The Heterogeneity Characterization of Lacustrine Shale Pores in the Daanzhai Member of the Ziliujing Formation in the Yuanba Area, Sichuan Basin
Abstract
1. Introduction
2. Samples and Methods
2.1. Geological Setting
2.2. TOC, Ro, and Mineralogy
2.3. Gas Adsorption Measurements
2.4. FE-SEM
2.5. Multifractal Theory Model
3. Results
3.1. TOC, Ro, and Mineral Component Contents
3.2. Pore Morphology Under FE–SEM
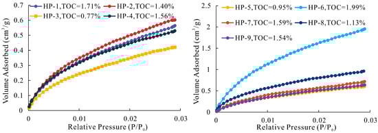
3.3. Characteristics of the Mesopore Structure
3.4. Characteristics of the Micropore Structure
4. Discussion
4.1. Generalized Fractal Features of Micropores and Mesopores
4.2. Singular Fractal Characteristics of Micropores and Mesopores
4.3. Distinct Multifractal Characteristics Between Micropores and Mesopores
4.4. Influence of the Pore Structure Parameters
4.5. Contrasting Heterogeneity Among Shales with Varying TOC Contents
5. Conclusions
- (1)
- The FE-SEM results reveal that the Daanzhai Member shales of the Ziliujing Formation feature mainly intergranular and intragranular mineral pores with few organic pores.
- (2)
- The PSD of mesopores is predominantly distributed within pores with a diameter of 2~10 nm. The PSD of micropores is multimodal and is mainly distributed in pores of diameters in the range of 0.3~0.9 nm. The heterogeneity of the mesopores is greater than that of micropores, but the connectivity of the mesopores is poorer.
- (3)
- The connectivity and heterogeneity of the micropores are affected mainly by the shale SSA and PV, and those of the mesopores are affected mainly by the shale SSA.
- (4)
- Compared with the mature Bakken Formation and the overmature Wufeng–Longmaxi Formation, the high-maturity Daanzhai Member shale has more heterogeneous micropores and fewer heterogeneous mesopores.
Author Contributions
Funding
Data Availability Statement
Acknowledgments
Conflicts of Interest
References
- Azdarpour, A.; Norouzpour, M.; Nabipour, M.; Santos, R.M.; Mohammadian, E. Efficiency of the Green Surfactant Derived from Avena sativa Plant in the Presence of Different Salts for EOR Purposes. J. GeoEnergy 2023, 2023, e9998466. [Google Scholar] [CrossRef]
- Li, Z.; Liang, Z.; Jiang, Z.; Yu, H.; Yang, Y.; Xiao, L. Pore Connectivity Characterization of Lacustrine Shales in Changling Fault Depression, Songliao Basin, China: Insights into the Effects of Mineral Compositions on Connected Pores. Minerals 2019, 9, 198. [Google Scholar] [CrossRef]
- Caniego, F.; Martí, M.; José, F.S. Rényi dimensions of soil pore size distribution. Geoderma 2003, 112, 205–216. [Google Scholar] [CrossRef]
- Lan, Q.; Xu, M.; Binazadeh, M.; Dehghanpour, H.; Wood, J.M. A comparative investigation of shale wettability: The significance of pore connectivity. J. Nat. Gas Sci. Eng. 2015, 27, 1174–1188. [Google Scholar] [CrossRef]
- Gao, Z.; Yang, S.; Jiang, Z.; Zhang, K.; Chen, L. Investigating the spontaneous imbibition characteristics of continental Jurassic Ziliujing Formation shale from the northeastern Sichuan Basin and correlations to pore structure and composition. Mar. Pet. Geol. 2018, 98, 697–705. [Google Scholar] [CrossRef]
- Zhang, J.; Wang, H.; Vandeginste, V.; Miao, H.; Guo, Y.; Ji, Y.; Liu, P.; Peng, Y. Effect of litho-facies on nano-pore structure of continental shale in shuinan formation of Jiaolai Basin. Geoenergy Sci. Eng. 2023, 228, 212020. [Google Scholar] [CrossRef]
- Wang, P.; Jiang, Z.; Ji, W.; Zhang, C.; Yuan, Y.; Chen, L.; Yin, L. Heterogeneity of intergranular, intraparticle and organic pores in Longmaxi shale in Sichuan Basin, South China: Evidence from SEM digital images and fractal and multifractal geometries. Mar. Pet. Geol. 2016, 72, 122–138. [Google Scholar] [CrossRef]
- Chen, S.; Li, X.; Chen, S.; Wang, Y.; Gong, Z.; Zhang, Y. A new application of atomic force microscopy in the characterization of pore structure and pore contribution in shale gas reservoirs. J. Nat. Gas Sci. Eng. 2021, 88, 103802. [Google Scholar] [CrossRef]
- Deng, H.; Hu, X.; Li, H.A.; Luo, B.; Wang, W. Improved pore-structure characterization in shale formations with FESEM technique. J. Nat. Gas Sci. Eng. 2016, 35, 309–319. [Google Scholar] [CrossRef]
- Wang, M.; Yu, Q. Pore structure characterization of Carboniferous shales from the eastern Qaidam Basin, China: Combining helium expansion with low-pressure adsorption and mercury intrusion. J. Pet. Sci. Eng. 2017, 152, 91–103. [Google Scholar] [CrossRef]
- Yu, Y.; Luo, X.; Wang, Z.; Cheng, M.; Lei, Y.; Zhang, L.; Yin, J. A new correction method for mercury injection capillary pressure (MICP) to characterize the pore structure of shale. J. Nat. Gas Sci. Eng. 2019, 68, 102896. [Google Scholar] [CrossRef]
- Liu, K.; Ostadhassan, M.; Kong, L. Multifractal characteristics of Longmaxi Shale pore structures by N2 adsorption: A model comparison. J. Pet. Sci. Eng. 2018, 168, 330–341. [Google Scholar] [CrossRef]
- Wang, P.; Jiang, Z.; Chen, L.; Yin, L.; Li, Z.; Zhang, C.; Tang, X.; Wang, G. Pore structure characterization for the Longmaxi and Niutitang shales in the Upper Yangtze Platform, South China: Evidence from focused ion beam–He ion microscopy, nano-computerized tomography and gas adsorption analysis. Mar. Pet. Geol. 2016, 77, 1323–1337. [Google Scholar] [CrossRef]
- Zhang, Y.; Barber, T.J.; Hu, Q.; Bleuel, M.; El-Sobky, H.F. Complementary neutron scattering, mercury intrusion and SEM imaging approaches to micro- and nano-pore structure characterization of tight rocks: A case study of the Bakken shale. Int. J. Coal Geol. 2019, 212, 103252. [Google Scholar] [CrossRef]
- Sun, M.; Yu, B.; Hu, Q.; Yang, R.; Zhang, Y.; Li, B.; Melnichenko, Y.B.; Cheng, G. Pore structure characterization of organic-rich Niutitang shale from China: Small angle neutron scattering (SANS) study. Int. J. Coal. Geol. 2018, 186, 115–125. [Google Scholar] [CrossRef]
- Zhang, S.; Yan, J.; Hu, Q.; Wang, J.; Tian, T.; Chao, J.; Wang, M. Integrated NMR and FE-SEM methods for pore structure characterization of Shahejie shale from the Dongying Depression, Bohai Bay Basin. Mar. Petrol. Geol. 2019, 100, 85–94. [Google Scholar] [CrossRef]
- Clarkson, C.; Solano, N.; Bustin, R.; Bustin, A.; Chalmers, G.; He, L.; Melnichenko, Y.; Radliński, A.; Blach, T. Pore structure characterization of North American shale gas reservoirs using USANS/SANS, gas adsorption, and mercury intrusion. Fuel 2013, 103, 606–616. [Google Scholar] [CrossRef]
- Liu, Q.; Sun, M.; Sun, X.; Liu, B.; Ostadhassan, M.; Huang, W.; Chen, X.; Pan, Z. Pore network characterization of shale reservoirs through state-of-the-art X-ray computed tomography: A review. Gas Sci. Eng. 2023, 113, 204967. [Google Scholar] [CrossRef]
- Tiwari, P.; Deo, M.; Lin, C.; Miller, J. Characterization of oil shale pore structure before and after pyrolysis by using X-ray micro CT. Fuel 2013, 107, 547–554. [Google Scholar] [CrossRef]
- Yang, R.; He, S.; Hu, Q.; Sun, M.; Hu, D.; Yi, J. Applying SANS technique to characterize nano-scale pore structure of Longmaxi shale, Sichuan Basin (China). Fuel 2017, 197, 91–99. [Google Scholar] [CrossRef]
- Ferreiro, J.P.; Wilson, M.; Vázquez, E.V. Multifractal Description of Nitrogen Adsorption Isotherms. Vadose Zone J. 2009, 8, 209–219. [Google Scholar] [CrossRef]
- Ferreiro, J.P.; Miranda, J.; Vázquez, E.V. Multifractal Analysis of Soil Porosity Based on Mercury Injection and Nitrogen Adsorption. Vadose Zone J. 2010, 9, 325–335. [Google Scholar] [CrossRef]
- Wang, F.; Zai, Y. Fractal and multifractal characteristics of shale nanopores. Results Phys. 2021, 25, 104277. [Google Scholar] [CrossRef]
- Duan, R.; Xu, Z.; Dong, Y.; Liu, W. Characterization and classification of pore structures in deeply buried carbonate rocks based on mono- and multifractal methods. J. Pet. Sci. Eng. 2021, 203, 108606. [Google Scholar] [CrossRef]
- Ge, X.; Fan, Y.; Li, J.; Zahid, M.A. Pore structure characterization and classification using multifractal theory—An application in Santanghu basin of western China. J. Pet. Sci. Eng. 2015, 127, 297–304. [Google Scholar] [CrossRef]
- Ge, X.; Fan, Y.; Zhu, X.; Chen, Y.; Li, R. Determination of nuclear magnetic resonance T2 cutoff value based on multifractal theory—An application in sandstone with complex pore structure. Geophysics 2015, 80, D11–D21. [Google Scholar] [CrossRef]
- Song, Y.; Jiang, B.; Shao, P.; Wu, J. Matrix compression and multifractal characterization for tectonically deformed coals by Hg porosimetry. Fuel 2018, 211, 661–675. [Google Scholar]
- Jiang, Z.; Mao, Z.; Shi, Y.; Wang, D. Multifractal Characteristics and Classification of Tight Sandstone Reservoirs: A Case Study from the Triassic Yanchang Formation, Ordos Basin, China. Energies 2018, 11, 2242. [Google Scholar] [CrossRef]
- Wang, Y.; Cheng, H.; Hu, Q.; Liu, L.; Jia, L.; Gao, S.; Wang, Y. Pore structure heterogeneity of Wufeng-Longmaxi shale, Sichuan Basin, China: Evidence from gas physisorption and multifractal geometries. J. Pet. Sci. Eng. 2022, 208, 109313. [Google Scholar] [CrossRef]
- Muller, J.; Huseby, O.K.; Saucier, A. Influence of multifractal scaling of pore geometry on permeabilities of sedimentary rocks. Chaos Solitons Fractals 1995, 5, 1485–1492. [Google Scholar] [CrossRef]
- Jouini, M.S.; Vega, S.; Mokhtar, E.A. Multiscale characterization of pore spaces using multifractals analysis of scanning electronic microscopy images of carbonates. Nonlinear Process. Geophys. 2011, 18, 941–953. [Google Scholar] [CrossRef]
- Vega, S.; Jouini, M.S. 2D multifractal analysis and porosity scaling estimation in Lower Cretaceous carbonates. Geophysics 2015, 80, D575–D586. [Google Scholar] [CrossRef]
- Zhao, P.; Wang, Z.; Sun, Z.; Cai, J.; Wang, L. Investigation on the pore structure and multifractal characteristics of tight oil reservoirs using NMR measurements: Permian Lucaogou Formation in Jimusaer Sag, Junggar Basin. Mar. Pet. Geol. 2017, 86, 1067–1081. [Google Scholar] [CrossRef]
- Peng, J.; Han, H.; Xia, Q.; Li, B. Evaluation of the pore structure of tight sandstone reservoirs based on multifractal analysis: A case study from the Kepingtage Formation in the Shuntuoguole uplift, Tarim Basin, NW China. J. Geophys. Eng. 2018, 15, 1122–1136. [Google Scholar] [CrossRef]
- Liu, K.; Ostadhassan, M.; Zou, J.; Gentzis, T.; Rezaee, R.; Bubach, B.; Carvajal-Ortiz, H. Multifractal analysis of gas adsorption isotherms for pore structure characterization of the Bakken Shale. Fuel 2018, 219, 296–311. [Google Scholar] [CrossRef]
- Tong, Z.; Zhang, J.; Li, Z.; Wu, Y.; Wang, D.; Gong, D. Investigation of organic-shale nanopores in the Lower Cambrian Niutitang Formation using low temperature N2 and CO2 adsorption: Multifractality and classification. Microporous Mesoporous Mater. 2022, 337, 111935. [Google Scholar] [CrossRef]
- Wang, D.; Hu, H.; Wang, T.; Tang, T.; Li, W.; Zhu, G.; Chen, X. Difference between of coal and shale pore structural characters based on gas adsorption experiment and multifractal analysis. Fuel 2024, 371, 132044. [Google Scholar] [CrossRef]
- Zhu, D.; Jiang, Z.; Jiang, S.; Yang, W.; Song, Y.; Gao, Z.; Jiang, T.; Cao, X.; Li, W.; Zhang, Y. Water-bearing characteristics and their influences on the reservoir capacity in terrestrial shale reservoirs: A case study of the lower Jurassic Ziliujing Formation in the Northeast Sichuan Basin, China. Mar. Pet. Geol. 2021, 123, 104738. [Google Scholar] [CrossRef]
- Jiang, S.; Tang, X.; Cai, D.; Xue, G.; He, Z.; Long, S.; Peng, Y.; Gao, B.; Xu, Z.; Dahdah, N. Comparison of marine, transitional, and lacustrine shales: A case study from the Sichuan Basin in China. J. Pet. Sci. Eng. 2017, 150, 334–347. [Google Scholar] [CrossRef]
- Huang, Y.; Wang, R. Characterization of natural fractures in tight sandstone reservoirs in Yuanba area, northern Sichuan Basin. Unconv. Resour. 2023, 3, 155–163. [Google Scholar] [CrossRef]
- Jin, M.; Li, B.; Zhu, X.; Dai, L.; Jiang, Z.; Wu, H.; Li, H.; Yang, P. Characteristics and main controlling factors of reservoirs in the fourth member of Sinian Dengying Formation in Yuanba and its peripheral area, northeastern Sichuan Basin, SW China. Pet. Explor. Dev. 2020, 47, 1172–1182. [Google Scholar] [CrossRef]
- Huang, Y.; Lin, T.; Wang, A.; Nan, Z. Distribution prediction of the glutenite in Member 3 of Triassic Xujiahe Formation in Yuanba area, northern Sichuan Basin. Pet. Res. 2022, 7, 123–130. [Google Scholar] [CrossRef]
- Jiang, D.; Li, P.; Zheng, M.; Chen, Q.; Xiong, W.; Zou, H. Impacts of different matrix components on multi-scale pore structure and reservoir capacity: Insights from the Jurassic Da’anzhai member in the Yuanba area, Sichuan Basin. Energy Rep. 2022, 9, 1251–1264. [Google Scholar] [CrossRef]
- Chhabra, A.; Jensen, R.V. Direct determination of the f(α) singularity spectrum. Phys. Rev. Lett. 1989, 62, 1327–1330. [Google Scholar] [CrossRef] [PubMed]
- Halsey, T.C.; Jensen, M.H.; Kadanoff, L.P.; Procaccia, I.; Shraiman, B.I. Fractal measures and their singularities: The characterization of strange sets. Nucl. Phys. B—Proc. Suppl. 1987, 2, 501–511. [Google Scholar] [CrossRef]
- Li, W.; Liu, H.; Song, X. Multifractal analysis of Hg pore size distributions of tectonically deformed coals. Int. J. Coal Geol. 2015, 144–145, 138–152. [Google Scholar] [CrossRef]
- Guan, M.; Liu, X.; Jin, Z.; Lai, J. The heterogeneity of pore structure in lacustrine shales: Insights from multifractal analysis using N2 adsorption and mercury intrusion. Mar. Petrol. Geol. 2020, 114, 104150. [Google Scholar] [CrossRef]
- Sing, K.S.W. Reporting physisorption data for gas/solid systems with special reference to the determination of surface area and porosity (Recommendations 1984). Pure Appl. Chem. 1985, 57, 603–619. [Google Scholar] [CrossRef]
- Zhang, S.; Liu, H.; Wu, C.; Jin, Z. Influence of particle size on pore structure and multifractal characteristics in coal using low-pressure gas adsorption. J. Pet. Sci. Eng. 2022, 212, 110273. [Google Scholar] [CrossRef]
- Lu, H.; Li, Q.; Yue, D.; Wu, Y.; Gao, J.; Wu, S.; Wang, W.; Li, M.; An, K. Quantitative characterization and formation mechanism of the pore system heterogeneity: Examples from organic-rich laminated and organic-poor layered shales of the upper triassic chang 7 member in the southern Ordos Basin, China. Mar. Pet. Geol. 2023, 147, 105999. [Google Scholar] [CrossRef]














| Sample ID | Well Name | Depth (m) | Member | Relative Content (%) | TOC | Ro | ||||||
|---|---|---|---|---|---|---|---|---|---|---|---|---|
| Clay | Quartz | Feldspar | Calcite | Dolomite | Siderite | Pyrite | (%) | (%) | ||||
| HP-1 | YL4 | 3789.60 | Daanzhai | 32.3 | 44.0 | 1.0 | 13.8 | 0.0 | 0.0 | 1.5 | 1.71 | 1.47 |
| HP-2 | YL4 | 3761.05 | Daanzhai | 45.1 | 36.9 | 2.5 | 9.0 | 0.7 | 0.6 | 2.5 | 1.40 | 1.49 |
| HP-3 | YL30 | 3997.03 | Daanzhai | 40.4 | 36.0 | 1.6 | 16.7 | 0.3 | 0.5 | 0.9 | 0.77 | 1.69 |
| HP-4 | YL176 | 4141.25 | Daanzhai | 45.7 | 41.2 | 1.7 | 7.2 | 0.7 | 0.7 | 0.7 | 1.56 | 1.79 |
| HP-5 | YB21 | 4027.12 | Daanzhai | 37.3 | 52.3 | 1.1 | 5.3 | 2.1 | 0.9 | 0.5 | 0.95 | 1.61 |
| HP-6 | YB21 | 4026.00 | Daanzhai | 48.8 | 42.3 | 2.9 | 4.3 | 1.2 | 0.8 | 0.2 | 1.99 | 1.50 |
| HP-7 | YB122 | 3563.63 | Daanzhai | 43.4 | 47.3 | 4.6 | 4.7 | 0.9 | 0.9 | 0.6 | 1.59 | 1.59 |
| HP-8 | YB102 | 3925.30 | Daanzhai | 40.6 | 45.8 | 4.2 | 8.4 | 2.7 | 0.0 | 0.0 | 1.13 | 1.64 |
| HP-9 | YB102 | 3930.95 | Daanzhai | 41.4 | 14.4 | 8.4 | 36.2 | 0.8 | 1.0 | 2.8 | 1.54 | 1.39 |
| Average | 41.7 | 40.0 | 3.1 | 11.7 | 1.0 | 0.6 | 1.1 | 1.40 | 1.57 | |||
| Sample ID | Mesopores from N2 Adsorption | Micropores from CO2 Adsorption | ||||
|---|---|---|---|---|---|---|
| SBET (m2/g) | VDFT (cm3/g) | D (nm) | SDFT (m2/g) | VDFT (cm3/g) | D (nm) | |
| HP-1 | 5.538 | 0.013 | 3.964 | 5.919 | 0.002 | 0.548 |
| HP-2 | 3.876 | 0.008 | 4.214 | 6.358 | 0.002 | 0.479 |
| HP-3 | 3.126 | 0.008 | 3.965 | 4.301 | 0.001 | 0.479 |
| HP-4 | 3.815 | 0.007 | 4.213 | 1.749 | 0.001 | 0.524 |
| HP-5 | 3.691 | 0.011 | 3.968 | 6.044 | 0.002 | 0.349 |
| HP-6 | 5.836 | 0.012 | 4.218 | 3.487 | 0.001 | 0.822 |
| HP-7 | 3.756 | 0.012 | 4.209 | 1.895 | 0.001 | 0.548 |
| HP-8 | 5.09 | 0.015 | 3.968 | 9.871 | 0.003 | 0.349 |
| HP-9 | 2.515 | 0.007 | 3.964 | 6.703 | 0.002 | 0.501 |
| Average | 4.138 | 0.010 | 4.076 | 5.147 | 0.002 | 0.511 |
| Sample ID | D0 | D1 | D2 | D10 | D−10 | D0–D1 | D−10–D10 | D−10–D0 | D0–D10 | H |
|---|---|---|---|---|---|---|---|---|---|---|
| HP-1 | 1 | 0.965 | 0.928 | 0.759 | 1.265 | 0.035 | 0.506 | 0.265 | 0.241 | 0.964 |
| HP-2 | 1 | 0.974 | 0.951 | 0.87 | 1.268 | 0.026 | 0.397 | 0.268 | 0.13 | 0.976 |
| HP-3 | 1 | 0.974 | 0.952 | 0.871 | 1.259 | 0.026 | 0.388 | 0.259 | 0.129 | 0.976 |
| HP-4 | 1 | 0.974 | 0.952 | 0.874 | 1.246 | 0.026 | 0.372 | 0.246 | 0.126 | 0.976 |
| HP-5 | 1 | 0.962 | 0.919 | 0.726 | 1.267 | 0.038 | 0.541 | 0.267 | 0.274 | 0.959 |
| HP-6 | 1 | 0.964 | 0.928 | 0.763 | 1.304 | 0.036 | 0.541 | 0.304 | 0.237 | 0.964 |
| HP-7 | 1 | 0.971 | 0.949 | 0.865 | 1.299 | 0.029 | 0.434 | 0.299 | 0.135 | 0.974 |
| HP-8 | 1 | 0.967 | 0.931 | 0.764 | 1.229 | 0.033 | 0.465 | 0.229 | 0.236 | 0.965 |
| HP-9 | 1 | 0.964 | 0.927 | 0.755 | 1.297 | 0.036 | 0.542 | 0.297 | 0.245 | 0.963 |
| Average | 1 | 0.968 | 0.937 | 0.805 | 1.270 | 0.032 | 0.465 | 0.270 | 0.195 | 0.969 |
| Sample ID | D0 | D1 | D2 | D10 | D−10 | D0–D1 | D−10–D10 | D−10–D0 | D0–D10 | H |
|---|---|---|---|---|---|---|---|---|---|---|
| HP-1 | 1 | 0.967 | 0.941 | 0.793 | 1.287 | 0.033 | 0.495 | 0.287 | 0.207 | 0.970 |
| HP-2 | 1 | 0.967 | 0.942 | 0.799 | 1.298 | 0.033 | 0.499 | 0.298 | 0.201 | 0.971 |
| HP-3 | 1 | 0.964 | 0.936 | 0.779 | 1.307 | 0.036 | 0.528 | 0.307 | 0.221 | 0.968 |
| HP-4 | 1 | 0.971 | 0.952 | 0.836 | 1.275 | 0.029 | 0.439 | 0.275 | 0.164 | 0.976 |
| HP-5 | 1 | 0.961 | 0.929 | 0.761 | 1.319 | 0.039 | 0.558 | 0.319 | 0.239 | 0.965 |
| HP-6 | 1 | 0.967 | 0.941 | 0.793 | 1.28 | 0.033 | 0.488 | 0.28 | 0.207 | 0.971 |
| HP-7 | 1 | 0.953 | 0.915 | 0.731 | 1.387 | 0.047 | 0.656 | 0.387 | 0.269 | 0.958 |
| HP-8 | 1 | 0.962 | 0.931 | 0.766 | 1.3 | 0.038 | 0.535 | 0.3 | 0.234 | 0.966 |
| HP-9 | 1 | 0.958 | 0.923 | 0.747 | 1.338 | 0.042 | 0.592 | 0.338 | 0.253 | 0.961 |
| Average | 1 | 0.963 | 0.934 | 0.778 | 1.310 | 0.037 | 0.532 | 0.310 | 0.222 | 0.967 |
| Sample ID | α0 | α10 | α−10 | Δα | fmax | fmin | △f |
|---|---|---|---|---|---|---|---|
| HP-1 | 1.035 | 0.689 | 1.372 | 0.683 | 0.057 | 0.193 | 0.136 |
| HP-2 | 1.030 | 0.835 | 1.377 | 0.542 | 0.517 | 0.177 | −0.340 |
| HP-3 | 1.029 | 0.835 | 1.364 | 0.529 | 0.514 | 0.203 | −0.311 |
| HP-4 | 1.028 | 0.841 | 1.351 | 0.510 | 0.545 | 0.195 | −0.350 |
| HP-5 | 1.037 | 0.655 | 1.374 | 0.718 | 0.021 | 0.198 | 0.177 |
| HP-6 | 1.037 | 0.693 | 1.421 | 0.728 | 0.059 | 0.134 | 0.075 |
| HP-7 | 1.034 | 0.827 | 1.412 | 0.585 | 0.488 | 0.167 | −0.321 |
| HP-8 | 1.032 | 0.694 | 1.329 | 0.636 | 0.059 | 0.222 | 0.163 |
| HP-9 | 1.037 | 0.684 | 1.409 | 0.725 | 0.050 | 0.171 | 0.120 |
| Average | 1.033 | 0.750 | 1.379 | 0.628 | 0.257 | 0.184 | −0.072 |
| Sample ID | α0 | α10 | α−10 | Δα | fmax | fmin | △f |
|---|---|---|---|---|---|---|---|
| P-1 | 1.043 | 0.718 | 1.381 | 0.663 | 0.042 | 0.352 | 0.310 |
| HP-2 | 1.044 | 0.724 | 1.395 | 0.671 | 0.052 | 0.328 | 0.276 |
| HP-3 | 1.047 | 1.404 | 0.704 | 0.700 | 0.030 | 0.335 | 0.305 |
| HP-4 | 1.039 | 0.764 | 1.364 | 0.600 | 0.119 | 0.381 | 0.263 |
| HP-5 | 1.050 | 0.687 | 1.418 | 0.731 | 0.020 | 0.328 | 0.308 |
| HP-6 | 1.042 | 0.717 | 1.369 | 0.652 | 0.039 | 0.389 | 0.351 |
| HP-7 | 1.062 | 0.660 | 1.503 | 0.844 | 0.013 | 0.224 | 0.211 |
| HP-8 | 1.048 | 0.692 | 1.394 | 0.703 | 0.023 | 0.363 | 0.340 |
| HP-9 | 1.053 | 0.674 | 1.445 | 0.772 | 0.016 | 0.270 | 0.253 |
| Average | 1.048 | 0.782 | 1.330 | 0.704 | 0.039 | 0.330 | 0.291 |
Disclaimer/Publisher’s Note: The statements, opinions and data contained in all publications are solely those of the individual author(s) and contributor(s) and not of MDPI and/or the editor(s). MDPI and/or the editor(s) disclaim responsibility for any injury to people or property resulting from any ideas, methods, instructions or products referred to in the content. |
© 2024 by the authors. Licensee MDPI, Basel, Switzerland. This article is an open access article distributed under the terms and conditions of the Creative Commons Attribution (CC BY) license (https://creativecommons.org/licenses/by/4.0/).
Share and Cite
Hu, H.; Wang, D.; Li, W.; Zhu, G.; Chen, X. The Heterogeneity Characterization of Lacustrine Shale Pores in the Daanzhai Member of the Ziliujing Formation in the Yuanba Area, Sichuan Basin. Minerals 2025, 15, 11. https://doi.org/10.3390/min15010011
Hu H, Wang D, Li W, Zhu G, Chen X. The Heterogeneity Characterization of Lacustrine Shale Pores in the Daanzhai Member of the Ziliujing Formation in the Yuanba Area, Sichuan Basin. Minerals. 2025; 15(1):11. https://doi.org/10.3390/min15010011
Chicago/Turabian StyleHu, Haiyan, Daxing Wang, Wangpeng Li, Gengen Zhu, and Xiaoyu Chen. 2025. "The Heterogeneity Characterization of Lacustrine Shale Pores in the Daanzhai Member of the Ziliujing Formation in the Yuanba Area, Sichuan Basin" Minerals 15, no. 1: 11. https://doi.org/10.3390/min15010011
APA StyleHu, H., Wang, D., Li, W., Zhu, G., & Chen, X. (2025). The Heterogeneity Characterization of Lacustrine Shale Pores in the Daanzhai Member of the Ziliujing Formation in the Yuanba Area, Sichuan Basin. Minerals, 15(1), 11. https://doi.org/10.3390/min15010011
