34 | 0.47 | 0.81 |
| K2O | 15.9 | 16.7 | 16.7 | 16.4 | 16.2 | 16.1 | 16.6 | 16.6 | 16.3 | 16.1 |
| TiO2 | 0.00 | 0.01 | 0.01 | 0.00 | 0.01 | 0.00 | 0.00 | 0.03 | 0.00 | 0.00 |
| FeO | 0.02 | 0.02 | 0.01 | 0.02 | 0.04 | 0.02 | 0.04 | 0.02 | 0.03 | 0.03 |
| MgO | 0.00 | 0.01 | 0.00 | 0.00 | 0.00 | 0.00 | 0.00 | 0.00 | 0.02 | 0.00 |
| Total | 98.9 | 99.6 | 99.9 | 99.2 | 99.0 | 99.6 | 100.3 | 99.8 | 99.5 | 100.1 |
| Number of cations calculated on the basis of 8 oxygen atoms | ||||||||||
| Si | 3.00 | 2.99 | 3.00 | 3.00 | 3.00 | 2.99 | 2.99 | 2.99 | 2.99 | 2.99 |
| Al | 0.99 | 1.00 | 0.99 | 0.99 | 1.00 | 1.00 | 1.00 | 0.99 | 0.99 | 0.99 |
| Ca | 0.0005 | 0.0005 | 0.00 | 0.00 | 0.00 | 0.00 | 0.00 | 0.00 | 0.00 | 0.0005 |
| Na | 0.03 | 0.01 | 0.02 | 0.02 | 0.02 | 0.04 | 0.03 | 0.03 | 0.04 | 0.07 |
| K | 0.94 | 0.99 | 0.98 | 0.97 | 0.96 | 0.95 | 0.97 | 0.98 | 0.96 | 0.94 |
| An | 0.05 | 0.05 | 0.00 | 0.00 | 0.00 | 0.00 | 0.00 | 0.00 | 0.00 | 0.05 |
| Ab | 3.77 | 1.96 | 2.40 | 2.44 | 2.11 | 4.94 | 3.36 | 3.02 | 4.20 | 7.10 |
| Or | 96.1 | 97.9 | 97.6 | 97.5 | 97.8 | 95.0 | 96.6 | 96.9 | 95.8 | 92.8 |
| Sample No. | CY10 | CY11 | CY12 | CY13 | CY14 | CY15 | CY16 | CY17 |
|---|---|---|---|---|---|---|---|---|
| SiO2 | 77.1 | 76.9 | 77.9 | 78.7 | 79.1 | 77.8 | 76.9 | 77.1 |
| Al2O3 | 12.4 | 12.6 | 11.9 | 12.2 | 12.2 | 12.1 | 12.3 | 12.2 |
| FeOT | 0.22 | 0.31 | 0.74 | 0.20 | 0.41 | 0.42 | 0.51 | 0.40 |
| Na2O | 3.55 | 4.60 | 3.74 | 3.91 | 3.36 | 3.90 | 4.09 | 3.78 |
| MgO | 0.05 | 0.05 | 0.09 | 0.03 | 0.08 | 0.05 | 0.05 | 0.06 |
| P2O5 | 0.01 | 0.01 | 0.01 | 0.01 | 0.01 | 0.02 | 0.01 | 0.01 |
| K2O | 4.86 | 3.98 | 3.89 | 4.40 | 3.99 | 4.33 | 4.22 | 4.44 |
| CaO | 0.66 | 0.49 | 0.45 | 0.25 | 0.43 | 0.22 | 0.35 | 0.30 |
| TiO2 | 0.05 | 0.04 | 0.05 | 0.06 | 0.05 | 0.05 | 0.04 | 0.04 |
| MnO | 0.01 | 0.01 | 0.02 | 0.01 | 0.02 | 0.01 | 0.01 | 0.01 |
| LOI | 0.71 | 0.59 | 0.77 | 0.51 | 0.62 | 0.61 | 0.49 | 0.64 |
| Total | 99.7 | 99.7 | 99.8 | 100.6 | 100.5 | 99.6 | 99.3 | 99.3 |
| A/NK | 1.48 | 1.47 | 1.56 | 1.48 | 1.66 | 1.46 | 1.49 | 1.49 |
| A/CNK | 1.37 | 1.39 | 1.47 | 1.43 | 1.57 | 1.42 | 1.43 | 1.44 |
| TZr(°C) | 788 | 760 | 753 | 795 | 814 | 843 | 768 | 854 |
| Rb | 262.5 | 176.8 | 186.4 | 234.4 | 278.1 | 161.2 | 236.1 | 194.3 |
| Sr | 11.3 | 5.90 | 11.7 | 9.00 | 9.41 | 7.02 | 10.8 | 5.58 |
| Ba | 109.4 | 88.9 | 86.4 | 154.5 | 145.1 | 46.4 | 105.5 | 57.2 |
| Th | 19.9 | 7.00 | 11.6 | 15.3 | 20.2 | 26.2 | 17.8 | 25.9 |
| U | 4.12 | 3.48 | 1.60 | 3.12 | 2.86 | 7.20 | 3.20 | 6.79 |
| Nb | 23.8 | 12.9 | 8.80 | 18.8 | 18.3 | 13.7 | 12.9 | 16.4 |
| Ta | 3.08 | 1.74 | 1.13 | 2.35 | 2.43 | 2.05 | 1.52 | 2.02 |
| Zr | 158.8 | 118.8 | 97.3 | 162.2 | 179.9 | 273.3 | 122.3 | 302.1 |
| Hf | 9.70 | 6.07 | 4.57 | 8.76 | 9.51 | 12.7 | 7.08 | 13.8 |
| Co | 1.01 | 2.06 | 5.32 | 0.66 | 0.45 | 1.09 | 1.58 | 0.44 |
| Ni | 0.92 | 1.66 | 3.23 | 2.50 | 0.98 | 1.09 | 0.74 | 0.99 |
| V | 1.26 | 0.86 | 2.38 | 1.81 | 1.42 | 1.53 | 1.29 | 1.29 |
| Sc | 2.49 | 2.05 | 4.42 | 1.85 | 2.84 | 4.16 | 3.78 | 2.44 |
| Cu | 2.46 | 1.78 | 12.0 | 2.88 | 1.93 | 5.12 | 5.67 | 3.28 |
| Pb | 11.9 | 12.2 | 13.8 | 10.8 | 5.88 | 20.0 | 14.1 | 31.4 |
| La | 12.6 | 11.4 | 20.6 | 15.4 | 17.4 | 16.1 | 22.5 | 19.3 |
| Ce | 21.6 | 18.5 | 40.8 | 23.2 | 26.4 | 25.9 | 34.3 | 27.2 |
| Pr | 4.33 | 3.60 | 7.47 | 5.07 | 5.47 | 5.64 | 7.30 | 6.53 |
| Nd | 13.3 | 11.0 | 22.3 | 15.8 | 15.4 | 17.1 | 22.0 | 20.0 |
| Sm | 2.74 | 2.14 | 3.81 | 2.98 | 3.09 | 3.56 | 4.43 | 4.43 |
| Eu | 0.12 | 0.08 | 0.14 | 0.17 | 0.18 | 0.08 | 0.15 | 0.11 |
| Gd | 2.69 | 1.95 | 3.45 | 2.60 | 2.85 | 3.17 | 3.90 | 4.06 |
| Tb | 0.52 | 0.34 | 0.49 | 0.41 | 0.49 | 0.57 | 0.63 | 0.79 |
| Dy | 2.60 | 1.54 | 1.90 | 1.64 | 2.17 | 2.51 | 2.65 | 3.80 |
| Ho | 0.68 | 0.38 | 0.43 | 0.39 | 0.52 | 0.60 | 0.61 | 0.94 |
| Er | 1.77 | 1.03 | 1.07 | 0.97 | 1.33 | 1.51 | 1.48 | 2.46 |
| Tm | 0.31 | 0.19 | 0.18 | 0.16 | 0.24 | 0.27 | 0.25 | 0.46 |
| Yb | 1.78 | 1.11 | 0.99 | 0.93 | 1.42 | 1.45 | 1.42 | 2.57 |
| Lu | 0.34 | 0.21 | 0.18 | 0.18 | 0.28 | 0.28 | 0.27 | 0.51 |
| DI | 96.1 | 97.2 | 95.7 | 97.7 | 95.4 | 97.6 | 96.9 | 97.0 |
| SI | 0.63 | 0.59 | 1.16 | 0.44 | 1.03 | 0.62 | 0.65 | 0.72 |
| ΣREE | 65.6 | 53.5 | 103.9 | 70.0 | 77.3 | 78.8 | 102.1 | 93.3 |
| LREE | 54.8 | 46.8 | 95.3 | 62.7 | 68.0 | 68.4 | 90.8 | 77.6 |
| HREE | 10.7 | 6.79 | 8.73 | 7.32 | 9.34 | 10.3 | 11.2 | 15.6 |
| LREE/HREE | 5.11 | 6.90 | 10.9 | 8.58 | 7.29 | 6.59 | 8.08 | 4.97 |
| Eu/Eu* | 0.14 | 0.13 | 0.12 | 0.19 | 0.19 | 0.08 | 0.12 | 0.08 |
| LaN/YbN | 5.06 | 7.35 | 14.8 | 11.8 | 8.77 | 7.96 | 11.3 | 5.38 |
| TE1,3 | 0.95 | 0.95 | 0.90 | 0.92 | 0.95 | 0.95 | 0.93 | 0.97 |
| Deposit | Metal Assemblage | Ore-Causative Intrusion (Ma) | Mineralization (Ma) | References |
|---|---|---|---|---|
| Daolundaba | Cu–W–Sn–Ag | Zircon U–Pb 134–136Ma | Cassiterite U-Pb 134.7 ± 2.8Ma | Chen et al. [40]; Wu et al. [41] |
| Weilasituo | Sn–Li–Rb–Cu–Zn | Zircon U–Pb 137–138Ma | Cassiterite U-Pb 135 ± 6Ma | Wang et al. [42] |
| Huangganliang | Sn–Fe | Zircon U–Pb 136.8 ± 0.57Ma | Molybdenite Re-Os 134.9 ± 5.2Ma | Zhai et al. [43]; Zhou et al. [44] |
| Baiyinhan | W–Mo | Zircon U–Pb 139.1 ± 2.5Ma | Molybdenite Re-Os 139.6 ± 7.6Ma | Wang et al. [45] |
| Dongshanwan | Sn–Ag–Pb–Zn | Zircon U–Pb 142.2 ± 0.9 Ma | Molybdenite Re-Os 141.3 ± 2.7Ma | Zeng et al. [46]; Zhang et al. [47] |
Disclaimer/Publisher’s Note: The statements, opinions and data contained in all publications are solely those of the individual author(s) and contributor(s) and not of MDPI and/or the editor(s). MDPI and/or the editor(s) disclaim responsibility for any injury to people or property resulting from any ideas, methods, instructions or products referred to in the content. |
© 2025 by the authors. Licensee MDPI, Basel, Switzerland. This article is an open access article distributed under the terms and conditions of the Creative Commons Attribution (CC BY) license (https://creativecommons.org/licenses/by/4.0/).
Share and Cite
Song, Y.; Chen, G.; Wu, G.; Li, T.; Zhang, T.; Wang, J.; Li, Y.; Liu, C.; Li, Y.; Wang, Y. Petrogenesis of the Chamuhan Intrusion in the Southern Great Xing’an Range: Constraints from Zircon U-Pb Dating and Petrogeochemistry. Minerals 2025, 15, 1085. https://doi.org/10.3390/min15101085
Song Y, Chen G, Wu G, Li T, Zhang T, Wang J, Li Y, Liu C, Li Y, Wang Y. Petrogenesis of the Chamuhan Intrusion in the Southern Great Xing’an Range: Constraints from Zircon U-Pb Dating and Petrogeochemistry. Minerals. 2025; 15(10):1085. https://doi.org/10.3390/min15101085
Chicago/Turabian StyleSong, Yutong, Gongzheng Chen, Guang Wu, Tiegang Li, Tong Zhang, Jinfang Wang, Yingjie Li, Chenyu Liu, Yuze Li, and Yinlong Wang. 2025. "Petrogenesis of the Chamuhan Intrusion in the Southern Great Xing’an Range: Constraints from Zircon U-Pb Dating and Petrogeochemistry" Minerals 15, no. 10: 1085. https://doi.org/10.3390/min15101085
APA StyleSong, Y., Chen, G., Wu, G., Li, T., Zhang, T., Wang, J., Li, Y., Liu, C., Li, Y., & Wang, Y. (2025). Petrogenesis of the Chamuhan Intrusion in the Southern Great Xing’an Range: Constraints from Zircon U-Pb Dating and Petrogeochemistry. Minerals, 15(10), 1085. https://doi.org/10.3390/min15101085

