Analysis of the Effect of Surfactants on the Performance of Apatite Column Flotation
Abstract
1. Introduction
2. Materials and Methods
2.1. Experimental Apparatus
2.2. Bubble Size Measurements
2.3. Surfactants and Air–Water System
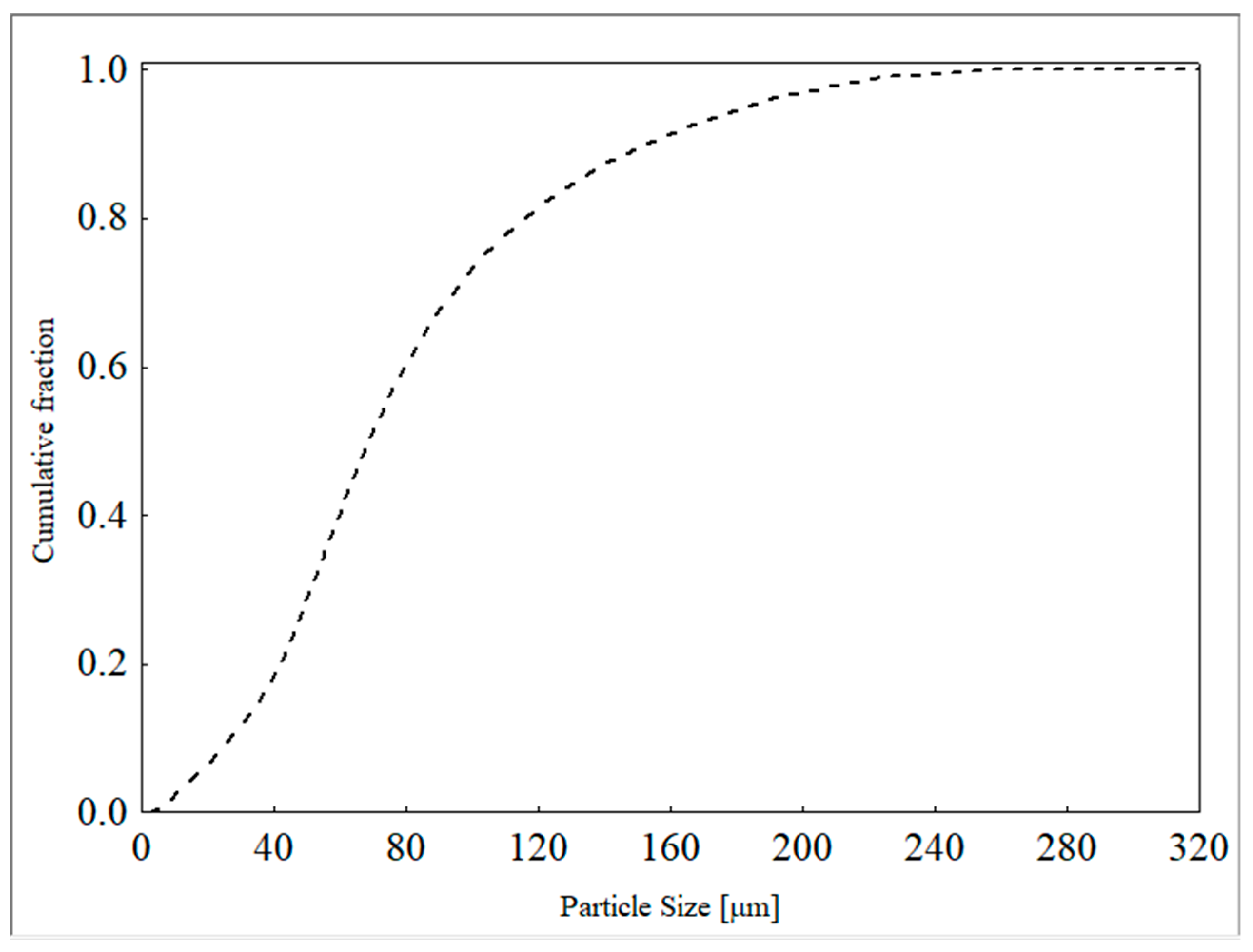
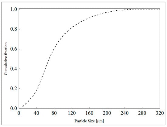
2.4. Characterization of the Phosphate Ore Sample
2.5. Reagents and Flotation Test Procedures
2.6. Index of Flotation Response
3. Results
3.1. Effect of Surfactant on the Air–Water System
3.2. Influence of Surfactant in Apatite Flotation
3.2.1. Lupromin
3.2.2. Genagen
3.2.3. Triton X-100
3.3. Effect of Surfactant on Bubble Size for Both Systems
3.4. Global Analysis of the Effect of Surfactant on Apatite Flotation
4. Conclusions
Author Contributions
Funding
Data Availability Statement
Acknowledgments
Conflicts of Interest
References
- Ruan, Y.; He, D.; Chi, R. Review on Beneficiation Techniques and Reagents Used for Phosphate Ores. Minerals 2019, 9, 253. [Google Scholar] [CrossRef]
- Decrée, S.; Savolainen, M.; Mercadier, J.; Debaille, V.; Höhn, S.; Frimmel, H.; Baele, J.M. Geochemical and spectroscopic investigation of apatite in the Siilinjärvi Carbonatite Complex: Keys to understanding apatite forming processes and assessing potential for rare earth elements. Appl. Geochem. 2020, 123, 104778. [Google Scholar] [CrossRef]
- Brabcová, Z.; Karapantsios, T.; Kostoglou, M.; Basarová, P.; Matis, K. Bubble-particle collision interaction in flotation systems. Colloids Surf. A Physicochem. Eng. Asp. 2015, 473, 95–103. [Google Scholar] [CrossRef]
- Pourkarimi, Z.; Rezai, B.; Noaparast, M. Nanobubbles effect on the mechanical flotation of phosphate ore fine particles. Physicochem. Probl. Miner. Process. 2017, 54, 278–279. [Google Scholar] [CrossRef]
- Cheng, G.; Shi, C.; Yan, X.; Zhang, Z.; Xu, H.; Lu, Y. A study of bubble-particle interactions in a column flotation process. Physicochem. Probl. Miner. Process. 2017, 53, 17–33. [Google Scholar] [CrossRef]
- Eskanlou, A.; Khalesi, M.R.; Abdollahy, M.; Chegeni, M.H. Interactional effects of bubble size, particle size, and collector dosage on bubble loading in column flotation. J. Min. Environ. 2018, 9, 107–116. [Google Scholar] [CrossRef]
- Sis, H.; Chander, S. Reagents used in the flotation of phosphate ores: A critical review. Miner. Eng. 2003, 16, 577–585. [Google Scholar] [CrossRef]
- Xu, M.; Li, C.; Wang, Y.; Zhang, H. Investigation on mechanism of intensifying coal fly ash froth flotation by pretreatment of non-ionic surfactant. Fuel 2019, 254, 115601. [Google Scholar] [CrossRef]
- Momen, M.S.; Etefagh, M.; Roshan, A.H.; Koohestani, H. The effect of different auxiliary collector in flotation of phosphate ore. J. Phys. Theor. Chem. 2021, 17, 145–150. [Google Scholar] [CrossRef]
- Finch, J.A.; Nesset, J.E.; Acuña, C. Role of frother on bubble production and behaviour in flotation. Miner. Eng. 2008, 21, 949–957. [Google Scholar] [CrossRef]
- Norori-McCormac, A.; Brito-Parada, P.R.; Hadler, K.; Cole, K.; Cilliers, J.J. The effect of particle size distribution on froth stability in flotation. Sep. Purif. Technol. 2017, 184, 240–247. [Google Scholar] [CrossRef]
- Wang, H.; Yang, W.; Yan, X.; Wang, L.; Wang, Y.; Zhang, H. Regulation of bubble size in flotation: A review. J. Environ. Chem. Eng. 2020, 8, 104070. [Google Scholar] [CrossRef]
- Santana, R.C.; Ribeiro, J.A.; Santos, M.A.; Reis, A.S.; Ataíde, C.H.; Barrozo, M.A.S. Flotation of fine apatitic ore using microbubbles. Sep. Purif. Technol. 2012, 98, 402–409. [Google Scholar] [CrossRef]
- Bournival, G.; Ata, S.; Jameson, G.J. Bubble and froth stabilizing agents in froth flotation. Miner. Process. Extr. Metall. Rev. 2017, 38, 366–387. [Google Scholar] [CrossRef]
- Aldrich, C.; Feng, D. The effect of mothers on bubble size distributions in flotation pulp phases and surface froths. Miner. Eng. 2000, 13, 1049–1057. [Google Scholar] [CrossRef]
- Tao, D. Role of bubble size in flotation of coarse and fine particles—A review. Sep. Sci. Technol. 2005, 39, 741–760. [Google Scholar] [CrossRef]
- Bournival, G.; Ata, S.; Wanless, E.J. The roles of particles in multiphase processes: Particles on bubble surfaces. Adv. Colloid Interface Sci. 2015, 225, 114–133. [Google Scholar] [CrossRef]
- Reis, A.S.; Reis Filho, A.M.; Demuner, L.R.; Barrozo, M.A.S. Effect of bubble size on the performance flotation of fine particles of a low-grade Brazilian apatite ore. Powder Technol. 2019, 356, 884–891. [Google Scholar] [CrossRef]
- Li, Y.; Liu, Y.; Zhu, T.; Rhuan, X. Imaging study on bubble size distribution in presence of frother in froth flotation. In Proceedings of the International Symposium on Water Resource and Environmental Protection, Xi’an, China, 20–22 May 2011; pp. 1191–1194. [Google Scholar] [CrossRef]
- Lee, J.E.; Lee, J.K. Effect of microbubbles and particle size on the particle collection in the column flotation. Korean J. Chem. Eng. 2002, 19, 703–710. [Google Scholar] [CrossRef]
- Reis, A.S. Study of the Influence of the Bubble Size on Apatite Flotation Performance for Different Granulometries. Ph.D. Thesis, University Federal of Uberlandia, Uberlandia, Brazil, 2019. [Google Scholar]
- Cho, Y.S.; Laskowski, L.S. Effect of flotation frothers on bubble size and foam stability. Int. J. Miner. Process. 2002, 64, 69–80. [Google Scholar] [CrossRef]
- Guimarães, R.C.; Araújo, A.C.; Peres, A.E.C. Reagents in igneous phosphate ores flotation. Miner. Eng. 2005, 18, 199–204. [Google Scholar] [CrossRef]
- Santana, R.C.; Duarte, C.R.; Ataide, C.H.; Barrozo, M.A.S. Flotation selectivity of phosphate ore: Effects of particle size and reagent concentration. Sep. Sci. Technol. 2011, 46, 1511–1518. [Google Scholar] [CrossRef]
- Santana, R.C.; Farnese, A.C.C.; Fortes, M.C.B.; Ataide, C.H.; Barrozo, M.A.S. Influence of particle size and reagent dosage on the performance of apatite flotation. Sep. Purif. Technol. 2008, 64, 8–15. [Google Scholar] [CrossRef]
- Oliveira, M.S.; Queiroz, G.M.; Guimarães, R.C.; Ataide, C.H.; Barrozo, M.A.S. Selectivity in phosphate column flotation. Miner. Eng. 2007, 20, 197–199. [Google Scholar] [CrossRef]
- Zhang, J.; Tang, Z.; Xie, Y.; Ai, M.; Zhang, G.; Gui, W. Data-driven adaptive modelling method for industrial processes and its application in flotation reagent control. ISA Trans. 2021, 108, 305–316. [Google Scholar] [CrossRef]
- Li, Y.; Weng, W. Surface modification of hydroxyapatite by stearic acid: Characterization and in vitro behaviors. J. Mater. Sci. Mater. Med. 2008, 19, 19–25. [Google Scholar] [CrossRef]
- Moreno, Y.S.; Bournival, G.; Ata, S. Analysis of bubble coalescence dynamics and postrupture oscillation of capillary-held bubbles in water. Ind. Eng. Chem. Res. 2017, 56, 14781–14792. [Google Scholar] [CrossRef]
- Butt, H.J.; Graf, K.; Kappl, M. Physics and Chemistry of Interfaces; Wiley: Hoboken, NJ, USA, 2003. [Google Scholar] [CrossRef]
- Cao, Q.; Cheng, J.; Wen, S.; Li, C.; Bai, S.; Liu, D. A mixed collector system for phosphate flotation. Miner. Eng. 2015, 78, 114–121. [Google Scholar] [CrossRef]
- Dal Sasso, G.; Asscher, Y.; Angelini, I.; Nodari, L.; Artioli, G. A universal curve of apatite crystallinity for the assessment of bone integrity and preservation. Sci. Rep. 2018, 8, 12025. [Google Scholar] [CrossRef]
- Back, S.; Shin, D.; Kim, G.; Lee, A.; Noh, J.; Choi, B.; Huh, S.; Jong, H.; Sung, Y. Influence of amphoteric and anionic surfactants on stability, surface tension, and thermal conductivity of Al2O3/water nanofluids. Case Stud. Therm. Eng. 2021, 25, 100995. [Google Scholar] [CrossRef]
- Rajapakse, N.; Zargar, M.; Sen, T.; Khiadani, M. Effects of liquid phase physicochemical characteristics on microbubble dynamics in dissolved air flotation: A review. Sep. Purif. Technol. 2022, 289, 120772. [Google Scholar] [CrossRef]
- Jia, J.; Yang, S.; Li, J.; Liang, Y.; Li, R.; Tsuji, T.; Niu, B.; Peng, B. Review of the Interfacial Structure and Properties of Surfactants in Petroleum Production and Geological Storage Systems from a Molecular Scale Perspective. Molecules 2024, 29, 3230. [Google Scholar] [CrossRef] [PubMed]
- Kalam, S.; Abu-Khamsin, S.A.; Kamal, M.S.; Patil, S. Surfactant Adsorption Isotherms: A Review. ACS Omega 2021, 6, 32342–32348. [Google Scholar] [CrossRef] [PubMed]










| Parameters | Operating Conditions |
|---|---|
| Air pressure | 3 bar |
| Surfactant flow rate | 50 mL/min |
| Recirculation flow rate | 0.5 L/min |
| Air flow rate | 80 L/h |
| Parameters | Operating Conditions |
|---|---|
| Ore mass | 340 g |
| Solid percentage | 13.68% |
| Conditioning time | 5 min (each reagent) |
| Collector dosage | 360 g/t |
| Depressant dosage | 100 g/t |
| Wash water flow rate | 0.15 L/min |
| Air pressure | 3 bar |
| Surfactant flow rate | 50 mL/min |
| Recirculation flow rate | 0.5 L/min |
| Air flow rate | 80 L/h |
| Test | Surfactant | Surfactant Concentration (ppm) | pH | P2O5 Grade (%) | Apatite Recovery (%) | d32 (mm) | Index of Flotation Response |
|---|---|---|---|---|---|---|---|
| F1 | Without surfactant | 0 | 9 | 33.98 | 70.27 | 1.31 | 3.47 |
| F2 | Without surfactant | 0 | 11 | 32.54 | 70.17 | 1.13 | 3.42 |
| F3 | Lupromin | 10 = ¼ CCC | 9 | 33.87 | 69.46 | 0.98 | 3.44 |
| F4 | Lupromin | 10 = ¼ CCC | 11 | 32.57 | 74.73 | 0.89 | 3.58 |
| F5 | Lupromin | 40 = CCC | 9 | 33.76 | 70.05 | 0.98 | 3.46 |
| F6 | Lupromin | 40 = CCC | 11 | 32.46 | 71.29 | 0.96 | 3.46 |
| F7 | Genagen | 10 = ¼ CCC | 9 | 33.34 | 68.57 | 0.78 | 3.40 |
| F8 | Genagen | 10 = ¼ CCC | 11 | 33.28 | 71.07 | 0.84 | 3.48 |
| F9 | Genagen | 40 = CCC | 9 | 32.23 | 66.44 | 0.75 | 3.29 |
| F10 | Genagen | 40 = CCC | 11 | 32.37 | 74.41 | 0.66 | 3.56 |
| F11 | Triton X-100 | 12.5 = ¼ CCC | 9 | 32.40 | 64.10 | 0.78 | 3.22 |
| F12 | Triton X-100 | 12.5 = ¼ CCC | 11 | 33.39 | 70.63 | 0.83 | 3.47 |
| F13 | Triton X-100 | 50 = CCC | 9 | 31.84 | 69.51 | 0.77 | 3.38 |
| F14 | Triton X-100 | 50 = CCC | 11 | 33.78 | 67.85 | 0.83 | 3.39 |
Disclaimer/Publisher’s Note: The statements, opinions and data contained in all publications are solely those of the individual author(s) and contributor(s) and not of MDPI and/or the editor(s). MDPI and/or the editor(s) disclaim responsibility for any injury to people or property resulting from any ideas, methods, instructions or products referred to in the content. |
© 2024 by the authors. Licensee MDPI, Basel, Switzerland. This article is an open access article distributed under the terms and conditions of the Creative Commons Attribution (CC BY) license (https://creativecommons.org/licenses/by/4.0/).
Share and Cite
Mendes, T.F.; Reis, A.S.; Silva, A.C.; Barrozo, M.A.S. Analysis of the Effect of Surfactants on the Performance of Apatite Column Flotation. Minerals 2024, 14, 840. https://doi.org/10.3390/min14080840
Mendes TF, Reis AS, Silva AC, Barrozo MAS. Analysis of the Effect of Surfactants on the Performance of Apatite Column Flotation. Minerals. 2024; 14(8):840. https://doi.org/10.3390/min14080840
Chicago/Turabian StyleMendes, Thessa F., Angelica S. Reis, André C. Silva, and Marcos A. S. Barrozo. 2024. "Analysis of the Effect of Surfactants on the Performance of Apatite Column Flotation" Minerals 14, no. 8: 840. https://doi.org/10.3390/min14080840
APA StyleMendes, T. F., Reis, A. S., Silva, A. C., & Barrozo, M. A. S. (2024). Analysis of the Effect of Surfactants on the Performance of Apatite Column Flotation. Minerals, 14(8), 840. https://doi.org/10.3390/min14080840

