Transition of CO2 from Emissions to Sequestration During Chemical Weathering of Ultramafic and Mafic Mine Tailings
Abstract
1. Introduction
2. Study Area
3. Methodology
3.1. Tailings Ponds Status
3.2. Analysis
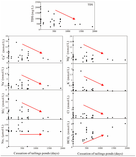
4. Results
4.1. Major Ions
4.2. Temporal Weathering Decline
4.3. Isotopic Geochemistry
5. Discussion
5.1. Sulphide Oxidation
5.1.1. Provenance of SO42−
5.1.2. Sulphide Depletion in the Tailings Ponds
5.2. Carbonate Weathering
5.2.1. Provenance of Carbonates
5.2.2. Deacidification of Tailings Ponds
5.3. Silicate Weathering
5.4. Transitions of CO2 Emissions to Sequestration
5.4.1. CO2 Emissions
5.4.2. Sequestration of CO2 in Tailings Ponds
5.4.3. CO2 Transition from Emissions to Sequestration
6. Conclusions
Supplementary Materials
Author Contributions
Funding
Data Availability Statement
Acknowledgments
Conflicts of Interest
References
- Manning, D.A.; Renforth, P. Passive sequestration of atmospheric CO2 through coupled plant-mineral reactions in urban soils. Environ. Sci. Technol. 2013, 47, 135–141. [Google Scholar] [CrossRef] [PubMed]
- Jorat, M.E.; Kraavi, K.E.; Manning, D.A. Removal of atmospheric CO2 by engineered soils in infrastructure projects. J. Environ. Manag. 2022, 314, 115016. [Google Scholar] [CrossRef]
- Jo, H.-K.; McPherson, G.E. Carbon storage and flux in urban residential greenspace. J. Environ. Manag. 1995, 45, 109–133. [Google Scholar] [CrossRef]
- Walker, J.C.G.; Hays, P.B.; Kasting, J.F. A negative feedback mechanism for the long-term stabilization of Earth's surface temperature. J. Geophys. Res. Ocean. 1981, 86, 9776–9782. [Google Scholar] [CrossRef]
- Hilton, R.G.; West, A.J. Mountains, erosion and the carbon cycle. Nat. Rev. Earth Environ. 2020, 1, 284–299. [Google Scholar] [CrossRef]
- Torres, M.A.; West, A.J.; Li, G. Sulphide oxidation and carbonate dissolution as a source of CO2 over geological timescales. Nature 2014, 507, 346–349. [Google Scholar] [CrossRef] [PubMed]
- Calmels, D.; Gaillardet, J.; Brenot, A.; France-Lanord, C. Sustained sulfide oxidation by physical erosion processes in the Mackenzie River basin: Climatic perspectives. Geology 2007, 35, 1003. [Google Scholar] [CrossRef]
- Berner, E.K.; Berner, R.A. Global Environment: Water, Air, and Geochemical Cycles; Princeton University Press: Princeton, NJ, USA, 2012. [Google Scholar]
- Calmels, D.; Galy, A.; Hovius, N.; Bickle, M.; West, A.J.; Chen, M.-C.; Chapman, H. Contribution of deep groundwater to the weathering budget in a rapidly eroding mountain belt, Taiwan. Earth Planet. Sci. Lett. 2011, 303, 48–58. [Google Scholar] [CrossRef]
- Das, A.; Chung, C.-H.; You, C.-F. Disproportionately high rates of sulfide oxidation from mountainous river basins of Taiwan orogeny: Sulfur isotope evidence. Geophys. Res. Lett. 2012, 39, 51549. [Google Scholar] [CrossRef]
- Torres, M.A.; Moosdorf, N.; Hartmann, J.; Adkins, J.F.; West, A.J. Glacial weathering, sulfide oxidation, and global carbon cycle feedbacks. Proc. Natl. Acad. Sci. USA 2017, 114, 8716–8721. [Google Scholar] [CrossRef]
- Gaillardet, J.; Millot, R.; Dupré, B. Chemical denudation rates of the western Canadian orogenic belt: The Stikine terrane. Chem. Geol. 2003, 201, 257–279. [Google Scholar] [CrossRef]
- Spence, J.; Telmer, K. The role of sulfur in chemical weathering and atmospheric CO2 fluxes: Evidence from major ions, δ13CDIC, and δ34SSO4 in rivers of the Canadian Cordillera. Geochim. Cosmochim. Acta 2005, 69, 5441–5458. [Google Scholar] [CrossRef]
- Zhang, X.; Xu, Z.; Liu, W.; Moon, S.; Zhao, T.; Zhou, X.; Zhang, J.; Wu, Y.; Jiang, H.; Zhou, L. Hydro-Geochemical and Sr Isotope Characteristics of the Yalong River Basin, Eastern Tibetan Plateau: Implications for Chemical Weathering and Controlling Factors. Geochem. Geophys. Geosystems 2019, 20, 1221–1239. [Google Scholar] [CrossRef]
- Ryu, J.-S.; Lee, K.-S.; Chang, H.-W.; Shin, H.S. Chemical weathering of carbonates and silicates in the Han River basin, South Korea. Chem. Geol. 2008, 247, 66–80. [Google Scholar] [CrossRef]
- Li, S.-L.; Chetelat, B.; Yue, F.; Zhao, Z.; Liu, C.-Q. Chemical weathering processes in the Yalong River draining the eastern Tibetan Plateau, China. J. Asian Earth Sci. 2014, 88, 74–84. [Google Scholar] [CrossRef]
- Kelemen, P.B.; Matter, J. In situ carbonation of peridotite for CO2 storage. Proc. Natl. Acad. Sci. USA 2008, 105, 17295–17300. [Google Scholar] [CrossRef]
- Cipolli, F.; Gambardella, B.; Marini, L.; Ottonello, G.; Vetuschi Zuccolini, M. Geochemistry of high-pH waters from serpentinites of the Gruppo di Voltri (Genova, Italy) and reaction path modeling of CO2 sequestration in serpentinite aquifers. Appl. Geochem. 2004, 19, 787–802. [Google Scholar] [CrossRef]
- Wilson, S.A.; Raudsepp, M.; Dipple, G.M. Quantifying carbon fixation in trace minerals from processed kimberlite: A comparative study of quantitative methods using X-ray powder diffraction data with applications to the Diavik Diamond Mine, Northwest Territories, Canada. Appl. Geochem. 2009, 24, 2312–2331. [Google Scholar] [CrossRef]
- Wilson, S.A.; Raudsepp, M.; Dipple, G.M. Verifying and quantifying carbon fixation in minerals from serpentine-rich mine tailings using the Rietveld method with X-ray powder diffraction data. Am. Mineral. 2006, 91, 1331–1341. [Google Scholar] [CrossRef]
- Harrison, A.L.; Power, I.M.; Dipple, G.M. Accelerated carbonation of brucite in mine tailings for carbon sequestration. Environ. Sci. Technol. 2013, 47, 126–134. [Google Scholar] [CrossRef]
- Beinlich, A.; Austrheim, H. In situ sequestration of atmospheric CO2 at low temperature and surface cracking of serpentinized peridotite in mine shafts. Chem. Geol. 2012, 332–333, 32–44. [Google Scholar] [CrossRef]
- McCutcheon, J.; Power, I.M.; Shuster, J.; Harrison, A.L.; Dipple, G.M.; Southam, G. Carbon Sequestration in Biogenic Magnesite and Other Magnesium Carbonate Minerals. Environ. Sci. Technol. 2019, 53, 3225–3237. [Google Scholar] [CrossRef]
- Raade, G. Dypingite, a new hydrous basic carbonate of magnesium, from Norway. Am. Mineral. 1970, 55, 1457–1465. [Google Scholar]
- Power, I.M.; Wilson, S.A.; Thom, J.M.; Dipple, G.M.; Gabites, J.E.; Southam, G. The hydromagnesite playas of Atlin, British Columbia, Canada: A biogeochemical model for CO2 sequestration. Chem. Geol. 2009, 260, 286–300. [Google Scholar] [CrossRef]
- Li, Z.; Liu, L.; Zhao, L.; Ji, J.; Chen, J. Carbon dioxide sequestration by ultramafic-hosted mine tailings: Example from Jinchuan copper-nickel mine tailing. Quat. Sci. 2011, 31, 464–475. (In Chinese) [Google Scholar] [CrossRef]
- Renforth, P.; Manning, D.A.C.; Lopez-Capel, E. Carbonate precipitation in artificial soils as a sink for atmospheric carbon dioxide. Appl. Geochem. 2009, 24, 1757–1764. [Google Scholar] [CrossRef]
- Ferrini, V.; De Vito, C.; Mignardi, S. Synthesis of nesquehonite by reaction of gaseous CO2 with Mg chloride solution: Its potential role in the sequestration of carbon dioxide. J. Hazard. Mater. 2009, 168, 832–837. [Google Scholar] [CrossRef]
- Kularatne, K.; Sissmann, O.; Kohler, E.; Chardin, M.; Noirez, S.; Martinez, I. Simultaneous ex-situ CO2 mineral sequestration and hydrogen production from olivine-bearing mine tailings. Appl. Geochem. 2018, 95, 195–205. [Google Scholar] [CrossRef]
- Power, I.M.; Dipple, G.M.; Bradshaw, P.M.; Harrison, A.L. Prospects for CO2 mineralization and enhanced weathering of ultramafic mine tailings from the Baptiste nickel deposit in British Columbia, Canada. Int. J. Greenh. Gas Control. 2020, 94, 102895. [Google Scholar] [CrossRef]
- Sheng, X.; Ji, J.; Chen, J. Assessment of carbon dioxide sequestration potential of ultramafic rocks in China. Quat. Sci. 2011, 31, 447–454. [Google Scholar]
- Billiton, B. Working for a Sustainable Future-BHP Billiton Health Safety Environment and Community Report Summary Report 2004; Lan, W., Ed.; Sustainable Development and Community Relations, BHP Billiton: Melbourne, Australia, 2004; p. 20. [Google Scholar]
- Wilson, S.A.; Dipple, G.M.; Power, I.M.; Thom, J.M.; Anderson, R.G.; Raudsepp, M.; Gabites, J.E.; Southam, G. Carbon Dioxide Fixation within Mine Wastes of Ultramafic-Hosted Ore Deposits: Examples from the Clinton Creek and Cassiar Chrysotile Deposits, Canada. Econ. Geol. 2009, 104, 95–112. [Google Scholar] [CrossRef]
- Vogeli, J.; Reid, D.L.; Becker, M.; Broadhurst, J.; Franzidis, J.-P. Investigation of the potential for mineral carbonation of PGM tailings in South Africa. Miner. Eng. 2011, 24, 1348–1356. [Google Scholar] [CrossRef]
- Zhou, M.-F.; Arndt, N.T.; Malpas, J.; Wang, C.Y.; Kennedy, A.K. Two magma series and associated ore deposit types in the Permian Emeishan large igneous province, SW China. Lithos 2008, 103, 352–368. [Google Scholar] [CrossRef]
- Zhou, M.-f.; Robinson, P.T.; Lesher, C.M.; Keays, R.R.; Zhang, C.-J.; Malpas, J. Geochemistry, petrogenesis and metallogenesis of the Panzhihua gabbroic layered intrusion and associated Fe–Ti–V oxide deposits, Sichuan Province, SW China. J. Petrol. 2005, 46, 2253–2280. [Google Scholar] [CrossRef]
- Tang, L. Inverstigation on the Mineralization of Tailings with CO2 in the Atmosphere; Sichuan University: Chengdu, China, 2017. (In Chinese) [Google Scholar]
- Meyer, N.; Vögeli, J.; Becker, M.; Broadhurst, J.; Reid, D.; Franzidis, J.-P. Mineral carbonation of PGM mine tailings for CO2 storage in South Africa: A case study. Miner. Eng. 2014, 59, 45–51. [Google Scholar] [CrossRef]
- Liu, J.; Liu, F.; He, J.; Chen, H.; You, Q. Study of seismic tomography in Panxi paleorift area of southwestern China. Sci. China Ser. D: Earth Sci. 2001, 44, 277–288. [Google Scholar] [CrossRef]
- Wang, J.; Pan, B.; Zhang, G.; Cui, H.; Cao, B.; Geng, H. Late Quaternary glacial chronology on the eastern slope of Gongga Mountain, eastern Tibetan Plateau, China. Sci. China Earth Sci. 2012, 56, 354–365. [Google Scholar] [CrossRef]
- PMSC. Climatic Background Analysis of Panzhihua City; PMSC: Panzhihua, China, 2016; pp. 1–3. [Google Scholar]
- Tang, L.; Liu, X.; Wang, X.; Liu, S.; Deng, H. Statistical Analysis of Tailings Ponds in China. J. Geochem. Explor. 2020, 216, 106579. [Google Scholar] [CrossRef]
- Tang, L.; Tim, T.W.; Xie, H.; Yang, J.; Shi, Z. A global-scale spatial assessment and geodatabase of mine areas. Glob. Planet. Change 2021, 204, 103578. [Google Scholar] [CrossRef]
- Tang, L.; Werner, T.T. Global mining footprint mapped from high-resolution satellite imagery. Commun. Earth Environ. 2023, 4, 134. [Google Scholar] [CrossRef]
- Liao, C.; Shi, Z.; Wang, D.; Zhang, F.; Xu, W.; Tang, L. Water Chemical Characteristics and the Substance Provenance in Anning River Basin of Sichuan Province. Earth Environ. 2020, 48, 680–688. (In Chinese) [Google Scholar] [CrossRef]
- Millero, F.J.; Zhang, J.-Z.; Lee, K.; Campbell, D.M. Titration alkalinity of seawater. Mar. Chem. 1993, 44, 153–165. [Google Scholar] [CrossRef]
- Ingri, J.; Torssander, P.; Andersson, P.; Mörth, C.-M.; Kusakabe, M. Hydrogeochemistry of sulfur isotopes in the Kalix River catchment, northern Sweden. Appl. Geochem. 1997, 12, 483–496. [Google Scholar] [CrossRef]
- Long, X.; Sun, Z.; Zhou, A.; Liu, D. Hydrogeochemical and isotopic evidence for flow paths of karst waters collected in the Heshang Cave, Central China. J. Earth Sci. 2015, 26, 149–156. [Google Scholar] [CrossRef]
- Veetil, S.P.; Mucci, A.; Arakaki, T. Dolomite dissolution kinetics in aqueous solutions in the presence of organic and inorganic additives at 25 °C and pCO2 ~1 atm. Chem. Geol. 2018, 483, 98–110. [Google Scholar] [CrossRef]
- Plaza-Cazon, J.; Benitez, L.; Murray, J.; Kirschbaum, P.; Donati, E. Influence of Extremophiles on the Generation of Acid Mine Drainage at the Abandoned Pan de Azucar Mine (Argentina). Microorganisms 2021, 9, 281. [Google Scholar] [CrossRef]
- Chetelat, B.; Liu, C.Q.; Zhao, Z.Q.; Wang, Q.L.; Li, S.L.; Li, J.; Wang, B.L. Geochemistry of the dissolved load of the Changjiang Basin rivers: Anthropogenic impacts and chemical weathering. Geochim. Cosmochim. Acta 2008, 72, 4254–4277. [Google Scholar] [CrossRef]
- Gou, L.-F.; Jin, Z.; Galy, A.; Gong, Y.-Z.; Nan, X.-Y.; Jin, C.; Wang, X.-D.; Bouchez, J.; Cai, H.-M.; Chen, J.-B.; et al. Seasonal riverine barium isotopic variation in the middle Yellow River: Sources and fractionation. Earth Planet. Sci. Lett. 2020, 531, 115990. [Google Scholar] [CrossRef]
- Gou, L.-F.; Jin, Z.; Pogge von Strandmann, P.A.E.; Li, G.; Qu, Y.-X.; Xiao, J.; Deng, L.; Galy, A. Li isotopes in the middle Yellow River: Seasonal variability, sources and fractionation. Geochim. Cosmochim. Acta 2019, 248, 88–108. [Google Scholar] [CrossRef]
- Xu, Z.; Huang, R. The assessment of the intensity of Emeishan basalt weathering based on rock blocks (Ⅱ): Hydrogeochemistry of the groudwater in the basalt slop and basalt soaking solution. Geol. China 2013, 40, 1298–1306. [Google Scholar]
- Naidu, G.; Ryu, S.; Thiruvenkatachari, R.; Choi, Y.; Jeong, S.; Vigneswaran, S. A critical review on remediation, reuse, and resource recovery from acid mine drainage. Environ. Pollut. 2019, 247, 1110–1124. [Google Scholar] [CrossRef]
- Pang, K.-N.; Zhou, M.-F.; Lindsley, D.; Zhao, D.; Malpas, J. Origin of Fe–Ti oxide ores in mafic intrusions: Evidence from the Panzhihua intrusion, SW China. J. Petrol. 2008, 49, 295–313. [Google Scholar] [CrossRef]
- Yucel, D.S. Characterization and comparison of mine wastes in Can Coal Basin, northwest Turkey: A case study. Environ. Earth Sci. 2019, 78, 1–19. [Google Scholar] [CrossRef]
- Olias, M.; Canovas, C.R.; Basallote, M.; Macias, F.; Perez-Lopez, R.; Gonzalez, R.M.; Millan-Becerro, R.; Nieto, J.M. Causes and impacts of a mine water spill from an acidic pit lake (Iberian Pyrite Belt). Environ. Pollut. 2019, 250, 127–136. [Google Scholar] [CrossRef] [PubMed]
- Bai, Z.-J.; Zhong, H.; Li, C.; Zhu, W.-G.; He, D.-F.; Qi, L. Contrasting parental magma compositions for the Hongge and Panzhihua magmatic Fe-Ti-V oxide deposits, Emeishan large igneous province, SW China. Econ. Geol. 2014, 109, 1763–1785. [Google Scholar] [CrossRef]
- Cameron, E.M.; Hall, G.E.; Veizer, J.; Krouse, H.R. Isotopic and elemental hydrogeochemistry of a major river system: Fraser River, British Columbia, Canada. Chem. Geol. 1995, 122, 149–169. [Google Scholar] [CrossRef]
- Szynkiewicz, A.; Borrok, D.M.; Skrzypek, G.; Rearick, M.S. Isotopic studies of the Upper and Middle Rio Grande. Part 1—Importance of sulfide weathering in the riverine sulfate budget. Chem. Geol. 2015, 411, 323–335. [Google Scholar] [CrossRef]
- Burke, W.; Denison, R.; Hetherington, E.; Koepnick, R.; Nelson, H.; Otto, J. Variation of seawater 87Sr/86Sr throughout Phanerozoic time. Geology 1982, 10, 516–519. [Google Scholar] [CrossRef]
- Abrosimova, N.; Gaskova, O.; Loshkareva, A.; Edelev, A.; Bortnikova, S. Assessment of the acid mine drainage potential of waste rocks at the Ak-Sug porphyry Cu–Mo deposit. J. Geochem. Explor. 2015, 157, 1–14. [Google Scholar] [CrossRef]
- Spellman, C.D., Jr.; Tasker, T.L.; Strosnider, W.H.J.; Goodwill, J.E. Abatement of circumneutral mine drainage by Co-treatment with secondary municipal wastewater. J. Environ. Manag. 2020, 271, 110982. [Google Scholar] [CrossRef] [PubMed]
- Ganino, C.; Arndt, N.T. Climate changes caused by degassing of sediments during the emplacement of large igneous provinces. Geology 2009, 37, 323–326. [Google Scholar] [CrossRef]
- Ganino, C.; Harris, C.; Arndt, N.T.; Prevec, S.A.; Howarth, G.H. Assimilation of carbonate country rock by the parent magma of the Panzhihua Fe-Ti-V deposit (SW China): Evidence from stable isotopes. Geosci. Front. 2013, 4, 547–554. [Google Scholar] [CrossRef]
- Ganino, C.; Arndt, N.T.; Zhou, M.-F.; Gaillard, F.; Chauvel, C. Interaction of magma with sedimentary wall rock and magnetite ore genesis in the Panzhihua mafic intrusion, SW China. Miner. Depos. 2008, 43, 677–694. [Google Scholar] [CrossRef]
- Xing, C.; Wang, C.Y.; Zhang, M. Volatile and CHO isotopic compositions of giant Fe-Ti-V oxide deposits in the Panxi region and their implications for the sources of volatiles and the origin of Fe-Ti oxide ores. Sci. China Earth Sci. 2012, 55, 1782–1795. [Google Scholar] [CrossRef]
- Anderson, S.P.; Drever, J.I.; Frost, C.D.; Holden, P. Chemical weathering in the foreland of a retreating glacier. Geochim. Cosmochim. Acta 2000, 64, 1173–1189. [Google Scholar] [CrossRef]
- Busenberg, E.; Plummer, N. The kinetics of dissolution of dolomite in CO2-H2O systems at 1.5 to 65°C and 0 to 1 atm PCO2. Am. J. Sci. 1982, 282, 45–78. [Google Scholar] [CrossRef]
- Davis, K.J.; Nealson, K.H.; Lüttge, A. Calcite and dolomite dissolution rates in the context of microbe–mineral surface interactions. Geobiology 2007, 5, 191–205. [Google Scholar] [CrossRef]
- Gautelier, M.; Oelkers, E.H.; Schott, J. An experimental study of dolomite dissolution rates as a function of pH from -0.5 to 5 and temperature from 25 to 80 °C. Chem. Geol. 1999, 157, 13–26. [Google Scholar] [CrossRef]
- Jurjovec, J.; Blowes, D.; Ptacek, C.J. Acid Neutralization in Mill Tailings and the Effect of Natrojarosite Addition; Environment Canada, Water Science and Technology Directorate Environnement: Gatineau, QC, Canada, 1995. [Google Scholar]
- Blowes, D.; Ptacek, C. Acid-Neutralization Mechanisms in Inactive Mine Tailings; National Water Research Institute: Fountain Valley, CA, USA, 1994. [Google Scholar]
- Palandri, J.L.; Kharaka, Y.K. A Compilation of Rate Parameters of Water-Mineral Interaction Kinetics for Application to Geochemical Modeling; Geological Survey: Menlo Park, CA, USA, 2004. [Google Scholar]
- Chukwura, U.O.; Hursthouse, A.S. Evaluating controls on potentially toxic element release in circum-neutral mine water: A case study from the abandoned Pb–Zn mines of Leadhills and Wanlockhead, South of Scotland, United Kingdom. Environ. Earth Sci. 2020, 79, 1–13. [Google Scholar] [CrossRef]
- Jurjovec, J.; Ptacek, C.J.; Blowes, D.W. Acid neutralization mechanisms and metal release in mine tailings: A laboratory column experiment. Geochim. Cosmochim. Acta 2002, 66, 1511–1523. [Google Scholar] [CrossRef]
- Dansgaard, W. Stable isotopes in precipitation. Tellus 1964, 16, 436–468. [Google Scholar] [CrossRef]
- Luis, A.T.; Cordoba, F.; Antunes, C.; Loayza-Muro, R.; Grande, J.A.; Silva, B.; Diaz-Curiel, J.; Ferreira da Silva, E. Extremely Acidic Eukaryotic (Micro) Organisms: Life in Acid Mine Drainage Polluted Environments-Mini-Review. Int. J. Environ. Res. Public Health 2022, 19, 376. [Google Scholar] [CrossRef] [PubMed]
- Viadero, R.C., Jr.; Zhang, S.; Hu, X.; Wei, X. Mine drainage: Remediation technology and resource recovery. Water Environ. Res. 2020, 92, 1533–1540. [Google Scholar] [CrossRef] [PubMed]
- Al, T.A.; Martin, C.J.; Blowes, D.W. Carbonate-mineral/water interactions in sulfide-rich mine tailings. Geochim. Cosmochim. Acta 2000, 64, 3933–3948. [Google Scholar] [CrossRef]
- Sun, L.; Werner, T.; Yang, F.; Xu, W.; Tang, L. CO2 fluxes in the chemical weathering of carbonate-hosted tailings ponds, Panxi valley, Sichuan province, China. Environ. Earth Sci. 2022, 81, 392. [Google Scholar] [CrossRef]
- Sasaki, K.; Tsunekawa, M.; Ohtsuka, T.; Konno, H. The role of sulfur-oxidizing bacteria Thiobacillus thiooxidans in pyrite weathering. Colloids Surf. A Physicochem. Eng. Asp. 1998, 133, 269–278. [Google Scholar] [CrossRef]
- Kefeni, K.K.; Msagati, T.A.; Mamba, B.B. Acid mine drainage: Prevention, treatment options, and resource recovery: A review. J. Clean. Prod. 2017, 151, 475–493. [Google Scholar] [CrossRef]
- Zhou, J.-X.; Luo, K.; Wang, X.-C.; Wilde, S.A.; Wu, T.; Huang, Z.-L.; Cui, Y.-L.; Zhao, J.-X. Ore genesis of the Fule PbZn deposit and its relationship with the Emeishan Large Igneous Province: Evidence from mineralogy, bulk COS and in situ SPb isotopes. Gondwana Res. 2018, 54, 161–179. [Google Scholar] [CrossRef]
- Leybourne, M.; Clark, I.; Goodfellow, W. Stable isotope geochemistry of ground and surface waters associated with undisturbed massive sulfide deposits; constraints on origin of waters and water–rock reactions. Chem. Geol. 2006, 231, 300–325. [Google Scholar] [CrossRef]
- Wilson, S.; Harrison, A.L.; Dipple, G.M.; Power, I.M.; Barker, S.L.; Mayer, K.U.; Fallon, S.J.; Raudsepp, M.; Southam, G. Offsetting of CO2 emissions by air capture in mine tailings at the Mount Keith Nickel Mine, Western Australia: Rates, controls and prospects for carbon neutral mining. Int. J. Greenh. Gas Control 2014, 25, 121–140. [Google Scholar] [CrossRef]
- Ying, J.; Zhou, X.; Zhang, H. Geochemical and isotopic investigation of the Laiwu? Zibo carbonatites from western Shandong Province, China, and implications for their petrogenesis and enriched mantle source. Lithos 2004, 75, 413–426. [Google Scholar] [CrossRef]
- Nelson, D.R.; Chivas, A.R.; Chappell, B.W.; McCulloch, M.T. Geochemical and isotopic systematics in carbonatites and implications for the evolution of ocean-island sources. Geochim. Et Cosmochim. Acta 1988, 52, 1–17. [Google Scholar] [CrossRef]
- Bell, K.; Tilton, G.R. Probing the mantle: The story from carbonatites. Eos Trans. Am. Geophys. Union 2002, 83, 273–277. [Google Scholar] [CrossRef]
- Keller, J.; Hoefs, J. Stable Isotope Characteristics of Recent Natrocarbonatites from Oldoinyo Lengai; Springer: Berlin/Heidelberg, Germany, 1995; pp. 113–123. [Google Scholar]
- Fan, Q.C.; Du, X.X.; Sui, J.L.; Zhao, Y.W. Genesis of carbonatite from Hannuoba and Yangyuan. Acta Petrol. Sin. 2010, 26, 3189–3194. [Google Scholar]
- Wu, F.Y.; Yang, Y.H.; Li, Q.L.; Mitchell, R.H.; Dawson, J.B.; Brandl, G.; Yuhara, M. In situ determination of U–Pb ages and Sr–Nd–Hf isotopic constraints on the petrogenesis of the Phalaborwa carbonatite Complex, South Africa. Lithos 2011, 127, 309–322. [Google Scholar] [CrossRef]
- Deines, P.; Gold, D.P. Isotopic composition of carbonatite and kimberlite carbonates and their bearing on the isotopic composition of deep-seated carbon. Geochim. Et Cosmochim. Acta 1973, 37, 1709–1733. [Google Scholar] [CrossRef]
- Hoernle, K.; Tilton, G.; Le Bas, M.J.; Duggen, S.; Garbe-Schönberg, D. Geochemistry of oceanic carbonatites compared with continental carbonatites: Mantle recycling of oceanic crustal carbonate. Contrib. Mineral. Petrol. 2002, 142, 520–542. [Google Scholar] [CrossRef]
- Howarth, G.H.; Prevec, S.A. Trace element, PGE, and Sr–Nd isotope geochemistry of the Panzhihua mafic layered intrusion, SW China: Constraints on ore-forming processes and evolution of parent magma at depth in a plumbing-system. Geochim. Et Cosmochim. Acta 2013, 120, 459–478. [Google Scholar] [CrossRef]
- Yu, S.Y.; Song, X.Y.; Ripley, E.M.; Li, C.; Chen, L.M.; She, Y.W.; Luan, Y. Integrated O–Sr–Nd isotope constraints on the evolution of four important Fe–Ti oxide ore-bearing mafic–ultramafic intrusions in the Emeishan large igneous province, SW China. Chem. Geol. 2015, 401, 28–42. [Google Scholar] [CrossRef]
- Zhong, H.; Yao, Y.; Prevec, S.A.; Wilson, A.H.; Viljoen, M.J.; Viljoen, R.P.; Liu, B.G.; Luo, Y.N. Trace-element and Sr–Nd isotopic geochemistry of the PGE-bearing Xinjie layered intrusion in SW China. Chem. Geol. 2004, 203 (Suppl. 3–4), 237–252. [Google Scholar] [CrossRef]





| Tailings Ponds | Latitude | Longitude | Closure Time | Occupied Land | Volume | Temperature | TDS | pH | Ca2+ | Mg2+ | Na+ | K+ | Sr2+ | Fe | SO42− | HCO3− | Cl− | NO3− | 87Sr/86Sr | δ34SV-CDT | δ13CDIC-VPDB | Std. Dev | Saturate Index (SI) | SI | CO2 Degas (−) or Absorb (+) | CO2 Degas or Absorb |
|---|---|---|---|---|---|---|---|---|---|---|---|---|---|---|---|---|---|---|---|---|---|---|---|---|---|---|
| Days | 105 m2 | 105 m3 | °C | mg/L | μmol/L | ‰ | FFeOOH | Fe2O3 | Tons/Year | |||||||||||||||||
| Background-1 | 27°7′22″ N | 102°7′54″ E | 194.4 | 6.50 | 1193 | 808 | 173 | 91 | 132 | 3921 | 81 | 0 | ||||||||||||||
| Background-2 | 27°7′28″ N | 102°6′8″ E | 138.1 | 7.21 | 921 | 538 | 86 | 17 | 98 | 2734 | 50 | 41 | ||||||||||||||
| Taihe | 27°55′41″ N | 102°8′18″ E | 0 | 534 | 200 | 20.2 | 962 | 8.11 | 6944 | 5483 | 1506 | 327 | 18 | 0.04 | 11,118 | 5304.3 | 1318 | 96 | 0.7071 | 5.3 | −13.14 | 0.03 | 3.87 | 8.71 | −27,879 | Degas |
| Desheng | 27°2′15″ N | 102°6′35″ E | 0 | 7 | 229 | 21.7 | 740 | 7.96 | 4876 | 4297 | 1525 | 566 | 7 | 0.02 | 3331 | 2466.3 | 1128 | 0 | 0.7062 | 1.7 | −5.93 | 0.03 | 3.62 | 8.22 | −5 | Degas |
| Yuantong | 27°4′3″ N | 102°7′16″ E | 0 | 61 | 10 | 22.1 | 1543 | 5.79 | 8659 | 16,079 | 517 | 771 | 13 | 0.02 | 27,234 | 981.1 | 352 | 78 | 0.7069 | 0.3 | −6.49 | 0.02 | 3.63 | 8.24 | −11,077 | Degas |
| Wanniangou | 27°6′50″ N | 102°8′46″ E | 0 | 160 | 3260 | 24.6 | 873 | 7.99 | 4704 | 6553 | 1132 | 502 | 9 | 0.02 | 10,908 | 1681.5 | 2419 | 79 | 0.7066 | 2.9 | −5.48 | 0.06 | 3.76 | 8.5 | −9812 | Degas |
| Anning | 26°48′3″ N | 101°59′14″ E | 0 | 136 | 480 | 22 | 876 | 8.16 | 5686 | 4907 | 1636 | 550 | 11 | 0.02 | 10,338 | 5205.6 | 792 | 79 | 0.7085 | 5.4 | −14.2 | 0.02 | 3.54 | 8.06 | −5863 | Degas |
| Majiatian | 26°33′53″ N | 101°45′14″ E | 0 | 427 | 1600 | 25.8 | 1862 | 7.72 | 12,591 | 13,363 | 5862 | 625 | 25 | 0.02 | 28,049 | 2652.1 | 5494 | 84 | 0.7056 | 6.2 | −11.8 | 0.03 | 3.66 | 8.3 | −78,490 | Degas |
| Hongfa | 26°35′44″ N | 101°56′54″ E | 0 | 4 | 3 | 24.9 | 591 | 7.3 | 3569 | 2691 | 1508 | 106 | 7 | 0.02 | 1965 | 5060.8 | 863 | 79 | 0.7098 | 4.6 | −8.92 | 0.01 | 3.47 | 7.92 | 47 | Absorb |
| Jintai | 26°36′57″ N | 101°56′7″ E | 0 | 3 | 3 | 22.7 | 1547 | 7.41 | 6926 | 2653 | 1662 | 72 | 8 | 0.02 | 3328 | 4305.1 | 2027 | 78 | 0.7116 | 4.1 | −10.38 | 0.03 | 3.52 | 8.01 | −6 | Degas |
| Xinlongmang | 26°38′48″ N | 101°57′34″ E | 0 | 39 | 702 | 24 | 2059 | 8.13 | 17,484 | 15,902 | 3919 | 1916 | 28 | 0.02 | 34,351 | 3174 | 2401 | 77 | 0.7122 | 5.2 | −11.75 | 0.03 | 3.59 | 8.16 | −8110 | Degas |
| Hongxin | 26°36′8″ N | 101°56′12″ E | 11 | 303 | 919 | 23.4 | 936 | 8.2 | 7964 | 5499 | 1090 | 130 | 19 | 0.02 | 12,591 | 3641.1 | 612 | 78 | 0.7116 | 6.8 | −9.32 | 0.02 | 3.62 | 8.21 | −22,011 | Degas |
| Yili | 26°36′15″ N | 101°56′36″ E | 101 | 7 | 116 | 23.3 | 516 | 7.66 | 3494 | 2750 | 560 | 34 | 4 | 0.02 | 1798 | 4415.5 | 263 | 78 | 0.7083 | 3.3 | −11.31 | 0.02 | 3.55 | 8.06 | 66 | Absorb |
| Ertan | 26°37′0″ N | 101°56′16″ E | 105 | 4 | 2 | 22.6 | 627 | 7.4 | 4606 | 3153 | 909 | 58 | 5 | 0.02 | 2356 | 4535.7 | 617 | 82 | 0.7083 | 5 | −12.04 | 0.03 | 3.75 | 8.48 | 24 | Absorb |
| Liyu | 26°44′2″ N | 101°58′55″ E | 290 | 263 | 84 | 23.9 | 1654 | 7.35 | 15,276 | 11,610 | 1392 | 1818 | 26 | 0.02 | 25,691 | 8390 | 444 | 78 | 0.7139 | 3.1 | −6.31 | 0.01 | 3.55 | 8.07 | −32,956 | Degas |
| Zhonghe | 27°2′39″ N | 102°4′43″ E | 365 | 112 | 380 | 19.5 | 698 | 7.66 | 4179 | 3928 | 1051 | 327 | 5 | 0.02 | 3010 | 2395.4 | 1015 | 91 | 0.7067 | 1.2 | −9.9 | 0.04 | −0.56 | −0.15 | −277 | Degas |
| Hengtong | 27°0′40″ N | 102°10′41″ E | 365 | 15 | 100 | 19.5 | 240 | 7.92 | 1381 | 1186 | 354 | 60 | 3 | 0.02 | 670 | 1928.2 | 166 | 111 | 0.7061 | 3.5 | −12.78 | 0.03 | 3.73 | 8.45 | 134 | Absorb |
| Fengyuan | 26°37′59″ N | 101°47 52″ E | 422 | 442 | 1190 | 22.9 | 934 | 7.62 | 5666 | 5359 | 2574 | 131 | 9 | 0.02 | 12,519 | 2333.6 | 1071 | 80 | 0.7056 | 1.1 | −10.42 | 0.04 | 3.69 | 8.35 | −34,023 | Degas |
| Qianfan | 26°36′24″ N | 101°55′36″ E | 498 | 6 | 57 | 22.3 | 466 | 7.3 | 2716 | 2231 | 1044 | 41 | 6 | 0.02 | 1028 | 6803.2 | 218 | 124 | 0.7062 | 4.8 | −13.62 | 0.06 | 3.54 | 8.05 | 145 | Absorb |
| Zhongtian | 26°35′5″ N | 101°56′13″ E | 498 | 8 | 2 | 20.4 | 499 | 7.65 | 3556 | 2593 | 492 | 15 | 5 | 0.02 | 1592 | 5111.8 | 226 | 79 | 0.7085 | 5.3 | −12.66 | 0.03 | 3.64 | 8.26 | 106 | Absorb |
| Tianlong | 26°34′57″ N | 101°56′23″ E | 498 | 5 | 33 | 22 | 343 | 7.14 | 2178 | 1632 | 397 | 42 | 3 | 0.02 | 1630 | 5813.7 | 157 | 77 | 0.7119 | 5.7 | −12.66 | 0.04 | 3.41 | 7.79 | 80 | Absorb |
| Xiaoshuijin | 26°37′25″ N | 101°56′38″ E | 498 | 112 | 68 | 20.4 | 799 | 7.4 | 5234 | 5265 | 1426 | 81 | 13 | 0.04 | 10,357 | 2790.6 | 662 | 79 | 0.7135 | 3.6 | −7.94 | 0.04 | 3.17 | 7.32 | −6711 | Degas |
| Heigutian | 26°40′13″ N | 101°58′37″ E | 498 | 7 | 61 | 24.2 | 1419 | 7.73 | 9654 | 8063 | 1920 | 1000 | 26 | 0.02 | 16,806 | 6136.4 | 668 | 79 | 0.7103 | 4.9 | −17.19 | 0.05 | 3.32 | 7.6 | −565 | Degas |
| Baicao | 26°41′54″ N | 102°1′46″ E | 696 | 272 | 95 | 16.4 | 547 | 7.85 | 3536 | 3573 | 370 | 116 | 11 | 0.02 | 2370 | 3078.1 | 179 | 0 | 0.7088 | 3.9 | −9.95 | 0.02 | 3.71 | 8.4 | 387 | Absorb |
| Sandaoguai | 26°34′59″ N | 102°2′47″ E | 696 | 12 | 188 | 18 | 541 | 7.34 | 4049 | 3102 | 208 | 132 | 9 | 0.02 | 2110 | 3500.4 | 240 | 0 | 0.7072 | 3.8 | −7.24 | 0.03 | 3.32 | 7.6 | 62 | Absorb |
| Yuanda | 26°38′32″ N | 101°57′49″ E | 730 | 1.3 | - | 22.6 | 719 | 7.16 | 5564 | 3582 | 1278 | 61 | 14 | 0.02 | 3067 | 4630 | 590 | 78 | 0.7074 | 3.8 | −11.22 | 0.02 | 3.35 | 7.65 | 1 | Absorb |
| Jinlong | 26°35′57″ N | 101°56′30″ E | 731 | 5 | 2 | 24 | 965 | 7.44 | 8331 | 3550 | 2440 | 217 | 9 | 0.02 | 13,297 | 2809.1 | 743 | 78 | 0.7098 | 2.6 | −10.24 | 0.02 | 3.54 | 8.05 | −398 | Degas |
| Xinmao | 26°40′59″ N | 101°56′1″ E | 731 | 9.6 | 21.4 | 902 | 7.65 | 6819 | 6051 | 1288 | 69 | 11 | 0.02 | 11,150 | 4851.2 | 616 | 80 | 0.7084 | 2.2 | −10.7 | 0.01 | 3.7 | 8.38 | −560 | Degas | |
| Bochuang | 26°32′40″ N | 101°56′4″ E | 733 | 0.7 | - | 18.6 | 282 | 7.69 | 1754 | 1355 | 306 | 39 | 3 | 0.02 | 863 | 5247.8 | 196 | 77 | 0.7112 | 5.9 | −10.69 | 0.05 | 3.58 | 8.14 | 14 | Absorb |
| Xiushuihe | 26°35′26″ N | 102°3′27″ E | 1280 | 16 | 37 | 17.5 | 451 | 7.15 | 3556 | 3154 | 300 | 63 | 7 | 0.04 | 1592 | 3711 | 177 | 81 | 0.7083 | 3.9 | −12.85 | 0.03 | 3.42 | 7.79 | 140 | Absorb |
| Tianrun | 26°38′15″ N | 101°57′26″ E | 1460 | 1 | - | 23.6 | 480 | 7.86 | 2574 | 2539 | 1111 | 8 | 6 | 0.02 | 2748 | 6902.2 | 238 | 77 | 0.7113 | 5 | −12.26 | 0.03 | 3.69 | 8.36 | 11 | Absorb |
| Detian | 26°43′52″ N | 101°59′2″ E | 1850 | 9 | 300 | 22.1 | 351 | 7.6 | 1174 | 2989 | 546 | 47 | 1 | 0.02 | 621 | 8162.8 | 184 | 80 | 0.7162 | 11.3 | −12.06 | 0.04 | 3.25 | 7.48 | 291 | Absorb |
| Cessation | Occupied Land | Volume | Temperature | TDS | pH | Ca2+ | Mg2+ | Na+ | K+ | Sr2+ | Fe | SO42− | HCO3− | Cl− | NO3− | |
|---|---|---|---|---|---|---|---|---|---|---|---|---|---|---|---|---|
| Closure | 1.00 | |||||||||||||||
| Occupied land | −0.26 | 1.00 | ||||||||||||||
| Volume | −0.26 | 0.41 | 1.00 | |||||||||||||
| Temperature | −0.43 | 0.06 | 0.39 | 1.00 | ||||||||||||
| TDS | −0.46 | 0.31 | 0.23 | 0.54 | 1.00 | |||||||||||
| pH | −0.15 | 0.32 | 0.35 | 0.05 | −0.04 | 1.00 | ||||||||||
| Ca2+ | −0.39 | 0.32 | 0.17 | 0.50 | 0.93 | 0.07 | 1.00 | |||||||||
| Mg2+ | −0.35 | 0.31 | 0.28 | 0.41 | 0.86 | −0.20 | 0.85 | 1.00 | ||||||||
| Na+ | −0.34 | 0.41 | 0.38 | 0.60 | 0.72 | 0.27 | 0.69 | 0.58 | 1.00 | |||||||
| K+ | −0.30 | 0.14 | 0.15 | 0.39 | 0.78 | 0.07 | 0.87 | 0.81 | 0.46 | 1.00 | ||||||
| Sr2+ | −0.35 | 0.47 | 0.19 | 0.38 | 0.84 | 0.19 | 0.90 | 0.79 | 0.63 | 0.79 | 1.00 | |||||
| Fe | 0.19 | 0.25 | −0.15 | −0.40 | −0.11 | −0.02 | −0.08 | −0.07 | −0.09 | −0.16 | 0.08 | 1.00 | ||||
| SO42− | −0.37 | 0.39 | 0.30 | 0.51 | 0.90 | −0.07 | 0.92 | 0.96 | 0.68 | 0.82 | 0.86 | −0.06 | 1.00 | |||
| HCO3− | 0.34 | −0.10 | −0.36 | 0.15 | −0.10 | 0.06 | −0.01 | −0.19 | −0.17 | 0.11 | 0.05 | −0.03 | −0.16 | 1.00 | ||
| Cl− | −0.42 | 0.42 | 0.61 | 0.51 | 0.64 | 0.26 | 0.52 | 0.51 | 0.87 | 0.31 | 0.48 | −0.07 | 0.53 | −0.30 | 1.00 | |
| NO3− | −0.07 | 0.04 | 0.06 | 0.37 | 0.07 | −0.07 | 0.05 | 0.04 | 0.14 | −0.02 | 0.01 | 0.14 | 0.12 | 0.22 | 0.08 | 1 |
| Sampling Site Description | Mean TDS (mg/L) | R | References |
|---|---|---|---|
| V-Ti-Fe mine tailings filtrates, Panxi region, China | 847.4 | 1 | Present study |
| Background, Panxi region, China | 166.3 | 5.1 | Present study |
| Emeishan basalt, Yunnan province, China | 43.6 | 19.4 | [54] |
| Anning River, Panxi region, China | 95.9 | 8.8 | [45] |
| Yangtze River, China | 224.4 | 3.8 | [51] |
| Global river average | 69.0 | 12.3 | [50] |
Disclaimer/Publisher’s Note: The statements, opinions and data contained in all publications are solely those of the individual author(s) and contributor(s) and not of MDPI and/or the editor(s). MDPI and/or the editor(s) disclaim responsibility for any injury to people or property resulting from any ideas, methods, instructions or products referred to in the content. |
© 2025 by the authors. Licensee MDPI, Basel, Switzerland. This article is an open access article distributed under the terms and conditions of the Creative Commons Attribution (CC BY) license (https://creativecommons.org/licenses/by/4.0/).
Share and Cite
Zhang, X.; Gou, L.-F.; Tang, L.; Liu, S.; Werner, T.T.; Jiang, F.; Deng, Y.; Mudbhatkal, A. Transition of CO2 from Emissions to Sequestration During Chemical Weathering of Ultramafic and Mafic Mine Tailings. Minerals 2025, 15, 68. https://doi.org/10.3390/min15010068
Zhang X, Gou L-F, Tang L, Liu S, Werner TT, Jiang F, Deng Y, Mudbhatkal A. Transition of CO2 from Emissions to Sequestration During Chemical Weathering of Ultramafic and Mafic Mine Tailings. Minerals. 2025; 15(1):68. https://doi.org/10.3390/min15010068
Chicago/Turabian StyleZhang, Xiaolin, Long-Fei Gou, Liang Tang, Shen Liu, Tim T. Werner, Feng Jiang, Yinger Deng, and Amogh Mudbhatkal. 2025. "Transition of CO2 from Emissions to Sequestration During Chemical Weathering of Ultramafic and Mafic Mine Tailings" Minerals 15, no. 1: 68. https://doi.org/10.3390/min15010068
APA StyleZhang, X., Gou, L.-F., Tang, L., Liu, S., Werner, T. T., Jiang, F., Deng, Y., & Mudbhatkal, A. (2025). Transition of CO2 from Emissions to Sequestration During Chemical Weathering of Ultramafic and Mafic Mine Tailings. Minerals, 15(1), 68. https://doi.org/10.3390/min15010068

